Isotope Effects on Chemical Shifts in the Study of Hydrogen Bonds in Small Molecules
Abstract
1. Introduction
2. Techniques
2.1. Liquid State
2.2. Solid State
3. Static Cases
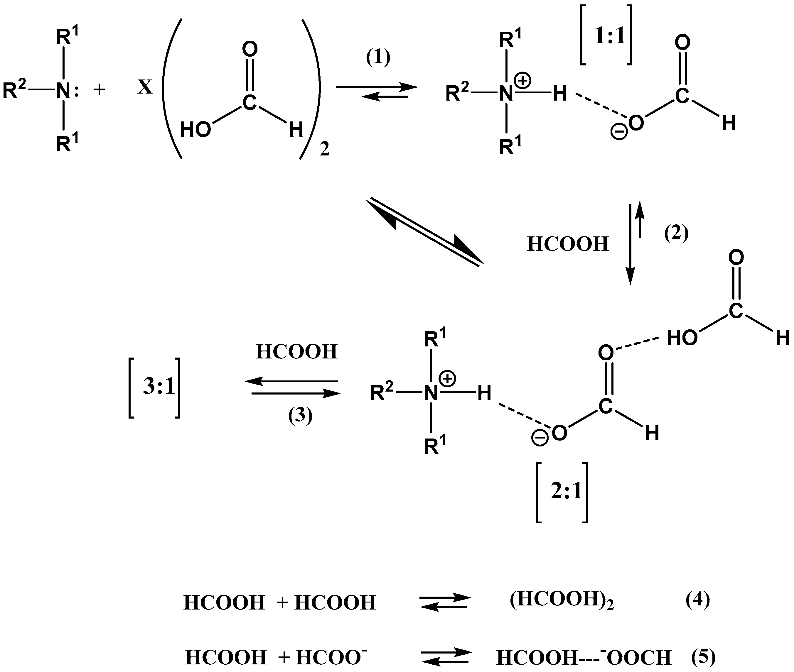
3.1. Ionic Liquids
3.2. Ammonium Ions
3.3. Enaminones and Similar Compounds
3.4. Dimers and Trimers
3.5. Miscellaneous
3.6. Cooperativity
4. Tautomerism
5. Hydrogen Bond Energy
6. Correlations
7. Theoretical Calculations
8. Conclusions
Funding
Institutional Review Board Statement
Informed Consent Statement
Data Availability Statement
Conflicts of Interest
References
- Chen, D.; Oezguen, N.; Urvi, P.; Ferguson, C.; Aannand, M.; Savidge, T.C. Regulation of protein-ligand binding affinity by hydrogen bond pairing. Sci. Adv. 2016, 2, e1501240. [Google Scholar] [CrossRef] [PubMed]
- Liu, M.; Hansen, P.E.; Lin, X. Bromophenols in marine algae and their bioactivities. Mar. Drugs 2011, 9, 1273–1792. [Google Scholar] [CrossRef] [PubMed]
- Sobczyk, L.; Obzrzud, M.; Filarowski, A. H/D Isotope Effects in Hydrogen Bonded Systems. Molecules 2013, 18, 4467–4476. [Google Scholar] [CrossRef] [PubMed]
- Hansen, P.E. Isotope effects on chemical shifts as a tool in the study of tautomeric equilibria. In Equilibria. Methods and Theories; Antonov, L., Ed.; Wiley-VCH: Weinheim, Germany, 2014. [Google Scholar]
- Hansen, P.E. Methods to distinguish tautomeric cases from static ones. In Tautomerism: Ideas, Compounds, Applications; Antonov, L., Ed.; Wiley-VCH: Weinheim, Germany, 2016. [Google Scholar]
- Limbach, H.H.; Denisov, G.S.; Golubev, N.S. Hydrogen Bond Isotope Effects Studied by NMR. In Isotope Effects in Chemistry and Biology; Kohen, A., Limbach, H.H., Eds.; Taylor and Francis: Boca Raton, FL, USA, 2006. [Google Scholar]
- Shahkhatuni, A.A.; Shahkhatuni, A.G.; Harutyunyan, A.S. Long range deuterium isotope effects on 13C NMR chemical shifts of 2-alkanones in CD3OD solutions of imidazolium acetate ionic liquids. RSC Adv. 2021, 11, 39051. [Google Scholar] [CrossRef]
- Reuben, J. Isotopic Multiplets in the Carbon-13 NMR Spectra of Aniline Derivatives and Nucleosides with Partially Deuterated Amino Groups: Effects of Intra- and Intermolecular Hydrogen Bonding. J. Am. Chem. Soc. 1987, 109, 316–321. [Google Scholar] [CrossRef]
- Mackenzie, H.W.; Hansen, D.F. A 13C-detected 15N double-quantum NMR experiment to probe arginine side-chain guanidinium 15Nη chemical shifts. J. Biomol. NMR 2017, 69, 123–132. [Google Scholar] [CrossRef]
- Iwahara, J.; Jung, Y.-S.; Clore, G.M. Heteronuclear NMR Spectroscopy for Lysine NH3 Groups in Proteins: Unique Effect of Water Exchange on 15N Transverse Relaxation. J. Am. Chem. Soc. 2007, 129, 2971–2980. [Google Scholar] [CrossRef]
- Kurutos, A.; Sauer, S.P.A.; Kamounah, F.S.; Hansen, P.E. Azo-hydrazone derived molecular switches: Synthesis and conformational investigation. Magn. Reson. Chem. 2021, 59, 1116–1125. [Google Scholar] [CrossRef]
- Khrizman, A.R.; Cheng, H.Y.; Bottini, G.; Moyna, G. Observation of aliphatic C–HX hydrogen bonds in imidazolium ionic liquids. Chem. Commun. 2015, 51, 3193–3195. [Google Scholar] [CrossRef]
- Bottini, G.; Moyna, G. Determining the relative strengths of aromatic and aliphatic C-H….X hydrogen bonds in imidazolium ionic liquids through measurements of H/D isotope effects on 19F nuclear shielding. Magn. Reson. Chem. 2018, 56, 103–107. [Google Scholar] [CrossRef]
- Remsing, R.C.; Wildin, J.L.; Rapp, A.L.; Moyna, G. Hydrogen Bonds in Ionic Liquids Revisited: 35/37Cl NMR Studies of Deuterium Isotope Effects in 1-n-Butyl-3-Methylimidazolium Chloride. Chem. Phys. Lett. B 2007, 111, 11619–11621. [Google Scholar] [CrossRef] [PubMed]
- Ossowicz, P.; Janus, E.; Schroeder, G.; Rozwadowki, Z. Spectroscopic Studies of Amino Acid Ionic Liquid-Supported Schiff Bases. Molecules 2013, 18, 4986–5004. [Google Scholar] [CrossRef] [PubMed]
- Anouti, M.; Caillo-Caravanier, M.; Le Floch, C.; Lemorant, D. Alkylammonium-based protic Ionic Liquids Part I: Preparation and Physicochemical Characterization. J. Phys. Chem. B 2008, 112, 9406–9411. [Google Scholar] [CrossRef] [PubMed]
- Hansen, P.E.; Lund, T.; Krake, J.; Spanget-Larsen, J.; Hvidt, S. A Reinvestigation of the Ionic Liquid Diisopropylethylammonium formate by NMR and DFT Methods. J. Phys. Chem. B. 2016, 120, 11279–11286. [Google Scholar] [CrossRef] [PubMed]
- Tolstoy, P.M.; Schah-Mohammedi, P.; Smirnov, S.N.; Golubev, N.S.; Denisov, G.S.; Limbach, H.-H. Characterization of fluxional Hydrogen-Bonded complexes of Acetic Acid and Acetate by NMR: Geometries and Isotope and Solvent Effects. J. Am. Chem. Soc. 2004, 126, 5621–5634. [Google Scholar] [CrossRef]
- William, J.A.; Collinson, I. Ammonium Transporters: A molecular dual carriageway. eLife 2020, 9, e61148. [Google Scholar] [CrossRef]
- Pflüger, T.; Hernández, C.F.; Lewe, P.; Frank, F.; Mertens, H.; Svergun, D.; Baumstark, M.W.; Lunin, V.Y.; Jetten, M.S.M.; Andrade, S.L.A. Signaling ammonium across membranes through an ammonium sensor histidine kinase. Nat. Comm. 2018, 9, 164. [Google Scholar] [CrossRef]
- Graf, E.; Kintzinger, J.P.; Lehn, J.-M.; LeMoigne, J. Molecular Recognition. Selective Ammonium Cryptates of Synthetic Receptor Molecules Possessing a Tetrahedral Recognition Site. J. Am. Chem. Soc. 1982, 104, 1672–1678. [Google Scholar] [CrossRef]
- Lambert, S.; Bartik, K.; Jabin, I. Specific Binding of Primary Ammonium Ions and Lysine-Containing Peptides in Protic Solvents by hexahomooxacalix[3]arenes. J. Org. Chem. 2020, 85, 10062–10071. [Google Scholar] [CrossRef]
- Platzer, G.; Okon, M.; McIntosh, L.P. pH-dependent random coil 1H, 13C and 15N chemical shifts of the ionizable amino acids: A guide for protein pKa measurements. J. Biomol. NMR 2014, 60, 109–129. [Google Scholar] [CrossRef]
- Hansen, P.E. Deuterium Isotope Effects on 14,15N Chemical Shifts of Ammonium Ions. A Solid State NMR Study. Int. J. Inorg. Chem. 2011, 696497. [Google Scholar] [CrossRef][Green Version]
- Munch, M.; Hansen, A.E.; Hansen, P.E.; Bouman, T.D. Ab-Initio Calculations of Deuterium isotope Ef fects on hydrogen and Nitrogen nuclear Magnetic Shielding in the hydrated Ammo nium Ion. Acta Chem.Scand. 1992, 46, 1065–1071. [Google Scholar] [CrossRef]
- Hansen, P.E.; Hansen, A.E.; Lycka, A.; Buvari-Barcza, A. 2∆H(D) and 1∆N(D) Isotope Effects on Nuclear Shielding of Ammonium Ions in Complexes with Crown ethers and Cryptands. Acta Chem. Scand. 1993, 47, 777–788. [Google Scholar] [CrossRef]
- Hansen, P.E.; Saeed, B.A. Ammonium Ions in a Confined Space. J. Mol. Struct. 2022. submitted. [Google Scholar]
- Jednacak, T.; Novak, P.; Urzarevic, K.; Bratos, I.; Mrkovic, J.; Cindric, M. Bioactive Phenylenediamine Derivatives of Dehydracetic Acid: Synthesis, Structural Characterization and Deuterium Isotope Effects. Croat. Chem. Acta 2011, 84, 203–209. [Google Scholar] [CrossRef]
- Seyedkatouli, S.; Vakili, M.; Tayyari, S.F.; Hansen, P.E.; Kamounah, F.S. Molecular structure and intramolecular hydrogen bond strength of 3-methyl-4-amino-3-penten-2-one and its NMe and N-Ph substitutions by experimental and theoretical methods. J. Mol. Struct. 2019, 1184, 233–245. [Google Scholar] [CrossRef]
- Petrova, M.; Muhamadejev, R.; Vigante, B.; Duburs, G.; Liepinsh, E. Intramolecular hydrogen bonds in 1,4-dihydropyridine derivatives. R. Soc. Open Sci. 2018, 51, 80088. [Google Scholar]
- Mulloyarova, V.V.; Giba, I.S.; Kostin, M.A.; Denisov, G.S.; Shenderovich, I.G.; Tolstoy, P.M. Cyclic trimers of phosphinic acids in polar aprotic solvent:symmetry, chirality and H/D isotope effects on NMR chemical shifts. Phys. Chem. Chem. Phys. 2018, 20, 4901–4910. [Google Scholar] [CrossRef]
- Mulloyarova, V.V.; Ustimchuck, D.O.; Filarowski, A.; Tolstoy, P.M. H/D Isotope Effects on 1H-NMR Chemical Shifts in Cyclic Heterodimers and Heterotrimers of Phosphinic and Phosphoric Acids. Molecules 2020, 25, 1907. [Google Scholar] [CrossRef]
- Mulloyarova, V.V.; Puzyk, A.M.; Efimova, A.A.; Antonov, S.S.; Evarestov, R.S.; Aliyarova, I.S.; Asfin, R.E.; Tolstoy, P.M. Solid-state and solution-state self-association of dimethylarsinic acid: IR, NMR and theoretical study. J. Mol. Struct. 2021, 1234, 130176. [Google Scholar] [CrossRef]
- Hansen, P.E. Isotopic Perturbation of Equilibrium in 2,6-Dihydroxy Benzoyl Compounds. Acta Chem. Scand. 1988, B42, 423–432. [Google Scholar] [CrossRef]
- O´Leary, D.J.; Hickstein, D.D.; Hansen, B.K.V.; Hansen, P.E. Theoretic and NMR Studies of Deuterium Isotopic Perturbation of Hydrogen Bonding in Symmetrical Dihydroxy Compounds. J. Org. Chem. 2010, 75, 1331–1342. [Google Scholar] [CrossRef] [PubMed]
- Xu, H.; Luo, T.; Wu, H.; Yuan, L.-B.; Zhao, S.-Q.; Liang, W.-J.; Zhong, S.-A.; Chen, Y.; Saunders, M.; Jiang, J.-Z.; et al. An equilibrium effect due to a strong hydrogen bond. Chem. Phys. Lett. 2018, 713, 117–120. [Google Scholar] [CrossRef]
- O´Leary, D.J. Comment on “An equilibrium isotope effect due to a strong hydrogen bond”. Chem. Phys. Lett. 2019, 730, 302–305. [Google Scholar] [CrossRef]
- Pal, U.; Sen, S.; Maiti, N.C. Dα-H Carries Information of a Hydrogen Bond Involving the Geminal Hydroxyl Group: A Case Study with a Hydrogen-Bonded Complex of 1,1,1,3,3,3-Hexafluoro-2-propanol and Tertiary Amines. J. Phys. Chem. A 2014, 118, 1024–1030. [Google Scholar] [CrossRef]
- Schulz, F.; Sumerin, V.; Heikkinen, S.; Pedersen, B.; Wang, C.; Atsumi, M.; Leskelä, M.; Repo, T.; Pyykkö, P.; Petry, W.; et al. Molecular Hydrogen Tweezers: Structure and Mechanisms by Neutron Diffraction, NMR, and Deuterium Labeling Studies in Solid and Solution. J. Am. Chem. Soc. 2011, 133, 20245–20257. [Google Scholar] [CrossRef]
- Gunnarson, G.; Wennerstöm, H.; Forsén, S. Proton and deuterium NMR of hydrogen bonds-relationship between isotope-effects and hydrogen-bond potential. Chem. Phys. Lett. 1976, 38, 96–99. [Google Scholar] [CrossRef]
- Ilczyszyn, M.; Selent, M.; Ilczyszyn, M.M. Participation of Xenon Guest in Hydrogen Bond Network of β-Hydroquinone Crystal. J. Phys. Chem. A 2012, 116, 3206–3214. [Google Scholar] [CrossRef]
- Sigala, P.A.; Ruben, E.A.; Liu, C.W.; Piccoli, P.M.B.; Hohenstein, E.G.; Martínez, T.J.; Schultz, A.J.; Herschlag, D. Determination of Hydrogen Bond Structure in Water versus Aprotic Environments to Test the Relationship between Length and Stability. J. Am. Chem. Soc. 2015, 137, 5730–5740. [Google Scholar] [CrossRef]
- Abildgaard, J.; Bolvig, S.; Hansen, P.E. Unravelling the Electronic, Steric and Vibrational Contributions to Deuterium Isotope Effects on 13C Chemcial Shifts by ab initio Model Calculations. Intramolecular Hydrogen bonded o-Hydroxy Acyl Aromatics. J. Am. Chem. Soc. 1998, 12090, 63–9069. [Google Scholar]
- Hansen, P.E.; Kamounah, F.S.; Zhiryakova, D.; Manolova, Y.; Antonov, L. 1,1߰,1″-(2,4,6-Trihydroxybenzene-1,3,5-triyl)triethanone non-tautomerism. Tetrahedron Lett. 2014, 55, 354–357. [Google Scholar] [CrossRef]
- Serdiuk, I.E.; Wera, M.; Roshal, A.D.; Sowiński, P.; Zadykowicz, B.; Błażejowski, J. Tautomerism, structure and properties of 1,1′,1″-(2,4,6-trihydroxybenzene-1,3,5-triyl)triethanone. Tetrahedron Lett. 2011, 52, 2737–2740. [Google Scholar] [CrossRef]
- Rospenk, M.; Koll, A.; Sobczyk, L. Proton transfer and secondary deuterium isotope effect in the C-13 NMR spectra of ortho-aminomethyl phenols. Chem. Phys. Lett. 1996, 261, 283–288. [Google Scholar] [CrossRef]
- Hansen, P.E.; Spanget-Larsen, J. Structural studies on Mannich bases of 2-Hydroxy-3,4,5,6-tetrachlorobenzene. An UV, IR, NMR and DFT study. A mini-review. J. Mol. Struct. 2016, 1119, 235–239. [Google Scholar] [CrossRef]
- Hansen, P.E.; Mortensen, J.; Kamounah, F.S. The importance of correct tautomeric structures for biological molecules. JSM Chem. 2015, 3, 1014–1019. [Google Scholar]
- Nguyen, H.G.T.; Nguyen, V.N.; Kamounah, F.S.; Hansen, P.E. Structure of a new Usnic acid derivative from a deacylation reaction of in a Mannich reaction. NMR studies supported by theoretical calculations of NMR parameters. Magn. Reson. Chem. 2018, 56, 1094–1100. [Google Scholar] [CrossRef]
- Ivanova, D.; Deneva, V.; Nedeltcheva, D.; Kamounah, F.S.; Gergov, G.; Hansen, P.E.; Kawauchi, S.; Antonov, L. Tautomeric transformations of Piroxicam in solution: A combined experimental and theoretical study. RSC Adv. 2015, 5, 31852–31860. [Google Scholar] [CrossRef]
- Hansen, P.E.; Borisov, E.V.; Lindon, J.C. Determination of the Tautomeric Equilibria of Pyridoyl Benzoyl β-Diketones in the Liquid and Solid State through the use of Deuterium Isotope Effects on 1H and 13C NMR Chemical Shifts and Spin Coupling Constants. Spectrochim. Acta 2015, 136, 107–112. [Google Scholar] [CrossRef]
- Shi, C.; Zhang, X.; Yu, C.-H.; Yao, Y.F.; Zhang, W. Geometric isotope effect of deuteration in a hydrogen-bonded host-guest crystal. Nat. Comm. 2018, 9, 481. [Google Scholar] [CrossRef]
- Ip, B.C.K.; Shenderovich, I.G.; Tolstoy, P.M.; Frydel, J.; Denisov, G.S.; Buntkowsky, G.; Limbach, H.-H. NMR studies of solid Pentachlorophenol-4-Methylpyridine complexes Exhibiting Strong OHN Hydrogen Bonds: Geometric H/D Isotope Effects and Hydrogen Bond Coupling Cause Isotopic Polymorphism. J. Phys. Chem. A 2012, 116, 11370–11387. [Google Scholar] [CrossRef]
- Pietrzak, M.; Grech, E.; Nowicka-Scheibe, J.; Hansen, P.E. Deuterium isotope effects on 13C chemical shifts of negatively charged NH…N systems. Magn. Reson. Chem. 2013, 51, 683–688. [Google Scholar] [PubMed]
- Perrin, C.L. Symmetry of hydrogen bonds in solution. Pure Appl. Chem. 2009, 81, 571–583. [Google Scholar] [CrossRef]
- Bogle, X.S.; Singleton, D.A. Isotope-induced desymmetrization can mimic isotopic perturbation of equilibria. On the symmetry of bromonium ions and hydrogen bonds. J. Am. Chem. Soc. 2011, 133, 17172–17175. [Google Scholar] [CrossRef] [PubMed]
- Perrin, C.L.; Kari, P.; Moore, C.; Rheingold, A.L. Hydrogen-bond symmetry in difluoromaleate monanion. J. Am. Chem. Soc. 2012, 134, 7766–7772. [Google Scholar] [CrossRef]
- Perrin, C.L.; Burke, K.D. Variable-temperature study of hydrogen-bond symmetry in cyclohexene-1,2-dicarboxylate monoanion in chloroform-d. J. Am. Chem. Soc. 2014, 136, 4355–4362. [Google Scholar] [CrossRef]
- Perrin, C.L.; Shrinidhi, A.; Burke, K.D. Isotopic-Perturbation NMR Study of Hydrogen-Bond Symmetry in solution: Temperature Dependence and Comparison of OHO and ODO Hydrogen bonds. J. Am. Chem. Soc. 2019, 141, 17278–17286. [Google Scholar] [CrossRef]
- Guo, J.; Tolstoy, P.M.; Koeppe, B.; Golubev, N.S.; Denisov, G.S.; Smirnov, S.N.; Limbach, H.-H. Hydrogen Bond Geometries and Proton Tautomerism of Homoconjugated Anions of Carboxylic Acids Studied via H/D Isotope Effects on 13C NMR Chemical Shifts. J. Phys. Chem. A 2012, 116, 11180–11188. [Google Scholar] [CrossRef]
- Guo, J.; Tolstoy, P.M.; Koeppe, B.; Denisov, G.S.; Limbach, H.-H. NMR Study of Conformational Exchange and Double-Well Proton Potential in Intramolecular Hydrogen Bonds in Monoanions of Succinic Acid and Derivatives. J. Phys. Chem. A 2011, 115, 9828–9836. [Google Scholar] [CrossRef]
- Hansen, P.E. Isotope effects on chemical shift in the study of intramolecular hydrogen bonds. Molecules 2015, 20, 2405–2424. [Google Scholar] [CrossRef]
- Ajami, D.; Tolstoy, P.M.; Dube, H.; Odermatt, S.; Koeppe, B.; Guo, J.; Limbach, H.-H.; Rebek, J., Jr. Encapsulated Carboxylic Acid dimers with Compressed Hydrogen Bonds. Angew. Chem. Int. Ed. 2011, 50, 528–531. [Google Scholar] [CrossRef]
- Hibbert, F.; Emsley, J. Hydrogen bonding and chemical reactivity. J. Adv. Phys. Org. Chem. 1990, 26, 255–379. [Google Scholar]
- Hansen, P.E. A Spectroscopic Overview of Intramolecular NH…O,N,S Hydrogen Bonds. Molecules 2021, 26, 2409. [Google Scholar] [CrossRef] [PubMed]
- Espinosa, E.; Molins, E.; Lecomte, C. Hydrogen bond strengths revealed by topological analyses of experimentally observed electron densities. Chem. Phys. Lett. 1998, 285, 170–173. [Google Scholar] [CrossRef]
- Hansen, P.E.; Kamounah, F.S.; Saeed, B.A.; MacLachlan, M.J.; Spanget-Larsen, J. Intramolecular Hydrogen Bonds in Normal and Sterically Compressed o-Hydroxy Aromatic Aldehydes. Isotope Effects on Chemical Shifts and Hydrogen Bond Strength. Molecules 2019, 24, 4533. [Google Scholar] [CrossRef]
- Reuben, J. Intramolecular hydrogen-bonding as reflected in the deuterium isotope effects on C-13 chemical-shifts-correlation with hydrogen bond energies. J. Am. Chem. Soc. 1986, 108, 1735–1738. [Google Scholar] [CrossRef]
- Cuma, M.; Scheiner, S.; Kar, T. Competition between rotamerization and proton transfer in o-hydroxybenzaldehyde. J. Am. Chem. Soc. 1998, 120, 10497–10503. [Google Scholar] [CrossRef]
- Elias, R.S.; Saeed, B.A.; Kamounah, F.S.; Duus, F.; Hansen, P.E. Strong Intramolecular Hydrogen Bonds and steric Effects. A NMR and Computational Study. Magn. Reson. Chem. 2020, 58, 154–162. [Google Scholar] [CrossRef]
- Hansen, P.E.; Kamounah, F.S.; Gryko, D.T. Deuterium isotope effects on 13C chemical shifts of 10-Hydroxybenzo[h]quinolones. Molecules 2013, 18, 4544–4560. [Google Scholar] [CrossRef]
- Jameson, C.J. The Dynamic and Electronic Factors in Isotope Effects on NMR Parameters. In Isotopes in the Physical and Biomedical Sciences. Isotopic Applications in NMR Studies; Buncel, E., Jones, J.R., Eds.; Elsevier: Amsterdam, The Netherlands, 1991. [Google Scholar]
- Jameson, C.J.; Osten, H.-J. The NMR isotope shift in polyatomic molecules. Estimation of the dynamic factors. J. Chem. Phys. 1984, 81, 4300–4305. [Google Scholar] [CrossRef]
- Saeed, B.A.; Elias, R.S.; Kamounah, F.S.; Hansen, P.E. A NMR, MP2 and DFT Study of Thiophenoxyketenimines (o-ThioSchiff bases). Magn. Reson. Chem. 2018, 56, 172–182. [Google Scholar] [CrossRef]
- Ikabata, Y.; Imamura, Y.; Nakai, N. Interpretation of Intermolecular Geometric isotope Effect in Hydrogen bonds: Nuclear Orbital plus Molecular orbital Study. J. Phys. Chem A 2011, 115, 1433–1439. [Google Scholar] [CrossRef] [PubMed]
- Udagawa, T.; Ishimoto, T.; Tachikawa, M. Theoretical Study of H/D Isotope Effects on Nuclear Magnetic Shieldings Using an ab initio Multi-Component Molecular Orbital Method. Molecules 2013, 18, 5209–5220. [Google Scholar] [CrossRef] [PubMed]
- Ullah, S.; Ishimoto, T.; Williamson, M.P.; Hansen, P.E. Ab Initio calculations of Deuterium isotope Effects on Chemical Shifts of Salt-bridged Lysines. J. Phys. Chem. B 2011, 115, 3208–3215. [Google Scholar] [CrossRef] [PubMed]
- Kanematsu, Y.; Tachikawa, M. Development of multicomponent hybrid density functional theory with polarization continuum model for the analysis of nuclear quantum effect and solvent effect on NMR chemical shift. J. Chem. Phys. 2014, 140, 164111. [Google Scholar] [CrossRef] [PubMed]
- Gräfenstein, J. Efficient calculation of NMR isotopic shifts: Difference-dedicated vibrational perturbation theory. J. Chem. Phys. 2019, 151, 244120. [Google Scholar] [CrossRef] [PubMed]
- Gräfenstein, J. The Structure of the “Vibration Hole” around an Isotopic Substitution-Implications for the Calculation of Nuclear Magnetic Resonance (NMR) Isotopic shifts. Molecules 2020, 25, 2915. [Google Scholar] [CrossRef]
- Kawashima, Y.; Tachikawa, M. Nuclear quantum effect on intramolecular hydrogen bond of hydrogen maleate anion: An ab initio path integral molecular dynamics study. Chem. Phys. Lett. 2013, 571, 23–27. [Google Scholar] [CrossRef]
- Pohl, R.; Socha, O.; Slavicek, P.; Sala, M.; Hodgkinson, P.; Dracinsky, M. Proton transfer in guanine-cytosine base pair analogues studied by NMR spectroscopy and PIMD simulations. Faraday Discuss. 2018, 212, 331–344. [Google Scholar] [CrossRef]




























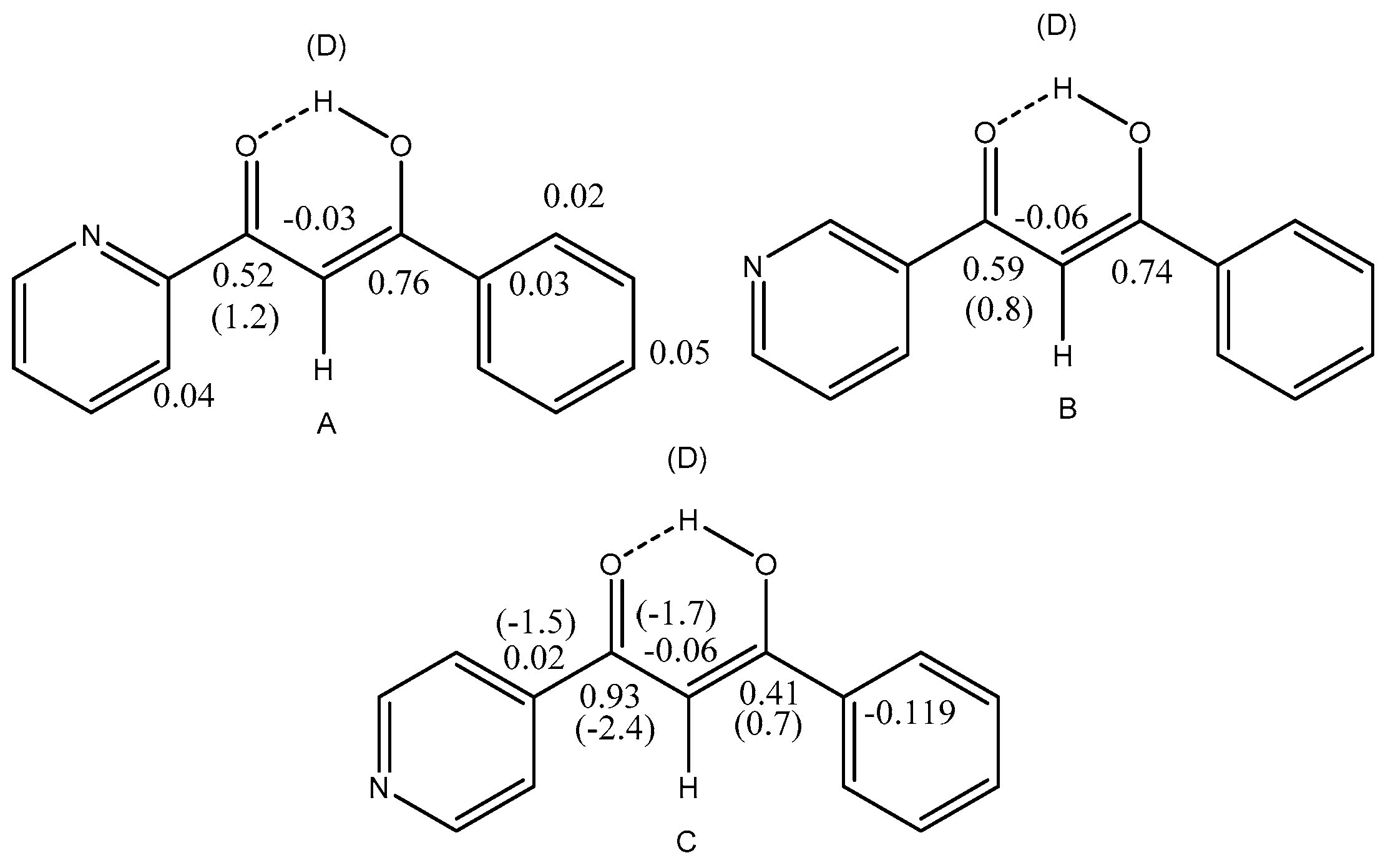
type with R´ being methyl or phenyl and R being alkyl or aromatic. The calculations were of MP2/6-311+G(d2d,p) type. Reprinted with permission from Ref. [74]. Copyright 2018 Wiley.
type with R´ being methyl or phenyl and R being alkyl or aromatic. The calculations were of MP2/6-311+G(d2d,p) type. Reprinted with permission from Ref. [74]. Copyright 2018 Wiley.
Publisher’s Note: MDPI stays neutral with regard to jurisdictional claims in published maps and institutional affiliations. |
© 2022 by the author. Licensee MDPI, Basel, Switzerland. This article is an open access article distributed under the terms and conditions of the Creative Commons Attribution (CC BY) license (https://creativecommons.org/licenses/by/4.0/).
Share and Cite
Hansen, P.E. Isotope Effects on Chemical Shifts in the Study of Hydrogen Bonds in Small Molecules. Molecules 2022, 27, 2405. https://doi.org/10.3390/molecules27082405
Hansen PE. Isotope Effects on Chemical Shifts in the Study of Hydrogen Bonds in Small Molecules. Molecules. 2022; 27(8):2405. https://doi.org/10.3390/molecules27082405
Chicago/Turabian StyleHansen, Poul Erik. 2022. "Isotope Effects on Chemical Shifts in the Study of Hydrogen Bonds in Small Molecules" Molecules 27, no. 8: 2405. https://doi.org/10.3390/molecules27082405
APA StyleHansen, P. E. (2022). Isotope Effects on Chemical Shifts in the Study of Hydrogen Bonds in Small Molecules. Molecules, 27(8), 2405. https://doi.org/10.3390/molecules27082405
