Abstract
Cdc25 phosphatases have been considered promising targets for anticancer development due to the correlation of their overexpression with a wide variety of cancers. In the last two decades, the interest in this subject has considerably increased and many publications have been launched concerning this issue. An overview is constructed based on data analysis of the results of the previous publications covering the years from 1992 to 2021. Thus, the main objective of the current review is to report the chemical structures of Cdc25s inhibitors and answer the question, how to design an inhibitor with better efficacy and lower toxicity?
1. Introduction
The cell division cycle 25 (Cdc25) phosphatases are dual-specificity phosphatases (DSPs) that catalyze the dephosphorylation of the Cdk/Cyc protein complex, an important regulator of the human cell cycle [1]. In human cells, three Cdc25 phosphatases are characterized, Cdc25A, Cdc25B, and Cdc25C, which share the similarity of amino acids identity from 20 to 25% for N-terminal and 60% similarity for C-terminal, and are differentially expressed in the cell division cycle [2,3].
Cdc25A is involved in the control of the G1/S transition by dephosphorylating and thus activating Cdk2/cyclin E and cyclin A complexes, as well as controlling the progression into mitosis. Additionally, Cdc25A activates Cdk1/cyclin B provoking the transition G2/M [4], while Cdc25B and C mainly regulate the progression at the G2/M transition and mitosis [4,5]. Cdc25B accumulates from the late S and early G2 phases of the cell cycle and its activity peaks at the G2/M transition [4,5]. Cdc25B is proposed to play a “starter” role in triggering mitosis by dephosphorylation and thereby activating Cdk1/cyclin B at the centrosome level [4,5]. On the other hand, Cdc25C is mainly involved in controlling progression into mitosis and this activation is correlated to Cdc25C phosphorylation by Cdk1/cyclinB substrate [5]. The Cdc25 phosphatases also play a crucial role in the checkpoint response that prevents Cdk/cyclin activation following DNA damage [6,7].
Many studies have shown that Cdc25 is highly expressed in cancer. Therefore, it is considered an excellent target for cancer therapy [5,8,9]. Thus, inhibition of these phosphatases may represent a promising therapeutic approach in oncology [10,11,12].
This review is dedicated to searching for safe and efficient Cdc25s inhibitors derived from natural, synthetic, and computational sources.
2. Structure of Cdc25 Phosphatase
The Cdc25 proteins are 450–600 residues in length and divided into two regions, the N-terminal, and C-terminal regions. The N-termini are highly divergent in sequence because of the alternative splicing therein. They contain numerous sites for phosphorylation and ubiquitination involved in regulating phosphatase activity [6]. The C-terminal regions (~60% pairwise identity) contain the catalytic functionality of the Cdc25s. The signature motif (HCX5R), containing the catalytic cysteine that defines the active sites of all protein tyrosine phosphatases (PTPs), represents the only significant region of homology between the Cdc25s and other PTPs. Motif C is the catalytic cysteine, while the five X residues form a loop whose backbone amides a hydrogen bond to the phosphate of the substrate. Finally, the motif R is a highly conserved arginine that is required for binding and transition-state stabilization of the phosphate [6].
3. Mechanism of Dephosphorylation of Cdc25 Substrate
Like other dual-specificity phosphatases (DSPs), Cdc25s have the ability to hydrolyze phosphoserine/threonine as well as phosphotyrosine residues. Cdc25B-catalyzed dephosphorylation of protein substrates proceeds via a mechanism using a monoprotonated phosphate with an apparent pKa of 6.5. This mechanism is a pH-dependent reaction. Accordingly, at high pH values, the rate of the reaction is slower than at low pH values [13].
The active site contains two key catalytic residues, an unprotonated thiolate and a protonated catalytic acid. The phosphoryl group of the substrate is cradled by the active site loop, forming hydrogen bonds to the backbone amides and the arginine of the HCX5R motif. The thiolate anion of the catalytic cysteine lies directly below the phosphoryl group, which sets up an in-line attack of the thiolate on the P-O bond in the first chemical step of the reaction. The departure of the leaving group and formation of the phospho-cysteine intermediate are facilitated by the protonation of the oxyanion by the catalytic acid (still unknown) located in a separate loop. In the second chemical step of the reaction, water serves as a nucleophile in the hydrolysis of the phospho-enzyme intermediate assisted by the aspartate (Figure 1) [6].
Figure 1.
Two-step reaction mechanism of the Cdc25 phosphatases with a covalent phospho-cysteine intermediate.
It is noteworthy that the thiolate of the active cysteine (Cys473 in Cdc25B) is found to have an extremely high rate of conversion to sulfenic acid. When it is tested with hydrogen peroxide, the result for Cdc25B is 15-fold and 400-fold faster than that for the protein tyrosine phosphatase PTP1B and the cellular reductant glutathione, respectively. This suggests that Cys426 has a preventing role in the formation of sulfenic acid (Cys-SO2) in the Cdc25s by forming a rapid intramolecular disulfide linkage with catalytic cysteines (Cys473). This intramolecular disulfide is reversibly and rapidly reduced by cellular thioredoxin/thioredoxin reductase. Thus, the chemistry and kinetics of the active-site cysteines of the Cdc25s support a physiological role for reversible redox-mediated regulation of the Cdc25s as important regulators of the eukaryotic cell cycle [14].
4. Cdc25 Phosphatases and Cancer
The Cdc25 protein family plays a crucial role in controlling cell proliferation, making it an excellent target for cancer therapy [5,8,9,15]. Cdc25A and Cdc25B are over-expressed in many different primary human cancers [6,16] in the following percentages, respectively: breast cancer: 70% and 57%, thyroid cancer: 17–69% and 36–64%, hepatocellular cancer: 56% and 20%, ovarian cancer: 30% for both of them, colorectal cancer: 47–53% and 43–67%, non-Hodgkin’s lymphoma: 50% and 65%, laryngeal cancer: 41% and 57% and oesophageal cancer: 46–66% and 48–79% [17]. Cdc25B is overexpressed solely in Gastric (78%) endometrial (73%) and prostate (30%) cancers and Gliomas (47%). The incidence of overexpression of Cdc25C has been barely reported [17]. In addition, Cdc25A and Cdc25B are overexpressed together in 30% of tumors while, in 45% of them, one only is overexpressed [17].
5. Molecular Studies of Cdc25 Phosphatase
The crystal structure of the catalytic domain of Cdc25B displays a well-ordered active site containing a bounded sulfate. This active site loop creates a special environment for cysteine 473 [18,19]. Despite the lack of crystallographic structure in the protein–inhibitor complex and the nonexistence of a deep active site pocket, one of the largest cavities on the surface of Cdc25B adjacent 0.6 Å to the active site reveals good binding envelop for the small inhibitory molecules during docking processes (Figure 2) [18]. The residues that surround the inhibitor binding pocket adjacent to the active site contain Arg482, Arg544, and Thr547 besides other residues [19].
Figure 2.
The surface of Cdc25B shows the shallow active site (where the stick of Cys473 is shown) and the adjacent inhibitory pocket which is deeper and larger.
6. Interaction between Cdc25 Phosphatase and Its Protein Substrate
Several investigations have tried to predict a docked orientation for Cdc25B with its Cdk2-pTpY-CycA protein substrate using different docking techniques [20]. The available crystal structure containing a bound sulfate (1QB0) at the active site is expected to be a good representative of the phosphate group of the phosphorylated protein substrate [21]. However, on the Cdk2-pTpY-CycA substrate, the exact orientation of the β-hairpin loop encompassing the adjacent Thr14 and Tyr15 sites of phosphorylation is unknown. The second point of contact between Cdc25B and its protein substrate is hot-spot residues (Arg488 and Tyr497). They are >20 Å from the active site and expected to make a contact with either Cdk2 or cyclin A at the binding interface [20].
Computational docking of Cdk2-pTpY-CycA to the enzyme followed by refinement using molecular dynamics was performed. In addition, validation of the docking using X-ray crystallography was applied to the crystal structure of the substrate-trapping mutant of Cdc25B [22,23]. The phosphate of pThr14 is cradled within the active site loop with numerous hydrogen bonds to the amides backbone including the side chain of Arg479 of the CX5R signature motif. This phosphate is additionally coordinated in the active site pocket by contributions from the amide backbone of Thr14 and the side chain of Arg36 from the substrate [20].
Further studies have been conducted to clarify the exact model for enzyme–substrate interaction. Some of these studies used small molecules such as p-nitrophenyl phosphate (pNPP) as substrate and applied the recently developed QM/MM Minimum Free Energy Path method. This was intended to gain an understanding of the dephosphorylation mechanism [1].
7. Cdc25 Inhibitors
A diverse number of structural inhibitors of the Cdc25 phosphatases have been identified and reported in the literature. Many of the Cdc25 inhibitors have been discovered via either the isolation of new scaffolds by High Throughput Screening (HTS) or optimization of pre-existing inhibitor scaffolds [24].
7.1. Cdc25 Inhibitors Based on the Quinoid Structure
Menadione (vitamin K3) (1) is one of the first para quinoid compounds that proved its activity against Cdc25 A, B, and C (Ki: 38 ± 4, 95 ± 3, and 20 ± 4 µM, respectively). Suggestions to modify the structure by delivering polar derivatives of this nucleus did not lead to increased activity in contrast to what was expected [10,11].
Cpd-5, [2-(2-mercaptoethanol)-3-methyl-1,4-naphthoquinone] (2) is a VK3 analogue and had selective and irreversible Cdc25 inhibition. It arrested cell division at G1-S and G2-M checkpoints. Its selectivity of inhibition of recombinant human Cdc25B2 was distinctive with minor or no effect upon VHR and PTP1B [25] with IC50 values of 5, 2, and 2 µM on Cdc25A, B, C, respectively [26,27].
The fluorinated analog 3 of Cpd-5 (2) had advantages over its parent nucleus since it was less toxic. The inductive effect of fluorine atom resulted in the liberation of lower ROS amount, thus lowering the toxicity. Meanwhile, it had higher potency with IC50 of 0.8, 1, and 50 µM against Cdc25A, B, and C, respectively [27].
Another correspondence to vitamin K is Cpd-42 (4) and its isomer 5. Both had the same IC50 toward Cdc25A (1.5 µM), which may explain the role of these compounds in the suppression of a Hep3B hepatoma cell line [28].
New biotin-containing Cpd-5, derivative 6, and its isomer 7, were found to be Cdc25 inhibitors by the arylation of the active cysteine of Cdc25A, B, and C. Cpd-5 derivative 6 and its isomer 7 exhibited a selective manner of inhibitions with IC50 of 1.5, 30, and 100 µM for Cdc25A, VHR, and PTB1B, respectively. Carbonyl oxygens of the derivative appeared to interact with both Arg482 and Arg544 near the catalytic cysteine 473 [29].
A quinone-based small molecule compound NSC 95397 (8) was the most active hit among many structurally modified vitamin K3 [30]. Dihydroxy NSC-95397 (9), a hydroxyl derivative of 8, designed by Peyregne et al., was assumed to be more bioactive with IC50 of 1.2 ± 0.2, 1.5 ± 0.5, 1.3 ± 0.2, and 1.8 ± 0.5 µM, toward Hep-3B, HepG2, PLC/PRL/5 hepatoma cells and MCF7 breast cancer cells, respectively [26]. The fluorinated analog 10 of NSC 95397 8 had no effect [27].
On the other hand, the naphthalene-type analog of vitamin K3 11 had Cdc25A phosphatase-inhibitory activity equal to IC50 0.4 µM [31]. In addition, naphthoquinone derivatives, containing malonic 12 or carboxylic acids 13 groups were introduced to mimic the role of phosphate moieties of Cdk complexes. The malonic acid derivative 12 did not show the expected rise of the activity with IC50 value 10.7 ± 0.5 µM on Cdc25B and displayed moderate cytotoxicities against the HeLa cell line [32], whereas compound 13 exhibited IC50 of 4.55 ± 0.16 µM toward Cdc25B and weak activity against HeLa cell lines [32]. Bis(methoxycarbonylmethylthio)heteroquinone analog of vitamin K3 14 showed reasonable activity against Cdc25B with IC50 of 1.17 ± 0.04 μM [33].
A novel coumarin-quinone derivative SV37 15 was synthesized in a trial to decrease the toxicity and inhibit Cdc25 phosphatases. Despite being less active than a sole quinone moiety on the same biological targets, it showed IC50 effects on the Cdc25B and C catalytic domain of 45.5 ± 8 μM. It also exhibited IC50 of 0.9 ± 0, 9.5 ± 1.0, 18.1 ± 1.3, and 11.2 ± 0.7 µM against Hep-3B, HTERT-HME1, Hela, and Fem-X, respectively [34].
The reversibility of the aforementioned compound was tested by the mass spectrometry (MALDI–TOFMS) technique and was proved to reversibly interact with Cdc25 A and C (Figure 3, Table 1) [35].
Figure 3.
Cdc25 inhibitors based on quinoid structure.
Table 1.
Cdc25 inhibitors based on quinoid structure.
A new family of potent inhibitors 16–28 of the dual-specificity protein phosphatase Cdc25 of quinone structure and analogs of vitamin K3 was reported (Figure 4, Table 2). 6-Chloro-7-(2-morpholin-4-ylethylamino) quinoline-5,8-dione (NSC 663284) (16) was described as a very potent irreversible inhibitor of Cdc25 A, B with IC50: 210 nM; additionally, 16 showed 20- and 450-fold selectivity for Cdc25B compared to VHR or PTP1B phosphatases, respectively [36]. The NSC 663284 (16) showed a direct binding to one of the two serine residues in the active site loop of the Cdc25A catalytic domain (Ser114, corresponding to Ser434 in full-length Cdc25A) [36]. Similar compounds JUN 1111 (17) also acted by induction of ROS, which led to irreversible oxidation of the catalytic cysteine thiol to sulfonic acid; therefore, cells were arrested in G1 and G2/M phases of the cell cycle. Enzyme suppression was found to be affected by medium pH, in the presence of catalase and reductants (dithiothreitol and glutathione) [37].
Figure 4.
Quinone structural analogs of vitamin K3 substituted with heteroatoms in the benzene ring.
Quinone structures 18, 19, 20 were reported to have IC50 toward Cdc25B of 0.5 ± 0.1, 1.1 ± 0.1, and 5.3 ± 0.6 µM, respectively. They were designed to have half-wave potentials less than 105 mV, to obtain a stable molecule in its reduced state. Theoretically, it would produce a controlled amount of ROS or H2O2. Unfortunately, it was found that their redox cycle and E1/2 did not match what was expected [38].
Caulibugulones A-F (21–26) are isoquinoline derivatives obtained from the marine bryozoan Caulibugula intermis exhibiting a IC50 values range of 2.7–32.5 μM towards Cdc25B in very intensive selectivity compared with other phosphatases VHR and PTP1B [39]. Caulibugulones A-F (21–26), displayed distinct patterns of differential cytotoxicity against 60 antitumor cell lines. The results showed that 21–26 revealed in vitro cytotoxicity with IC50 values in the range of 0.03–1.67 µg/mL against murine tumor cell line IC-2WT [40,41]. By investigating the inhibitory mechanism of caulibugulone A (21), it was found that its inhibition effect was not attributed to the release of ROS, as caulibugulone A (21) releases a smaller amount of ROS. The inhibition appeared to take place by the stress-activated protein kinase p38 pathway. This protein controls mitosis under the condition of osmotic pressure by degradation of Cdc25A through its phosphorylation at Ser75. Caulibugulone A (21) activated p38 which leads to degradation of Cdc25A with little or no loss of either Cdc25B or C [41].
Dimethyl 2,2′-((5,8-dioxo-5,8-dihydroquinoline-6,7-diyl)bis(sulfanediyl)) diacetate (27) showed IC50 of 1.63 ± 0.21 μM on Cdc25B. In addition, 27 showed inhibition percent of 79 ± 0.9 and 77 ± 2.1% at 100 μM toward HeLa and MiaPaCa-2 cell lines, respectively, while at 10 μM it showed an inhibition of 13 ± 0.9 and 24 ± 15.4% against the same cell lines, respectively [33].
In 2021, Zhan and his coworkers utilized miniaturized synthesis to generate several quinonoid-focused libraries, by standard CuAAC reaction and HBTU-based amide coupling chemistry. They found that the naphthoquinone (M5N36, 28) exhibited higher inhibitory activity (Cdc25A: IC50 = 0.15 ± 0.05 μM, Cdc25B: IC50 = 0.19 ± 0.06 μM, and Cdc25C: IC50 = 0.06 ± 0.06 μM). Hence, M5N36 displayed about three-fold higher potentency against Cdc25C than Cdc25A and B. Thus, M5N36 was recognized to be a promising novel Cdc25C inhibitor [42].
Table 2.
Cdc25 inhibitors based on quinoid structure analogs of vitamin K3 substituted with heteroatoms in the benzene ring.
Table 2.
Cdc25 inhibitors based on quinoid structure analogs of vitamin K3 substituted with heteroatoms in the benzene ring.
| ID | Cdc25 Inhibitory | A549 | IC-2WT | HeLa | MiaPaCa-2 | MDA-MB-436 | PC-3 | ||
|---|---|---|---|---|---|---|---|---|---|
| A | B | C | |||||||
| 16 [36] | 0.5 ± 0.01 * | 0.21 ± 0.08 * | 0.47 ± 0.09 * | 1.48 ± 0.04 | 0.5 | 1 | |||
| 0.91 ± 0.36 * | |||||||||
| 17 [37] | 0.38 ± 0.06 | 1.8 ± 0.7 | 0.66 ± 0.27 | 0.1 | 0.8 | ||||
| 18 [38] | 0.5 ± 0.1 | 22.28 ± 0.62 | |||||||
| 19 [38] | 1.1 ± 0.1 | 2.69 ± 0.08 | |||||||
| 20 [38] | 5.3 ± 0.6 | 9.52 ± 0.33 | |||||||
| 21 [40,41] | 3.38 ± 0.62 | 6.7 ± 1.3 | 5.43 ± 1.22 | 0.34 | |||||
| 22 [40,41] | 1.51 ± 0.2 | 2.7 ± 0.5 | 2.68 ± 0.23 | 0.22 | |||||
| 23 [40,41] | 2.57 ± 0.60 | 5.4 ± 0.7 | 3.31 ± 0.28 | 0.28 | |||||
| 24 [40,41] | 4.89 ± 0.82 | 19.1 ± 0.3 | 10.8 ± 0.46 | 1.67 | |||||
| 25 [40,41] | 18.2 ± 1.13 | 32.5 ± 3.6 | 16.6 ± 0.98 | 0.03 | |||||
| 26 [40,41] | 0.01 | ||||||||
| 27 [33] | 13 ± 0.9 ** (10 µM) | 24 ± 15.4 ** (10 µM) | |||||||
| 79 ± 0.9 ** (100 µM) | 77 ± 2.1 ** (100 µM) | ||||||||
| 28 [42] | 0.15 ± 0.05 | 0.19 ± 0.06 | 0.06 ± 0.06 | ||||||
* Inhibition of cells line measured by nM; ** inhibition of cells line measured by % of inhibition. Other than that, all IC50 values measured by µM.
New quinone structures based on tanshinones were reported as potent inhibitors of Cdc25 (Figure 5, Table 3). Compound 29 was synthesized on a pattern of tanshinone and revealed activity toward Cdc25B (IC50 = 3.21 ± 0.76 µM) [43].
Figure 5.
New quinone structures.
Table 3.
New quinoid structures based on tanshinone patterns as Cdc25 inhibitors.
Additionally, two other series of tanshinone derivatives 30–32 (Figure 5) were synthesized by replacement of the methyl group in site 3 with different ester, acetyl, or alcohol as withdrawing groups. It was found that these electron-withdrawing groups decrease significantly the antitumor activity while the modification at position 2 of the structure did not change the activity. The IC50 of 30, 31, and 32 toward Cdc25A and B were 0.73 ± 0.1 and 0.65 ± 0.09, 0.73 ± 0.04 and 0.48 ± 0.03, 1.10 ± 0.11 and 0.89 ± 0.07 µM, respectively. They were also tested on A549 tumor cell lines and showed IC50 of 1.66 ± 0.13, 3.14 ± 0.03, and 2.80 ± 0.2 µM, respectively [44]. The 3-benzoyl substitution in 3-benzoyl-naphtho[1,2-b]furan-4,5-dione (5169131) (33) stimulated selective inhibition of the Cdc25 enzyme (IC50: 5–10.5 µM) against the three isoforms of the enzyme [45] (Figure 5).
Nocardines A (34) is a natural tanshinone isolated from Nocardia (strain TP-A0248). It exhibited IC50 of 17 µM against Cdc25B and was slightly more potent toward PTP1B (IC50 14 µM). On the other hand, Nocardines A (33) revealed good cytotoxic activity on HeLa cells (IC50 = 0.38 µM) and SBC-5 (IC50 = 0.54 µM). It also affected U937 human myeloid leukemia cell lines with IC50 of 6.25 µM by inducing apoptosis [46] (Figure 5).
Huang et al., synthesized new miltirones as quinones analogs and evaluated their inhibitory activity against Cdc25. Compound 35 of these analogs was the most potent with IC50 of 3.96 ± 0.63, 3.16 ± 0.22, and 4.11 ± 0.40 µM against Cdc25A, B, and C, respectively [47] (Figure 5).
Lazo et al., constructed a library concerning small molecules structurally related to paraquinoid and non-para quinoid to be Cdc25 inhibitors. Four of them were the most potent compounds NSC 135880 (36), 139049 (37) and 115447 (38), with IC50 = 0.125 ± 0.036, 0.210 ± 0.071, and 0.450 ± 0.130 µM, respectively, against Cdc25B phosphatase [48] (Figure 6).
Figure 6.
A library of small molecules structurally related to paraquinoid and non-para quinoid to be Cdc25 dual specificity phosphatase inhibitors.
Compound 39 was discovered as a Cdc25 inhibitor during a biological evaluation of the Dnacin (antitumor antibiotic) analogs. At a concentration of 100 µM, it showed considerable activity against Cdc25A and B (IC50 = 91.4 ± 4.3 and 99.5% ± 1.4) and moderate activity toward VHR (IC50 = 67.2 ± 6.3) and PTP1B (IC50 = 48 ± 4.1) [49].
One of the earlier Cdc25 inhibitors of quinoid scaffold, which naturally originated from Streptomyces sp., is 40 which showed inhibition activity against Cdc25A with IC50 of 15.5% at 10 µM, recording the most potent activities among the isolated compounds [50] (Figure 6).
The most powerful quinone that has ever been discovered is adociaquinones B (41) which was separated from Xestospongia sp. with IC50 of 0.08 ± 0.01, 0.07 ± 0.01 µM against Cdc25A and the B phosphatase catalytic domain [51] (Figure 6). Simplified adociaquinone B analogs 42 and 43 were synthesized and showed IC50 of 0.94 and 0.88 µM against Cdc25B, respectively. When they were tested against human ovarian cell line A2780 they showed IC50 of 4.3 ± 2.3, 2.1 ± 0.02 µM, respectively (Figure 6). They have an advantage over adociaquinone B in their smaller size, which makes them more accessible to the binding site and also gives versatility for derivatization [52].
BN82685 44, an additional quinone-based Cdc25 inhibitor, showed irreversible inhibition against Cdc25 A, B, and C with comparable potency of IC50 of 250, 250, and 170 µM, respectively. BN82685 44 showed activity against xenografted tumors upon testing in vivo and was reported as one of the few inhibitors of Cdc25 by oral administration [53] (Figure 7). All the cancer cell lines were sensitive to BN82685 treatment ranging from 250 to 1 µmol/L. The most sensitive were DU-145, Mia PaCa-2, and A2058 (IC50 of 90, 118, and 134 µmol/L, respectively), while the lowest sensitivity was for IMR-90 normal fibroblasts with IC50 of 1 µmol/L [53].
Figure 7.
Cdc25 inhibitors based on steroid- and dysidolide-like compounds.
A bis quinone IRC-083864 (45) inhibitor of Cdc25 phosphatases was reported. It displayed IC50 of 23 ± 0.4, 11 ± 1.5, 23 ± 1.7, 26 ± 4.4, and 53 ± 9.4 nM against Cdc25C, Cdc25C-catalytic domain, Cdc25A, CdcB2, CdcB3, respectively [54] (Figure 6). Additionally, it showed a potent inhibitory activity on different cell lines including MIA PaCa-2, DU145, LNCaP, MCF-7, and A2058 in nanomolar ranges. Additionally, it showed promising results against several cell lines that reported resistance toward some well-known active agents [54]. The new quinone-based tetracycle 46 provided activity toward Cdc25s with IC50: 5.8, 14.4 and 2.3 μM against Cdc25A, B, and C, respectively [55].
Although 47 and 48 are not quinoids, they were inspired by IRC-083864 46 (Figure 6) [56]. Compound 47 showed IC50 values against Cdc25B (3.4 ± 1.1), and PTP1 (30.6 ± 11.3) at 100 µM, and its inhibition mechanism may be related to ROS production [56]. In contrast, 48 was not considered ROS dependent; meanwhile, it showed inhibitor activity against Cdc25B, PTP1and VHR with IC50 of 1.38 ± 0.1, 24.2 ± 4.5, and 31% at 10 µM, respectively [56].
Compound 49 was intended to be applied as the precursor of 50, but surprisingly it was found to be much more active than the compound of focus (Figure 6). Interestingly, 49 achieved inhibition against Cdc25A (IC50= 2.1 µM, 25-fold higher potency than B and C isoforms). It also induced apoptosis in human hepatoma cell line Hep3B with IC50 of 2.5 µM representing 2.5-fold higher potency than Cpd-5, and 3.2-fold higher potency than Vitamin K3 without harming the normal cells as it did not generate ROS [57,58]. Non-quinone Cpd 5 analog 50 was synthesized in order to obtain a non-quinoid structure to produce less or no ROS. It exhibited an IC50 value of 7.5 µM against Cdc25A.
The indolyldihydroxyquinones group was synthesized as isosteric analogs of paraquinoid. The best derivative was 51 with reversible inhibitory activity (IC50 of 1.0, 1.0, and 3.5 µM) against Cdc25 A, B, and C, respectively [59] (Figure 6).
Quniolinone 52 may be considered as an isosteric analog to quinolinequinone with partial quinoid character (Figure 6). Quniolinone 52 Was produced after several synthetic steps and inhibited Cdc25 phosphatase at 5 µM. Additionally, it was bioassayed with different cell lines but did not appear to have potential activity [60].
7.2. Cdc25 Inhibitors Based on Steroid and Dysidolide-like Compounds
Dysidiolide 53 was the first naturally discovered Cdc25A phosphatase inhibitor (IC50 9.4 µM) with antitumor activity [61]. The γ-hydroxybutenolide group may surrogate the phosphate moiety of the substrate. The hydrophobic side chain is suggested to fill the hydrophobic groove adjacent to the active cysteine [62]. On contrary, Blanchard et al., suggested that the activity of dysidiolide was related to the other component in the crude extract not to the dysidiolide itself [63,64]. The IC50’s of their synthetic dysidiolide were high (35 and 87 µM towards Cdc25A and Cdc25B, respectively); additionally, it showed an inhibitor activity of 5.4 and 7.1 µM against SBC-5 and HL60 cell lines [64].
Dysidiolide 53 was used as a base structure for further optimization. The dysidiolide analog 54 was one of the first examples of 53 analogs with IC50 of 2.2 µM toward Cdc25A phosphatase [62,65,66]. Epi-dysidiolid 55 and 56 are isomers of dysidiolid, and showed certain activity toward Cdc25s. Briefly, 55 showed IC50 of 15 and 19 µM for Cdc25B, whereas 55 revealed IC50 of 13 and 18 µM against Cdc25A and B, respectively. Additionally, compounds 55 and 56 exhibited inhibitory activity against SBC-5 and HL60 cancer cell lines with IC50 of 16 and 13.1 µM for 55, and 1.3 and 1.0 µM for 56 [64].
Compound 57 is a product of ozonolysis of α,β-unsaturated keto acid, 5,6-seco-5-oxo-3-cholesten-6-oic acid, exhibiting moderate inhibitory activities against human Cdc25A protein phosphatase with IC50 equal to 7.9 µM [67]. On the other hand, 58 was synthesized by a solid phase technique and showed Cdc25A phosphatase inhibition with IC50 of 0.8 µM [68].
Depending on the fact that dysidiolid contains two parts, one hydrophobic and other hydrophilic, some isosteres were synthesized 59–64 [69,70,71,72,73,74]. Attachment of the hydrophilic moiety of dysidoiolid to vitamin D3 scaffold led to a group of analogs 59–61. Compound 59 recorded an activity towards Cdc25A and SBC-5 cell lines with IC50 of 7.7 and 47 µM, respectively. Additionally, it arrested the G1 phase of the HL60 tumor cell line [69]. Furthermore, 60 and 61 showed inhibitory activity towards Cdc25A with IC50 of 0.48 and 0.7 µM, besides 1.44 and 3.7 µM towards Cdc25B, sequentially [70,71]. Compound 62 was designed by delivering a long aliphatic chain and showed IC50 on Cdc25A of 1.9 ± 1.0 and 1.6 ± 0.2 µM for E and Z isomers, respectively [72], whereas 63 and 64 are combinations of malic and oleic acid moieties. Compound 63 inhibited Cdc25s A, B, and C by IC50 of 5.1 ± 0.3, 3.6 ± 0.4, and 4.3 ± 1.1 µM, respectively, while 64 showed IC50 of 4.5 ± 1.7, 6.7 ± 0.6, and 8.8 ± 1.3 µM against Cdc25s A, B, and C. They induced apoptosis in the breast cancer (MCF7) and vincristine-resistant (Vcr-R) cell lines with no influence of ROS. They also synergetically augmented the efficiency of Adriamycin and cisplatin in four mentioned cell lines [73,74].
Coscinosulfate 65 was extracted from marine sponge Coscinoderma matthewsi and showed the best activity among its synthetic analogs on Cdc25A phosphatase with IC50 of 3 µM [75].
2-Methoxyestradiol (2-ME) 66 suppressed the growth of hepatoma cells by IC50 of 0.5–3 µM without affecting the normal hepatic cell of the rat up to a concentration of 20 µM. The inhibition mechanism was suggested to happen by competitive inhibition of Cdc25s on the catalytic cysteine using biotin-labeled Cpd 5 (Cpd 5-Bt) as a ligand. The measured IC50 0f 65 was 1, 1, and 10 µM for Cdc25A, B, and C [76].
The Chemical structures of compounds 53–66 and their biological activity are illustrated in Figure 7 and Table 4.
Table 4.
Cdc25 inhibitors based on steroid and dysidolide-like compounds.
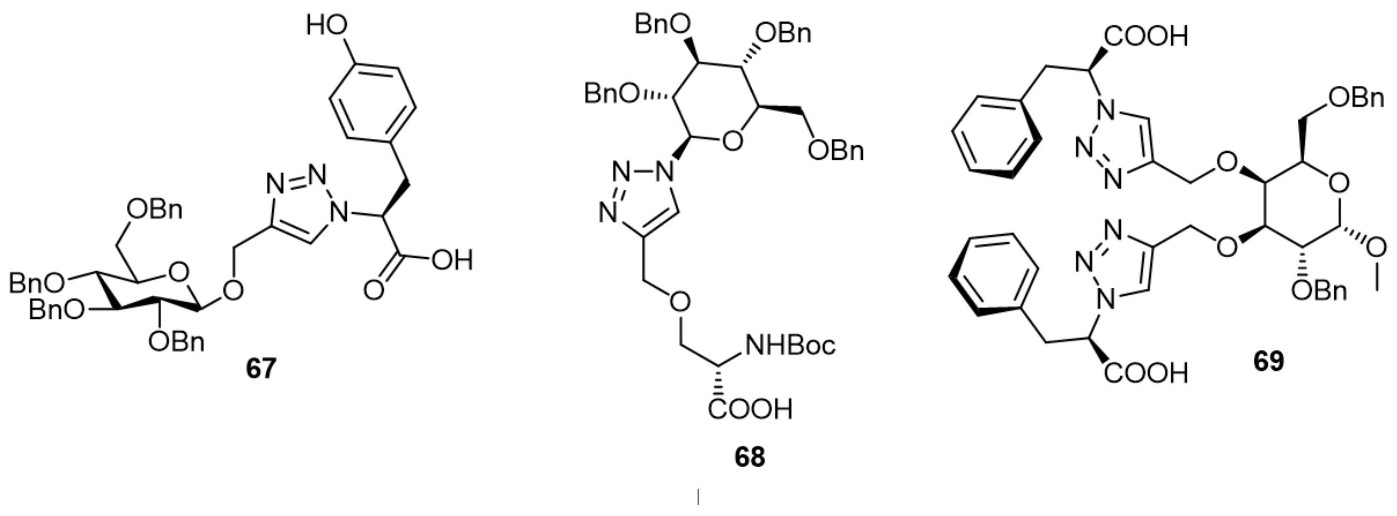
7.3. Cdc25 Inhibitors Based on Glycosidic Structures
Some glycosidic derivatives were proved to be potential inhibitors (Figure 8). Compound 67 was one of the early examples shown by Yang et al., with medium selectivity on Cdc25B with IC50 of 3.9 µM, and on PTP1B with IC50 of 8.3 µM compared with other phosphatases [77]. Compound 68 was another inhibitor of this group with IC50 of 6.2 ± 3.0 µM on Cdc25B. Furthermore, 68 was potent against A549, Hela, and HCT-116 cell lines with IC50 of 35.2 ± 3.2, 25.3 ± 2.4, and 12.8 ± 1.3 µM, respectively [78]. The bis-triazole 69 was synthesized and showed moderate activity on Cdc25B with IC50 of 11.1 ± 1.4 μM and inhibited PTP1B by IC50 = 25 μM [79].
Figure 8.
Cdc25 inhibitors based on Glycosidic.
7.4. Miscellaneous Cdc25 Inhibitors
The synthetic approach of RK-682, isolated from Streptomyces sp., led to compound 70 which is an R stereoisomer that inhibited Cdc25A and B with equal potency of 34 µM. It was more potent against VHR with IC50 of 3.4 µM and not active against protein serine/threonine phosphatase l (PP1) [80]. Another example is compound 71 which showed activity with IC50 of 0.38 ± 0.02 µM against Cdc25B [81].
To replace the resonating negative core of RK-682 with a neutral one as a suggestion to increase cell permeability and selectivity, the enamine 72 (RE44) was developed. It revealed suppression of Cdc25A (IC50: 13.5 ± 3.4 μM) and Cdc25B (IC50:4.26 ± 0.17 μM). No production of ROS was recorded [82].
Depending on the combinatorial chemistry study of some natural products, known as phosphatase inhibitors, a pharmacophore model was postulated and a resulting structure was identified [83]. The most active compound of this template was SC-ααδ9 73 with IC50 of 15 µM against Cdc25A and B [84].
Sulfonylated aminothiazole derivative 74 was synthesized as an analog of SC-ααδ9 72 with a smaller molecular weight and low selectivity toward Cdc25B (IC50: 26 ± 4 µM) in comparison with VHR (IC50: 32 ± 9 µM) and PTP1B (IC50: 24± 4 µM) [85].
FY21-αα09 75 is a modified form of SC-ααδ9 73. FY21-αα09 75 inhibited the Cdc25B2 at concentrations of 3 and 100 µM with inhibition percentages of 36 ± 1.3, and 83 ± 0.6%, respectively. Moreover, at the same concentration (3 and 100 µM) the FY21-αα09 75 showed inhibition percentages towards VHR and PTP1B with values of 11 ± 2.7, 95 ± 2.6, 3.4 ± 1.6, and 78 ± 1.7, respectively [86].
In a patent released in 2002 by Jill et al., an intensive effort was exerted to identify peptidic inhibitors. They combined X-ray and computational methods to identify the 3-D image of amino acids in the natural substrate of the Cdc25 enzyme. Combinatorial chemistry was utilized to synthesize a wide variety of peptidic compounds comprising the crucial amino acids moieties defined in the substrate as reliable for binding with the Cdc25 enzyme. Compound 76 Is a pentapeptide invented by the above-mentioned technique with IC50 of 1.1 μM against Cdc25A [87].
Compound 77 is a thiazolidinone derivative. Its activity as a selective Cdc25A inhibitor was reported in a comparative analysis with MKP-1 by stopping the cell cycle in Go/Gi or S phases. On the other hand, 77 provided cytotoxic activity against different human cancer cell lines including MDA-MB-435, PC-3, A549, and Bx-PC3 [88].
Macrocyclic inhibitors are structurally derived from the steroid and postulated to have the same activity as the steroid. This group showed good selectivity in comparison with other phosphatases. Compound 78 was the best among this group, as it showed inhibition activity with IC50 of 3.5 µM towards CdcB25 phosphatase [89].
BN82002 79 has been synthesized and introduced as a potent Cdc25C phosphatase with IC50 on Cdc25A, B2, B3, C, and C-cat equal to 2.4 ± 1.2, 3.9 ± 0.01, 6.3 ± 4.1, 5.4 ± 3.4, and 4.6 ± 0.5 µM, respectively. When 79 was tested on different cell lines, it gave the following results of IC50 towards Mia PaCa-2 (7.2 ± 0.9 µM), DU-145 (13.5 ± 0.8 µM), U-87 MG (13.9 ± 3.5 µM), LNCaP (22.4 ± 3.1 µM), HT-29 (32.6 ± 8.9 µM), U2OS (11.2 ± 0.6 µM), and HeLa (23 ± 4.5 µM). One of BN82002 derivatives is compound 80, which showed IC50 of 3.9 ± 0.4 µM against Cdc25C during in vitro enzyme assay [90,91].
Poly prenyl furanes 81 and hydroquinones 82 were isolated from three sponge species and demonstrated potential activity towards Cdc25A phosphatase with IC50 of 2.5 and 0.4 µM [92].
Suramin 83, which was originally used to treat sleeping sickness, revealed IC50 towards Cdc25A of 1.5 ± 0.2 µM. In 2004, McCain et al., synthesized NF171 84, NF279 85, and NF280 86 that were closely similar to suramin and showed an inhibitory activity with IC50’s of 1.8 ± 0.4, 1.0 ± 0.3, and 0.84 ± 0.28 µM towards Cdc25A [93,94].
Compounds 87 and 88 were structurally inspired by suramin. Compound 87 showed high potency with IC50 equal to 0.38 ± 0.04 on Cdc25A but with no selectivity, whereas compound 88 showed IC50 of 3.2 ± 0.3 on the same target but with great selectivity versus other phosphatases [94].
Fascaplysin 89 is an alkaloid isolated from Thorectandra sp. sponge and revealed an IC50 value of 1.0 µg/mL against Cdc25B. Sesterterpenoids 90 was obtained from the previously mentioned organism and demonstrated IC50 (µg/mL) of 1.6 on Cdc25B [95].
Diterpenoid 91 was obtained from a sea anemone and revealed an inhibitory activity against Cdc25B with IC50 of 1.6 µg/mL [96].
Some dimers of cinnamaldehyde were synthesized by Shin et al.; compound 92, a member of this group, inhibited Cdc25B by 95% at 10 µM with IC50 equal to 1.94 µM, whereas it showed less activity on Cdc25A with IC50 of 19.24 µM [97].
Cheon et al., invented a large number of thiazolidine derivatives, and they evaluated the efficiency of one of them (93). Compound 93 was examined against Cdc25B and some cancerous cell lines, namely A-549, HT29, and MCF-7. The IC50 of this compound, when incubated with the protein, was 2.26 µM and it appeared to be more active against the previously mentioned cell lines in comparison with the reference at 10 µM with IC50 of 67.5, 59.7, and 67.3%, respectively [98].
LGH00045 94 was discovered by high-throughput screening and revealed good selectivity against Cdc25 phosphatases. The IC50 values of 94 against Cdc25A and Cdc25B were 0.53 ± 0.02 and 0.82 ± 0.08 μM, respectively [99].
Wook Ham and his coworkers identified eight novel Cdc25B inhibitors by virtual screening. They found that compounds 95, 96 reversibly inhibited Cdc25B by IC50 values of 0.21 ± 0.06 µM and 0.20 ± 0.09 µM, respectively. Additionally, compounds 95, and 96 revealed 10-fold higher selectivity toward Cdc25B phosphatase than Cdc25A [100].
Ethyl-(2Z)-5-(1,3-benzodioxol-5-yl)-2-(3,5-dibromo-4-hydroxybenzylidene)-7-methyl-3-oxo-2,3-dihydro-5H-[1,3]thiazolo [3,2-a]pyrimidine-6-carboxylate 97 is the most potent thiazolo-pyrimidine structure. It was synthesized and investigated by Braud et al., in 2009 and showed IC50 of 4.5 ± 0.2 µM on MBP–Cdc25B3 in a dose-dependent manner and 3.4 ± 1.8 µM on a LNCaP cell line. The mechanism of inhibition appeared to not be dependent on ROS release, which is contrary to the quinoid-based structure [101]. Moreover, the same research group modified the previous compound by application of azide-alkyne cycloaddition (click reaction) to obtain compound 98. Compound 98 was a potent inhibitor with IC50 of 3.0 µM towards Cdc25B. Its activity included specific H-bond networking with the inhibitor binding pocket of the enzyme [102].
Ryu and his coworkers identified 99 and 100 as novel Cdc25 phosphatase inhibitors with micromolar activity utilizing a structure-based de novo design method. The IC50s of both structures toward Cdc25A and B were 5.1, 1.2, 4.7, 2.3 µM, respectively [103].
8-Hydroxy-7-(6-sulfonaphthalen-2-yl)diazenyl-quinoline-5-sulfonic acid (NSC-87877) 101 is an example of a competitive inhibitor with high selectivity against Cdc25A and Cdc25B with IC50 of 0.60 ± 0.004 and 1.29 ± 0.35 µM, respectively [104].
In 2010, Chen et al., delivered a series of N-substituted maleimide fused-pyrazole analogs with Cdc25B inhibitory activity, starting from a high-throughput screening hit. A simplified 3,5-diacyl pyrazole analog was introduced as a promising inhibitor (102, IC50 = 0.12 μM) with a 270-fold increase in potency [105].
A coumarine-based structure was first introduced as a potential Cdc25 inhibitor scaffold in 2010; 103 was the most active hit among other derivatives which were under investigation. The activity of 103 exhibited IC50 of 27 and 29 µM towards A and B isoforms, and it inhibited Cdc25A, B, and C by percentages of 94.2 ± 7.3, 35 ± 5.5, and 79.3 ± 2.8, respectively at 100 µM [106].
Using HTS techniques, Choi and his coworkers discovered a non-peptide, small inhibitor of PTP-1B that serves as an oral glucose-lowering agent. Among them, the KR61170 (B) 104 has shown PTP-1B inhibitory activity of IC50 equal to 0.29 ± 0.1, as well as Cdc25A, B inhibitory properties with IC50 of 1.5 ± 0.3 and 0.17 ± 0.1 µM, respectively [107].
In 2009, The University of Pittsburgh Molecular Library Screening Center (Pittsburgh, PA, USA) conducted a screen with the NIH compound library for inhibitors of Cdc25B. Six of the nonoxidative hits were selective for Cdc25B inhibition versus MKP-1 and MKP-3. Only the two bisfuran-containing hits, (105) and (106), significantly inhibited the Cdc25B with IC50’s of 11.6 and 15.5 μM, respectively. In addition, they significantly inhibited the growth of the MBA-MD-435 breast and PC-3 prostate cancer cell lines with IC50’s of 96.2 ± 68, 15.3 ± 1.36, 50.4 ± 8.6, and 47.5 ± 2.75 μM, respectively. They suppressed enzymes in a mechanism that appeared to be not related to H2O2 or ROS production, which makes it safer and interesting for further investigation [108].
(±)-3-(2-(2-Fluorobenzyloxy) naphthalen-6-yl)-2-aminopropanoic acid derivatives are structurally based on phosphotyrosine, and they were intentionally designed as PTP1B inhibitors. Among the studied compounds, 107 exhibited good activity toward Cdc25B (IC50: 2.49 ± 0.13 μM), with poor selectivity in comparison with other phosphatases PTP1B (IC50: 1.57 ± 0.22 μM) and TCPTP (IC50: 3.67 ± 0.46 μM) [109].
The well-known antitumor activity of coumarin and its diallyl polysulfides was the spark of the synthesis of new dicoumarine products linked together with di, tri, and tetra sulfide linkage. This group of derivatives exhibited activity against HCT116 cell lines in a time and dose-dependent manner. The reduction in cell viability was 30%, 22%, and 18% for 108, 109, and 110 when treated with 25 µM and to 50% in the concentration of 50 µM. ROS release was the proposed mechanism of cellular inhibition as it happened at the G2/M phase which is mainly regulated by Cdc25C phosphatase [110]. Compounds 108, 109, and 110 decreased the level of Cdc25A and C, and this activity was proportional to the increasing number of the sulfur atoms but less than the activity of BN82002 (79) [110].
An imidazopyridine derivative, 1-(3,4-dihydroxyphenyl)-2-((4-(furan-2-ylmethyl)-5-(p-tolyl)-4H-1,2,4-triazol-3-yl)thio) ethan-1-one (111, CHEQ-2), is structurally related to compound 108. It demonstrated an improved inhibitory ability relative to XDW-1 and VK3 and showed favorable inhibition on the proliferation of tumor cells. Its IC50 against Cdc25 A, B, and HT-29, HepG2 cells lines were 0.39, 1.26, 24.20, and 11.25 μM, respectively. Similar to BN82685 44, CHEQ-2 (111) was bioavailable by the oral route of administration and halted the growth of xenografted human liver tumor growth in mice by 42.1% for 14 days of administration (10 mg/kg/day) with significant low toxicity (LD50 > 2000 mg/kg) [111].
Recently, the two triterpenoids 3β-hydroxylanosta-8,24Z-dien-26-oic acid (112) and cyclooctenol (113) were isolated from the stem and leaves of Schisandra chinensis. They showed significant inhibition of Cdc25A phosphatase with inhibitory rates of 85.5% and 98.1%, respectively at 100 µM [112].
Moreover, a series of 2,3-dioxoindolin-N-phenylacetamide derivatives was synthesized and evaluated for their inhibitory activity against Cdc25B and PTP1B enzymes. 2-(4-Chloro-2,3-dioxoindolin-1-yl)-N-phenylacetamide (114) showed the most inhibitory activity with IC50 values of 3.2 and 2.9 μg/mL against Cdc25B and PTP1B, respectively[113].
Early published work by Lauria et al., identified (115, J3955) as Cdc25 modulators by the correlation between the chemosensitivity of J3955 and the protein expression pattern of the target enzyme. J3955 (115) showed concentration-dependent antiproliferative activity against HepG2 cells with GI50 of 1.50 ± 0.37 µM. Western blotting analysis showed an increment of phosphorylated Cdk1 levels in cells exposed to J3955, indicating its specific influence in cellular pathways involving Cdc25 A, B, and C proteins with IC50’s of 1.12 ± 0.09, 2.19 ± 0.07, and 2.22 ± 0.07 µM, respectively [114]. The mentioned miscellaneous Cdc25 inhibitors 70–115 are represented in Figure 9.

Figure 9.
Miscellaneous Cdc25 inhibitors.
8. Computational Methods to Discover and Optimize Cdc25 Inhibitors
Molecular modeling and other computational techniques have been applied for screening of large libraries of compounds or for much greater comprehension of the mode of interaction of already proven active compounds.
One of the earlier molecular modeling computational analyses was applied for vitamin K3 derivative (Cpd5,2) with Cdc25A phosphatase. Cpd 5 (2) was found to be closer to the enzyme active site than VK3. It was bound with more favorable energy forming an adduct with the catalytic cysteine [25].
In 2006, Lavecchia et al., investigated the structural models for the interaction of various Cdc25B inhibitors namely 16 and 51 with the enzyme via AUTODOCK and GOLD computational docking programs [115]. In GOLD model, compound 51 was found to have dihydroxyquinone ring fitting in catalytic sites and 7-(2-methyl-benzyl)indolyl was placed between Arg482 and Arg544. The 4-carbonyl oxygen accepted the H-bonds from Arg479, and the 5-OH was involved in H-bonding with Phe475, Ser477, and Glu478. For compound 16 the more likely pose (AUTODOCK model) involved electrostatic interaction between 5,8-oxygen of the quinone and Arg544, Arg482, and Tyr428. The nitrogen atom of pyridine made a hydrogen bond with Arg482. The oxygen of the side-chain shared in this hydrogen bonds network with Phe475 and Arg479 (Figure 10) [115].
Figure 10.
The binding modes of compounds 51 and 16 inside the binding groove of Cdc25B simulated by a AUTODOCK and b GOLD.
In 2008, Park and his coworkers studied the mode of the interaction of NSC 95397 (8) by AUTODOCK and nanosecond molecular dynamics simulations. The molecule was fitted into the active site of Cdc25B forming hydrogen bonds with Glu478, Glu474, Arg544, and Tyr428. It was also found that the hydrophobic interaction plays a critical role in the strong stabilization of NSC 95397 (8) [116].
Another structure-Based virtual screening trial based on molecular modeling led to the discovery of some structures. Among them, 116 was the most potent with IC50 of 0.82 ± 0.41 µM (Cdc25A) and 1.98 ± 0.44 µM (Cdc25B). The binding mode of 118 was determined using the available crystal structure of Cdc25B and a homology modeling of the Cdc25A structure. The orientation of the molecule in both enzymes was different due to the smaller active site of Cdc25A. Dihydroxyphenylcarbonyl moiety formed hydrogen bonds with the backbone of the enzyme while triazole moiety mimics the phosphate group of the substrate. The toluene group was stabilized by hydrophobic interaction with Trp507 and Arg501 in the Cdc25A which may explain the increased activity against it (Figure 11) [117].
Figure 11.
The theoretical binding orientations of 116 (yellow stick) in the active sites of (a) Cdc25A and (b) Cdc25B.
Another trial of structure-based virtual ligand screening computations was done with FRED, Surflex, and LigandFit, towards a compound collection of over 310,000 druglike molecules and the crystal structure of Cdc25B. Ninety-nine compounds were identified as promising Cdc25 inhibitors that also exhibited antiproliferative properties. In the same study, the biological analysis of 117 and 118 (Figure 12) proved them as the most potent among the tested molecules (IC50 of 13.0 ± 0.5 and 19 ± 1.3 µM) toward Cdc25B and (IC50 of 15.8 ± 1.8 and 3.6 ± 1.2 µM) toward HeLa cells, respectively. The results previously obtained according to the bioassay did not match the computational analysis [118].
Figure 12.
Chemical structures of compounds 117, 118, 119 and 120.
Using de novo drug design probed by LigBuilder program, structure 119 was identified (Figure 12). It was tested on Cdc25A and B to give IC50 equal to 2.3 and 1.7 µM, respectively. The mode of interaction with the enzyme was examined by AUTODOCK. It was found to be fitted in a slightly different way between Cdc25A and B. The terminal phenyl ring was inserted deeper in the larger active site of the B isoform and established hydrophobic interaction with Tyr428, Arg479, and Met531 which may describe the higher activity against this isoform. Cyano and furan moieties interact with both enzymes in a similar pattern of hydrogen bonds while the thiol group appeared to surrogate the phosphate of the substrate in both active sites [119].
A molecular field point strategy was recently employed by a Field Templater software package to scan the pharmacophores which are essential for the activity of reversible Cdc25s inhibition. Three derivatives of scaffolds thiazolopyrimidine, pyrazole, and naphthofurandione, which are known as reversible inhibitors, were used as templates to build up a pharmacophore model. They were used for scanning a wide library of compounds (~3.5 million) and introducing promising candidates which would be subjected to biological studies. Compound 120 (Figure 12) was an example of these products offered by this type of drug discovery. It exhibited IC50’s of 2.7 ± 1.7, 1.7 ± 2.0, and 9.7 against A, B, and C isoforms, respectively, and 26.0 ± 1.0 on VHR [120].
In 2019, Ferrari and his co-workers conducted a pharmacophore-guided drug discovery program for the identification of scaffolds of the naphthoquinone group displaying inhibition of Cdc25. They found that 2-(2′,4′-dihydroxyphenyl)-8-hydroxy-1,4-naphthoquinone (121, UPD-140) and 5-hydroxy-2-(2,4-dihydroxyphenyl) naphthalene-1,4-dione (122, UPD-176) were the most potent compounds that induced inhibition of CDK1 activity and blocked the mitotic transition followed by cell death (Figure 13). In mouse Apc/K-Ras mutant duodenal organoids, low doses of Cdc25 inhibitors caused the arrest of proliferation and expression of differentiation markers, whereas high doses induced cell death. In zebrafish embryos, used as in vivo xenograft models, the Cdc25 inhibitors led to tumor regression and reduction in metastases [121].
Figure 13.
The chemical structures of 121, 122, and the docking of UPD-140, 121 into the Cdc25B catalytic site.
9. Conclusions
This review aims to summarize the present state-of-the-art regarding design of Cdc25 phosphatase inhibitors. The discovery of new Cdc25 inhibitors is extremely significant for cancer therapy due to the critical roles that these phosphatases play in regulating cell-cycle progression. From the studies mentioned in this review article, no certain scaffold can be identified as an exclusive Cdc25 phosphatase inhibitor. Many potent Cdc25 inhibitors were synthesized or isolated from natural extracts. Meanwhile, quinoids are considered the most potent inhibitors despite their toxicity. Quinoids act mainly as Michael acceptors for the negative charge of Cys-S− in the catalytic domain. It seems that the small size of quinoids allows them to be suited to the adjacent swimming pool which gives them a good chance to play their roles correctly. One of the promising perspectives for finding an efficient inhibitor may depend on the optimization of the already discovered quinoids to eliminate their toxicity without diminishing their activity. Molecular modeling and other computational techniques have been applied for screening large libraries of compounds and to shed the light on the mode of interaction of already proven active compounds.
Author Contributions
A.B.A. made the bibliography, analyzed the literature, wrote the first drafts, and revised the final one. E.R.E.-S. corrected the manuscript and wrote the final draft. She also updated the article, added the most recent results, and developed the molecular modeling part. A.G.H. suggested the topic of the article, revised the manuscript, and adjusted it to be in a suitable form for publication. D.B. was responsible for the revision of the biological parts, and the organization of the information. G.K. supervised the whole process of article writing and editing, he set up the network between all contributors. He was responsible for the final revision and development of the concept of the review. All authors have read and agreed to the published version of the manuscript.
Funding
This research received no external funding.
Conflicts of Interest
The authors declare no conflict of interest.
Abbreviations
| Cdk/Cyc | Cyclin-dependent kinase |
| PTP1B | Protein tyrosine phosphatase 1B |
| PTPs | protein tyrosine phosphatases |
| DSPs | dual-specificity phosphatases |
| VHR | A dual specificity phosphatase, V accinia-H 1 R elated (VHR) phosphatase |
| RK-682 | (R)-3-Hexadecanoyl-5-hydroxymethyltetronic acid, (R)-4-Hydroxy-5-(hydroxyl-methyl)-3-(1-oxohexadecyl)-2(5H)-furanone |
| ROS | reactive oxygen species |
| SC-ααδ9 | 4-(Benzyl-(2-[(2,5-diphenyloxazole-4-carbonyl)amino]ethyl)carbamoyl)-2-decanoyl-aminobutyric acid |
| PP1 | Protein phosphatase 1 |
| PP2A | Protein phosphatase 2 |
| PP3 | Protein phosphatase 3 |
| FY21-αα09 | 2-(Decanoylamino)-5-[[(1β)-4α-[[(2,5-diphenyl-4-oxazolyl)carbonyl]amino]cyclo-hexyl]amino]-5-oxopentanoic acid |
| BN82002 | 4-(dimethylamino)-2-methoxy-6-[[methyl-[2-(4-nitrophenyl) ethyl] amino] methyl]phenol |
| NIH | National Institutes of Health |
| MKP | Mitogen-activated protein kinase phosphatase |
| XDW-1 | 2-(4-(4-chlorophenyl)-5-p-tolyl-4H-1,2,4-triazol-3-ylthio)-1-(3,4-dihydroxyphenyl) ethanone |
| VK3 | vitamin K3 |
References
- Parks, J.M.; Hu, H.; Rudolph, J.; Yang, W. Mechanism of Cdc25B Phosphatase with the Small Molecule Substrate P-Nitrophenyl Phosphate from QM/MM-MFEP Calculations. J. Phys. Chem. B 2009, 113, 5217–5224. [Google Scholar] [CrossRef] [PubMed]
- Kim, K.-R.; Kwon, J.-L.; Kim, J.-S.; No, Z.; Kim, H.R.; Cheon, H.G. EK-6136 (3-Methyl-4-(O-Methyl-Oximino)-1-Phenylpyrazolin-5-One): A Novel Cdc25B Inhibitor with Antiproliferative Activity. Eur. J. Pharmacol. 2005, 528, 37–42. [Google Scholar] [CrossRef] [PubMed]
- Hoffmann, I.; Karsenti, E. The Role of Cdc25 in Checkpoints and Feedback Controls in the Eukaryotic Cell Cycle. J. Cell Sci. 1994, 1994, 75–79. [Google Scholar] [CrossRef] [PubMed]
- Hoffmann, I. The Role of Cdc25 Phosphatases in Cell Cycle Checkpoints. Protoplasma 2000, 211, 8–11. [Google Scholar] [CrossRef]
- Cairns, J.; Ly, R.C.; Niu, N.; Kalari, K.R.; Carlson, E.E.; Wang, L. CDC25B Partners with PP2A to Induce AMPK Activation and Tumor Suppression in Triple Negative Breast Cancer. NAR Cancer 2020, 2, 39. [Google Scholar] [CrossRef]
- Rudolph, J. Cdc25 Phosphatases: Structure, Specificity, and Mechanism. Biochemistry 2007, 46, 3595–3604. [Google Scholar] [CrossRef]
- Boutros, R.; Dozier, C.; Ducommun, B. The When and Wheres of CDC25 Phosphatases. Curr. Opin. Cell Biol. 2006, 18, 185–191. [Google Scholar] [CrossRef]
- Liu, K.; Zheng, M.; Lu, R.; Du, J.; Zhao, Q.; Li, Z.; Li, Y.; Zhang, S. The Role of CDC25C in Cell Cycle Regulation and Clinical Cancer Therapy: A Systematic Review. Cancer Cell. Int. 2020, 20, 213. [Google Scholar] [CrossRef]
- Holmes, T.R.; Al-Matouq, J.; Holmes, M.; Nicola, L.; Rudd, J.C.; Lovas, S.; Hansen, L.A. Targeting 14-3-3ε-CDC25A Interactions to Trigger Apoptotic Cell Death in Skin Cancer. Oncotarget 2020, 11, 3267–3278. [Google Scholar] [CrossRef]
- Ham, S.W.; Park, J.; Lee, S.J.; Kim, W.; Kang, K.; Choi, K.H. Naphthoquinone Analogs as Inactivators of Cdc25 Phosphatase. Bioorg. Med. Chem. Lett. 1998, 8, 2507–2510. [Google Scholar] [CrossRef]
- Wu, F.Y.; Sun, T.P. Vitamin K3 Induces Cell Cycle Arrest and Cell Death by Inhibiting Cdc25 Phosphatase. Eur. J. Cancer 1999, 35, 1388–1393. [Google Scholar] [CrossRef]
- Lavecchia, A.; Di Giovanni, C.; Novellino, E. Inhibitors of Cdc25 Phosphatases as Anticancer Agents: A Patent Review. Expert Opin. Ther. Pat. 2010, 20, 405–425. [Google Scholar] [CrossRef]
- Rudolph, J. Catalytic Mechanism of Cdc25. Biochemistry 2002, 41, 14613–14623. [Google Scholar] [CrossRef]
- Sohn, J.; Rudolph, J. Catalytic and Chemical Competence of Regulation of Cdc25 Phosphatase by Oxidation/Reduction. Biochemistry 2003, 42, 10060–10070. [Google Scholar] [CrossRef]
- Gao, X.; Wang, Q.; Wang, Y.; Liu, J.; Liu, S.; Liu, J.; Zhou, X.; Zhou, L.; Chen, H.; Pan, L.; et al. The REGγ Inhibitor NIP30 Increases Sensitivity to Chemotherapy in P53-Deficient Tumor Cells. Nat. Commun. 2020, 11, 3904. [Google Scholar] [CrossRef]
- Sur, S.; Agrawal, D.K. Phosphatases and Kinases Regulating CDC25 Activity in the Cell Cycle: Clinical Implications of CDC25 Overexpression and Potential Treatment Strategies. Mol. Cell Biochem. 2016, 416, 33–46. [Google Scholar] [CrossRef]
- Boutros, R.; Lobjois, V.; Ducommun, B. CDC25 Phosphatases in Cancer Cells: Key Players? Good Targets? Nat. Rev. Cancer 2007, 7, 495–507. [Google Scholar] [CrossRef]
- Rudolph, J. Targeting the Neighbor’s Pool. Mol. Pharmacol. 2004, 66, 780–782. [Google Scholar] [CrossRef]
- Kristjánsdóttir, K.; Rudolph, J. Cdc25 Phosphatases and Cancer. Chem. Biol. 2004, 11, 1043–1051. [Google Scholar] [CrossRef]
- Sohn, J.; Parks, J.M.; Buhrman, G.; Brown, P.; Kristjánsdóttir, K.; Safi, A.; Edelsbrunner, H.; Yang, W.; Rudolph, J. Experimental Validation of the Docking Orientation of Cdc25 with Its Cdk2-CycA Protein Substrate. Biochem. J. 2005, 44, 16563–16573. [Google Scholar] [CrossRef]
- Reynolds, R.A.; Yem, A.W.; Wolfe, C.L.; Deibel, M.R.; Chidester, C.G.; Watenpaugh, K.D. Crystal Structure of the Catalytic Subunit of Cdc25B Required for G2/M Phase Transition of the Cell Cycle11Edited by I. A. Wilson. J. Mol. Biol. 1999, 293, 559–568. [Google Scholar] [CrossRef]
- Rudolph, J.; Epstein, D.M.; Parker, L.; Eckstein, J. Specificity of Natural and Artificial Substrates for Human Cdc25A. Anal. Biochem. 2001, 289, 43–51. [Google Scholar] [CrossRef]
- Borgne-Sanchez, A.; Meijer, L. Sequential Dephosphorylation of P34cdc2 on Thr-14 and Tyr-15 at the Prophase/Metaphase Transition. J. Biol. Chem. 1996, 271, 27847–27854. [Google Scholar] [CrossRef]
- Tao, Y.; Hao, X.; Ding, X.; Cherukupalli, S.; Song, Y.; Liu, X.; Zhan, P. Medicinal Chemistry Insights into Novel CDC25 Inhibitors. Eur. J. Med. Chem. 2020, 201, 112374. [Google Scholar] [CrossRef]
- Markovits, J.; Wang, Z.; Carr, B.I.; Sun, T.P.; Mintz, P.; Le Bret, M.; Wu, C.-W.; Wu, F.Y.-H. Differential Effects of Two Growth Inhibitory K Vitamin Analogs on Cell Cycle Regulating Proteins in Human Hepatoma Cells. Life Sci. 2003, 72, 2769–2784. [Google Scholar] [CrossRef]
- Peyregne, V.P.; Kar, S.; Ham, S.W.; Wang, M.; Wang, Z.; Carr, B.I. Novel Hydroxyl Naphthoquinones with Potent Cdc25 Antagonizing and Growth Inhibitory Properties. Mol. Cancer Ther. 2005, 4, 595–602. [Google Scholar] [CrossRef]
- Kar, S.; Wang, M.; Ham, S.W.; Carr, B.I. Fluorinated Cpd 5, a Pure Arylating K-Vitamin Derivative, Inhibits Human Hepatoma Cell Growth by Inhibiting Cdc25 and Activating MAPK. Biochem. Pharmacol. 2006, 72, 1217–1227. [Google Scholar] [CrossRef] [PubMed]
- Wang, Z.; Southwick, E.C.; Wang, M.; Kar, S.; Rosi, K.S.; Wilcox, C.S.; Lazo, J.S.; Carr, B.I. Involvement of Cdc25A Phosphatase in Hep3B Hepatoma Cell Growth Inhibition Induced by Novel K Vitamin Analogs. Cancer Res. 2001, 61, 7211–7216. [Google Scholar] [PubMed]
- Kar, S.; Lefterov, I.M.; Wang, M.; Lazo, J.S.; Scott, C.N.; Wilcox, C.S.; Carr, B.I. Binding and Inhibition of Cdc25 Phosphatases by Vitamin K Analogues. Biochemistry 2003, 42, 10490–10497. [Google Scholar] [CrossRef] [PubMed]
- Brun, M.-P.; Braud, E.; Angotti, D.; Mondésert, O.; Quaranta, M.; Montes, M.; Miteva, M.; Gresh, N.; Ducommun, B.; Garbay, C. Design, Synthesis, and Biological Evaluation of Novel Naphthoquinone Derivatives with CDC25 Phosphatase Inhibitory Activity. Bioorgan. Med. Chem. 2005, 13, 4871–4879. [Google Scholar] [CrossRef] [PubMed]
- Shimbashi, A.; Tsuchiya, A.; Imoto, M.; Nishiyama, S. Synthesis of the Naphthalene-Derived Inhibitors against Cdc25A Dual-Specificity Protein Phosphatase and Their Biological Activity. Bioorg. Med. Chem. Lett. 2005, 15, 61–65. [Google Scholar] [CrossRef]
- Braud, E.; Goddard, M.; Kolb, S.; Brun, M.-P.; Mondésert, O.; Quaranta, M.; Gresh, N.; Ducommun, B.; Garbay, C. Novel Naphthoquinone and Quinolinedione Inhibitors of CDC25 Phosphatase Activity with Antiproliferative Properties. Bioorgan. Med. Chem. 2008, 16, 9040–9049. [Google Scholar] [CrossRef]
- Besset, T.; Braud, E.; Jarray, R.; Garbay, C.; Kolb, S.; Leo, P.-M.; Morin, C. Preparation and Evaluation of a Set of Bis(Methoxycarbonylmethylthio) Heteroquinones as CDC25B Phosphatase Inhibitors. Eur. J. Chem. 2011, 2, 433–440. [Google Scholar] [CrossRef]
- Bana, E.; Sibille, E.; Valente, S.; Cerella, C.; Chaimbault, P.; Kirsch, G.; Dicato, M.; Diederich, M.; Bagrel, D. A Novel Coumarin-Quinone Derivative SV37 Inhibits CDC25 Phosphatases, Impairs Proliferation, and Induces Cell Death. Mol. Carcinog 2015, 54, 229–241. [Google Scholar] [CrossRef]
- Sibille, E.; Bana, E.; Chaouni, W.; Diederich, M.; Bagrel, D.; Chaimbault, P. Development of a Matrix-Assisted Laser Desorption/Ionization-Mass Spectrometry Screening Test to Evidence Reversible and Irreversible Inhibitors of CDC25 Phosphatases. Anal. Biochem. 2012, 430, 83–91. [Google Scholar] [CrossRef]
- Lazo, J.S.; Aslan, D.C.; Southwick, E.C.; Cooley, K.A.; Ducruet, A.P.; Joo, B.; Vogt, A.; Wipf, P. Discovery and Biological Evaluation of a New Family of Potent Inhibitors of the Dual Specificity Protein Phosphatase Cdc25. J. Med. Chem. 2001, 44, 4042–4049. [Google Scholar] [CrossRef]
- Brisson, M.; Nguyen, T.; Wipf, P.; Joo, B.; Day, B.W.; Skoko, J.S.; Schreiber, E.M.; Foster, C.; Bansal, P.; Lazo, J.S. Redox Regulation of Cdc25B by Cell-Active Quinolinediones. Mol. Pharmacol. 2005, 68, 1810–1820. [Google Scholar] [CrossRef]
- Keinan, S.; Paquette, W.D.; Skoko, J.J.; Beratan, D.N.; Yang, W.; Shinde, S.; Johnston, P.A.; Lazo, J.S.; Wipf, P. Computational Design, Synthesis and Biological Evaluation of Para-Quinone-Based Inhibitors for Redox Regulation of the Dual-Specificity Phosphatase Cdc25B. Org. Biomol. Chem. 2008, 6, 3256–3263. [Google Scholar] [CrossRef]
- Wipf, P.; Joo, B.; Nguyen, T.; Lazo, J.S. Synthesis and Biological Evaluation of Caulibugulones A–E. Org. Biomol. Chem. 2004, 2, 2173–2174. [Google Scholar] [CrossRef]
- Milanowski, D.J.; Gustafson, K.R.; Kelley, J.A.; McMahon, J.B. Caulibugulones A-F, Novel Cytotoxic Isoquinoline Quinones and Iminoquinones from the Marine Bryozoan Caulibugula Intermis. J. Nat. Prod. 2004, 67, 70–73. [Google Scholar] [CrossRef]
- Brisson, M.; Foster, C.; Wipf, P.; Joo, B.; Tomko, R.J.; Nguyen, T.; Lazo, J.S. Independent Mechanistic Inhibition of Cdc25 Phosphatases by a Natural Product Caulibugulone. Mol. Pharmacol. 2007, 71, 184–192. [Google Scholar] [CrossRef]
- Tao, Y.; Hao, X.; Jing, L.; Sun, L.; Cherukupalli, S.; Liu, S.; Wu, G.; Xu, S.; Zhang, X.; Shi, X.; et al. Discovery of Potent and Selective Cdc25 Phosphatase Inhibitors via Rapid Assembly and in Situ Screening of Quinonoid-Focused Libraries. Bioorg. Chem. 2021, 115, 105254. [Google Scholar] [CrossRef]
- Huang, W.G.; Jiang, Y.Y.; Li, Q.; Li, J.; Li, J.Y.; Lu, W.; Cai, J.C. Synthesis and Biological Evaluation of (±)-Cryptotanshinone and Its Simplified Analogues as Potent CDC25 Inhibitors. Tetrahedron 2005, 61, 1863–1870. [Google Scholar] [CrossRef]
- Huang, W.; Li, J.; Luo, Y.; Li, J.; Lu, W. Synthesis of Tanshinone IIA Analogues and Their Inhibitory Activities against Cdc25 Phosphatases. Chin. Chem. Lett. 2009, 20, 1461–1464. [Google Scholar] [CrossRef]
- Brisson, M.; Nguyen, T.; Vogt, A.; Yalowich, J.; Giorgianni, A.; Tobi, D.; Bahar, I.; Stephenson, C.R.J.; Wipf, P.; Lazo, J.S. Discovery and Characterization of Novel Small Molecule Inhibitors of Human Cdc25B Dual Specificity Phosphatase. Mol. Pharmacol. 2004, 66, 824–833. [Google Scholar] [CrossRef]
- Otani, T.; Sugimoto, Y.; Aoyagi, Y.; Igarashi, Y.; Furumai, T.; Saito, N.; Yamada, Y.; Asao, T.; Oki, T. New Cdc25B Tyrosine Phosphatase Inhibitors, Nocardiones A and B, Produced by Nocardia Sp. TP-A0248: Taxonomy, Fermentation, Isolation, Structural Elucidation and Biological Properties. J. Antibiot. 2000, 53, 337–344. [Google Scholar] [CrossRef][Green Version]
- Huang, W.; Li, J.; Zhang, W.; Zhou, Y.; Xie, C.; Luo, Y.; Li, Y.; Wang, J.; Li, J.; Lu, W. Synthesis of Miltirone Analogues as Inhibitors of Cdc25 Phosphatases. Bioorg. Med. Chem. Lett. 2006, 16, 1905–1908. [Google Scholar] [CrossRef] [PubMed]
- Lazo, J.S.; Nemoto, K.; Pestell, K.E.; Cooley, K.; Southwick, E.C.; Mitchell, D.A.; Furey, W.; Gussio, R.; Zaharevitz, D.W.; Joo, B.; et al. Identification of a Potent and Selective Pharmacophore for Cdc25 Dual Specificity Phosphatase Inhibitors. Mol. Pharmacol. 2002, 61, 720–728. [Google Scholar] [CrossRef] [PubMed]
- Wipf, P.; Hopkins, C.R.; Phillips, E.O.; Lazo, J.S. Separation of Cdc25 Dual Specificity Phosphatase Inhibition and DNA Cleaving Activities in a Focused Library of Analogs of the Antitumor Antibiotic Dnacin. Tetrahedron 2002, 58, 6367–6372. [Google Scholar] [CrossRef]
- Kulanthaivel, P.; Perun, T.J.; Belvo, M.D.; Strobel, R.J.; Paul, D.C.; Williams, D.C. Novel Naphthoquinones from a Streptomyces sp. J. Antibiot. 1999, 52, 256–262. [Google Scholar] [CrossRef]
- Cao, S.; Foster, C.; Brisson, M.; Lazo, J.S.; Kingston, D.G.I. Halenaquinone and Xestoquinone Derivatives, Inhibitors of Cdc25B Phosphatase from a Xestospongia sp. Bioorg. Med. Chem. 2005, 13, 999–1003. [Google Scholar] [CrossRef]
- Cao, S.; Murphy, B.T.; Foster, C.; Lazo, J.S.; Kingston, D.G.I. Bioactivities of Simplified Adociaquinone B and Naphthoquinone Derivatives against Cdc25B, MKP-1, and MKP-3 Phosphatases. Bioorg. Med. Chem. 2009, 17, 2276–2281. [Google Scholar] [CrossRef]
- Brezak, M.-C.; Quaranta, M.; Contour-Galcera, M.-O.; Lavergne, O.; Mondesert, O.; Auvray, P.; Kasprzyk, P.G.; Prevost, G.P.; Ducommun, B. Inhibition of Human Tumor Cell Growth in Vivo by an Orally Bioavailable Inhibitor of CDC25 Phosphatases. Mol. Cancer Ther. 2005, 4, 1378–1387. [Google Scholar] [CrossRef]
- Brezak, M.-C.; Valette, A.; Quaranta, M.; Contour-Galcera, M.-O.; Jullien, D.; Lavergne, O.; Frongia, C.; Bigg, D.; Kasprzyk, P.G.; Prevost, G.P.; et al. IRC-083864, a Novel Bis Quinone Inhibitor of CDC25 Phosphatases Active against Human Cancer Cells. Int. J. Cancer 2009, 124, 1449–1456. [Google Scholar] [CrossRef]
- Valente, S.; Xu, Z.; Bana-Evain, E.; Zwergel, C.; Mai, A.; Jacob, C.; Meiser, P.; Bagrel, D.; Silva, A.; Kirsch, G. Reactivity of 4-Vinyl-2H-1-Benzopyran-2-Ones in Diels–Alder Cycloaddition Reactions: Access to Coumarin-Based Polycycles with Cdc25 Phosphatase-Inhibiting Activity. Eur. J. Org. Chem. 2013, 2013, 2869–2877. [Google Scholar] [CrossRef]
- Sarkis, M.; Tran, D.N.; Kolb, S.; Miteva, M.A.; Villoutreix, B.O.; Garbay, C.; Braud, E. Design and Synthesis of Novel Bis-Thiazolone Derivatives as Micromolar CDC25 Phosphatase Inhibitors: Effect of Dimerisation on Phosphatase Inhibition. Bioorg. Med. Chem Lett. 2012, 22, 7345–7350. [Google Scholar] [CrossRef]
- Kar, S.; Wang, M.; Ham, S.W.; Carr, B.I. H32, a Non-Quinone Sulfone Analog of Vitamin K3, Inhibits Human Hepatoma Cell Growth by Inhibiting Cdc25 and Activating ERK. Cancer Biol. Ther. 2006, 5, 1340–1347. [Google Scholar] [CrossRef][Green Version]
- Choi, S.-M.; Han, J.-S.; Park, S.-H.; Ham, S.-W. Non-Quinone Sulfone Analog as a Cdc25 Inhibitor: Biological Evaluation and Structural Determinants of Cdc25A and Cdc25B Selectivity. Bull. Korean Chem. Soc. 2008, 29, 1659–1660. [Google Scholar] [CrossRef][Green Version]
- Sohn, J.; Kiburz, B.; Li, Z.; Deng, L.; Safi, A.; Pirrung, M.C.; Rudolph, J. Inhibition of Cdc25 Phosphatases by Indolyldihydroxyquinones. J. Med. Chem. 2003, 46, 2580–2588. [Google Scholar] [CrossRef]
- El-Subbagh, H.I.; Abadi, A.H.; al-Khawad, I.E.; al-Rashood, K.A. Synthesis and Antitumor Activity of Some New Substituted Quinolin-4-One and 1,7-Naphthyridin-4-One Analogs. Arch. Pharm. 1999, 332, 19–24. [Google Scholar] [CrossRef]
- Gunasekera, S.P.; McCarthy, P.J.; Kelly-Borges, M.; Lobkovsky, E.; Clardy, J. Dysidiolide: A Novel Protein Phosphatase Inhibitor from the Caribbean Sponge Dysidea Etheria de Laubenfels. J. Am. Chem. Soc. 1996, 118, 8759–8760. [Google Scholar] [CrossRef]
- Peng, H.; Zalkow, L.H.; Abraham, R.T.; Powis, G. Novel CDC25A Phosphatase Inhibitors from Pyrolysis of 3-Alpha-Azido-B-Homo-6-Oxa-4-Cholesten-7-One on Silica Gel. J. Med. Chem 1998, 41, 4677–4680. [Google Scholar] [CrossRef]
- Blanchard, J.L.; Epstein, D.M.; Boisclair, M.D.; Rudolph, J.; Pal, K. Dysidiolide and Related Gamma-Hydroxy Butenolide Compounds as Inhibitors of the Protein Tyrosine Phosphatase, CDC25. Bioorg. Med. Chem. Lett. 1999, 9, 2537–2538. [Google Scholar] [CrossRef]
- Takahashi, M.; Dodo, K.; Sugimoto, Y.; Aoyagi, Y.; Yamada, Y.; Hashimoto, Y.; Shirai, R. Synthesis of the Novel Analogues of Dysidiolide and Their Structure-Activity Relationship. Bioorg. Med. Chem. Lett. 2000, 10, 2571–2574. [Google Scholar] [CrossRef]
- Peng, H.; Xie, W.; Kim, D.I.; Zalkow, L.H.; Powis, G.; Otterness, D.M.; Abraham, R.T. Steroidal Derived Acids as Inhibitors of Human Cdc25A Protein Phosphatase. Bioorg. Med. Chem. 2000, 8, 299–306. [Google Scholar] [CrossRef]
- Peng, H.; Xie, W.; Otterness, D.M.; Cogswell, J.P.; McConnell, R.T.; Carter, H.L.; Powis, G.; Abraham, R.T.; Zalkow, L.H. Syntheses and Biological Activities of a Novel Group of Steroidal Derived Inhibitors for Human CDC25A Protein Phosphatase. J. Med. Chem. 2001, 44, 834–848. [Google Scholar] [CrossRef]
- Peng, H.; Otterness, D.M.; Abraham, R.T.; Zalkow, L.H. Cdc25A Protein Phosphatase Inhibitors from Anomalous Ozonolysis of 5,6-Seco-5-Oxo-3-Cholesten-6-Oic Acid. Tetrahedron 2001, 57, 1891–1896. [Google Scholar] [CrossRef]
- Brohm, D.; Metzger, S.; Bhargava, A.; Müller, O.; Lieb, F.; Waldmann, H. Natural Products Are Biologically Validated Starting Points in Structural Space for Compound Library Development: Solid-Phase Synthesis of Dysidiolide-Derived Phosphatase Inhibitors. Angew. Chem. Int. Ed. Engl. 2002, 41, 307–311. [Google Scholar] [CrossRef]
- Dodo, K.; Takahashi, M.; Yamada, Y.; Sugimoto, Y.; Hashimoto, Y.; Shirai, R. Synthesis of a Novel Class of Cdc25A Inhibitors from Vitamin D3. Bioorg. Med. Chem. Lett. 2000, 10, 615–617. [Google Scholar] [CrossRef]
- Shimazawa, R.; Suzuki, T.; Dodo, K.; Shirai, R. Design and Synthesis of Dysidiolide Analogs from Vitamin D3: Novel Class of Cdc25A Inhibitors. Bioorg. Med. Chem. Lett. 2004, 14, 3291–3294. [Google Scholar] [CrossRef]
- Shimazawa, R.; Gochomori, M.; Shirai, R. Design and Synthesis of Novel Cdc25A-Inhibitors Having Phosphate Group as a Hydrophilic Residue. Bioorg Med. Chem Lett 2004, 14, 4339–4342. [Google Scholar] [CrossRef] [PubMed]
- Shimazawa, R.; Kuriyama, M.; Shirai, R. Design and Synthesis of N-Alkyl Oxindolylidene Acetic Acids as a New Class of Potent Cdc25A Inhibitors. Bioorg. Med. Chem. Lett. 2008, 18, 3350–3353. [Google Scholar] [CrossRef] [PubMed]
- Brault, L.; Bagrel, D. Activity of Novel Cdc25 Inhibitors and Preliminary Evaluation of Their Potentiation of Chemotherapeutic Drugs in Human Breast Cancer Cells. Life Sci. 2008, 5–6, 315–323. [Google Scholar] [CrossRef] [PubMed]
- Brault, L.; Denancé, M.; Banaszak, E.; El Maadidi, S.; Battaglia, E.; Bagrel, D.; Samadi, M. Synthesis and Biological Evaluation of Dialkylsubstituted Maleic Anhydrides as Novel Inhibitors of Cdc25 Dual Specificity Phosphatases. Eur. J. Med. Chem. 2007, 42, 243–247. [Google Scholar] [CrossRef] [PubMed]
- Loukaci, A.; Le Saout, I.; Samadi, M.; Leclerc, S.; Damiens, E.; Meijer, L.; Debitus, C.; Guyot, M. Coscinosulfate, a CDC25 Phosphatase Inhibitor from the Sponge Coscinoderma Mathewsi. Bioorg. Med. Chem. 2001, 9, 3049–3054. [Google Scholar] [CrossRef]
- Kar, S.; Wang, M.; Carr, B.I. 2-Methoxyestradiol Inhibits Hepatocellular Carcinoma Cell Growth by Inhibiting Cdc25 and Inducing Cell Cycle Arrest and Apoptosis. Cancer Chemother. Pharmacol. 2008, 62, 831–840. [Google Scholar] [CrossRef]
- Yang, J.-W.; He, X.-P.; Li, C.; Gao, L.-X.; Sheng, L.; Xie, J.; Shi, X.-X.; Tang, Y.; Li, J.; Chen, G.-R. A Unique and Rapid Approach toward the Efficient Development of Novel Protein Tyrosine Phosphatase (PTP) Inhibitors Based on “clicked” Pseudo-Glycopeptides. Bioorg. Med. Chem. Lett. 2011, 21, 1092–1096. [Google Scholar] [CrossRef]
- Huang, B.; Ma, Y.; Xiong, Z.; Lu, W.; Ding, R.; Li, T.; Jiang, P.; Liang, M. Facile Fabrication of Ir/CNT/RGO Nanocomposites with Enhanced Electrocatalytic Performance for the Hydrogen Evolution Reaction. Sustain. Energy Fuels 2020, 4, 3288–3292. [Google Scholar] [CrossRef]
- He, X.-P.; Li, C.; Wang, Z.-Z.; Gao, L.-X.; Shi, X.-X.; Tang, Y.; Xie, J.; Li, J.; Chen, G.-R.; Chen, K. Discovering the Distinct Inhibitory Effects between C4-Epimeric Glycosyl Amino Acids: New Insight into the Development of Protein Tyrosine Phosphatase Inhibitors. Glycoconj. J. 2011, 28, 493–497. [Google Scholar] [CrossRef]
- Sodeoka, M.; Sampe, R.; Kagamizono, T.; Osada, H. Asymmetric Synthesis of RK-682 and Its Analogs, and Evaluation of Their Protein Phosphatase Inhibitory Activities. Tetrahedron Lett. 1996, 37, 8775–8778. [Google Scholar] [CrossRef]
- Sodeoka, M.; Sampe, R.; Kojima, S.; Baba, Y.; Usui, T.; Ueda, K.; Osada, H. Synthesis of a Tetronic Acid Library Focused on Inhibitors of Tyrosine and Dual-Specificity Protein Phosphatases and Its Evaluation Regarding VHR and Cdc25B Inhibition. J. Med. Chem. 2001, 44, 3216–3222. [Google Scholar] [CrossRef]
- Tsuchiya, A.; Hirai, G.; Koyama, Y.; Oonuma, K.; Otani, Y.; Osada, H.; Sodeoka, M. Dual-Specificity Phosphatase CDC25A/B Inhibitor Identified from a Focused Library with Nonelectrophilic Core Structure. ACS Med. Chem. Lett. 2012, 3, 294–298. [Google Scholar] [CrossRef]
- Wipf, P.; Cunningham, A.; Rice, R.L.; Lazo, J.S. Combinatorial Synthesis and Biological Evaluation of Library of Small-Molecule Ser/Thr-Protein Phosphatase Inhibitors. Bioorg. Med. Chem. 1997, 5, 165–177. [Google Scholar] [CrossRef]
- Rice, R.L.; Rusnak, J.M.; Yokokawa, F.; Yokokawa, S.; Messner, D.J.; Boynton, A.L.; Wipf, P.; Lazo, J.S. A Targeted Library of Small-Molecule, Tyrosine, and Dual-Specificity Phosphatase Inhibitors Derived from a Rational Core Design and Random Side Chain Variation. Biochemistry 1997, 36, 15965–15974. [Google Scholar] [CrossRef]
- Wipf, P.; Aslan, D.C.; Southwick, E.C.; Lazo, J.S. Sulfonylated Aminothiazoles as New Small Molecule Inhibitors of Protein Phosphatases. Bioorg Med. Chem. Lett. 2001, 11, 313–317. [Google Scholar] [CrossRef]
- Ducruet, A.P.; Rice, R.L.; Tamura, K.; Yokokawa, F.; Yokokawa, S.; Wipf, P.; Lazo, J.S. Identification of New Cdc25 Dual Specificity Phosphatase Inhibitors in a Targeted Small Molecule Array. Bioorg. Med. Chem. 2000, 8, 1451–1466. [Google Scholar] [CrossRef]
- Taylor, N.R.; Borhani, D.; Epstein, D.; Rudolph, J.; Ritter, K.; Fujimori, T.; Robinson, S.; Eckstein, J.; Haupt, A.; Walker, N.; et al. Method of Identifying Inhibitors of Cdc25 2002. International Patent Application No. WO2000US27361, 4 October 2000. [Google Scholar]
- Pfahl, M.; Al-Shamma, P.M.; Fanjul, H.A.; Pleynet, D.P.M.; Bao, H.; Spruce, L.W.; Cow, C.N.; Tachdjian, C.; Zapt, J.W.; Wiemann, T.R. 2-Substituted Thiazolidinone and Oxazolidinone Derivatives for the Inhibition of Phosphatases and the Treatment of Cancer. Patent WO 050098, 19 June 2003. [Google Scholar]
- Bäurle, S.; Blume, T.; Günther, J.; Henschel, D.; Hillig, R.C.; Husemann, M.; Mengel, A.; Parchmann, C.; Schmid, E.; Skuballa, W. Design and Synthesis of Macrocyclic Inhibitors of Phosphatase Cdc25B. Bioorg. Med. Chem. Lett. 2004, 14, 1673–1677. [Google Scholar] [CrossRef]
- Brezak, M.-C.; Quaranta, M.; Mondésert, O.; Galcera, M.-O.; Lavergne, O.; Alby, F.; Cazales, M.; Baldin, V.; Thurieau, C.; Harnett, J.; et al. A Novel Synthetic Inhibitor of CDC25 Phosphatases: BN82002. Cancer Res. 2004, 64, 3320–3325. [Google Scholar] [CrossRef]
- Contour-Galcéra, M.-O.; Lavergne, O.; Brezak, M.-C.; Ducommun, B.; Prévost, G. Synthesis of Small Molecule CDC25 Phosphatases Inhibitors. Bioorg. Med. Chem. Lett. 2004, 14, 5809–5812. [Google Scholar] [CrossRef]
- Erdogan-Orhan*, I.; Sener, B.; De Rosa, S.; Perez-Baz, J.; Lozach, O.; Leost, M.; Rakhilin, S.; Meijer, L. Polyprenyl-Hydroquinones and -Furans from Three Marine Sponges Inhibit the Cell Cycle Regulating Phosphatase CDC25A. Nat. Prod. Res. 2004, 18, 534. [Google Scholar] [CrossRef]
- Zhang, Y.L.; Keng, Y.F.; Zhao, Y.; Wu, L.; Zhang, Z.Y. Suramin Is an Active Site-Directed, Reversible, and Tight-Binding Inhibitor of Protein-Tyrosine Phosphatases. J. Biol. Chem. 1998, 273, 12281–12287. [Google Scholar] [CrossRef]
- McCain, D.F.; Wu, L.; Nickel, P.; Kassack, M.U.; Kreimeyer, A.; Gagliardi, A.; Collins, D.C.; Zhang, Z.-Y. Suramin Derivatives as Inhibitors and Activators of Protein-Tyrosine Phosphatases. J. Biol. Chem. 2004, 279, 14713–14725. [Google Scholar] [CrossRef]
- Cao, S.; Foster, C.; Lazo, J.S.; Kingston, D.G.I. Sesterterpenoids and an Alkaloid from a Thorectandra Sp. as Inhibitors of the Phosphatase Cdc25B. Bioorg. Med. Chem. 2005, 13, 5094–5098. [Google Scholar] [CrossRef]
- Cao, S.; Foster, C.; Lazo, J.S.; Kingston, D.G.I. Four Diterpenoid Inhibitors of Cdc25B Phosphatase from a Marine Anemone. Bioorg. Med. Chem. 2005, 13, 5830–5834. [Google Scholar] [CrossRef]
- Shin, D.-S.; Kim, J.-H.; Lee, S.-K.; Han, D.C.; Son, K.-H.; Kim, H.-M.; Cheon, H.-G.; Kim, K.-R.; Sung, N.-D.; Lee, S.J.; et al. Synthesis and Biological Evaluation of Dimeric Cinnamaldehydes as Potent Antitumor Agents. Bioorg. Med. Chem. 2006, 14, 2498–2506. [Google Scholar] [CrossRef]
- Kim, H.R.; No, J.; Seo, M.J. 5-(1,3-Diaryl-1H-Pyrazol-4-1 Methylene)-Thiazolidine-2,4-Dione Derivatives Useful as Anticancer Agent. U.S. Patent US20080275094A1, 11 June 2008. [Google Scholar]
- Feng, X.; Wang, L.; Zhou, Y.; Yu, H.; Shen, Q.; Zang, Y.; Zhou, Y.; Li, J.; Zhang, H.; Li, J. Discovery and Characterization of a Novel Inhibitor of CDC25B, LGH00045. Acta Pharmacol. Sin. 2008, 29, 1268–1274. [Google Scholar] [CrossRef][Green Version]
- Park, H.; Li, M.; Choi, J.; Cho, H.; Ham, S.W. Structure-Based Virtual Screening Approach to Identify Novel Classes of Cdc25B Phosphatase Inhibitors. Bioorg. Med. Chem. Lett. 2009, 15, 4372–4375. [Google Scholar] [CrossRef] [PubMed]
- Kolb, S.; Mondésert, O.; Goddard, M.-L.; Jullien, D.; Villoutreix, B.O.; Ducommun, B.; Garbay, C.; Braud, E. Development of Novel Thiazolopyrimidines as CDC25B Phosphatase Inhibitors. ChemMedChem 2009, 4, 633–648. [Google Scholar] [CrossRef] [PubMed]
- Duval, R.; Kolb, S.; Braud, E.; Genest, D.; Garbay, C. Rapid Discovery of Triazolobenzylidene-Thiazolopyrimidines (TBTP) as CDC25 Phosphatase Inhibitors by Parallel Click Chemistry and in Situ Screening. J. Comb. Chem. 2009, 11, 947–950. [Google Scholar] [CrossRef] [PubMed]
- Park, H.; Bahn, Y.J.; Ryu, S.E. Structure-Based de Novo Design and Biochemical Evaluation of Novel Cdc25 Phosphatase Inhibitors. Bioorg Med. Chem Lett 2009, 19, 4330–4334. [Google Scholar] [CrossRef] [PubMed]
- Song, M.-N.; Cho, S. NSC-87877 Inhibits Cdc25A and Cdc25B. Bull. Korean Chem. Soc. 2009, 30, 924–926. [Google Scholar] [CrossRef][Green Version]
- Chen, H.-J.; Liu, Y.; Wang, L.-N.; Shen, Q.; Li, J.; Nan, F.-J. Discovery and Structural Optimization of Pyrazole Derivatives as Novel Inhibitors of Cdc25B. Bioorg. Med. Chem. Lett. 2010, 20, 2876–2879. [Google Scholar] [CrossRef]
- Valente, S.; Bana, E.; Viry, E.; Bagrel, D.; Kirsch, G. Synthesis and Biological Evaluation of Novel Coumarin-Based Inhibitors of Cdc25 Phosphatases. Bioorg. Med. Chem. Lett. 2010, 20, 5827–5830. [Google Scholar] [CrossRef]
- Cheon, H.G.; Kim, S.-M.; Yang, S.-D.; Ha, J.D.; Choi, J.-K. Discovery of a Novel Protein Tyrosine Phosphatase-1B Inhibitor, KR61639: Potential Development as an Antihyperglycemic Agent. Eur. J. Pharmacol. 2004, 485, 333–339. [Google Scholar] [CrossRef]
- Johnston, P.A.; Foster, C.A.; Tierno, M.B.; Shun, T.Y.; Shinde, S.N.; Paquette, W.D.; Brummond, K.M.; Wipf, P.; Lazo, J.S. Cdc25B Dual-Specificity Phosphatase Inhibitors Identified in a High-Throughput Screen of the NIH Compound Library. Assay Drug Dev. Technol. 2009, 7, 250–265. [Google Scholar] [CrossRef]
- Sun, L.-P.; Shen, Q.; Piao, H.-H.; Ma, W.-P.; Gao, L.-X.; Zhang, W.; Nan, F.-J.; Li, J.; Piao, H.-R. Synthesis and Biological Evaluation of (±)-3-(2-(2-Fluorobenzyloxy) Naphthalen-6-Yl)-2-Aminopropanoic Acid Derivatives as Novel PTP1B Inhibitors. Eur. J. Med. Chem. 2011, 46, 3630–3638. [Google Scholar] [CrossRef]
- Saidu, N.E.B.; Valente, S.; Bana, E.; Kirsch, G.; Bagrel, D.; Montenarh, M. Coumarin Polysulfides Inhibit Cell Growth and Induce Apoptosis in HCT116 Colon Cancer Cells. Bioorg. Med. Chem. 2012, 20, 1584–1593. [Google Scholar] [CrossRef]
- Song, Y.; Lin, X.; Kang, D.; Li, X.; Zhan, P.; Liu, X.; Zhang, Q. Discovery and Characterization of Novel Imidazopyridine Derivative CHEQ-2 as a Potent CDC25 Inhibitor and Promising Anticancer Drug Candidate. Eur. J. Med. Chem. 2014, 82, 293–307. [Google Scholar] [CrossRef]
- Zhao, Q.-Q.; Wei, W.-J.; Li, Y.; Gao, K. Triterpenoids and Lignans from Schisandra Chinensis and Their Inhibition Activities of Cdc25A/B Phosphatases. Nat. Prod. Res. 2020, 36, 754–759. [Google Scholar] [CrossRef]
- Jin, Q.-H.; Chen, W.-B.; Xia, Y.-N.; Liu, B.-Y.; Guan, L.-P. Biological Evaluation of 2,3-Dioxoindolin-N-Phenylacetamide Derivatives as Potent CDC25B and PTP1B Phosphatase Inhibitors. Braz. J. Pharm. Sci. 2020, 56, 222. [Google Scholar] [CrossRef]
- Lauria, A.; Martorana, A.; La Monica, G.; Mannino, S.; Mannino, G.; Peri, D.; Gentile, C. In Silico Identification of Small Molecules as New Cdc25 Inhibitors through the Correlation between Chemosensitivity and Protein Expression Pattern. Int. J. Mol. Sci. 2021, 22, 3714. [Google Scholar] [CrossRef]
- Lavecchia, A.; Cosconati, S.; Limongelli, V.; Novellino, E. Modeling of Cdc25B Dual Specifity Protein Phosphatase Inhibitors: Docking of Ligands and Enzymatic Inhibition Mechanism. ChemMedChem 2006, 1, 540–550. [Google Scholar] [CrossRef]
- Ko, S.; Lee, W.; Lee, S.; Park, H. Nanosecond Molecular Dynamics Simulations of Cdc25B and Its Complex with a 1,4-Naphthoquinone Inhibitor: Implications for Rational Inhibitor Design. J. Mol. Graph. Model. 2008, 27, 13–19. [Google Scholar] [CrossRef]
- Park, H.; Bahn, Y.J.; Jung, S.-K.; Jeong, D.G.; Lee, S.-H.; Seo, I.; Yoon, T.-S.; Kim, S.J.; Ryu, S.E. Discovery of Novel Cdc25 Phosphatase Inhibitors with Micromolar Activity Based on the Structure-Based Virtual Screening. J. Med. Chem. 2008, 51, 5533–5541. [Google Scholar] [CrossRef]
- Montes, M.; Braud, E.; Miteva, M.; Goddard, M.; Mondésert, O.; Kolb, S.; Brun, M.-P.; Ducommun, B.; Garbay, C.; Villoutreix, B. Receptor-Based Virtual Ligand Screening for the Identification of Novel CDC25 Phosphatase Inhibitors. J. Chem. Inf. Model. 2008, 48, 157–165. [Google Scholar] [CrossRef]
- Park, H.; Jung, S.K.; Bahn, Y.J.; Jeong, D.G.; Ryu, S.E.; Kim, S.J. Discovery of Novel and Potent Cdc25 Phosphatase Inhibitors Based on the Structure-Based de Novo Design. Bull. Korean Chem. Soc. 2009, 30, 1313–1316. [Google Scholar] [CrossRef][Green Version]
- Collins, J.C.; Armstrong, A.; Chapman, K.L.; Cordingley, H.C.; Jaxa-Chamiec, A.A.; Judd, K.E.; Mann, D.J.; Scott, K.A.; Tralau-Stewart, C.J.; Low, C.M.R. Prospective Use of Molecular Field Points in Ligand-Based Virtual Screening: Efficient Identification of New Reversible Cdc25 Inhibitors. Med. Chem. Commun. 2013, 4, 1148–1155. [Google Scholar] [CrossRef]
- Kabakci, Z.; Käppeli, S.; Cantù, C.; Jensen, L.D.; König, C.; Toggweiler, J.; Gentili, C.; Ribaudo, G.; Zagotto, G.; Basler, K.; et al. Pharmacophore-Guided Discovery of CDC25 Inhibitors Causing Cell Cycle Arrest and Tumor Regression. Sci. Rep. 2019, 9, 1335. [Google Scholar] [CrossRef] [PubMed]
Publisher’s Note: MDPI stays neutral with regard to jurisdictional claims in published maps and institutional affiliations. |
© 2022 by the authors. Licensee MDPI, Basel, Switzerland. This article is an open access article distributed under the terms and conditions of the Creative Commons Attribution (CC BY) license (https://creativecommons.org/licenses/by/4.0/).













