Hydroxypyridinone-Based Metal Chelators towards Ecotoxicity: Remediation and Biological Mechanisms
Abstract
:1. Introduction
2. Mono- and Bis-(3-hydroxy-4-pyridinone) Ligands
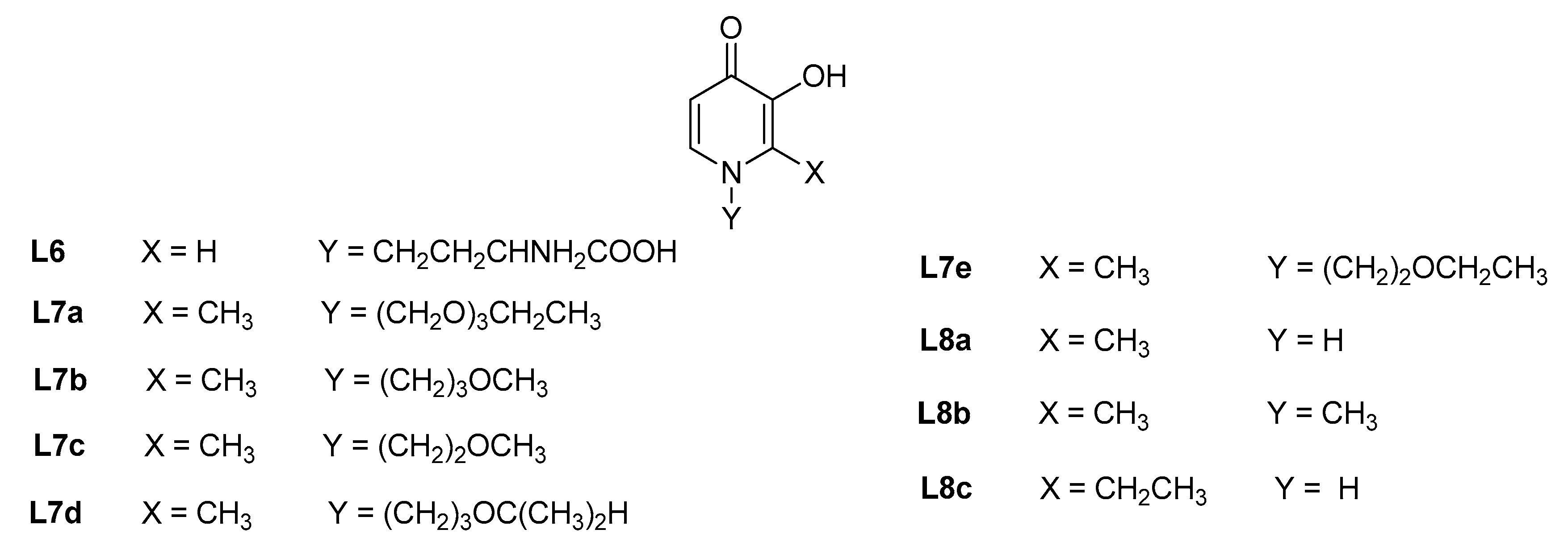
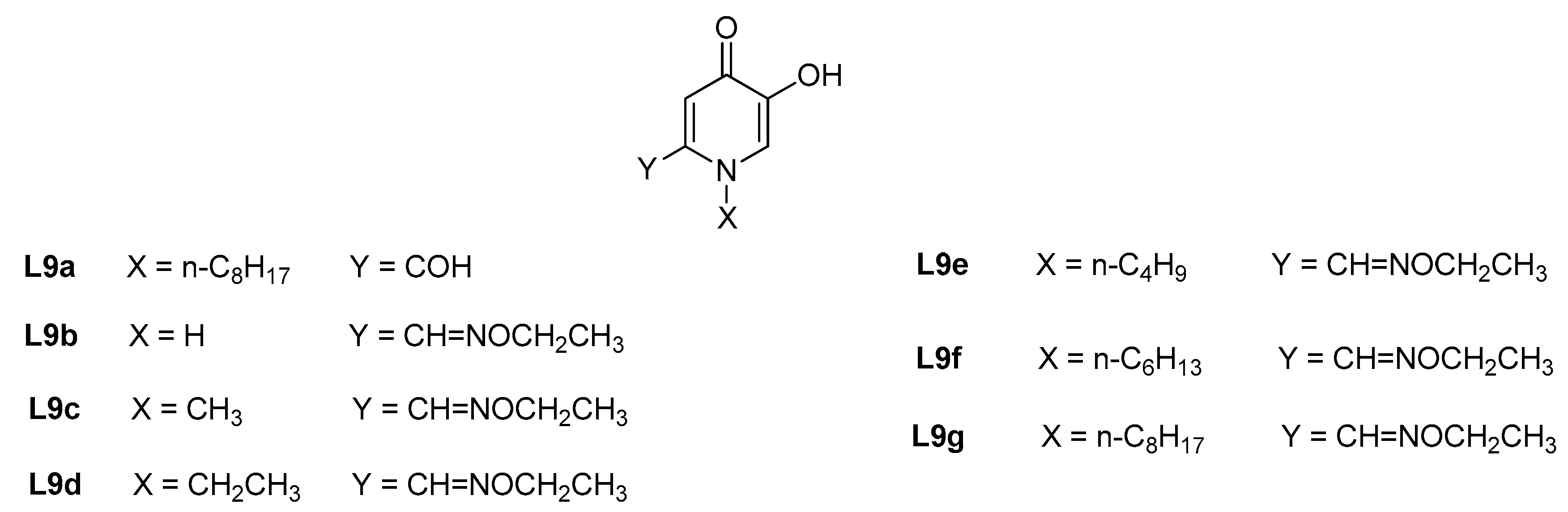
2.1. Mono-Hydroxypyridinones
2.1.1. Thermodynamic Studies on Metal Chelation
2.1.2. Determination of Iron(III) in Environmental Matrices
2.1.3. Formulation of New Fertilizers
2.1.4. Tyrosinase Inhibitors as Anti-Browning Agent in Fruits and Vegetables
2.2. Bis-Hydroxypyridinones
3. Poly-Hydroxypyridinones
3.1. Tris-Hydroxypyridinones
3.1.1. Metal Chelators
3.1.2. Recognition and Removal of Anions
3.2. Tetra-Hydroxypyridinones
4. Polymeric and Dendrimeric Hydroxypyridinones
5. Miscellaneous Macromeric and Nanomeric HP-Based Chelators
6. Concluding Remarks and Perspectives
Author Contributions
Funding
Institutional Review Board Statement
Informed Consent Statement
Data Availability Statement
Acknowledgments
Conflicts of Interest
References
- Gorden, A.E.; Xu, J.; Raymond, K.N.; Durbin, P. Rational design of sequestering agents for plutonium and other actinides. Chem. Rev. 2003, 103, 4207–4282. [Google Scholar] [CrossRef] [PubMed]
- Santos, M.A.; Marques, S.M.; Chaves, S. Hydroxypyridinones as “privileged” chelating structures for the design of medicinal drugs. Coord. Chem. Rev. 2012, 256, 240–259. [Google Scholar] [CrossRef]
- Cilibrizzi, A.; Abbate, V.; Chen, Y.-L.; Ma, Y.; Zhou, T.; Hider, R.C. Hydroxypyridinone journey into metal chelation. Chem. Rev. 2018, 118, 765–770. [Google Scholar] [CrossRef] [PubMed]
- Chaves, S.; Piemontese, L.; Hiremathad, A.; Santos, M.A. Hydroxypyridinone derivatives: A fascinating class of chelators with therapeutic applications—An update. Curr. Med. Chem. 2018, 25, 97–112. [Google Scholar] [CrossRef]
- Jiang, X.; Zhou, T.; Bai, R.; Xie, Y. Hydroxypyridinone-based iron chelators with broad-ranging biological activities. J. Med. Chem. 2020, 63, 14470–14501. [Google Scholar] [CrossRef]
- Zhou, X.; Dong, L.; Shen, L. Hydroxypyridinones as a very promising platform for targeted diagnostic and therapeutic radiopharmaceuticals. Molecules 2021, 26, 6997. [Google Scholar] [CrossRef]
- Irto, A.; Cardiano, P.; Chand, K.; Cigala, R.M.; Crea, F.; De Stefano, C.; Gano, L.; Sammartano, S.; Santos, M.A. Bifunctional 3-hydroxy-4-pyridinones as effective aluminium chelators: Synthesis, solution equilibrium studies and in vivo evaluation. J. Inorg. Biochem. 2018, 186, 116–129. [Google Scholar] [CrossRef]
- Irto, A.; Cardiano, P.; Chand, K.; Cigala, R.M.; Crea, F.; De Stefano, C.; Santos, M.A. Bifunctional 3-hydroxy-4-pyridinones as potential selective iron(III) chelators: Solution studies and comparison with other metals of biological and environmental relevance. Molecules 2021, 26, 7280. [Google Scholar] [CrossRef]
- Irto, A.; Cardiano, P.; Chand, K.; Cigala, R.M.; Crea, F.; De Stefano, C.; Gattuso, G.; Sammartano, S.; Santos, M.A. Complexation of environmentally and biologically relevant metals with bifunctional 3-hydroxy-4-pyridinones. J. Mol. Liq. 2020, 319, 114349. [Google Scholar] [CrossRef]
- Irto, A.; Cardiano, P.; Cataldo, S.; Chand, K.; Cigala, R.M.; Crea, F.; De Stefano, C.; Gattuso, G.; Muratore, N.; Pettignano, A.; et al. Speciation studies of bifunctional 3-hydroxy-4-pyridinone ligands in the presence of Zn2+ at different ionic strengths and temperatures. Molecules 2019, 24, 4084. [Google Scholar] [CrossRef] [Green Version]
- Buffle, J. Complexation Reactions in Aquatic Systems: An Analytical Approach; Ellis Horwood: Chichester, UK, 1988. [Google Scholar]
- Millero, F.J. Physical Chemistry of Natural Waters; John Wiley & Sons, Inc.: New York, NY, USA, 2001. [Google Scholar]
- Durickovic, I.; Derombise, G.; Framont-Terrasse, L.; Thomann, S.; Marchetti, M. Salt in soils: Extraction and analysis methods. In Proceedings of the 2nd IMEKO TC11 International Symposium Metrological Infrastructure, Cavtat, Croatia, 15–17 June 2011; pp. 144–147. [Google Scholar]
- Clarke, E.T.; Martell, A.E. Stabilities of 1,2-dimethyl-3-hydroxy-4-pyridinone chelates of divalent and trivalent metal ions. Inorg. Chim. Acta 1992, 191, 57–63. [Google Scholar] [CrossRef]
- Raymond, K.N.; Carrano, C.J. Coordination chemistry and microbial iron transport. Acc. Chem. Res. 1979, 12, 183–190. [Google Scholar] [CrossRef]
- Cigala, R.M.; De Stefano, C.; Irto, A.; Milea, D.; Sammartano, S. Thermodynamic data for the modeling of lanthanoid(III) sequestration by reduced glutathione in aqueous solution. J. Chem. Eng. Data 2015, 60, 192–201. [Google Scholar] [CrossRef]
- Environmental Protection Agency. Secondary Drinking Water Regulations: Guidance for Nuisance Chemicals; Environmental Protection Agency: Washington, DC, USA, 2021. [Google Scholar]
- González, A.; Mesquita, R.B.R.; Avivar, J.; Moniz, T.; Rangel, M.; Cerdà, V.; Rangel, A.O.S.S. Microsequential injection lab-on-valve system for the spectrophotometric bi-parametric determination of iron and copper in natural waters. Talanta 2017, 167, 703–708. [Google Scholar] [CrossRef]
- Ruengsitagoon, W. Reverse flow injection spectrophotometric determination of iron(III) using chlortetracycline reagent. Talanta 2008, 74, 1236–1241. [Google Scholar] [CrossRef]
- Grotti, M.; Abelmoschi, M.L.; Soggia, F.; Frache, R. Determination of ultratrace elements in natural waters by solid-phase extraction and atomic spectrometry methods. Anal. Bioanal. Chem. 2003, 375, 242–247. [Google Scholar] [CrossRef]
- Leao, D.J.; Junior, M.M.S.; Brandao, G.C.; Ferreira, S.L.C. Simultaneous determination of cadmium, iron and tin in canned foods using high-resolution continuum source graphite furnace atomic absorption spectrometry. Talanta 2016, 153, 45–50. [Google Scholar] [CrossRef]
- Ussher, S.J.; Petrov, I.; Quéte, C.R.; Worsfold, P.J. Validation of a portable flow injection–chemiluminescence (FI-CL) method for the determination of dissolved iron in Atlantic open ocean and shelf waters by comparison with isotope dilution-inductively coupled plasma mass spectrometry (ID-ICP-MS). Environ. Chem. 2010, 7, 139–145. [Google Scholar] [CrossRef] [Green Version]
- Chen, L.; Tian, X.; Xia, D.; Nie, Y.; Lu, L.; Yang, C.; Zhou, Z. A novel colorimetric method for simultaneous detection and identification of multi-metal ions in water: Sensitivity, selectivity and recognition mechanism. ACS Omega 2019, 4, 5915–5922. [Google Scholar] [CrossRef] [Green Version]
- Marczenko, Z.; Balcerzak, M. Separation, preconcentration, and spectrophotometry in inorganic analysis. Anal. Spectros. Libr. 2000, 10, 3–521. [Google Scholar]
- Kotchabhakdi, N.; Seanjum, C.; Kiwfo, K.; Grudpan, K. A simple extract of Leucaena leucocephala (Lam.) de Wit leaf containing mimosine as a natural color reagent for iron determination. Microchem. J. 2021, 162, 105860. [Google Scholar] [CrossRef]
- Association of Official Analytical Chemists (AOAC). Lead, Cadmium, Zinc, Copper, and Iron in Foods. In Official Methods of Analysis, 17th ed.; AOAC: Arlington, VA, USA, 2002; Volume 10. [Google Scholar]
- Suárez, R.; Mesquita, R.B.R.; Rangel, M.; Cerdà, V.; Rangel, A.O.S.S. Iron speciation by microsequential injection solid phase spectrometry using 3-hydroxy-1(H)-2-methyl-4-pyridinone as chromogenic reagent. Talanta 2015, 133, 15. [Google Scholar] [CrossRef] [Green Version]
- Moniz, T.; Bassett, C.R.; Almeida, M.I.G.S.; Kolev, S.D.; Rangel, M.; Mesquita, R.B.R. Use of an ether-derived 3-hydroxy-4-pyridinone chelator as a new chromogenic reagent in the development of a microfluidic paper-based analytical device for Fe(III) determination in natural waters. Talanta 2020, 214, 120887. [Google Scholar] [CrossRef]
- Ribas, T.C.F.; Mesquita, R.B.R.; Moniz, T.; Rangel, M.; Rangel, A.O.S.S. Greener and wide applicability range flow-based spectrophotometric method for iron determination in fresh and marine water. Talanta 2020, 216, 120925. [Google Scholar] [CrossRef]
- Mesquita, R.B.R.; Suarez, R.; Cerda, V.; Rangel, M.; Rangel, A.O.S.S. Exploiting the use of 3,4-HPO ligands as nontoxic reagents for the determination of iron in natural waters with a sequential injection approach. Talanta 2013, 108, 38. [Google Scholar] [CrossRef]
- Moniz, T.; Cunha-Silva, L.; Mesquita, R.B.R.; Miranda, J.L.A.; Silva, A.M.N.; Silva, A.M.G.; Rangel, A.O.S.S.; de Castro, B.; Rangel, M. New hydrophilic 3-hydroxy-4-pyridinone chelators with ether-derived substituents: Synthesis and evaluation of analytical performance in the determination of iron in waters. Polyhedron 2019, 160, 145–156. [Google Scholar] [CrossRef]
- Santos, C.S.; Rodrigues, E.; Ferreira, S.; Moniz, T.; Leite, A.; Carvalho, S.M.P.; Vasconcelos, M.W.; Rangel, M. Foliar application of 3-hydroxy-4-pyridinone Fe-chelate [Fe(mpp)3] induces responses at the root level amending iron deficiency chlorosis in soybean. Physiol. Plant. 2021, 173, 235–345. [Google Scholar] [CrossRef]
- Santos, C.S.; Carvalho, S.M.P.; Leite, A.; Moniz, T.; Roriz, M.; Rangel, A.O.S.S.; Rangel, M.; Vasconcelos, M.W. Effect of tris(3-hydroxy-4-pyridinonate) iron(III) complexes on iron uptake and storage in soybean (Glycine max L.). Plant Physiol. Biochem. 2016, 106, 91–100. [Google Scholar] [CrossRef]
- Santos, C.S.; Leite, A.; Vinhas, S.; Ferreira, S.; Moniz, T.; Vasconcelos, M.W.; Rangel, M. A combined physiological and biophysical approach to understand the ligand-dependent efficiency of 3-hydroxy-4-pyridinone Fe-chelates. Plant Direct 2020, 4, e00256. [Google Scholar] [CrossRef] [PubMed]
- Nirmal, N.P.; Benjakul, S. Inhibitory effect of mimosine on polyphenoloxidase from cephalothoraxes of Pacific white shrimp (Litopenaeus vannamei). J. Agric. Food Chem. 2011, 59, 10256–10260. [Google Scholar] [CrossRef] [PubMed]
- Siegbahn, P.E. A comparison of the thermodynamics of O-O bond cleavage for dicopper complexes in enzymes and synthetic systems. J. Biol. Inorg. Chem. 2003, 8, 577–585. [Google Scholar] [CrossRef] [PubMed]
- Chen, C.Y.; Lin, L.C.; Yang, W.F.; Bordon, J.; Wang, H.M.D. An updated organic classification of tyrosinase inhibitors on melanin biosynthesis. Curr. Org. Chem. 2015, 19, 4–18. [Google Scholar] [CrossRef]
- Li, D.F.; Hu, P.P.; Liu, M.S.; Kong, X.L.; Zhang, J.C.; Hider, R.C.; Zhou, T. Design and synthesis of hydroxypyridinone-l-phenylalanine conjugates as potential tyrosinase inhibitors. J. Agric. Food Chem. 2013, 61, 6597–6603. [Google Scholar] [CrossRef] [PubMed]
- Seo, S.Y.; Sharma, V.K.; Sharma, N. Mushroom tyrosinase: Recent prospects. J. Agric. Food Chem. 2003, 51, 2837–2853. [Google Scholar] [CrossRef]
- Kim, Y.J.; Uyama, H. Tyrosinase inhibitors from natural and synthetic sources: Structure, inhibition mechanism and perspective for the future. Cell. Mol. Life Sci. 2005, 62, 1707–1723. [Google Scholar] [CrossRef]
- Shao, L.L.; Wang, X.L.; Chen, K.; Dong, X.W.; Kong, L.M.; Zhao, D.Y.; Hider, R.C.; Zhou, T. Novel hydroxypyridinone derivatives containing an oxime ether moiety: Synthesis, inhibition on mushroom tyrosinase and application in anti-browning of fresh-cut apples. Food Chem. 2018, 242, 174–181. [Google Scholar] [CrossRef] [Green Version]
- Chen, K.; Zhao, D.Y.; Chen, Y.L.; Wei, X.Y.; Li, Y.T.; Kong, L.M.; Hider, R.C.; Zhou, T. A novel inhibitor against mushroom tyrosinase with a double action mode and its application in controlling the browning of potato. Food Bioprocess Technol. 2017, 10, 2146–2155. [Google Scholar] [CrossRef] [Green Version]
- Okac, A.; Kolarik, Z. Potentiometrische untersuchung von komplexsalzen der kojisäure in wässrigen lösungen. Collect. Czechoslov. Chem. Commun. 1959, 24, 266–272. [Google Scholar] [CrossRef]
- Nurchi, V.M.; Crisponi, G.; Pivetta, T.; Donatoni, M.; Remelli, M. Potentiometric, spectrophotometric and calorimetric study on iron(III) and copper(II) complexes with 1,2-dimethyl-3-hydroxy-4-pyridinone. J. Inorg. Biochem. 2008, 102, 684–692. [Google Scholar] [CrossRef]
- Irto, A.; Cardiano, P.; Chand, K.; Cigala, R.M.; Crea, F.; De Stefano, C.; Gano, L.; Gattuso, G.; Sammartano, S.; Santos, M.A. New bis-(3-hydroxy-4-pyridinone)-NTA-derivative: Synthesis, binding ability towards Ca2+, Cu2+, Zn2+, Al3+, Fe3+ and biological assays. J. Mol. Liq. 2018, 272, 609–624. [Google Scholar] [CrossRef]
- Irto, A.; Cardiano, P.; Chand, K.; Cigala, R.M.; Crea, F.; De Stefano, C.; Gano, L.; Gattuso, G.; Sammartano, S.; Santos, M.A. A new bis-(3-hydroxy-4-pyridinone)-DTPA-derivative: Synthesis, complexation of di-/tri-valent metal cations and in vivo M3+ sequestering ability. J. Mol. Liq. 2019, 281, 280–294. [Google Scholar] [CrossRef]
- Nurchi, V.M.; Cappai, R.; Chand, K.; Chaves, S.; Gano, L.; Crisponi, G.; Peana, M.; Zoroddu, M.A.; Santos, M.A. New strong extrafunctionalizable tris(3,4-HP) and bis(3,4-HP) metal sequestering agents: Synthesis, solution and: In vivo metal chelation. Dalton Trans. 2019, 48, 16167–16183. [Google Scholar] [CrossRef]
- Liu, Z.D.; Hider, R.C. Design of iron chelators with therapeutic application. Coord. Chem. Rev. 2002, 232, 151–171. [Google Scholar] [CrossRef]
- Harris, W.R.; Pecoraro, V.L. Thermodynamic binding constants for gallium transferrin. Biochemistry 1983, 22, 292–299. [Google Scholar] [CrossRef]
- Harris, W.R.; Sheldon, J. Equilibrium constants for the binding of aluminium to human serum transferrin. Inorg. Chem. 1990, 29, 119–124. [Google Scholar] [CrossRef]
- Martell, A.E.; Smith, R.M.; Motekaitis, R.J. NIST Critically Selected Stability Constants of Metal Complexes Database, 8.0; National Institute of Standard and Technology: Garthersburg, MD, USA, 2004. [Google Scholar]
- Gama, S.; Dron, P.; Chaves, S.; Farkas, E.; Santos, M.A. A bis(3-hydroxy-4-pyridinone)-EDTA derivative as a strong chelator for M3+ hard metal ions: Complexation ability and selectivity. Dalton Trans. 2009, 20, 6141–6150. [Google Scholar] [CrossRef] [Green Version]
- Santos, M.A.; Gama, S.; Gano, L.; Cantinho, G.; Farkas, E. A new bis(3-hydroxy-4-pyridinone)-IDA derivative as a potential therapeutic chelating agent. Synthesis, metal-complexation and biological assays. Dalton Trans. 2004, 21, 3772–3781. [Google Scholar] [CrossRef]
- Gama, S.; Gil, M.; Gano, L.; Farkas, E.; Santos, M.A. Combined chelation of bi-functional bis-hydroxypiridinone and mono-hydroxypiridinone: Synthesis, solution and in vivo evaluation. J. Inorg. Biochem. 2009, 103, 288–298. [Google Scholar] [CrossRef]
- Cappai, R.; Chand, K.; Lachowicz, J.I.; Chaves, S.; Gano, L.; Crisponi, G.; Nurchi, V.M.; Peana, M.; Zoroddu, M.A.; Santos, M.A. A new tripodal-3-hydroxy-4-pyridinone for iron and aluminium sequestration: Synthesis, complexation and in vivo studies. New. J. Chem. 2018, 42, 8050–8061. [Google Scholar] [CrossRef]
- Chaves, S.; Marques, S.M.; Matos, A.M.F.; Nunes, A.; Gano, L.; Tuccinardi, T.; Martinelli, A.; Santos, M.A. New tris(hydroxypyridinones) as iron and aluminium sequestering agents: Synthesis, complexation and in vivo studies. Chem. Eur. J. 2010, 16, 10535–10545. [Google Scholar] [CrossRef]
- Zhou, T.; Kong, X.-L.; Hider, R.C. Synthesis and iron chelating properties of hydroxypyridinone and hydroxypyranone hexadentate ligands. Dalton Trans. 2019, 48, 3459–3466. [Google Scholar] [CrossRef] [PubMed]
- Schwarzenbach, G.; Schwarzenbach, K. Hydroxamatkomplexe I. Die stabilität der eisen(iii)-komplexe einfacher hydroxamsäuren und des ferrioxamins B. Helv. Chim. Acta 1963, 46, 1390–1400. [Google Scholar] [CrossRef]
- Oh, J.; Kang, D.; Hong, S.; Kim, S.H.; Choi, J.-H.; Seo, J. Formation of a tris(catecholato)iron(III) complex with a nature-inspired cyclic peptoid ligand. Dalton Trans. 2021, 50, 3459–3463. [Google Scholar] [CrossRef] [PubMed]
- Crisponi, G.; Nurchi, V.M.; Jaraquemada-Pelaez, M.G.; Lachowicz, J.; Cappai, R.; Gano, L.; Santos, M.A.; Melchior, A.; Tolazzi, M.; Peana, M.; et al. A new tripodal kojic acid derivative for iron sequestration: Synthesis, protonation and complex formation studies with Fe3+, Al3+, Cu2+ and Zn2+, and in vivo bioassays. J. Inorg. Biochem. 2019, 193, 152–165. [Google Scholar] [CrossRef]
- Sharma, S.; Baral, M.; Dash, D.; Kanungo, B.K. Synthesis, solution studies and DFT investigation of a tripodal ligand with 3-hydroxypyran-4-one scaffold. J. Incl. Phen. Macr. Chem. 2021, 101, 275–289. [Google Scholar] [CrossRef]
- Miranda, J.L.A.; Mesquita, R.B.R.; Nunes, A.; Rangel, M.; Rangel, A.O.S.S. Determination of iron(III) in water samples by microsequential injection solid phase spectrometry using an hexadentate 3-hydroxy-4-pyridinone chelator as reagent. Talanta 2019, 191, 409–414. [Google Scholar] [CrossRef] [PubMed]
- Nunes, A.; Podinovskaia, M.; Leite, A.; Gameiro, P.; Zhou, T.; Ma, Y.; Kong, X.; Schaible, U.E.; Hider, R.C.; Rangel, M. Fluorescent 3-hydroxy-4-pyridinone hexadentate iron chelators: Intracellular distribution and the relevance to antimycobacterial properties. J. Biol. Inorg. Chem. 2010, 15, 861–877. [Google Scholar] [CrossRef]
- Dash, D.; Baral, M.; Kanungo, B.K. Development of a flexible tripodal hydroxypyridinone ligand with cyclohexane framework: Complexation, solution thermodynamics, spectroscopic and DFT studies. ChemistrySelect 2021, 6, 12165–12181. [Google Scholar] [CrossRef]
- Nelson, J.J.M.; Cheisson, T.; Rugh, H.J.; Gau, M.R.; Carroll, P.J.; Schelter, E.J. High-throughput screening for discovery of benchtop separations systems for selected rare earth elements. Commun. Chem. 2020, 3, 7. [Google Scholar] [CrossRef] [Green Version]
- Huang, S.-Y.; Pierre, V.C. A turn-on luminescent europium probe for cyanide detection in water. Chem. Commun. 2018, 54, 9210–9213. [Google Scholar] [CrossRef]
- Harris, S.M.; Nguyen, J.T.; Pailloux, S.L.; Mansergh, J.P.; Dresel, M.J.; Swanholm, T.B.; Gao, T.; Pierre, V.C. Gadolinium complex for the catch and release of phosphate from water. Environ. Sci. Technol. 2017, 51, 4549–4558. [Google Scholar] [CrossRef]
- Huang, S.-Y.; Qian, M.; Pierre, V.C. A combination of factors: Tuning the affinity of europium receptors for phosphate in water. Inorg. Chem. 2019, 58, 16087–16099. [Google Scholar] [CrossRef]
- Raju, M.V.R.; Wilharm, R.K.; Dresel, M.J.; McGreal, M.E.; Mansergh, J.P.; Marting, S.T.; Goodpaster, J.D.; Pierre, V.C. The stability of the complex and the basicity of the anion impact the selectivity and affinity of tripodal gadolinium complexes for anions. Inorg. Chem. 2019, 58, 15189–15201. [Google Scholar] [CrossRef]
- Carter, K.P.; Jian, J.; Pyrch, M.M.; Forbes, T.Z.; Eaton, T.M.; Abergel, R.J.; de Jong, W.A.; Gibson, J.K. Reductive activation of neptunyl and plutonyl oxo species with a hydroxypyridinone chelating ligand. Chem. Commun. 2018, 54, 10698–10701. [Google Scholar] [CrossRef] [Green Version]
- Carter, K.P.; Smith, K.F.; Tratnjek, T.; Shield, K.M.; Moreau, L.M.; Rees, J.A.; Booth, C.H.; Abergel, R.J. Spontaneous, Chelation-driven reduction of the neptunyl cation in aqueous solution. Chem. Eur. J. 2020, 26, 2354–2359. [Google Scholar] [CrossRef]
- Wang, Y.; Zhang, Z.; Abergel, R.J. Hydroxypyridinone-based stabilization of Np(IV) enabling efficient U/Np/ Pu separations in the adapted PUREX process. Sep. Purif. Technol. 2021, 259, 113178. [Google Scholar] [CrossRef]
- Wang, Y.; Deblond, G.J.-P.; Abergel, R.J. Hydroxypyridinone derivatives: A low-pH alternative to polyaminocarboxylates for TALSPEAK-like separation of trivalent actinides from lanthanides. ACS Omega 2020, 5, 12996–13005. [Google Scholar] [CrossRef]
- Carter, K.P.; Smith, K.F.; Tratnjek, T.; Deblonde, G.J.-P.; Moreau, L.M.; Rees, J.A.; Booth, C.H.; Abergel, R.J. Controlling the reduction of chelated uranyl to stable tetravalent uranium coordination complexes in aqueous solution. Inorg. Chem. 2021, 60, 973–981. [Google Scholar] [CrossRef]
- Abergel, R.J.; de Jong, W.A.; Deblonde, G.J.-P.; Dau, P.D.; Captain, I.; Eaton, T.M.; Jian, J.; van Stipdonk, M.J.; Martens, J.; Berden, G.; et al. Cleaving off uranyl oxygens through chelation: A mechanistic study in the gas phase. Inorg. Chem. 2017, 26, 12930–12937. [Google Scholar] [CrossRef]
- Kelley, M.P.; Deblonde, G.J.-P.; Su, J.; Booth, C.H.; Abergel, R.J.; Batista, E.R.; Yang, P. Bond covalency and oxidation state of actinide ions complexed with therapeutic chelating agent 3,4,3-LI(1,2-HOPO). Inorg. Chem. 2018, 57, 5352–5363. [Google Scholar] [CrossRef] [Green Version]
- Deblonde, G.J.-P.; Sturzbecher-Hoehne, M.; Rupert, P.B.; An, D.D.; Illy, M.-C.; .Ralston, C.Y.; Brabec, J.; de Jong, W.A.; Strong, R.K.; Abergel, R.J. Chelation and stabilization of berkelium in oxidation state +IV. Nat. Chem. 2017, 9, 843–849. [Google Scholar] [CrossRef]
- Deblonde, G.J.-P.; Ricano, A.; Abergel, R.J. Ultra-selective ligand-driven separation of strategic actinides. Nat. Commun. 2019, 10, 2438. [Google Scholar] [CrossRef]
- Malmbeck, R.; Banik, N.I.; Nicholl, A. DGA resin capacity factors for Ac, Am and Th under tetravalent actinide selective complexation. J. Radioanal. Nuclear Chem. 2021, 329, 1387–1392. [Google Scholar] [CrossRef]
- Pallares, R.M.; Carter, K.P.; Zeltmann, S.E.; Tratnjek, T.; Minor, A.M.; Abergel, R.J. Selective lanthanide sensing with gold nanoparticles and hydrozypyridinone chelators. Inorg. Chem. 2020, 59, 2030–2036. [Google Scholar] [CrossRef]
- Sadhu, B.; Mishra, V. The coordination chemistry of lanthanide and actinide metal ions with hydroxypyridinone-based decorporation agents: Orbital and density based analyses. Dalton Trans. 2018, 47, 16603–16615. [Google Scholar] [CrossRef]
- Sturzbecher-Hoehne, M.; Leung, C.N.P.; D’Aleo, A.; Kullgren, B.; Prigent, A.-L.; Shuh, D.K.; Raymond, K.N.; Abergel, R.J. 3,4,3-LI(1,2-HOPO): In vitro formation of highly stable lanthanide complexes translates into efficacious in vivo europium decorporation. Dalton Trans. 2011, 40, 8340–8346. [Google Scholar] [CrossRef] [Green Version]
- Deblonde, G.J.-P.; Sturzbecher-Hoehne, M.; Abergel, R.J. Solution thermodynamic stability of complexes formed with the octadentate hydroxypyridinonate ligand 3,4,3-LI(1,2-HOPO): A critical feature for efficient chelation of lanthanide(IV) and actinide(IV) ions. Inorg. Chem. 2013, 52, 8805–8811. [Google Scholar] [CrossRef] [Green Version]
- Carter, K.P.; Deblonde, G.J.-P.; Lohrey, T.D.; Bailey, T.A.; An, D.D.; Shield, K.M.; Lukens Jr., W. W.; Abergel, R.J. Developing scandium and yttrium coordination chemistry to advance theranostic radiopharmaceuticals. Commun. Chem. 2020, 3, 61. [Google Scholar] [CrossRef]
- Deblonde, G.J.-P.; Lohrey, T.D.; Abergel, R.J. Inducing selectivity and chirality in group IV metal coordination with high-denticity hydroxypyridinones. Dalton Trans. 2019, 48, 8238–8247. [Google Scholar] [CrossRef]
- Carter, K.P.; Shield, K.M.; Smith, K.F.; Jones, Z.R.; Wacker, J.N.; Arnedo-Sanchez, L.; Mattox, T.M.; Moreau, L.M.; Knope, K.E.; Kozimor, S.A.; et al. Structural and spectroscopic characterization of an einsteinium complex. Nature 2021, 590, 85–88. [Google Scholar] [CrossRef]
- Captain, I.; Deblonde, G.J.-P.; Rupert, P.B.; An, D.D.; Illy, M.-C.; Rostan, E.; Ralston, C.Y.; Strong, R.K.; Abergel, R.J. Engineered recognition of tetravalent zirconium and thorium by chelator–protein systems: Toward flexible radiotherapy and imaging platforms. Inorg. Chem. 2016, 55, 11930–11936. [Google Scholar] [CrossRef] [PubMed] [Green Version]
- Ricano, A.; Captain, I.; Carter, K.P.; Nell, B.P.; Deblonde, G.J.-P.; Abergel, R.J. Combinatorial design of multimeric chelating peptoids for selective metal coordination. Chem. Sci. 2019, 10, 6834–6843. [Google Scholar] [CrossRef] [PubMed] [Green Version]
- Buchwalder, C.; Jaraquemada-Peláez, M.G.; Rousseau, J.; Merkens, H.; Rodrígez-Rodríguez, C.; Orvig, C.; Bénard, F.; Schaffer, P.; Saatchi, K.; Häfeli, U.O. Evaluation of the tetrakis(3-hydroxy-4-hyridinone) ligand THPN with zirconium(IV): Thermodynamic solution studies, sifunctionalization, and in vivo assessment of macromolecular 89Zr-THPN-conjugates. Inorg. Chem. 2019, 58, 14667–14681. [Google Scholar] [CrossRef] [PubMed]
- Arnedo-Sanchez, L.; Smith, K.F.; Deblonde, G.J.-P.; Carter, K.P.; Moreau, L.M.; Rees, J.A.; Tratnjek, T.; Booth, C.H.; Abergel, R.J. Combining the best of two chelating titans: A hydroxypyridinone-decorated macrocyclic ligand for efficient and concomitant complexation and sensitized luminescence of f-elements. ChemPlusChem 2021, 86, 483–491. [Google Scholar] [CrossRef]
- Dai, L.; Lo, W.-S.; Gu, Y.; Xiong, Q.; Wong, K.-L.; Kwok, W.-M.; Wong, W.-T.; Law, G.-L. Breaking the 1,2-HOPO barrier with a cyclen backbone for more efficient sensitization of Eu(iii) luminescence and unprecedented two-photon excitation properties. Chem. Sci. 2019, 10, 4550–4559. [Google Scholar] [CrossRef] [Green Version]
- Grazina, R.; Santos, M.A. New hydroxypyridinone-functionalized sepharoses as sorbing agents for hard metal ions. J. Hazard. Mater. 2011, 186, 1902–1908. [Google Scholar] [CrossRef]
- Biesuz, R.; Santos, M.A.; Nurchi, V.M.; Alberti, G. Development of a sensor for trivalent iron: AHP fixed on mesoporous silica. New J. Chem. 2018, 42, 15237–15244. [Google Scholar] [CrossRef]
- Alberti, G.; Zanoni, C.; Magnaghi, L.R.; Santos, M.A.; Nurchi, V.M.; Biesuz, R. DFO@EVOH and 3,4-HP@EVOH: Towards new polymeric sorbents for iron(iii). Chemosensors 2020, 8, 111. [Google Scholar] [CrossRef]
- Zhou, Y.-J.; Kong, X.-L.; Li, J.-P.; Ma, Y.-M.; Hider, R.C.; Zhou, T. Novel 3-hydroxypyridin-4-one hexadentate ligand-based polymeric iron chelator: Synthesis, characterization and antimicrobial evaluation. Med. Chem. Commun. 2015, 6, 1620–1625. [Google Scholar] [CrossRef]
- Zhou, T.; Chen, K.; Kong, L.-M.; Liu, M.-S.; Ma, Y.-M.; Xie, Y.-Y.; Hider, R.C. Synthesis, iron binding and antimicrobial properties of hexadentate 3-hydroxypyridinones-terminated dendrimers. Bioorg. Med. Chem. Lett. 2018, 28, 2504–2512. [Google Scholar] [CrossRef]
- Chouyyok, W.; Pittman, J.W.; Warner, M.G.; Nell, K.M.; Clubb, D.C.; Gill, G.A.; Addleman, R.S. Surface functionalized nanostructured ceramic sorbents for the effective collection and recovery of uranium from seawater. Dalton Trans. 2016, 45, 11312–11325. [Google Scholar] [CrossRef]
- Shi, C.; Wang, X.; Wan, J.; Zhang, D.; Yi, X.; Bai, Z.; Yang, K.; Diwu, J.; Chai, Z.; Wang, S. 3,2-Hydroxypyridinone-grafted chitosan oligosaccharide nanoparticles as efficient decorporation agents for simultaneous removal of uranium and radiation-induced reactive oxygen species in vivo. Bioconjug. Chem. 2018, 29, 3896–3905. [Google Scholar] [CrossRef]
- Chen, S.; Ko, R.; Lai, E.P.C.; Wyatt, H.; Abergel, R.J.; Li, C. Encapsulated 3,4,3-LI(1,2-HOPO) in chitosan nanoparticles for decorporation via inhalation. Radiat. Prot. Dosim. 2018, 182, 107–111. [Google Scholar] [CrossRef]
- Zhang, Z.; Zhang, D.; Shi, C.; Liu, W.; Chen, L.; Miao, Y.; Diwu, J.; Li, J.; Wang, S. 3,4-Hydroxypyridinone-modified carbon quantum dot as a highly sensitive and selective fluorescent probe for the rapid detection of uranyl ions. Environ. Sci. Nano 2019, 6, 1457–1465. [Google Scholar] [CrossRef]
- Imberti, C.; Terry, S.Y.A.; Cullinane, C.; Clarke, F.; Cornish, G.H.; Ramakrishnan, N.K.; Roselt, P.; Cope, A.P.; Hicks, R.J.; Blower, P.J.; et al. Enhancing PET signal at target tissue in vivo: Dendritic and multimeric tris(hydroxypyridinone) conjugates for molecular imaging of αvβ3 integrin expression with gallium-68. Bioconjug. Chem. 2017, 28, 481–495. [Google Scholar] [CrossRef]
- Ang, M.T.C.; Gumbau-Brisa, R.; Allan, D.S.; McDonald, R.; Ferguson, M.J.; Holbeinac, B.E.; Bierenstiel, M. DIBI, a 3-hydroxypyridin-4-one chelator iron-binding polymer with enhanced antimicrobial activity. Med. Chem. Commun. 2018, 9, 1206–1212. [Google Scholar] [CrossRef]
- Arora, N.; Caldwell, A.; Wafa, K.; Szczesniak, A.; Al-Banna, N.; Sharawy, N.; Islam, S.; Zhou, J.; Kelly, M.; Lehmann, C. DIBI, a polymeric hydroxypyridinone iron chelator, reduces ocular inflammation in local and systemic endotoxin-induced uveitis. Clin. Hemorheol. Microcirc. 2018, 69, 153–164. [Google Scholar] [CrossRef]
- Greenshields, A.L.; Coombs, M.R.P.; Fernando, W.; Holbein, B.E.; Hoskin, D.W. DIBI, a novel 3-hydroxypyridin-4-one chelator iron-binding polymer, inhibits breast cancer cell growth and functions as a chemosensitizer by promoting S-phase DNA damage. Biometals 2019, 32, 909–921. [Google Scholar] [CrossRef]









| Mono-3,4-HP | pAl [7] | pFe [8] | pCu [8] | pZn [10] | pCa [9] | pMg [9] |
|---|---|---|---|---|---|---|
| L1 | 14.7 | - | 8.6 | 6.4 | 6.0 | - |
| L2 | 14.2 | 24.4 | 11.0 | 6.0 | 6.0 | 6.0 |
| L3 | 13.2 | - | 11.1 | 6.0 | 6.0 | - |
| L4 | 13.9 | - | 10.9 | 6.0 | 6.0 | 6.0 |
| L5 | 13.2 | 24.0 | 8.2 | 6.2 | 6.0 | 6.0 |
| HP Ligand | Analytical Method | LOD/μM | LOQ/μM | Ref. |
|---|---|---|---|---|
| L6 | Colorimetry | 3.58 | 12.53 | [25] |
| L7a | µSI-LOV a system | 0.32 | 1.07 | [18] |
| L7b–L7e | Sequential injection | 1.24–1.79 | - | [27] |
| L7a | μPAD b system | 0.98 | 4.47–35.81 | [28] |
| L7b | Spectrophotometry with on-line SPE c, NTA resin column | 0.05 | - | [29] |
| L7b | Spectrophotometry without on-line SPE c | 0.20 | - | [29] |
| Compounds | pFe | pAl | pZn | Ref. |
|---|---|---|---|---|
| L10 | 26.6 | 21.4 | 17.4 | [45] |
| L11 | 20.6 | 18.2 | 13.9 | [46] |
| L12 | 25.8 | 19.1 | 8.3 | [47] |
| DFP (L8b) | 19.3 | 16.1 | 6.2 | [14] |
| DFO | 26.5 | 19.3 | 6.5 | [48] |
| Transferrin | 20.3 | 14.5 | - | [49,50] |
| NTA | 18.5 | 12.8 | - | [51] |
| EDDA | 17.1 | 13.1 | 11.1 | [51] |
| DTPA | 24.6 | 15.2 | 14.8 | [51] |
| DOTA | 24.3 | 13.2 | - | [51] |
| IDAPr(3,4-HP)2 | 25.8 | 18.8 | 9.7 | [52] |
| EDTAPr(3,4-HP)2 | 26.5 | 19.0 | 10.7 | [53] |
| IDAPipPr(3,4-HP)2 | 25.7 | 18.0 | - | [54] |
| IDAPipPr(3,4-HP)2 + L4 | 26.5 | 17.9 | - | [54] |
Publisher’s Note: MDPI stays neutral with regard to jurisdictional claims in published maps and institutional affiliations. |
© 2022 by the authors. Licensee MDPI, Basel, Switzerland. This article is an open access article distributed under the terms and conditions of the Creative Commons Attribution (CC BY) license (https://creativecommons.org/licenses/by/4.0/).
Share and Cite
Santos, M.A.; Irto, A.; Buglyó, P.; Chaves, S. Hydroxypyridinone-Based Metal Chelators towards Ecotoxicity: Remediation and Biological Mechanisms. Molecules 2022, 27, 1966. https://doi.org/10.3390/molecules27061966
Santos MA, Irto A, Buglyó P, Chaves S. Hydroxypyridinone-Based Metal Chelators towards Ecotoxicity: Remediation and Biological Mechanisms. Molecules. 2022; 27(6):1966. https://doi.org/10.3390/molecules27061966
Chicago/Turabian StyleSantos, M. Amélia, Anna Irto, Péter Buglyó, and Sílvia Chaves. 2022. "Hydroxypyridinone-Based Metal Chelators towards Ecotoxicity: Remediation and Biological Mechanisms" Molecules 27, no. 6: 1966. https://doi.org/10.3390/molecules27061966
APA StyleSantos, M. A., Irto, A., Buglyó, P., & Chaves, S. (2022). Hydroxypyridinone-Based Metal Chelators towards Ecotoxicity: Remediation and Biological Mechanisms. Molecules, 27(6), 1966. https://doi.org/10.3390/molecules27061966

