Recent Advances in BODIPY Compounds: Synthetic Methods, Optical and Nonlinear Optical Properties, and Their Medical Applications
Abstract
1. N-B-N Environment in Organoboron Compounds
2. Organoboron Compounds Having NBN Framework
- (A)
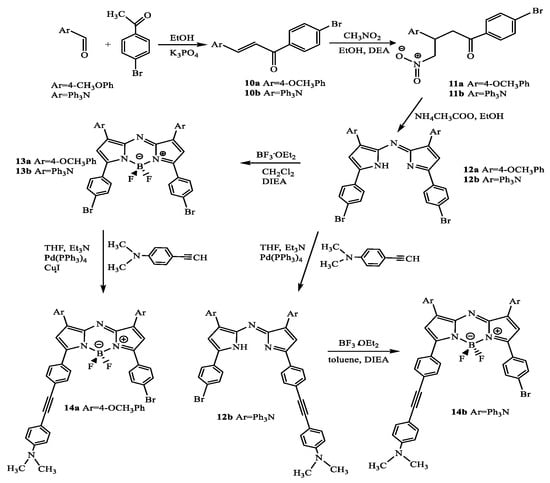
- Liebeskind–Srogl coupling: Cross-coupling of thiomethyl BODIPYs with arylaminoboronic acids [29].
- (B)
3. Compounds Containing O-B-O Framework
4. O-B-N Boronates
5. Conclusions
Author Contributions
Funding
Conflicts of Interest
Sample Availability
References
- James, T.D.; Shinkai, S. Saccharide-Selective Boronic Acid Based Photoinduced Electron Transfer (PET) Fluorescent Sensors. Top. Curr. Chem. 2002, 218, 159. [Google Scholar]
- Jelinek, R.; Kolusheva, S. Carbohydrate biosensor. Chem. Rev. 2004, 104, 5987–6015. [Google Scholar] [CrossRef] [PubMed]
- Pal, A.; Berube, M.; Hall, D.G. Design, Synthesis, and Screening of a Library of Peptidyl Bis(Boroxoles) as Oligosaccharide Receptors in Water: Identification of a Receptor for the Tumor Marker TF-Antigen Disaccharide. Angew. Chem. Int. Ed. 2010, 49, 1492–1495. [Google Scholar] [CrossRef] [PubMed]
- Hansen, J.S.; Christensen, J.B.; Petersen, J.F.; HoegJensen, T.; Norrild, J.C. Arylboronic acids: A diabetic eye on glucose sensing. Sens. Actuators 2012, B161, 45–79. [Google Scholar] [CrossRef]
- Wade, C.R.; Broomsgrove, A.J.; Aldridge, S.; Gabbaï, F.P. Fluoride Ion Complexation and Sensing Using Organoboron Compounds. Chem. Rev. 2010, 110, 3958–3984. [Google Scholar] [CrossRef] [PubMed]
- Wu, X.; Li, Z.; Chen, X.-X.; Fossey, J.S.; James, T.D.; Jiang, Y.B. Selective sensing of saccharides using simple boronic acids and their aggregates. Chem. Soc. Rev. 2013, 42, 8032–8048. [Google Scholar] [CrossRef] [PubMed]
- Guan, Y.; Zhang, Y. Boronic acid-containing hydrogels: Synthesis and their applications. Chem. Soc. Rev. 2013, 42, 8106–8121. [Google Scholar] [CrossRef]
- You, L.; Zha, D.; Anslyn, E.V. Recent Advances in Supramolecular Analytical Chemistry Using Optical Sensing. Chem. Rev. 2015, 115, 7840–7892. [Google Scholar] [CrossRef]
- Wu, J.; Kwon, B.; Liu, W.; Anslyn, E.V.; Wang, P.; Kim, J.S. Chromogenic/Fluorogenic Ensemble Chemosensing Systems. Chem. Rev. 2015, 115, 7893–7943. [Google Scholar] [CrossRef]
- Suzuki, A.; Brown, H.C. Organic Syntheses Via Boranes; Aldrich Chemical Company: Burlington, MA, USA; Milwakee: Brookfield, WI, USA, 2003; Volume 3. [Google Scholar]
- Hall, D.G. Boronic Acids, 2nd ed.; Wiley-VCH: Weinheim, Germany, 2011. [Google Scholar]
- Gutekunst, W.R.; Baran, P.S. C–H functionalization logic in total synthesis. Chem. Soc. Rev. 2011, 40, 1976–1991. [Google Scholar] [CrossRef]
- Chen, J.B.; Whiting, A. Recent Advances in Copper-Catalyzed Asymmetric Hydroboration of Electron-Deficient Alkenes: Methodologies and Mechanism. Synthesis 2018, 50, 3843–3861. [Google Scholar]
- Collins, B.S.L.; Wilson, C.M.; Myers, E.L.; Aggarwal, V.K. Asymmetric Synthesis of Secondary and Tertiary Boronic Esters. Angew. Chem. Int. Ed. 2017, 56, 11700–11733. [Google Scholar] [CrossRef] [PubMed]
- Crudden, C.M.; Edwards, D. Catalytic Asymmetric Hydroboration: Recent Advances and Applications in Carbon−Carbon Bond-Forming Reactions. Eur. J. Org. Chem. 2003, 24, 4695–4712. [Google Scholar] [CrossRef]
- Waghorn, P.A.; Jones, M.W.; McIntyre, A.; Innocenti, A.; Vullo, D.; Harris, A.L.; Supuran, C.T.; Dilworth, J.R. Targeting Carbonic Anhydrases with Fluorescent BODIPY-Labelled Sulfonamides. Eur. J. Inorg. Chem. 2012, 17, 2898–2907. [Google Scholar] [CrossRef]
- Porrès, L.; Mongin, O.; Desce, M.B. Synthesis, fluorescence and two-photon absorption properties of multichromophoric boron-dipyrromethene fluorophores for two-photon-excited fluorescence applications. Tetrahedron Lett. 2006, 47, 1913–1917. [Google Scholar] [CrossRef][Green Version]
- Quan, L.; Chen, Y.; Lv, X.; Fu, W. Naphthyridine–BF2 complexes with an amide-containing di-2-picolylamine receptor: Synthesis, structures and photo-induced electron transfer. Chem. Eur. J. 2013, 272, 73–79. [Google Scholar]
- Karotki, A.; Khurana, M.; Lepock, J.R.; Wilson, B.C. Simultaneous Two-photon Excitation of Photofrin in Relation to Photodynamic Therapy. Photochem. Photobiol. 2006, 82, 443–452. [Google Scholar] [CrossRef] [PubMed]
- Belfield, K.D.; Corredor, C.C.; Morales, A.R.; Dessources, M.A.; Hernandez, F.E. Synthesis and Characterization of New Fluorene-Based Singlet Oxygen Sensitizers. J. Fluoresc. 2006, 16, 105–110. [Google Scholar] [CrossRef]
- Oar, M.A.; Serin, J.M.; Dichtel, W.R.; Frechet, J.M.J.; Ohulchanskyy, T.Y.; Prasad, P.N. Photosensitization of Singlet Oxygen via Two-Photon-Excited Fluorescence Resonance Energy Transfer in a Water-Soluble Dendrimer. Chem. Mater. 2005, 17, 2267–2275. [Google Scholar] [CrossRef]
- Fournier, M.; Pepin, C.; Houde, D.; Ouellet, R.; Van Lier, J.E. Ultrafast studies of the excited-state dynamics of copper and nickel phthalocyanine tetrasulfonates: Potential sensitizers for the two-photon photodynamic therapy of tumors. Photochem. Photobiol. Sci. 2004, 3, 120–126. [Google Scholar] [CrossRef]
- Kubota, Y.; Hara, H.; Tanaka, S.; Funabiki, K.; Matsui, M. Synthesis and Fluorescence Properties of Novel Pyrazine–Boron Complexes Bearing a β-Iminoketone Ligand. Org. Lett. 2011, 13, 6544–6547. [Google Scholar] [CrossRef] [PubMed]
- Araneda, J.F.; Piers, W.E.; Heyne, B.; Parvez, M.; McDonald, R. BiO(IO3): A New Polar Iodate that Exhibits an Aurivillius-Type (Bi2O2)2+ Layer and a Large SHG Response. Angew. Chem. 2011, 123, 12422–12425. [Google Scholar] [CrossRef]
- Bouit, P.A.; Wetzel, G.; Berginc, G.; Loiseaux, B.; Toupet, L.; Feneyrou, P.; Bretonni_ere, Y.; Kamada, K.; Maury, O.; Andraud, C. Near IR Nonlinear Absorbing Chromophores with Optical Limiting Properties at Telecommunication Wavelengths. Chem. Mater. 2007, 19, 5325–5335. [Google Scholar] [CrossRef]
- Guyen, L.H.; Straub, M.; Gu, M. Acrylate-Based Photopolymer for Two-Photon Microfabrication and Photonic ApplicationsAdv. Funct. Mater. 2005, 15, 209–216. [Google Scholar]
- Oenjarts, C.A.; Ober, C.K. Two-Photon Three-Dimensional Microfabrication of Poly(Dimethylsiloxane) Elastomers. Chem. Mater. 2004, 16, 5556–5558. [Google Scholar] [CrossRef]
- Ehrlich, J.E.; Wu, X.L.; Lee, I.-Y.S.; Hu, Z.-Y.; Rockel, H.; Marder, S.R.; Perry, J.W. Two-photon absorption and broadband optical limiting with bis-donor stilbenes. Opt. Lett. 1997, 22, 1843–1845. [Google Scholar] [CrossRef] [PubMed]
- Liebeskind, L.S.; Srogl, J. Thiol Ester−Boronic Acid Coupling. A Mechanistically Unprecedented and General Ketone Synthesis. Am. Chem. Soc. 2000, 122, 11260–11261. [Google Scholar] [CrossRef]
- PeÇa-Cabrera, E.; Aguilar-Aguilar, A.; Gonzalez-Dominguez, M.; Lager, E.; Zamudio-Vazquez, R.; Godoy-Vargas, J.; Villanueva-Garcia, F. Simple, General, and Efficient Synthesis of Meso-Substituted Borondipyrromethenes from a Single Platform. Org. Lett. 2007, 9, 3985–3988. [Google Scholar] [CrossRef] [PubMed]
- Lager, E.; Liu, J.Z.; Aguilar-Aguilar, A.; Tang, B.Z.; PeÇa-Cabrera, E. Novel meso-Polyarylamine-BODIPY Hybrids: Synthesis and Study of Their Optical Properties. J. Org. Chem. 2009, 74, 2053–2058. [Google Scholar] [CrossRef] [PubMed]
- Han, J.Y.; Gonzalez, O.; Aguilar-Aguilar, A.; PeÇa-Cabrera, E.; Burgess, K. 3- and 5-Functionalized BODIPYs via the Liebeskind-Srogl reaction. Org. Biomol. Chem. 2009, 7, 34–36. [Google Scholar] [CrossRef] [PubMed]
- Arroyo, I.J.; Hu, R.R.; Tang, B.Z.; Lopez, F.I.; PeÇaCabrera, E. 8-Alkenylborondipyrromethene dyes. General synthesis, optical properties, and preliminary study of their reactivity. Tetrahedron 2011, 67, 7244–7250. [Google Scholar] [CrossRef]
- Roacho, R.I.; MettaMagana, A.J.; PeÇa-Cabrera, E.; Pannell, K.H. Synthesis, structural characterization, and spectroscopic properties of the ortho, meta, and para isomers of 8-(HOCH2-C6H4)-BODIPY and 8-(MeOC6H4)-BODIPY. J. Phys. Org. Chem. 2013, 26, 345–351. [Google Scholar] [CrossRef]
- Martinez-Gonzalez, M.R.; Urias-Benavides, A.; AlvaradoMartinez, E.; Lopez, J.C.; Gjmez, A.M.; del Rio, M.; Garcia, I.; Costela, A.; BaÇuelos, J.; Arbeloa, T.; et al. Convenient Access to Carbohydrate–BODIPY Hybrids by Two Complementary Methods Involving One-Pot Assembly of “Clickable” BODIPY Dyes. Eur. J. Org. Chem. 2014, 2014, 5659–5663. [Google Scholar] [CrossRef]
- Karolin, J.; Johansson, B.A.L.; Strandberg, J.L.; NyZ, T. Fluorescence and Absorption Spectroscopic Properties of Dipyrrometheneboron Difluoride (BODIPY) Derivatives in Liquids, Lipid Membranes, and Proteins. J. Am. Chem. Soc. 1994, 116, 7801–7806. [Google Scholar] [CrossRef]
- Loudet, A.; Burgess, K. BODIPY Dyes and Their Derivatives: Syntheses and Spectroscopic Properties. Chem. Rev. 2007, 107, 4891–4932. [Google Scholar] [CrossRef] [PubMed]
- Leen, V.; Miscoria, D.; Yin, S.; Filarowski, A.; Ngongo, J.M.; Auweraer, M.V.; Boens, N.; Dehaen, W. 1,7-Disubstituted Boron Dipyrromethene (BODIPY) Dyes: Synthesis and Spectroscopic Properties. J. Org. Chem. 2011, 76, 8168–8176. [Google Scholar] [CrossRef]
- Chen, Y.; Zhao, J.; Guo, H.; Xie, L. Geometry Relaxation-Induced Large Stokes Shift in Red-Emitting Borondipyrromethenes (BODIPY) and Applications in Fluorescent Thiol Probes. J. Org. Chem. 2012, 77, 2192–2206. [Google Scholar] [CrossRef]
- Lakowicz, J.R. Principles of Fluorescence Spectroscopy, 2nd ed.; Kluwer Academic: New York, NY, USA, 1999. [Google Scholar]
- Valeur, B. Molecular Fluorescence: Principles and Applications; Wiley-VCH Verlag: Weinheim, Germany, 2001. [Google Scholar]
- Chibani, S.; LeGuennic, B.; Charaf-Eddin, A.; Maury, O.; Andraud, C.; Jacquemin, D. On the computaional of asiabatic energgies in aza-boron-dipyrromethene dyes. Chem. Rev. 2012, 8, 3303–3313. [Google Scholar]
- Küköz, B.; Hayvalı, K.; Yılmaz, M.; U˘guz, H.; Ulas, B.; Kürüm, U.; Gul Yaglioglu, H.; Elmali, A. Synthesis, optical properties and ultrafast dynamics of aza-boron-dipyrromethene compounds containing methoxy and hydroxy groups and two-photon absorption cross-section. J. Photochem. Photobiol. A Chem. 2012, 247, 24–29. [Google Scholar] [CrossRef]
- Liu, Y.; Kong, M.; Zhang, Z.; Zhou, H.; Zhang, S.; Li, S.; Wu, J.; Tian, Y. A series of triphenylamine-based two-photon absorbing materials with AIE property for biological imaging. J. Mater. Chem. B 2014, 2, 5430–5440. [Google Scholar] [CrossRef]
- Du, M.L.; Hu, C.Y.; Wang, L.F.; Li, C.; Han, Y.Y.; Gan, X.; Chen, Y.; Mu, W.H.; Huang, M.L.; Fu, W.F. New members of fluorescent 1,8-naphthyridine-based BF2 compounds: Selective binding of BF2 with terminal bidentate N^N^O and N^C^O groups and tunable spectroscopy properties. Dalton Trans. 2014, 43, 13924–13931. [Google Scholar] [CrossRef] [PubMed]
- Araneda, J.F.; Piers, W.E.; Heyne, B.; Parvez, M.; McDonald, R. Progress in the Science of Functional Dyes. Angew. Chem. Int. Ed. 2011, 50, 1–5. [Google Scholar]
- Wang, Y.; Zhang, D.; Zhou, H.; Ding, J.; Chen, Q.; Xiao, Y.; Qian, S. Nonlinear optical properties and ultrafast dynamics of three novel boradiazaindacene derivatives. J. Appl. Phys. 2010, 8, 33–520. [Google Scholar] [CrossRef]
- Kowada, T.; Yamaguchi, S.; Ohe, K. Highly Fluorescent BODIPY Dyes Modulated with Spirofluorene Moieties. Org. Lett. 2010, 12, 296–299. [Google Scholar] [CrossRef]
- Matthew, T.W.; Patel, N.M.; Roberts, S.T.; Kathryn, A.; Djurovich, I.P.; Bradforth, E.S.; Thompson, M.E. Symmetry-breaking intramolecular charge transfer in the excited state of meso-linked BODIPY dyads. Chem. Commun. 2012, 48, 284–286. [Google Scholar]
- Li, Z.; Lin, T.; Liu, S.; Huang, C.; Hudnall, T.W.; Gabbai, F.P.; Conti, P.S. Rapid aqueous [18F]-labeling of a bodipy dye for positron emission tomography/fluorescence dual modality imaging. Chem. Commun. 2011, 47, 9324–9326. [Google Scholar] [CrossRef]
- Kim, T.; Park, J.; Park, S.; Choi, Y.; Kim, Y. Visualization of tyrosinase activity in melanoma cells by a BODIPY-based fluorescent probe. Chem. Commun. 2011, 47, 12640–12642. [Google Scholar] [CrossRef]
- Tokoro, Y.; Nagai, A.; Chujo, Y. Luminescent chiral organoboron 8-aminoquinolate-coordination polymers. Appl. Organomet. Chem. 2010, 24, 563–568. [Google Scholar] [CrossRef]
- Tsunemasa, N.; Tsuboi, A.; Okamura, H. Effects of Organoboron Antifoulants on Oyster and Sea Urchin Embryo Development. Int. J. Mol. Sci. 2013, 14, 421–433. [Google Scholar] [CrossRef]
- Martens, S.C.; Riehm, T.; Wadepohl, H.; Gade, L.H. Tetra-N-silylated Bis(borylene)tetraaminoperylenes (“DIBOTAPs”): Synthesis, Structures and Photophysics. Eur. J. Inorg. Chem. 2012, 18, 3039–3046. [Google Scholar] [CrossRef]
- Bolze, F.; Hayek, A.; Sun, X.H.; Baldeck, P.L.; Bourgogne, C.; Nicoud, J.-F. New insight in boron chemistry: Application in two-photon absorption. Opt. Mater. 2011, 33, 1453–1458. [Google Scholar] [CrossRef]
- Mirochnik, A.G.; Fedorenko, E.V.; Gizzatulina, D.K.; Karasev, V.E. Photoinduced enhancement of luminescence from (dibenzoylmethanato)boron difluoride in polymethyl methacrylate. Russ. J. Phys. Chem. 2007, 81, 1880–1883. [Google Scholar] [CrossRef]
- Ran, C.; Xu, X.; Raymond, S.B.; Ferrara, B.J.; Neal, K.; Bacskai, B.J.; Medarova, Z.; Moore, A. Design, Synthesis, and Testing of Difluoroboron-Derivatized Curcumins as Near-Infrared Probes for in Vivo Detection of Amyloid-β Deposits. J. Am. Chem. Soc. 2009, 131, 15257–15261. [Google Scholar] [CrossRef] [PubMed]
- Zhang, G.; Singer, J.P.; Kooi, S.E.; Evans, R.E.; Thomas, E.L.; Fraser, C.L. Reversible solid-state mechanochromic fluorescence from a boron lipid dye. J. Mater. Chem. 2011, 21, 8295. [Google Scholar] [CrossRef]
- Zhang, G.; Lu, J.; Sabat, M.; Fraser, C.L. Polymorphism and Reversible Mechanochromic Luminescence for Solid-State Difluoroboron Avobenzone. J. Am. Chem. Soc. 2010, 132, 2160–2162. [Google Scholar] [CrossRef]
- Nguyen, N.D.; Zhang, G.; Lu, J.; Shermana, A.E.; Fraser, C.L. Alkyl chain length effects on solid-state difluoroboron β-diketonate mechanochromic luminescence. J. Mater. Chem. 2011, 21, 8409. [Google Scholar] [CrossRef]
- Wang, Z.; Wang, M.; Peng, J.; Xie, Y.; Liu, M.; Gao, W.; Zhou, Y.; Huang, X.; Wu, H. Polymorphism and multicolor mechanofluorochromism of a D-π-A asymmetric 4H-pyran derivative with aggregation-indused emission propert. J. Phys. Chem. 2019, 123, 27742–27751. [Google Scholar]
- Wolkenstein, K.; Gross, J.H.; Falk, H. Boron-containing organic pigments from a Jurassic red alga. Proc. Natl. Acad. Sci. USA 2010, 107, 19374–19378. [Google Scholar] [CrossRef]
- Chandra, S.; Tjarks, W.; Loreyand, D.R.; Barth, R.F. Quantitative subcellular imaging of boron compounds in individual mitotic and interphase human glioblastoma cells with imaging secondary ion mass spectrometry (SIMS). J. Microsc. 2008, 229, 92–103. [Google Scholar] [CrossRef]
- Rodríguez, M.; Ramos-Ortíz, G.; Martha, I.; Alcalá-Salas, M.I.; Maldonado, J.L.; López-Varela, K.; López, Y.; Domínguez, O.; Meneses-Nava, M.A.; Barbosa-García, O.; et al. One-pot synthesis and characterization of novel boronates for the growth of single crystals with nonlinear optical properties. Dyes Pigments 2010, 87, 76–83. [Google Scholar] [CrossRef]
- He, Z.; Trinchera, P.; Adachi, S.; Denis, J.D.S.; Andrei, K.; Yudin, K.A. Oxidative geminal functionalization of organoboron compounds. Chem. Int. Ed. 2012, 51, 11092–11096. [Google Scholar] [CrossRef] [PubMed]
- Zhang, Z.; Bi, H.; Zhang, Y.; Yao, D.; Gao, H.; Fan, Y.; Zhang, H.; Wang, Y.; Wang, Y.; Chen, Z.; et al. Luminescent Boron-Contained Ladder-Type π-Conjugated Compounds. ACS Inorg. Chem. 2009, 48, 7230–7236. [Google Scholar] [CrossRef] [PubMed]
- Rodriguez, M.; Castro-Beltran, R.; Ramos-Ortiz, G.; Maldonado, J.L.; Farfan, N.; Dominguez, O.; Rodriguez, J.; Santillanc, R.; Meneses-Nava, M.A.; Barbosa-Garcia, O.; et al. Synthesis and third-order nonlinear optical studies of a novel four-coordinated organoboron derivative and a bidentate ligand: The effect of the N→B coordinative bond. Synth. Met. 2009, 159, 1281–1287. [Google Scholar] [CrossRef]
- Rodríguez, M.; Maldonado, J.L.; Ramos-Ortíz, G.; Domínguez, O.; Ochoa, M.E.; Santillan., R.; Farfán, N.; Meneses-Nava, M.; Barbosa-García, O. Synthesis, X-ray diffraction analysis, and chemical–optical characterizations of boron complexes from bidentate ligands. Polyhedron 2012, 43, 194–200. [Google Scholar] [CrossRef]
- Glotzbach, C.; Kauscher, U.; Voskuhl, J.; SedaKehr, N.; Stuart, M.C.A.; Fröhlich, R.; Galla, H.J.; Ravoo, B.J.; Nagura, K.; Saito, S.; et al. Fluorescent Modular Boron Systems Based on NNN- and ONO-Tridentate Ligands: Self-Assembly and Cell Imaging. J. Org. Chem. 2013, 78, 4410–4418. [Google Scholar] [CrossRef] [PubMed]
- Zhou, Y.; Kim, J.; Kim, M.J.; Son, W.; Han, S.J.; Kim, H.N.; Han, S.; Kim, Y.; Lee, C.; Kim, S.; et al. Novel Bi-Nuclear Boron Complex with Pyrene Ligand: Red-Light Emitting as well as Electron Transporting Material in Organic Light-Emitting Diodes. Org. Lett. 2010, 12, 1272–1275. [Google Scholar] [CrossRef]
- Yoshii, R.; Nagai, A.; Tanaka, K.; Chujo, Y. Highly Emissive Boron Ketoiminate Derivatives as a New Class of Aggregation-Induced Emission Fluorophores. Chem. Eur. J. 2013, 19, 4506–4512. [Google Scholar] [CrossRef]
- Tang, C.W.; VanSlyke, S.A. Organic electroluminescent diodes. Appl. Phys. Lett. 1987, 51, 913–915. [Google Scholar] [CrossRef]
- Friend, R.H.; Gymer, R.W.; Holmes, A.B.; Burroughes, J.H.; Marks, R.N.; Taliani, C.; Bradley, D.D.C.; Dos Santos, D.A.; Brdas, J.L.; Lçgdlund, M.; et al. Electroluminescence in conjugated polymers. Nature 1999, 397, 121–128. [Google Scholar] [CrossRef]
- Jenekhe, S.A.; Osaheni, J.A. Excimers and Exciplexes of Conjugated Polymers. Science 1994, 265, 765–768. [Google Scholar] [CrossRef]
- Luo, J.; Xie, Z.; Lam, J.W.Y.; Cheng, L.; Chen, H.; Qiu, C.; Kwok, H.S.; Zhan, X.; Liu, Y.; Zhu, D.; et al. Aggregation-induced emission of 1-methyl-1,2,3,4,5-pentaphenylsilole. Chem. Commun. 2001, 18, 1740–1741. [Google Scholar] [CrossRef] [PubMed]
- Chen, J.; Law, C.C.W.; Lam, J.W.Y.; Dong, Y.; Lo, S.M.F.; Williams, I.D.; Zhu, D.; Tang, B.Z. Synthesis, Light Emission, Nanoaggregation, and Restricted Intramolecular Rotation of 1,1-Substituted 2,3,4,5-Tetraphenylsiloles. Chem. Mater. 2003, 15, 1535–1546. [Google Scholar] [CrossRef]
- Chen, J.; Xie, Z.; Lam, J.W.Y.; Law, C.C.W.; Tang, B.Z. Silole-Containing Polyacetylenes. Synthesis, Thermal Stability, Light Emission, Nanodimensional Aggregation, and Restricted Intramolecular Rotation. Macromolecules 2003, 36, 1108–1117. [Google Scholar] [CrossRef]
- Chen, J.; Xu, B.; Ouyang, X.; Tang, B.Z.; Cao, Y. Aggregation-Induced Emission of cis, cis-1,2,3,4-Tetraphenylbutadiene from Restricted Intramolecular Rotation. J. Phys. Chem. A 2004, 108, 7522–7526. [Google Scholar] [CrossRef]
- Tong, H.; Dong, Y.Q.; Hußler, M.; Lam, J.W.Y.; Sung, H.H.Y.; Williams, I.D.; Sun, J.Z.; Tang, B.Z. Tunable aggregation-induced emission of diphenyldibenzofulvenes. Chem. Commun. 2006, 10, 1133–1135. [Google Scholar] [CrossRef]
- Tong, H.; Hong, Y.; Dong, Y.; Hußler, M.; Lam, J.W.Y.; Guo, Z.; Li, Z.; Tang, B.Z. Fluorescent “light-up” bioprobes based on tetraphenylethylene derivatives with aggregation-induced emission characteristics. Chem. Commun. 2006, 35, 3705–3707. [Google Scholar] [CrossRef]
- Zeng, Q.; Li, Z.; Dong, Y.; Di, Q.; Qin, A.; Hong, Y.; Zhu, J.; Zhu, Z.; Jim, C.K.W.; Yu, G.; et al. Fluorescence enhancements of benzene-cored luminophors by restricted intramolecular rotations: AIE and AIEE effects. Chem. Commun. 2007, 1, 70–72. [Google Scholar] [CrossRef]
- Hong, Y.; Lam, J.W.Y.; Tang, B.Z. Aggregation-induced emission: Phenomenon, mechanism and applications. Chem. Commun. 2009, 29, 4332–4353. [Google Scholar] [CrossRef]
- Hellstrom, J.S.; Britovsek, G.J.P.; Jones, T.S.; Hunt, P.; White, A.J.P. Synthesis and characterisation of luminescent fluorinated organoboron compounds. Dalton Trans. 2007, 14, 1425–1432. [Google Scholar] [CrossRef]
- Mullen, K.; Scherf, U. (Eds.) Organic Light Emitting Devices; Wiley-VCH: Weinheim, Germany, 2005. [Google Scholar]
- Casas, J.M.; Falvello, L.R.; Forniè, J.; Martin, A.; Welch, A.J. Pentafluorophenyl complexes of platinum containing intramolecular Pt—H hydrogen bridging interactions. Crystal structures of [NBu4][Pt(C6F5)3 (8-hydroxyquinaldine)] and [NBu4][Pt(C6F5)3(8-methylquinoline)]. Inorg. Chem. 1996, 35, 6009–6014. [Google Scholar] [CrossRef]
- Chen, C.H.; Shi, J. Metal chelates as emitting materials for organic electroluminescence. Coord. Chem. Rev. 1998, 171, 161. [Google Scholar] [CrossRef]
- Wang, S. Luminescence and electroluminescence of Al(III), B(III), Be(II) and Zn(II) complexes with nitrogen donors. Coord. Chem. Rev. 2001, 79, 215. [Google Scholar] [CrossRef]
- Li, D.; Wang, K.; Huang, S.; Qu, S.; Liu, X.; Zhu, Q.; Zhang, H.; Wang, J.Y. Brightly fluorescent red organic solids bearing boron-bridged π–conjugated skeletons. Mater. Chem. 2011, 21, 15298–15304. [Google Scholar] [CrossRef]
- Kim, Y.; Bouffard, J.; Kooi, S.E.; Swager, T.M. Highly Emissive Conjugated Polymer Excimers. J. Am. Chem. Soc. 2005, 127, 13726. [Google Scholar] [CrossRef]
- Wakamiya, A.; Mori, K.; Yamaguchi, S. 3-Boryl-2,2′-bithiophene as a Versatile Core Skeleton for Full-Color Highly Emissive Organic Solids. Angew. Chem. Int. Ed. 2007, 46, 4273. [Google Scholar] [CrossRef] [PubMed]
- Ye, S.; Chen, J.; Di, C.; Liu, Y.; Lu, K.; Wu, W.; Du, C.; Liu, Y.; Shuai, Z.; Yu, G. Phenyl-substituted fluorene-dimer cored anthracene derivatives: Highly fluorescent and stable materials for high performance organic blue- and white-light-emitting diodes. J. Mater. Chem. 2010, 20, 3186–3194. [Google Scholar] [CrossRef]
- Yao, Y.-S.; Zhou, Q.-Z.; Wang, X.-S.; Wang, Y.; Zhang, B.-W. Fine tuning of the photophysical and electroluminescent properties of DCM-type dyes by changing the structure of the electron-donating group. J. Mater. Chem. 2006, 16, 3512. [Google Scholar] [CrossRef]
- Odom, S.A.; Parkin, S.R.; Anthony, J.E. Tetracene Derivatives as Potential Red Emitters for Organic LEDs. Org. Lett. 2003, 5, 4245–4248. [Google Scholar] [CrossRef]
- Li, D.; Zhang, H.; Wang, C.; Huang, S.; Guo, J.; Wang, Y. Construction of full-color-tunable and strongly emissive materials by functionalizing a boron-chelate four-ring-fused π-conjugated core. J. Mater. Chem. 2012, 22, 4319–4328. [Google Scholar] [CrossRef]
- Satrijo, A.; Kooi, S.E.; Swager, T.M. Enhanced luminescence from emissive defects in aggregated conjugated polymers. Macromolecules. 2007, 40, 8833–8841. [Google Scholar] [CrossRef][Green Version]
- Vidyasagar, C.C.; Muñoz Flores, B.M.; Jiménez-Pérez, V.M.; Gurubasavaraj, P.M. Recent advances in boron-based schiff base derivatives for organic light-emitting diodes. Mater. Today Chem. 2018, 11, 133–155. [Google Scholar] [CrossRef]
- Wu, Z.; Wang, Q.; Yu, L.; Chen, J.; Qiao, X.; Ahamad, T.; Alshehri, S.M.; Yang, C.; Ma, D. Managing excitons and charges for high-performance fluorescent white organic light-emitting diode. ACS Appl. Mater. Interfaces 2016, 8, 28780–28788. [Google Scholar] [CrossRef] [PubMed]
- Jung, B.J.; Yoon, C.-B.; Shim, H.-K.; Do, L.-M.; Zyung, T. Pure-Red Dye for Organic Electroluminescent Devices: Bis-Condensed DCM Derivatives. Adv. Funct. Mater. 2001, 11, 430. [Google Scholar] [CrossRef]
- Massue, J.; Denis, F.; Ulrich, G.; Retailleau, P.; Ziessel, R. Synthesis of Luminescent 2-(2′-Hydroxyphenyl)benzoxazole (HBO) Borate Complexes. Org. Lett. 2012, 14, 230–233. [Google Scholar] [CrossRef] [PubMed]
- Li, D.; Yuan, Y.; Bi, H.; Yao, D.; Zhao, X.; Tian, W.; Wang, Y.; Zhang, H. Boron-Bridged π-Conjugated Ladders as Efficient Electron-Transporting Emitters. Inorg. Chem. 2011, 50, 4825–4831. [Google Scholar] [CrossRef]
- Cheng, F.; Jäkle, F. RAFT polymerization of luminescent boron quinolate monomers. Chem. Commun. 2010, 46, 3717–3719. [Google Scholar] [CrossRef]
- Matsumi, N.; Chujo, Y. π-Conjugated Organoboron Polymers via the Vacant p-Orbital of the Boron Atom. Polym. J. 2008, 40, 77–89. [Google Scholar] [CrossRef]
- Elbing, M.; Bazan, G.C. A New Design Strategy for Organic Optoelectronic Materials by Lateral Boryl Substitution.Angew. Chem. Int. Ed. 2008, 47, 834–838. [Google Scholar] [CrossRef]
- Jäkle, F. Lewis acidic organoboron polymers. Coord. Chem. Rev. 2006, 250, 1107–1121. [Google Scholar] [CrossRef]
- Lamére, J.F.; Lacroix, P.G.; Farfa, N.; Rivera, J.M.; Santillan, R.; Nakatani, K. Synthesis, characterization and nonlinear optical (NLO) properties of a push–pull bisboronate chromophore with a potential electric field induced NLO switch. J. Mater. Chem. 2006, 16, 2913–2920. [Google Scholar] [CrossRef]
- Maldonado, J.L.; Ramos-Orťiz, G.; Barbosa-Garćia, O.; Meneses-Nava, M.A.; Arquez, L.M.; Olmos-ĹOpez., M. Dynamic holographic imaging using photorefractive polymers based on a boronate-derivative nonlinear chromophore. Int. J. Mod. Phys. 2007, 15, 2625–2634. [Google Scholar] [CrossRef]
- Shi, W.-J.; Lo, P.-C.; Singh, A.; Ledoux-Rak, I.; Ng, D.K.P. Synthesis and second-order nonlinear optical properties of push-pull BODIPY derivatives. Tetrahedron 2012, 68, 8712–8718. [Google Scholar] [CrossRef]
- Reyes, H.; Muñoz, B.M.; Farfán, N.; Santillan, R.; Rojas-Lima, S.; Lacroix, P.G.; Nakatani, K. Synthesis, crystal structures, and quadratic nonlinear optical properties in a series of push–pull boronate derivatives. J. Mater. Chem. 2002, 12, 2898–2903. [Google Scholar] [CrossRef]
- Prasad, P.N.; Williams, D.J. (Eds.) Introduction to Nonlinear Optical Effects in Molecules and Polymers; Wiley: New York, NY, USA, 1991. [Google Scholar]
- Kuhn, H.; Robillard, J. (Eds.) Nonlinear Optical Materials; CRC Press: Boca Raton, MIA, USA, 1992. [Google Scholar]
- Nalwa, H.S.; Miyata, S. (Eds.) Nonlinear Optics of Organic Molecules and Polymers; CRS Press: New York, NY, USA, 1997. [Google Scholar]
- Verbiest, T.; Houbrechts, S.; Kauranen, M.; Clays, K.; Persoons, A. Second-order nonlinear optical materials: Recent advances in chromophore design. J. Mater. Chem. 1997, 7, 2175–2189. [Google Scholar] [CrossRef]
- Dalton, L.R.; Harper, A.W.; Ghosn, R.; Steier, W.H.; Ziari, M.; Fetterman, H.; Shi, Y.; Mustacich, R.V.; Jen, A.K.-Y.; Shea, K.J. Synthesis and Processing of Improved Organic Second-Order Nonlinear Optical Materials for Applications in Photonics. Chem. Mater. 1995, 7, 1060. [Google Scholar] [CrossRef]
- Reyes, H.; Rivera, J.M.; Farfán, N.; Santillan, R.; Lacroix, P.G.; Lepetit, C.; Nakatani, K. Synthesis and quadratic molecular hyperpolarizabilities of two new chiral boronates: Computational and experimental study. J. Organomet. Chem. 2005, 690, 3737–3745. [Google Scholar] [CrossRef]
- Hawthorne, M.F.; Lee, M.W. A Critical Assessment of Boron Target Compounds for Boron Neutron Capture Therapy. J. Neurooncol. 2003, 62, 33. [Google Scholar] [CrossRef]
- Suginome, M.; Uehlin, L.; Yamamoto, A.; Murakami, M. A New Look at Boron Enolate Chemistry: Aminative C−C Bond Formation Using Diaminoboron Enolate with Aldehyde. Org. Lett. 2004, 6, 1167. [Google Scholar] [CrossRef]
- Kennedy, J.W.J.; Hall, D.G. Recent Advances in the Activation of Boron and Silicon Reagents for Stereocontrolled Allylation Reactions. Angew. Chem. Int. Ed. 2003, 42, 4732. [Google Scholar] [CrossRef]
- Liu, Z.; Fang, Q.; Cao, D.; Wang, D.; Xu, G. Triaryl Boron-Based A-π-A vs Triaryl Nitrogen-Based D-π-D Quadrupolar Compounds for Single- and Two-Photon Excited Fluorescence. Org. Lett. 2004, 6, 2933. [Google Scholar] [CrossRef]
- Entwistle, C.D.; Marder, T.B. Boron Chemistry Lights the Way: Optical Properties of Molecular and Polymeric Systems. Angew. Chem. Int. Ed. 2002, 41, 2927. [Google Scholar] [CrossRef]
- Candeias, N.R.; Montalbano, F.; Cal, P.M.S.D.; Gois, P.M. Boronic acid and esters in the petasis-boron mannich multicomponent reaction. Chem. Rev. 2010, 10, 6169–6193. [Google Scholar] [CrossRef] [PubMed]
- Sakuda, E.; Ando, Y.; Ito, A.; Kitamura, N. Extremely Large Dipole Moment in the Excited Singlet State of Tris{[p-(N,N-dimethylamino)phenylethynyl]duryl}borane. J. Phys. Chem. A 2010, 114, 9144–9150. [Google Scholar] [CrossRef] [PubMed]
- Miller, D.S.; Leffler, J.E. Absorption spectra of triarylborons. J. Phys. Chem. 1970, 74, 2571. [Google Scholar] [CrossRef]
- Matsumi, N.; Naka, K.; Chujo, Y.J. Poly(p-phenylene-borane)s. Novel Organoboron π-Conjugated Polymers via Grignard Reagent. J. Am. Chem. Soc. 1998, 120, 10776. [Google Scholar] [CrossRef]
- Matsumi, N.; Kotera, K.; Chujo, Y. Alternating Boration Copolymerization between Diynes and Diisocyanates. Organoboron Polymers Bearing Monomeric Iminoborane in Their Main Chain. Macromolecules 2000, 33, 2801–2806. [Google Scholar] [CrossRef]
- Matsumi, N.; Umeyama, T.; Chujo, Y. π-Conjugated poly (cyclodiborazane) s with intramolecular charge transferred structure. Macromolecules 2000, 33, 3956–3957. [Google Scholar] [CrossRef]
- Matsumi, N.; Chujo, Y. Synthesis of π-Conjugated Poly(cyclodiborazane)s by Organometallic Polycondensation. Macromolecules 2000, 33, 8146–8148. [Google Scholar] [CrossRef]
- Jia, W.-L.; Song, D.; Wang, S. Blue Luminescent Three-Coordinate Organoboron Compounds with a 2,2′-Dipyridylamino Functional Group. J. Org. Chem. 2003, 68, 701. [Google Scholar] [CrossRef]
- Qin, Y.; Kiburu, I.; Shah, S.; Jäkle, F. Synthesis and Characterization of Organoboron Quinolate Polymers with Tunable Luminescence Properties. Macromolecules 2006, 39, 9041–9048. [Google Scholar] [CrossRef]
- Nagata, Y.; Chujo, Y. Synthesis of Methyl-Substituted Main-Chain-Type Organoboron Quinolate Polymers and Their Emission Color Tuning. Macromolecules 2008, 41, 2809–2813. [Google Scholar] [CrossRef]
- Nagata, Y.; Chujo, Y. Main-Chain-Type N,N′-Chelate Organoboron Aminoquinolate Polymers: Synthesis, Luminescence, and Energy Transfer Behavior. Macromolecules 2008, 41, 3488–3492. [Google Scholar] [CrossRef]
- Reitzenstein, D.; Lambert, C. Localized versus Backbone Fluorescence in N-p-(Diarylboryl)phenyl-Substituted 2,7- and 3,6-Linked Polycarbazoles. Macromolecules 2009, 42, 773–782. [Google Scholar] [CrossRef]
- Hudson, Z.M.; Wang, S. Impact of Donor−Acceptor Geometry and Metal Chelation on Photophysical Properties and Applications of Triarylboranes. Acc. Chem. Res. 2009, 42, 1584–1596. [Google Scholar] [CrossRef]
- Li, H.; Jäkle, F. Facile Route to Organoboron Quinolate Polymers through Boron-Induced Ether Cleavage. Macromolecules 2009, 42, 3448–3452. [Google Scholar] [CrossRef]
- Lorbach, A.; Bolte, M.; Li, H.; Lerner, H.-W.; Holthausen, M.C.; Ja¨kle, F.; Wargner, M. 9,10-Dihydro-9,10-diboraanthracene: Supramolecular Structure and Use as a Building Block for Luminescent Conjugated Polymers. Angew. Chem. Int. Ed. 2009, 48, 4584. [Google Scholar] [CrossRef]
- Lam, S.-T.; Zhu, N.; Yam, V.W.-W. Synthesis and Characterization of Luminescent Rhenium(I) Tricarbonyl Diimine Complexes with a Triarylboron Moiety and the Study of Their Fluoride Ion-Binding Properties. Inorg. Chem. 2009, 48, 9664. [Google Scholar] [CrossRef]














































| Compound 1 | Compound 2 | |||||||||||
|---|---|---|---|---|---|---|---|---|---|---|---|---|
| R1 | R2 | R3 | R4 | R5 | R6 | R1 | R2 | R3 | R4 | R5 | R6 | |
| OMe | H | H | H | H | H | 1a | H | H | H | H | H | 2a |
| H | NO2 | H | H | H | 1b | H | NO2 | H | H | H | 2b | |
| F | F | F | F | F | 1c | F | F | F | F | F | 2c | |
| F | H | F | H | H | 1d | F | H | F | H | H | 2d | |
| H | Cl | H | H | H | 1e | H | Cl | H | H | H | 2e | |
| H | H | Cl | H | H | 1f | H | H | Cl | H | H | 2f | |
| H | H | Me | H | H | 1g | H | H | Me | H | H | 2g | |
| H | OMe | H | H | H | 1h | H | OMe | H | H | H | 2h | |
| H | H | Br | H | H | 2i | |||||||
Publisher’s Note: MDPI stays neutral with regard to jurisdictional claims in published maps and institutional affiliations. |
© 2022 by the authors. Licensee MDPI, Basel, Switzerland. This article is an open access article distributed under the terms and conditions of the Creative Commons Attribution (CC BY) license (https://creativecommons.org/licenses/by/4.0/).
Share and Cite
Gurubasavaraj, P.M.; Sajjan, V.P.; Muñoz-Flores, B.M.; Jiménez Pérez, V.M.; Hosmane, N.S. Recent Advances in BODIPY Compounds: Synthetic Methods, Optical and Nonlinear Optical Properties, and Their Medical Applications. Molecules 2022, 27, 1877. https://doi.org/10.3390/molecules27061877
Gurubasavaraj PM, Sajjan VP, Muñoz-Flores BM, Jiménez Pérez VM, Hosmane NS. Recent Advances in BODIPY Compounds: Synthetic Methods, Optical and Nonlinear Optical Properties, and Their Medical Applications. Molecules. 2022; 27(6):1877. https://doi.org/10.3390/molecules27061877
Chicago/Turabian StyleGurubasavaraj, Prabhuodeyara M., Vinodkumar P. Sajjan, Blanca M. Muñoz-Flores, Víctor M. Jiménez Pérez, and Narayan S. Hosmane. 2022. "Recent Advances in BODIPY Compounds: Synthetic Methods, Optical and Nonlinear Optical Properties, and Their Medical Applications" Molecules 27, no. 6: 1877. https://doi.org/10.3390/molecules27061877
APA StyleGurubasavaraj, P. M., Sajjan, V. P., Muñoz-Flores, B. M., Jiménez Pérez, V. M., & Hosmane, N. S. (2022). Recent Advances in BODIPY Compounds: Synthetic Methods, Optical and Nonlinear Optical Properties, and Their Medical Applications. Molecules, 27(6), 1877. https://doi.org/10.3390/molecules27061877

