New 1,3,4-Thiadiazole Derivatives with Anticancer Activity
Abstract
:1. Introduction
2. Results and Discussion
2.1. Chemistry
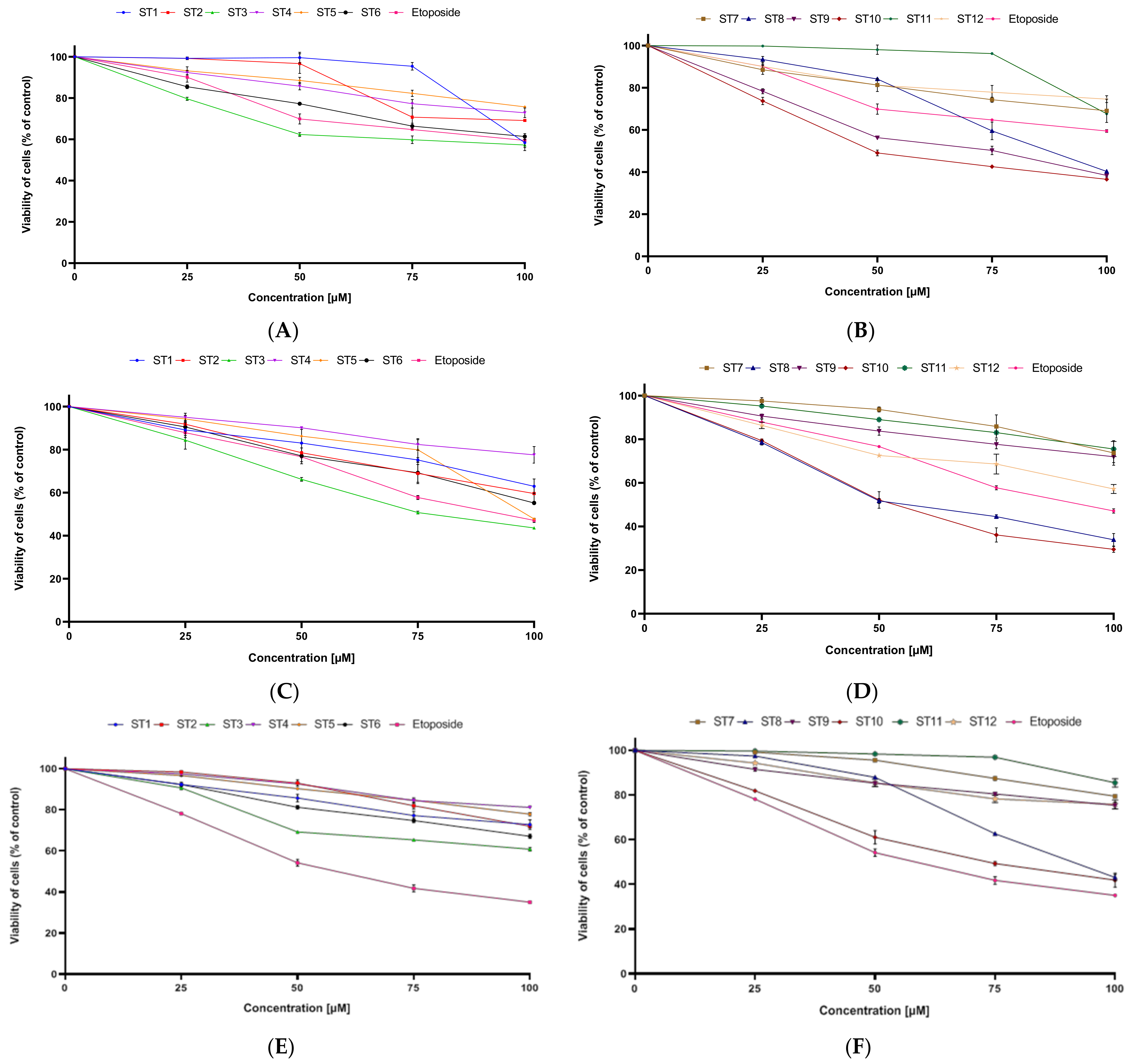
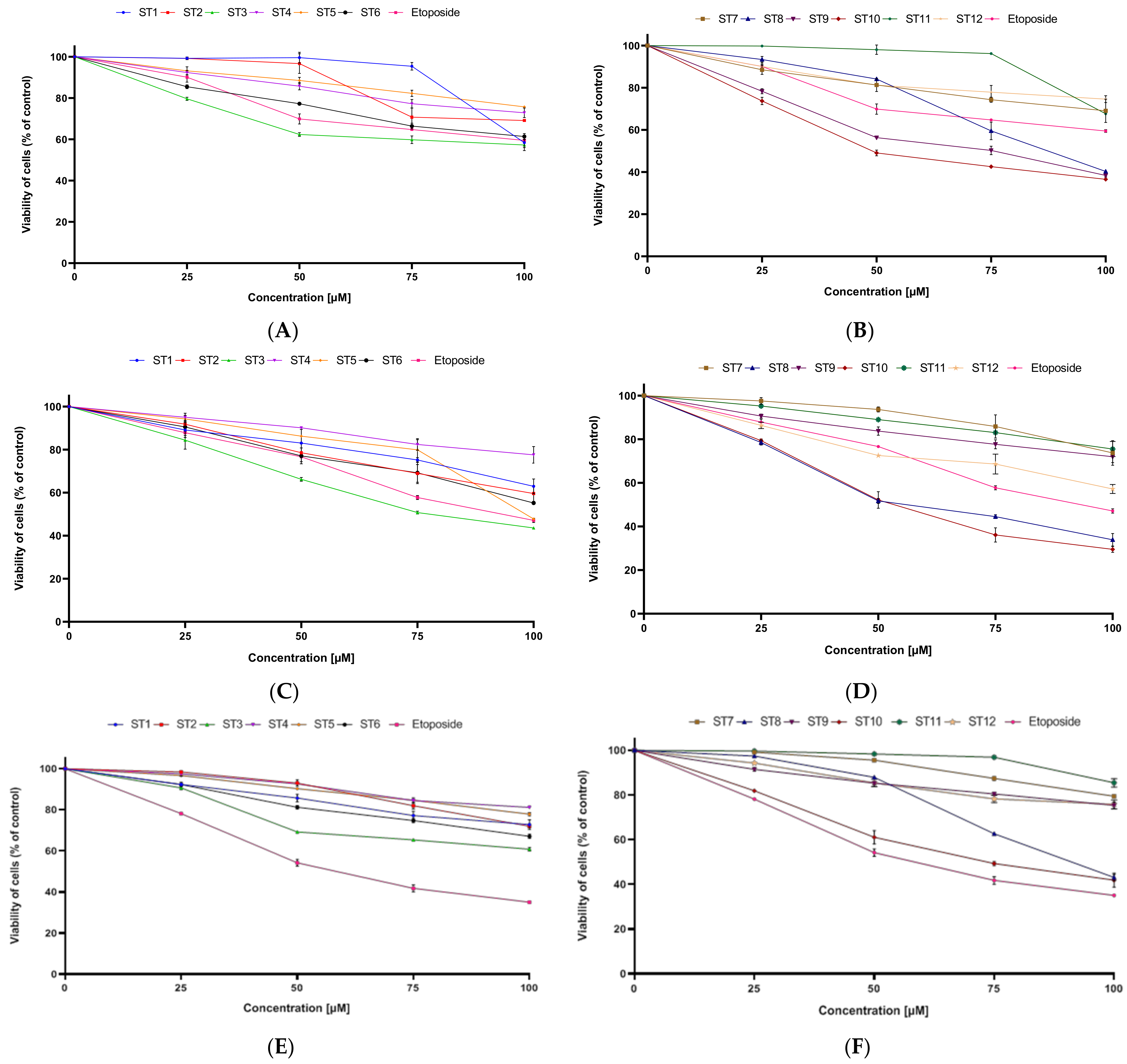
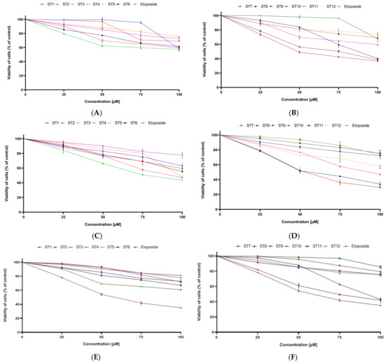
2.2. Bioactivity Studies
2.3. Docking
2.4. ADMET
3. Materials and Methods
3.1. Chemistry
3.1.1. Synthesis of Thiosemicarbazide Derivatives
Synthesis of S1, S2, S3, S7, S8, S9, S11, and S13
Synthesis of S4, S5, S6, S10, S12, S14, and S15
- 4-(2-Chlorophenyl)-1-(3-methoxyphenyl)thiosemicarbazide (S1)
- CAS 891376-78-6
- 4-(3-Chlorophenyl)-1-(3-methoxyphenyl)thiosemicarbazide (S2)
- CAS 903081-85-6
- 4-(4-Chlorophenyl)-1-(3-methoxyphenyl)thiosemicarbazide (S3)
- CAS 891376-71-9
- 4-(2-Fluorophenyl)-1-(3-methoxyphenyl)thiosemicarbazide (S4)
- CAS 891102-96-8
- 4-(3-Fluorophenyl)-1-(3-methoxyphenyl)thiosemicarbazide (S5)
- CAS 891103-04-1
- 4-(4-Fluorophenyl)-1-(3-methoxyphenyl)thiosemicarbazide (S6)
- CAS 905231-63-2
- 1-(3-Methoxyphenyl)-4-(2-methoxyphenyl)thiosemicarbazide (S7)
- CAS 891370-81-3
- 1-(3-Methoxyphenyl)-4-(3-methoxyphenyl)thiosemicarbazide (S8)
- CAS 891369-83-8
- 1-(3-methoxyphenyl)-4-(4-methoxyphenyl)thiosemicarbazide (S9) [34]
- 4-(2-Trifluoromethylphenyl)1-(3-methoxyphenyl)thiosemicarbazide (S10)
- CAS 891611-85-1
- 4-(3-Trifluoromethylphenyl)-1-(3-methoxyphenyl)thiosemicarbazide (S11)
- CAS 903815-86-1
- 4-(4-Trifluoromethylphenyl)-1-(3-methoxyphenyl)thiosemicarbazide (S12)
- 1-(3-Methoxyphenyl)-4-(2-nitrophenyl)thiosemicarbazide (S13)
- 1-(3-Methoxyphenyl)-4-(3-nitrophenyl)thiosemicarbazide (S14)
- CAS 891561-77-6
- 1-(3-Methoxyphenyl)-4-(4-nitrophenyl)thiosemicarbazide (S15)
- CAS 891561-93-6
3.1.2. Synthesis of 1,3,4-thiadiazoles ST1–ST15
- 2-(2-Chlorophenylamino)-5-(3-methoxyphenyl)-1,3,4-thiadiazole (ST1)
- 2-(3-Chlorophenylamino)-5-(3-methoxyphenyl)-1,3,4-thiadiazole (ST2)
- 2-(4-Chlorophenylamino)-5-(3-methoxyphenyl)-1,3,4-thiadiazole (ST3)
- CAS 1202973-36-1
- 2-(2-Fluorophenylamino)-5-(3-methoxyphenyl)-1,3,4-thiadiazole (ST4)
- 2-(3-Fluorophenylamino)-5-(3-methoxyphenyl)-1,3,4-thiadiazole (ST5)
- 2-(4-Fluorophenylamino)-5-(3-methoxyphenyl)-1,3,4-thiadiazole (ST6)
- 5-(3-Methoxyphenyl)-2-(2-methoxyphenylamino)-1,3,4-thiadiazole (ST7)
- CAS 1203294-57-8
- 5-(3-Methoxyphenyl)-2-(3-methoxyphenylamino)-1,3,4-thiadiazole (ST8)
- CAS 1203389-12-1
- 5-(3-Methoxyphenyl)-2-(4-methoxyphenylamino)-1,3,4-thiadiazole (ST9)
- 2-(2-Trifluorometylophenylamino)-5-(3-methoxyphenyl)-1,3,4-thiadiazole (ST10)
- 2-(3-Trifluorometylophenylamino)-5-(3-methoxyphenyl)-1,3,4-thiadiazole (ST11)
- 2-(4-Trifluorometylophenylamino)-5-(3-methoxyphenyl)-1,3,4-thiadiazole (ST12)
- CAS 1203413-88-0
- 5-(3-Methoxyphenyl)-2-(2-nitrophenylamino)-1,3,4-thiadiazole (ST13)
- 5-(3-Methoxyphenyl)-2-(3-nitrophenylamino)-1,3,4-thiadiazole (ST14) [35]
- 5-(3-Methoxyphenyl)-2-(4-nitrophenylamino)-1,3,4-thiadiazole (ST15)
- CAS 1203176-20-8
3.2. Cell Culture
3.3. Cell Viability Assay
3.4. Proliferation [3H]-Thymidine
3.5. Docking
3.6. In Silico Drug-Likeness Prediction
4. Conclusions
Supplementary Materials
Author Contributions
Funding
Institutional Review Board Statement
Informed Consent Statement
Data Availability Statement
Conflicts of Interest
Sample Availability
References
- Balasubramanian, R.; Rolph, R.; Morgan, C.; Hamed, H. Genetics of breast cancer: Management strategies and risk-reducing surgery. Br. J. Hosp. Med. 2019, 80, 720–725. [Google Scholar] [CrossRef] [PubMed]
- Costa, B.; Amorim, I.; Gärtner, F.; Vale, N. Understanding breast cancer: From conventional therapies to repurposed drugs. Eur. J. Pharm. Sci. 2020, 151, 105401. [Google Scholar] [CrossRef] [PubMed]
- Licznerska, B.; Baer-Dubowska, W. Estrogenintracrinology: Therapy and chemoprevention of breast cancer. Postepy Hig. Med. Dosw. 2010, 64, 220–230. [Google Scholar]
- Liu, Z.; Delavan, B.; Roberts, R.; Tong, W. Lessons learned from two decades of anticancer drugs. Trends Pharmacol. Sci. 2017, 38, 852–872. [Google Scholar] [CrossRef] [Green Version]
- Friedman, R.; Boye, K.; Flatmark, K. Molecular modelling and simulations in cancer research. Biochim. Biophys. Acta 2013, 1836, 1–14. [Google Scholar] [CrossRef] [PubMed] [Green Version]
- Janowska, S.; Paneth, A.; Wujec, M. Cytotoxic Properties of 1, 3, 4-Thiadiazole Derivatives—A Review. Molecules 2020, 25, 4309. [Google Scholar] [CrossRef] [PubMed]
- Kalidhar, U.; Kau, A. 1, 3, 4-Thiadiazole derivatives and their biological activities: A Review. Res. J. Pharm. Biol. Chem. Sci. 2011, 2, 1091–1106. [Google Scholar]
- Morsy, S.M.; Badawi, A.M.; Cecchi, A.; Scozzafava, A.; Supuran, C.T. Carbonic anhydrase inhibitors. Biphenylsulfonamides with inhibitory action towards the transmembrane, tumor-associated isozymes IX possess cytotoxic activity against human colon, lung and breast cancer cell lines. J. Enzym. Inhib. Med. Chem. 2009, 24, 499–505. [Google Scholar] [CrossRef]
- El-Ashmaway, M.B.; El-Sherbeny, M.A.; El-Sayed, N.S. Synthesis, in vitro antitumor activity and DNA-binding affinity of novel thiadiazolopyrimidine and thiadiazoloquinazoline derivatives. Mans. J. Pharm. Sci. 2010, 26, 60–68. [Google Scholar]
- Yang, X.H.; Wen, Q.; Zhao, T.T.; Sun, J.; Li, X.; Xing, M.; Zhu, H.L. Synthesis, biological evaluation, and molecular docking studies of cinnamic acyl 1,3,4-thiadiazole amide derivatives as novel antitubulin agents. Bioorg. Med. Chem. 2012, 20, 1181–1187. [Google Scholar] [CrossRef]
- Hosseinzadeh, L.; Khorand, A.; Aliabadi, A. Discovery of 2-Phenyl-N-(5-(trifluoromethyl)-1,3,4-thiadiazol-2-yl) acetamide Derivatives as Apoptosis Inducers via the Caspase Pathway with Potential Anticancer Activity. Arch. Pharm. 2013, 346, 812–818. [Google Scholar] [CrossRef] [PubMed]
- Dawood, K.M.; Eldebss, T.M.; El-Zahabi, H.S.; Yousef, M.H.; Metz, P. Synthesis of some new pyrazole-based 1,3-thiazoles and 1,3,4-thiadiazoles as anticancer agents. Eur. J. Med. Chem. 2013, 70, 740–749. [Google Scholar] [CrossRef] [PubMed]
- Aliabadi, A.; Hasanvand, Z.; Kiani, A.; Mirabdali, S.S. Synthesis and In-vitro Cytotoxicity Assessment of N-(5-(Benzylthio)-1,3,4-thiadiazol-2-yl)-2-(4-(trifluoromethyl) phenyl) acetamide with Potential Anticancer Activity. Iran J. Pharm. Res. 2013, 12, 687. [Google Scholar] [PubMed]
- Gomha, S.M.; Salah, T.A.; Abdelhamid, A.O. Synthesis, characterization, and pharmacological evaluation of some novel thiadiazoles and thiazoles incorporating pyrazole moiety as anticancer agents. Monatsh. Chem. 2015, 146, 149–158. [Google Scholar] [CrossRef]
- Polkam, N.; Rayam, P.; Anireddy, J.S.; Yennam, S.; Anantaraju, H.S.; Dharmarajan, S.; Balasubramanian, S. Synthesis, in vitro anticancer and antimycobacterial evaluation of new 5-(2,5-dimethoxyphenyl)-1,3,4-thiadiazole-2-amino derivatives. Bioorg. Med. Chem. Lett. 2015, 25, 1398–1402. [Google Scholar] [CrossRef]
- Yadagiri, B.; Gurrala, S.; Bantu, R.; Nagarapu, L.; Polepalli, S.; Srujana, G.; Jain, N. Synthesis and evaluation ofbenzosuberone embedded with 1,3,4-oxadiazole, 1,3,4-thiadiazole and 1,2,4-triazole moieties as new potential anti proliferative agents. Bioorg. Med. Chem. Lett. 2015, 25, 2220–2224. [Google Scholar] [CrossRef]
- Li, S.; Jing, F.; Fu, X.; Zhao, J.; Wang, X.; Li, B.; Chen, B. Synthesis and antitumor activities of disulfide derivatives containing 1, 3, 4-thiadiazole moiety. Chin. J. Org. Chem. 2015, 35, 2624–2628. [Google Scholar] [CrossRef]
- Gomha, S.M.; Kheder, N.A.; Abdelhamid, A.O.; Mabkhot, Y.N. One pot single step synthesis and biological evaluation of some novel bis (1,3,4-thiadiazole) derivatives as potential cytotoxic agents. Molecules 2016, 21, 1532. [Google Scholar] [CrossRef] [Green Version]
- Abdelhamid, A.O.; Gomha, S.M.; Abdelriheem, N.A.; Kandeel, S.M. Synthesis of new 3-heteroarylindoles as potential anticancer agents. Molecules 2016, 21, 929. [Google Scholar] [CrossRef]
- Vudhgiri, S.; Koude, D.; Veeragoni, D.K.; Misra, S.; Prasad, R.B.N.; Jala, R.C.R. Synthesis and biological evaluation of 5-fatty-acylamido-1,3,4-thiadiazole-2-thioglycosides. Bioorg. Med. Chem. Lett. 2017, 27, 3370–3373. [Google Scholar] [CrossRef]
- Rezaei, Z.; Moghimi, S.; Javaheri, R.; Asadi, M.; Mahdavi, M.; Shabani, S.; Foroumadi, A. Synthesis and biological evaluation of 1,3,4-thiadiazole linked phthalimide derivatives as anticancer agents. Lett. Drugs Des. Discov. 2017, 14, 1138–1144. [Google Scholar] [CrossRef]
- Abdelhamid, A.O.; Gomha, S.M.; Abdelrehem, N.A.; Shalaby, A.M.; Kandeel, S.M. Synthesis and biological evaluation of some novel thiadiazole-benzofuran hybrids as potential antitumor agents. Synth. Comm. 2018, 48, 677–684. [Google Scholar] [CrossRef]
- Azaam, M.M.; Kenawy, E.R.; El-din, A.S.B.; Khamis, A.A.; El-Magd, M.A. Antioxidant and anticancer activities of α-aminophosphonates containing thiadiazole moiety. J. Saudi Chem. Soc. 2018, 22, 34–41. [Google Scholar] [CrossRef]
- Upadhyay, P.K.; Mishra, P. Synthesis, antimicrobial and anticancer activities of 5-(4-substituted phenyl)-1,3,4-thiadiazole-2-amines. Rasayan J. Chem. 2017, 10, 254–262. [Google Scholar]
- Nassar, I.F.; Att-Allah, S.R.; Hemdan, M.M. Utility of thiophene-2-carbonyl isothiocyanate as a precursor for the synthesis of 1,2,4-triazole, 1,3,4-oxadiazole and 1, 3, 4-thiadiazole derivatives with evaluation of their antitumor and antimicrobial activities. Phosphorus Sulfur Silicon Relat. Elem. 2018, 193, 630–636. [Google Scholar] [CrossRef]
- Rashdan, H.R.; Farag, M.M.; El-Gendey, M.S.; Mounier, M.M. Toward rational design of novel anti-cancer drugs based on targeting, solubility, and bioavailability exemplified by 1, 3, 4-thiadiazole derivatives synthesized under solvent-free conditions. Molecules 2019, 24, 2371. [Google Scholar] [CrossRef] [Green Version]
- Sekhar, D.C.; Rao, D.V.; Rao, A.T.; Kumar, U.L.; Jha, A. Design and synthesis of 1,3,4-thiadiazole derivatives as novel anticancer and antitubercular agents. Russ. J. Gen. Chem. 2019, 89, 770–779. [Google Scholar] [CrossRef]
- Mahapatra, D.K.; Dadure, K.M.; Haldar, A.G. Exploring the anti-breast cancer (against MCF-7 Cell Line) potentials of uracil substituted hippuric acid based 1, 3, 4-thiadiazole compound. Int. J. Pharm. Life Sci. 2019, 10, 6013–6015. [Google Scholar]
- Devi, E.R.; Sreenivasulu, R.; Rao, K.P.; Nadh, R.V.; Sireesha, M. Novel 1,3,4-Thiadiazole Linked Amide Derivatives of Pteridone: Synthesis and Study of Anticancer Activities. Lett. Org. Chem. 2020, 17, 54–60. [Google Scholar] [CrossRef]
- Almajan, G.L.; Innocenti, A.; Puccetti, L.; Manole, G.; Barbuceanu, S.; Saramet, I.; Supuran, C.T. Carbonic anhydrase inhibitors. Inhibition of the cytosolic and tumor-associated carbonic anhydrase isozymes I, II, and IX with a series of 1,3,4-thiadiazole-and 1,2,4-triazole-thiols. Bioorg. Med. Chem. Lett. 2005, 15, 2347–2352. [Google Scholar] [CrossRef]
- Esteves-Souza, A.; Rodrigues-Santos, C.E.; Del Cistia, C.D.N.; Silva, D.R.D.; Sant’Anna, C.M.R.; Echevarria, A. Solvent-free synthesis, DNA-topoisomerase II activity and molecular docking study of new asymmetrically N, N’-substituted ureas. Molecules 2012, 17, 12882–12894. [Google Scholar] [CrossRef]
- Radi, M.; Crespan, E.; Botta, G.; Falchi, F.; Maga, G.; Manetti, F.; Botta, M. Discovery and SAR of 1,3,4-thiadiazole derivatives as potent Abl tyrosine kinase inhibitors and cytodifferentiating agents. Bioorg. Med. Chem. Lett. 2008, 18, 1207–1211. [Google Scholar] [CrossRef] [PubMed]
- Lipinski, C.A. Lead-and drug-like compounds: The rule-of-five revolution. Drug Discov. Today Technol. 2004, 1, 337–341. [Google Scholar]
- Popiołek, Ł.; Biernasiuk, A.; Paruch, K.; Malm, A.; Wujec, M. Synthesis and in vitro antimicrobial activity screening of new pipemidic acid derivatives. Arch. Pharm. Res. 2018, 41, 633–645. [Google Scholar] [CrossRef] [PubMed] [Green Version]
- Wang, J.; Rideout, D.; Ramnarayan, K.; Tsai, C.-Y.; Yalamoori, V.V.; Wu, F.; Loweth, C.; Elabdellaoui, H.; Fung, L.; Brady, T.P. Preparation of Thiadiazoles and Other Organosulfur Inhibitors of Tyrosine Phosphatases. Patent, PCT International Application WO 2003032916 A2 20030424, 2003. [Google Scholar]
- Gornowicz, A.; Szymanowska, A.; Mojzych, M.; Bielawski, K.; Bielawska, A. The Effect of Novel 7-methyl-5-phenyl-pyrazolo[4,3-e]tetrazolo[4,5-b][1,2,4]triazine Sulfonamide Derivatives on Apoptosis and Autophagy in DLD-1 and HT-29 Colon Cancer Cells. Int. J. Mol. Sci. 2020, 21, 5221. [Google Scholar] [CrossRef]
- Hermanowicz, J.M.; Szymanowska, A.; Sieklucka, B.; Czarnomysy, R.; Pawlak, K.; Bielawska, A.; Pawlak, D. Exploration of novel heterofused 1,2,4-triazine derivative in colorectal cancer. J. Enzym. Inhib. Med. Chem. 2021, 36, 535–548. [Google Scholar] [CrossRef]
- Liu, Z.; Ding, Y.; Ye, N.; Wild, C.; Chen, H.; Zhou, J. Direct activation of Bax protein for cancer therapy. Med. Res. Rev. 2016, 36, 313–341. [Google Scholar] [CrossRef]
- Daina, A.; Michielin, O.; Zoete, V. SwissADME: A free web tool to evaluate pharmacokinetics, drug-likeness and medicinal chemistry friendliness of small molecules. Sci. Rep. 2017, 7, 1–13. [Google Scholar] [CrossRef] [Green Version]











| Topoisomerase IIb (PDB: 3qx3) | Caspase 3 (PDB: 1GFW) | Caspase 8 (PDB: 3KJN) | ||||
|---|---|---|---|---|---|---|
| Compound | Estimated Free Energy of Binding, Kcal/mol | Estimated Inhibition Constant, Ki μM | Estimated Free Energy of Binding, Kcal/mol | Estimated Inhibition Constant, Ki μM | Estimated Free Energy of Binding, Kcal/mol | Estimated Inhibition Constant, Ki μM |
| ST1 | −8.56 | 0.532 | −7.16 | 5.60 | −7.76 | 2.05 |
| ST2 | −8.82 | 0.344 | −7.19 | 5.35 | −7.83 | 1.83 |
| ST3 | −8.25 | 0.902 | −6.71 | 12.00 | −7.52 | 3.07 |
| ST4 | −8.36 | 0.742 | −6.95 | 8.07 | −7.52 | 3.08 |
| ST5 | −8.11 | 1.13 | −6.71 | 12.00 | −7.14 | 5.83 |
| ST6 | −7.94 | 1.52 | −6.68 | 12.78 | −7.22 | 5.09 |
| ST7 | −8.34 | 0.767 | −6.80 | 10.35 | −7.60 | 2.70 |
| ST8 | −8.36 | 0.749 | −7.01 | 7.31 | −7.62 | 2.58 |
| ST9 | −8.05 | 1.25 | −6.31 | 23.83 | −7.38 | 3.92 |
| ST10 | −8.00 | 1.37 | −6.85 | 9.56 | −7.34 | 4.16 |
| ST11 | −7.99 | 1.40 | −7.21 | 5.17 | −7.41 | 3.68 |
| ST12 | −7.58 | 2.78 | −6.27 | 25.34 | −7.29 | 4.51 |
| ST13 | −7.23 | 5.04 | −6.02 | 38.69 | −6.70 | 12.30 |
| ST14 | −7.24 | 4.90 | −5.85 | 51.55 | −6.82 | 10.03 |
| ST15 | −8.61 | 0.484 | −7.65 | 2.49 | −8.28 | 0.852 |
| Etoposide | −11.84 | 0.002 | ||||
| MSI | −8.21 | 0.967 | ||||
| B93 | −8.17 | 1.03 | ||||
| Bcl-xl (PDB: 2YXJ) | Bcl2 (PDB: 2W3L) | BAX (PDB: 1F16) | ||||
|---|---|---|---|---|---|---|
| Compound | Estimated Free Energy of Binding, Kcal/mol | Estimated Inhibition Constant, Ki μM | Estimated Free Energy of Binding, Kcal/mol | Estimated Inhibition Constant, Ki μM | Estimated Free Energy of Binding, Kcal/mol | Estimated Inhibition Constant, Ki μM |
| ST1 | −6.73 | 11.62 | −6.20 | 28.77 | −6.20 | 28.51 |
| ST2 | −6.71 | 12.14 | −6.01 | 39.52 | −5.91 | 46.80 |
| ST3 | −6.66 | 13.06 | −5.88 | 49.04 | −7.68 | 2.36 |
| ST4 | −6.32 | 23.44 | −5.79 | 57.04 | −7.18 | 5.41 |
| ST5 | −5.94 | 44.43 | −5.66 | 71.13 | −7.18 | 5.43 |
| ST6 | −6.08 | 34.90 | −5.54 | 86.20 | −7.13 | 5.91 |
| ST7 | −6.44 | 19.03 | −5.95 | 43.85 | −6.11 | 32.96 |
| ST8 | −7.09 | 6.37 | −5.51 | 91.92 | −7.68 | 2.34 |
| ST9 | −5.95 | 43.53 | −5.34 | 121.27 | −7.16 | 5.63 |
| ST10 | −6.04 | 37.33 | −5.91 | 46.80 | −7.43 | 3.56 |
| ST11 | −6.17 | 29.96 | −5.90 | 46.99 | −7.09 | 6.33 |
| ST12 | −5.73 | 63.25 | −5.43 | 105.37 | −6.78 | 10.73 |
| ST13 | −5.39 | 112.63 | −5.78 | 57.96 | −5.56 | 83.93 |
| ST14 | −6.05 | 36.67 | −5.58 | 81.50 | −5.29 | 132.02 |
| ST15 | −7.03 | 6.99 | −6.39 | 20.77 | −6.30 | 23.95 |
| N3C | −13.62 | 103.7 × 10−6 | − | − | − | − |
| DRO | − | − | −9.71 | 0.07598 | ||
| Zinc 14750348 | − | − | − | − | −8.13 | 1.09 |
| Compounds | MW a g/mol | MLogP b | RB c | HBA d | HBD e | TPSA f Å2 | LogS (ESOL) g | Violations h |
|---|---|---|---|---|---|---|---|---|
| ST1 | 317.79 | 3.16 | 4 | 3 | 1 | 75.28 | −4.98 | 0 |
| ST2 | 317.79 | 3.16 | 4 | 3 | 1 | 75.28 | −4.98 | 0 |
| ST3 | 317.79 | 3.16 | 4 | 3 | 1 | 75.28 | −4.98 | 0 |
| ST4 | 301.34 | 3.03 | 4 | 4 | 1 | 75.28 | −4.54 | 0 |
| ST5 | 301.34 | 3.03 | 4 | 4 | 1 | 75.28 | −4.54 | 0 |
| ST6 | 301.34 | 3.03 | 4 | 4 | 1 | 75.28 | −4.54 | 0 |
| ST7 | 313.37 | 2.33 | 5 | 4 | 1 | 84.51 | −4.45 | 0 |
| ST8 | 313.37 | 2.33 | 5 | 4 | 1 | 84.51 | −4.45 | 0 |
| ST9 | 313.37 | 2.33 | 5 | 4 | 1 | 84.51 | −4.45 | 0 |
| ST10 | 351.35 | 3.25 | 5 | 6 | 1 | 75.28 | −5.21 | 0 |
| ST11 | 351.35 | 3.25 | 5 | 6 | 1 | 75.28 | −5.21 | 0 |
| ST12 | 351.35 | 3.25 | 5 | 6 | 1 | 75.28 | −5.21 | 0 |
| ST13 | 328.35 | 1.6 | 5 | 5 | 1 | 121.10 | −4.77 | 0 |
| ST14 | 328.35 | 1.6 | 5 | 5 | 1 | 121.10 | −4.77 | 0 |
| ST15 | 328.35 | 1.6 | 5 | 5 | 1 | 121.10 | −4.77 | 0 |
| Compounds | Hum In Ab a | Caco-2 P b | CYP Inh Prom c | Carcin d | AOT e | RAT f |
|---|---|---|---|---|---|---|
| ST1 | + | 1.8519 | High | Non | III | 2.3535 |
| ST2 | + | 1.6696 | High | Non | III | 2.3879 |
| ST3 | + | 1.6696 | High | Non | III | 2.3879 |
| ST4 | + | 1.7663 | High | Non | III | 2.4976 |
| ST5 | + | 1.5970 | High | Non | III | 2.5158 |
| ST6 | + | 1.5970 | High | Non | III | 2.5158 |
| ST7 | + | 1.7935 | High | Non | III | 2.2412 |
| ST8 | + | 1.6903 | High | Danger | III | 2.1570 |
| ST9 | + | 1.6732 | High | Danger | III | 2.2011 |
| ST10 | + | 1.6239 | High | Non | III | 2.6075 |
| ST11 | + | 1.4616 | High | Non | III | 2.6445 |
| ST12 | + | 1.4616 | High | Non | III | 2.6445 |
| ST13 | + | 1.4822 | High | Danger | III | 2.1243 |
| ST14 | + | 1.3275 | High | Danger | III | 2.3265 |
| ST15 | + | 1.3275 | High | Danger | III | 2.3265 |
Publisher’s Note: MDPI stays neutral with regard to jurisdictional claims in published maps and institutional affiliations. |
© 2022 by the authors. Licensee MDPI, Basel, Switzerland. This article is an open access article distributed under the terms and conditions of the Creative Commons Attribution (CC BY) license (https://creativecommons.org/licenses/by/4.0/).
Share and Cite
Janowska, S.; Khylyuk, D.; Bielawska, A.; Szymanowska, A.; Gornowicz, A.; Bielawski, K.; Noworól, J.; Mandziuk, S.; Wujec, M. New 1,3,4-Thiadiazole Derivatives with Anticancer Activity. Molecules 2022, 27, 1814. https://doi.org/10.3390/molecules27061814
Janowska S, Khylyuk D, Bielawska A, Szymanowska A, Gornowicz A, Bielawski K, Noworól J, Mandziuk S, Wujec M. New 1,3,4-Thiadiazole Derivatives with Anticancer Activity. Molecules. 2022; 27(6):1814. https://doi.org/10.3390/molecules27061814
Chicago/Turabian StyleJanowska, Sara, Dmytro Khylyuk, Anna Bielawska, Anna Szymanowska, Agnieszka Gornowicz, Krzysztof Bielawski, Jarosław Noworól, Sławomir Mandziuk, and Monika Wujec. 2022. "New 1,3,4-Thiadiazole Derivatives with Anticancer Activity" Molecules 27, no. 6: 1814. https://doi.org/10.3390/molecules27061814
APA StyleJanowska, S., Khylyuk, D., Bielawska, A., Szymanowska, A., Gornowicz, A., Bielawski, K., Noworól, J., Mandziuk, S., & Wujec, M. (2022). New 1,3,4-Thiadiazole Derivatives with Anticancer Activity. Molecules, 27(6), 1814. https://doi.org/10.3390/molecules27061814

