Polyphenol-Enriched Extracts of Prunus spinosa Fruits: Anti-Inflammatory and Antioxidant Effects in Human Immune Cells Ex Vivo in Relation to Phytochemical Profile
Abstract
:1. Introduction
2. Results
2.1. LC-PDA-ESI-MS3 Metabolite Profiling
2.1.1. Phenolic Acids and Aldehydes
2.1.2. Flavonoids
2.1.3. Anthocyanins
2.2. Quantitative Profile of the Extracts/Fractions
2.3. Influence on Cells Viability
2.4. Antioxidant Effect: Influence on ROS Production by Neutrophils
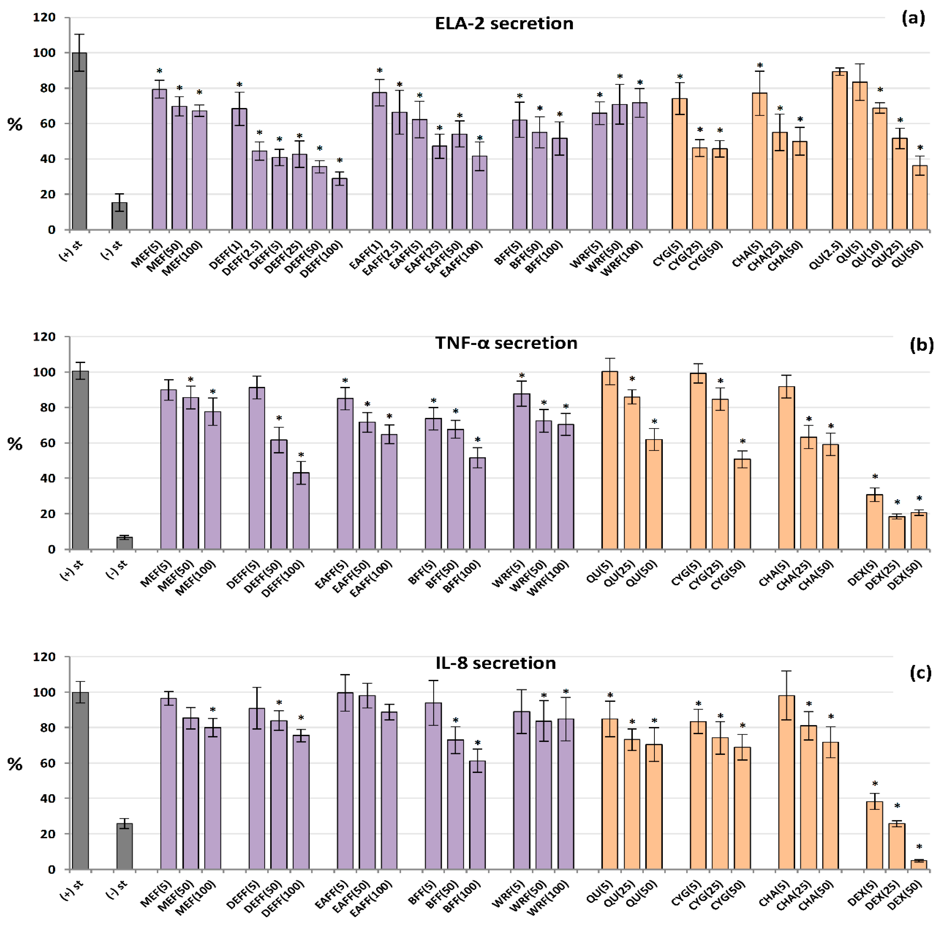
2.5. Inhibition of ELA-2 Release by Neutrophils
2.6. Inhibition of IL-8 and TNF-α Production by Human Neutrophils
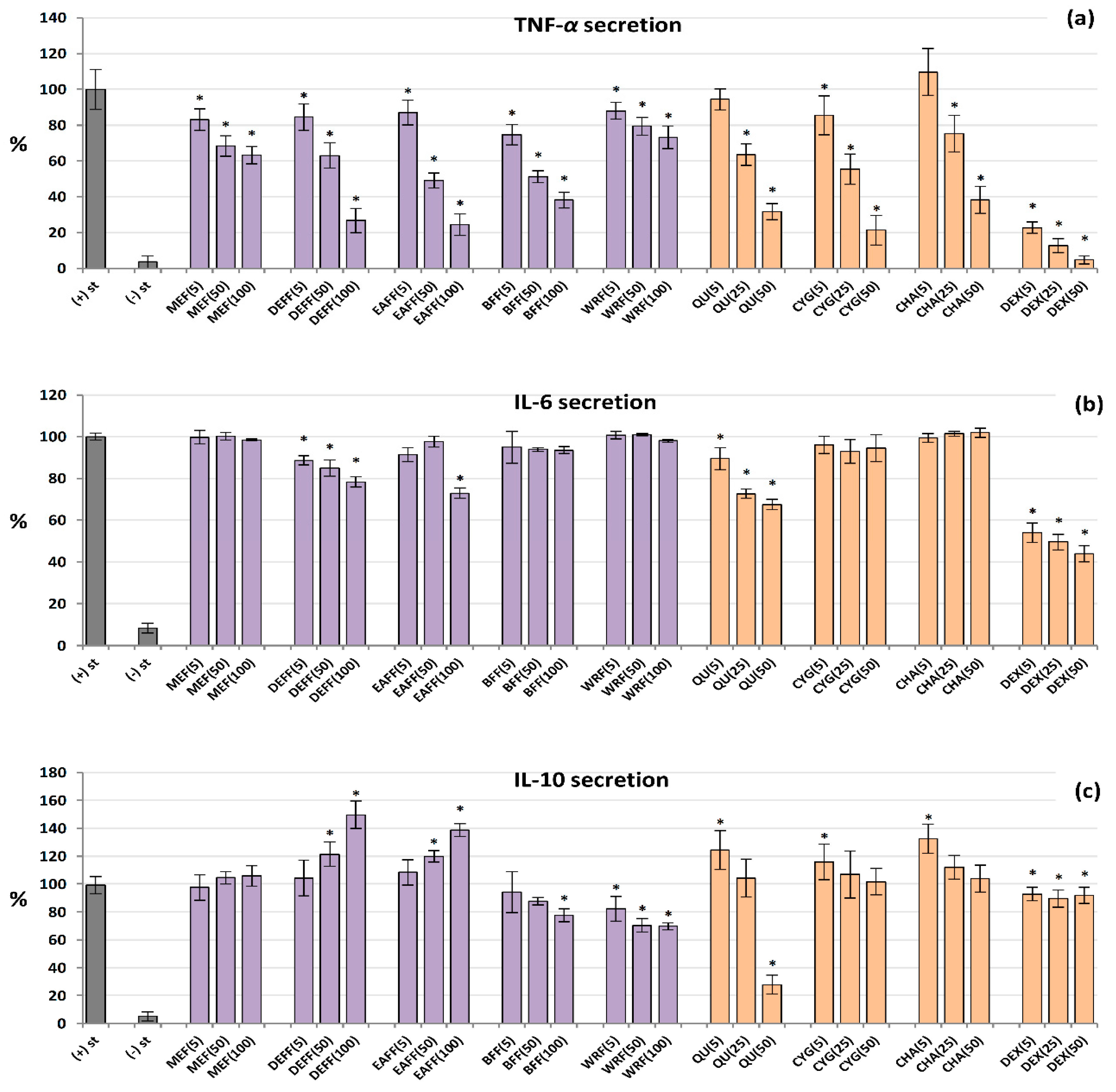
2.7. Influence on TNF-α, IL-6 and IL-10 Production by Human PBMCs
3. Discussion
4. Materials and Methods
4.1. Plant Material
4.2. Extracts Preparation
4.3. Phytochemical Profiling
4.3.1. Qualitative LC-MS/MS Profiling
4.3.2. Quantitative Profiling
4.4. Antioxidant and Anti-Inflammatory Activity in Cellular Models
4.4.1. Isolation of Human Neutrophils and PBMCs
4.4.2. Neutrophils and PBMCs Viability
4.4.3. ROS Generation by Human Neutrophils
4.4.4. ELA-2 Release by Human Neutrophils
4.4.5. Secretion of IL-8, IL-6, TNF-α and IL-10 by Immune Cells
4.5. Statistics and Data Analysis
5. Conclusions
Supplementary Materials
Author Contributions
Funding
Institutional Review Board Statement
Informed Consent Statement
Data Availability Statement
Acknowledgments
Conflicts of Interest
Sample Availability
Abbreviations
| BFF | n-butanol fraction of MEF |
| CHA | chlorogenic acid (5-O-caffeoylquinic acid) |
| CYG | cyanidin 3-O-β-d-glucopyranoside |
| DEFF | diethyl ether fraction of MEF |
| DEX | dexamethasone |
| dw | dry weight |
| EAFF | ethyl acetate fraction of MEF |
| ELA-2 | elastase 2 (neutrophils elastase) |
| fMLP | N-formyl-l-methionyl-l-leucyl-l-phenylalanine |
| FRAP | ferric reducing antioxidant power |
| fw | fresh weight |
| GAE | gallic acid equivalents |
| IBD | inflammatory bowel disease |
| IL | interleukin |
| LOD | limits of detection |
| LOQ | limits of quantitation |
| LPS | bacterial lipopolysaccharide |
| MEF | methanol-water (75:25, v/v) extract of fresh fruits |
| PB2 | procyanidin B2 |
| PBMCs | peripheral blood mononuclear cells |
| QU | quercetin |
| ROS | reactive oxygen species |
| TAC | total content of anthocyanins |
| TFL | total content of flavonoids |
| TNF-α | tumour necrosis factor α |
| TPA | total content of phenolic acids |
| TPC | total phenolic content (Folin–Ciocalteu assay) |
| TPH | total phenolic content (sum of individual phenolics by HPLC) |
| TTC | total content of tannin-type proanthocyanidins |
| WRF | water residue of MEF after fractionated extraction |
References
- Minihane, A.M.; Vinoy, S.; Russell, W.R.; Baka, A.; Roche, H.M.; Tuohy, K.M.; Teeling, J.L.; Blaak, E.E.; Fenech, M.; Vauzour, D.; et al. Low-grade inflammation, diet composition and health: Current research evidence and its translation. Br. J. Nutr. 2015, 114, 999–1012. [Google Scholar] [CrossRef] [Green Version]
- Yahfoufi, N.; Alsadi, N.; Jambi, M.; Matar, C. The immunomodulatory and anti-inflammatory role of polyphenols. Nutrients 2018, 10, 1618. [Google Scholar] [CrossRef] [PubMed] [Green Version]
- Prame Kumar, K.; Nicholls, A.J.; Wong, C.H.Y. Partners in crime: Neutrophils and monocytes/macrophages in inflammation and disease. Cell Tissue Res. 2018, 371, 551–565. [Google Scholar] [CrossRef] [PubMed] [Green Version]
- Chen, L.; Deng, H.; Cui, H.; Fang, J.; Zuo, Z.; Deng, J.; Li, Y.; Wang, X.; Zhao, L. Inflammatory responses and inflammation-associated diseases in organs. Oncotarget 2018, 9, 7204–7218. [Google Scholar] [CrossRef] [Green Version]
- Bourgonje, A.R.; Feelisch, M.; Faber, K.N.; Pasch, A.; Dijkstra, G.; van Goor, H. Oxidative stress and redox-modulating therapeutics in inflammatory bowel disease. Trends Mol. Med. 2020, 26, 1034–1046. [Google Scholar] [CrossRef] [PubMed]
- Popescu, I.; Caudullo, G. Prunus spinosa in Europe: Distribution, habitat, usage and threats. In European Atlas of Forest Tree Species; San-Miguel-Ayanz, J., de Rigo, D., Caudullo, G., Houston Durrant, T., Mauri, A., Eds.; Publications Office of the European Union: Luxembourg, 2016; p. e01aa69+. Available online: https://w3id.org/mtv/FISE-Comm/v01/e01aa69 (accessed on 10 December 2021).
- Facciola, S. Cornucopia II: A Source Book of Edible Plants, 2nd ed.; Kampong Publications: Vista, CA, USA, 1998; p. 204. [Google Scholar]
- Kültür, S. Medicinal plants used in Kirklareli Province (Turkey). J. Ethnopharmacol. 2007, 111, 341–364. [Google Scholar] [CrossRef] [PubMed]
- Alarcόn, R.; Pardo-de-Santayana, M.; Priestley, C.; Morales, R.; Heinrich, M. Medicinal and local food plants in the south of Alava (Basque Country, Spain). J. Ethnopharmacol. 2015, 176, 207–224. [Google Scholar] [CrossRef] [Green Version]
- Jarić, S.; Mačukanović-Jocić, M.; Djurdjević, L.; Mitrović, M.; Kostić, O.; Karadžić, B.; Pavlović, P. An ethnobotanical survey of traditionally used plants on Suva planina mountain (south-eastern Serbia). J. Ethnopharmacol. 2015, 175, 93–108. [Google Scholar] [CrossRef]
- Barros, L.; Carvalho, A.M.; Sá Morais, J.; Ferreira, I.C.F.R. Strawberry-tree, blackthorn and rose fruits: Detailed characterisation in nutrients and phytochemicals with antioxidant properties. Food Chem. 2010, 120, 247–254. [Google Scholar] [CrossRef]
- Guimarães, R.; Barros, L.; Dueñas, M.; Carvalho, A.M.; Queiroz, M.J.; Santos-Buelga, C.; Ferreira, I.C. Characterisation of phenolic compounds in wild fruits from Northeastern Portugal. Food Chem. 2013, 141, 3721–3730. [Google Scholar] [CrossRef] [Green Version]
- Jaiswal, R.; Karaköse, H.; Rühmann, S.; Goldner, K.; Neumüller, M.; Treutter, D.; Kuhnert, N. Identification of phenolic compounds in plum fruits (Prunus salicina L. and Prunus domestica L.) by high-performance liquid chromatography/tandem mass spectrometry and characterization of varieties by quantitative phenolic fingerprints. J. Agric. Food Chem. 2013, 61, 12020–12031. [Google Scholar] [CrossRef] [PubMed]
- Morales, P.; Ferreira, I.C.F.R.; Carvalho, A.M.; Fernández-Ruiz, V.; Cortes Sánchez-Mata, M.; Cámara, M.; Morales, R.; Tardío, J. Wild edible fruits as a potential source of phytochemicals with capacity to inhibit lipid peroxidation. Eur. J. Lipid Sci. Technol. 2013, 115, 176–185. [Google Scholar] [CrossRef]
- Veličković, J.M.; Kostić, D.A.; Stojanović, G.S.; Mitić, S.S.; Mitić, M.N.; Randelović, S.S.; Dordević, A.S. Phenolic composition, antioxidant and antimicrobial activity of the extracts from Prunus spinosa L. fruit. Hem. Ind. 2014, 68, 297–303. [Google Scholar] [CrossRef] [Green Version]
- Mikulic-Petkovsek, M.; Stampar, F.; Veberic, R.; Sircelj, H. Wild Prunus fruit species as a rich source of bioactive compounds. J. Food Sci. 2016, 81, C1928–C1937. [Google Scholar] [CrossRef] [PubMed]
- Popović, B.M.; Blagojević, B.; Ždero Pavlović, R.; Mićić, N.; Bijelić, S.; Bogdanović, B.; Mišan, A.; Duarte, C.M.M.; Serra, A.T. Comparison between polyphenol profile and bioactive response in blackthorn (Prunus spinosa L.) genotypes from north Serbia-from raw data to PCA analysis. Food Chem. 2020, 302, 125373. [Google Scholar] [CrossRef] [PubMed]
- Marchelak, A.; Owczarek, A.; Matczak, M.; Pawlak, A.; Kolodziejczyk-Czepas, J.; Nowak, P.; Olszewska, M.A. Bioactivity potential of Prunus spinosa L. flower extracts: Phytochemical profiling, cellular safety, pro-inflammatory enzymes inhibition and protective effects against oxidative stress in vitro. Front. Pharmacol. 2017, 8, 680. [Google Scholar] [CrossRef] [Green Version]
- Pinacho, R.; Cavero, R.Y.; Astiasarán, I.; Ansorena, D.; Calvo, M.I. Phenolic compounds of blackthorn (Prunus spinosa L.) and influence of in vitro digestion on their antioxidant capacity. J. Funct. Foods 2015, 19, 49–62. [Google Scholar] [CrossRef]
- Owczarek, A.; Magiera, A.; Matczak, M.; Piotrowska, D.G.; Olszewska, M.A.; Marchelak, A. Optimisation of preparative HPLC separation of four isomeric kaempferol diglycosides from Prunus spinosa L. by application of the response surface methodology. Phytochem. Lett. 2017, 20, 415–424. [Google Scholar] [CrossRef]
- Fraternale, D.; Giamperi, L.; Bucchini, A.; Sestili, P.; Paolillo, M.; Riccia, D. Prunus spinosa fresh fruit juice: Antioxidant activity in cell-free and cellular systems. Nat. Prod. Commun. 2009, 4, 1665–1670. [Google Scholar] [CrossRef] [Green Version]
- Ruiz-Rodríguez, B.M.; De Ancos, B.; Sánchez-Moreno, C.; Fernández-Ruiz, V.; De Cortes Sánchez-Mata, M.; Cámara, M.; Tardío, J. Wild blackthorn (Prunus spinosa L.) and hawthorn (Crataegus monogyna Jacq.) fruits as valuable sources of antioxidants. Fruits 2014, 69, 61–73. [Google Scholar] [CrossRef]
- Condello, M.; Pellegrinia, E.; Spugnini, E.P.; Baldi, A.; Amadio, B.; Vincenzi, B.; Occhionero, G.; Delfine, S.; Mastrodonato, F.; Meschini, S. Anticancer activity of “Trigno M”, extract of Prunus spinosa drupes, against in vitro 3D and in vivo colon cancer models. Biomed. Pharmacother. 2019, 118, 109281. [Google Scholar] [CrossRef]
- Sabatini, L.; Fraternale, D.; Di Giacomo, B.; Mari, M.; Albertini, M.C.; Gordillo, B.; Rocchi, M.B.L.; Sisti, D.; Coppari, S.; Semprucci, F.; et al. Chemical composition, antioxidant, antimicrobial and anti-inflammatory activity of Prunus spinosa L. fruit ethanol extract. J. Funct. Foods 2020, 67, 103885. [Google Scholar] [CrossRef]
- Tiboni, M.; Coppari, S.; Casettari, L.; Guescini, M.; Colomba, M.; Fraternale, D.; Gorassini, A.; Verardo, G.; Ramakrishna, S.; Guidi, L.; et al. Prunus spinosa extract loaded in biomimetic nanoparticles evokes in vitro anti-inflammatory and wound healing activities. Nanomaterials 2020, 11, 36. [Google Scholar] [CrossRef] [PubMed]
- Michel, P.; Granica, S.; Rosińska, K.; Rojek, J.; Poraj, Ł.; Olszewska, M.A. Biological and chemical insight into Gaultheria procumbens fruits: A rich source of anti-inflammatory and antioxidant salicylate glycosides and procyanidins for food and functional application. Food Funct. 2020, 11, 7532–7544. [Google Scholar] [CrossRef] [PubMed]
- Jaiswal, R.; Sovdat, T.; Vivan, F.; Kuhnert, N. Profiling and characterization by LC-MSn of the chlorogenic acids and hydroxycinnamoylshikimate esters in maté (Ilex paraguariensis). J. Agric. Food Chem. 2010, 58, 5471–5481. [Google Scholar] [CrossRef]
- Jaiswal, R.; Müller, H.; Müller, A.; Karar, M.G.; Kuhnert, N. Identification and characterization of chlorogenic acids, chlorogenic acid glycosides and flavonoids from Lonicera henryi L. (Caprifoliaceae) leaves by LC-MSn. Phytochemistry 2014, 108, 252–263. [Google Scholar] [CrossRef]
- Clifford, M.N.; Johnston, K.L.; Knight, S.; Kuhnert, N. Hierarchical scheme for LC-MSn identification of chlorogenic acids. J. Agric. Food Chem. 2003, 51, 2900–2911. [Google Scholar] [CrossRef]
- Ben Said, R.; Hamed, A.I.; Mahalel, U.A.; Al-Ayed, A.S.; Kowalczyk, M.; Moldoch, J.; Oleszek, W.; Stochmal, A. Tentative Characterization of Polyphenolic Compounds in the Male Flowers of Phoenix dactylifera by Liquid Chromatography Coupled with Mass Spectrometry and DFT. Int. J. Mol. Sci. 2017, 18, 512. [Google Scholar] [CrossRef]
- Morreel, K.; Saeys, Y.; Dima, O.; Lu, F.; Van de Peer, Y.; Vanholme, R.; Ralph, J.; Vanholme, B.; Boerjan, W. Systematic structural characterization of metabolites in Arabidopsis via candidate substrate-product pair networks. Plant Cell 2014, 26, 929–945. [Google Scholar] [CrossRef] [Green Version]
- Catarino, M.D.; Silva, A.M.S.; Saraiva, S.C.; Sobral, A.B.J.F.N.; Cardoso, S.M. Characterization of phenolic constituents and evaluation of antioxidant properties of leaves and stems of Eriocephalus africanus. Arab. J. Chem. 2018, 11, 62–69. [Google Scholar] [CrossRef] [Green Version]
- Colombo, F.; Di Lorenzo, C.; Regazzoni, L.; Fumagalli, M.; Sangiovanni, E.; de Sousa, L.P.; Bavaresco, L.; Tomasi, D.; Bosso, A.; Aldini, G.; et al. Phenolic profiles and anti-inflammatory activities of sixteen table grape (Vitis vinifera L.) varieties. Food Funct. 2019, 10, 1797–1807. [Google Scholar] [CrossRef] [PubMed]
- Adefegha, S.A. Functional foods and nutraceuticals as dietary intervention in chronic diseases; Novel perspectives for health promotion and disease prevention. J. Dietary Suppl. 2018, 15, 977–1009. [Google Scholar] [CrossRef] [PubMed]
- Mikulic-Petkovsek, M.; Schmitzer, V.; Slatnar, A.; Stampar, F.; Veberic, R. Composition of sugars, organic acids, and total phenolics in 25 wild or cultivated berry species. J. Food Sci. 2012, 77, C1064–C1070. [Google Scholar] [CrossRef] [PubMed]
- Pervin, M.; Hasnat, M.A.; Lim, J.H.; Lee, Y.M.; Kim, E.O.; Um, B.H.; Lim, B.O. Preventive and therapeutic effects of blueberry (Vaccinium corymbosum) extract against DSS-induced ulcerative colitis by regulation of antioxidant and inflammatory mediators. J. Nutr. Biochem. 2016, 28, 103–113. [Google Scholar] [CrossRef] [PubMed]
- Raafat, K.; El-Darra, N.; Saleh, F.A. Gastroprotective and anti-inflammatory effects of Prunus cerasus phytochemicals and their possible mechanisms of action. J. Tradit. Complement. Med. 2020, 10, 345–353. [Google Scholar] [CrossRef] [PubMed]
- Wu, X.; Song, M.; Cai, X.; Neto, C.; Tata, A.; Han, Y.; Wang, Q.; Tang, Z.; Xiao, H. Chemopreventive Effects of whole cranberry (Vaccinium macrocarpon) on colitis-associated colon tumorigenesis. Food Funct. 2018, 62, 1800942. [Google Scholar] [CrossRef] [PubMed]
- Ozdal, T.; Sela, D.A.; Xiao, J.; Boyacioglu, D.; Chen, F.; Capanoglu, E. The reciprocal interactions between polyphenols and gut microbiota and effects on bioaccessibility. Nutrients 2016, 8, 78. [Google Scholar] [CrossRef] [PubMed]
- Zhang, C.; Shu, W.; Zhou, G.; Lin, J.; Chu, F.; Wu, H.; Liu, Z. Anti-TNF-α therapy suppresses pro-inflammatory activities of mucosal neutrophils in inflammatory bowel disease. Mediat. Inflamm. 2018, 2018, 3021863. [Google Scholar] [CrossRef] [Green Version]
- Marchelak, A.; Owczarek, A.; Rutkowska, M.; Michel, P.; Kolodziejczyk-Czepas, J.; Nowak, P.; Olszewska, M.A. New insights into antioxidant activity of Prunus spinosa flowers: Extracts, model polyphenols and their phenolic metabolites in plasma towards multiple in vivo-relevant oxidants. Phytochem. Lett. 2019, 30, 288–295. [Google Scholar] [CrossRef]
- Sanchez-Munoz, F.; Dominguez-Lopez, A.; Yamamoto-Furusho, J.K. Role of cytokines in inflammatory bowel disease. World J. Gastroenterol. 2008, 14, 4280–4288. [Google Scholar] [CrossRef] [PubMed]
- Kuno, Y.; Ina, K.; Nishiwaki, T.; Tsuzuki, T.; Shimada, M.; Imada, A.; Nishio, Y.; Nobata, K.; Suzuki, T.; Ando, T.; et al. Possible involvement of neutrophil elastase in impaired mucosal repair in patients with ulcerative colitis. J. Gastroenterol. 2002, 37, 22–32. [Google Scholar] [CrossRef] [PubMed]
- Sun, B.; Ricardo-da-Silva, J.M.; Spranger, I. Critical factors of vanillin assay for catechins and proanthocyanidins. J. Agric. Food Chem. 1998, 46, 4267–4274. [Google Scholar] [CrossRef]
- Marchelak, A.; Olszewska, M.A.; Owczarek, A. Simultaneous quantification of thirty polyphenols in blackthorn flowers and dry extracts prepared thereof: HPLC-PDA method development and validation for quality control. J. Pharm. Biomed. Anal. 2020, 184, 113121. [Google Scholar] [CrossRef]
- Michel, P.; Granica, S.; Magiera, A.; Rosińska, K.; Jurek, M.; Poraj, Ł.; Olszewska, M.A. Salicylate and procyanidin-rich stem extracts of Gaultheria procumbens L. inhibit pro-inflammatory enzymes and suppress pro-inflammatory and pro-oxidant functions of human neutrophils ex vivo. Int. J. Mol. Sci. 2019, 20, 1753. [Google Scholar] [CrossRef] [Green Version]
- Olszewska, M.A.; Granica, S.; Kołodziejczyk-Czepas, J.; Magiera, A.; Czerwińska, M.E.; Nowak, P.; Rutkowska, M.; Wasiński, P.; Owczarek, A. Variability of sinapic acid derivatives during germination and their contribution to antioxidant and anti-inflammatory effects of broccoli sprouts in human plasma and human peripheral blood mononuclear cells. Food Funct. 2020, 11, 7231–7244. [Google Scholar] [CrossRef]
- Wu, Z.J.; Ma, X.L.; Fang, D.M.; Qi, H.Y.; Ren, W.J.; Zhang, G.L. Analysis of caffeic acid derivatives from Osmanthus yunnanensis using electrospray ionization quadrupole time-of-flight mass spectrometry. Eur. J. Mass Spectrom. 2009, 15, 415–429. [Google Scholar] [CrossRef]
- Clifford, M.N.; Knight, S.; Kuhnert, N. Discriminating between the six isomers of dicaffeoylquinic acid by LC-MSn. J. Agric. Food Chem. 2005, 53, 3821–3832. [Google Scholar] [CrossRef]
- Olszewska, M.; Wolbiś, M. Further flavonoids from the flowers of Prunus spinosa L. Acta Pol. Pharm. 2002, 59, 133–137. [Google Scholar] [PubMed]
- Olszewska, M.; Wolbiś, M. Flavonoids from the leaves of Prunus spinosa L. Pol. J. Chem. 2002, 76, 967–974. [Google Scholar]





| MEF | DEFF | EAFF | BFF | WRF | |
|---|---|---|---|---|---|
| Total contents: | |||||
| TPC (GAE) | 87.57 ± 3.54 b | 126.49 ± 1.41 a | 123.63 ± 3.68 a | 68.23 ± 0.12 c | 64.59 ± 0.61 c |
| TPH | 28.56 ± 0.58 d | 81.83 ± 0.80 b | 104.02 ± 1.92 a | 43.17 ± 1.14 c | 6.07 ± 0.14 e |
| TPA | 19.67 ± 0.33 d | 35.15 ± 1.12 b | 91.26 ± 2.16 a | 29.62 ± 1.10 c | 4.79 ± 0.08 e |
| TAC | 4.64 ± 0.11 b | n.d. | n.d. | 9.17 ± 0.33 a | 0.96 ± 0.06 c |
| TFL | 4.25 ± 0.21 c | 41.11 ± 0.41 a | 12.21 ± 0.32 b | 4.38 ± 0.17 c | 0.32 ± 0.02 d |
| TTC (PB2) | 44.53 ± 1.93 a | n.d. | n.d. | 8.02 ± 0.23 c | 28.36 ± 0.41 b |
| Individual compounds: | |||||
| Avicularin (50) | 1.32 ± 0.14 c | 2.52 ± 0.02 b | 2.98 ± 0.14 a | 0.41 ± 0.06 d | n.d. |
| Guaiaverin (48) | n.d. | 1.05 ± 0.05 a | 0.61 ± 0.06 b | n.d. | n.d. |
| Hyperoside (42) | 0.11 ± 0.005 c | 0.94 ± 0.07 b | 1.51 ± 0.03 a | n.d. | n.d. |
| Isoquercitrin (45) | 0.09 ± 0.004 c | 0.21 ± 0.01 b | 0.97 ± 0.07 a | 0.12 ± 0.01 c | n.d. |
| Reinutrin (47) | n.d. | 0.38 ± 0.02 a | 0.24 ± 0.02 b | n.d. | n.d. |
| Rutin (44) | 1.60 ± 0.02 c | 0.29 ± 0.04 d | 2.25 ± 0.27 b | 2.93 ± 0.11 a | 0.22 ± 0.03 d |
| Quercitrin (52) | 0.15 ± 0.01 c,d | 1.66 ± 0.04 b | 1.91 ± 0.11 a | 0.13 ± 0.01 d | n.d. |
| Quercetin (62, QU) | n.d. | 27.45 ± 0.09 a | 1.25 ± 0.13 b | n.d. | n.d. |
| Cyanidin 3-O-glucoside (19, CYG) | 1.96 ± 0.12 b | n.d. | n.d. | 4.46 ± 0.12 a | 0.55 ± 0.06 c |
| Cyanidin 3-O-rutinoside (23) | 1.39 ± 0.07 b | n.d. | n.d. | 2.28 ± 0.10 a | 0.41 ± 0.05 c |
| Peonidin-3-O-glucoside (26) | 0.99 ± 0.04 b | n.d. | n.d. | 1.68 ± 0.07 a | n.d. |
| Protocatechuic acid (2) | n.d. | 5.22 ± 0.11 a | 0.63 ± 0.02 b | n.d. | n.d. |
| p-Hydroxybenzoic acid (8) | n.d. | 0.51 ± 0.06 a | 0.47 ± 0.01 a | n.d. | n.d. |
| Vanillic acid (13) | n.d. | 3.37 ± 0.19 a | n.d. | n.d. | n.d. |
| p-Coumaric acid (30) | n.d. | 0.52 ± 0.03 a | n.d. | n.d. | n.d. |
| Neochlorogenic acid (7) | 15.56 ± 0.30 c | 10.93 ± 0.84 d | 49.62 ± 1.51 a | 24.47 ± 1.07 b | 3.40 ± 0.15 e |
| Chlorogenic acid (14, CHA) | 0.94 ± 0.02 b | 0.62 ± 0.02 c | 4.75 ± 0.03 a | 0.39 ± 0.01 d | n.d. |
| Cryptochlorogenic acid (18) | 1.57 ± 0.07 d | 4.85 ± 0.10 b | 28.74 ± 0.37 a | 3.63 ± 0.12 c | n.d. |
| Vanillin (24) | n.d. | 5.57 ± 0.38 a | 0.55 ± 0.04 b | n.d. | n.d. |
| Solvent B (Acetonitrile) | Solvent C (Tetrahydrofuran) | ||
|---|---|---|---|
| Time (min) | Concentration (%, v/v) | Time (min) | Concentration (%, v/v) |
| 0–1 | 3.0 (isocratic elution) | 0–8 | 2.5 (isocratic elution) |
| 1–25 | 3.0 → 20.5 (linear gradient) | 8–9 | 2.5 → 6.5 (linear gradient) |
| 25–45 | 20.5 → 50.0 (linear gradient) | 9–19 | 6.5 (isocratic elution) |
| 45–50 | 50.0 (isocratic elution) | 19–24 | 6.5 → 9.0 (linear gradient) |
| 50–52 | 50.0 → 3.0 (return to initial condition) | 24–50 | 9.0 (isocratic elution) |
| 52–60 | 3.0 (equilibration) | 50–52 | 9.0 → 2.5 (return to initial condition) |
| 52–60 | 2.5 (equilibration) | ||
| Analyte | λ (nm) | Regression (Linear Model) | r | Linear Range (μg/mL) | F-Test | LOD (μg/mL) | |
|---|---|---|---|---|---|---|---|
| Equation | n | ||||||
| Protocatechuic acid | 260 | y = 15884.45x | 6 | 0.9998 | 0.64–63.7 | 19979.99 | 0.398 |
| p-Hydroxybenzoic acid | 260 | y = 25596.21x | 6 | 0.9997 | 0.63–62.8 | 13094.52 | 0.365 |
| Vanillic acid | 260 | y = 16884.29x | 6 | 0.9997 | 0.56–55.5 | 15385.86 | 0.373 |
| Vanillin | 280 | y = 18673.22x | 6 | 0.9999 | 0.67–66.8 | 32063.03 | 0.389 |
| Cyanidin 3-O-β-d-glucopyranoside | 520 | y = 17908.10x | 6 | 0.9990 | 0.52–52.3 | 4091.50 | 0.339 |
| Cyanidin 3-O-rutinoside | 520 | y = 10946.63x | 6 | 0.9997 | 0.51–51.0 | 12466.71 | 0.325 |
| Peonidin 3-O-β-d-glucopyranoside | 520 | y = 12604.30x | 6 | 0.9956 | 0.48–48.5 | 906.70 | 0.340 |
Publisher’s Note: MDPI stays neutral with regard to jurisdictional claims in published maps and institutional affiliations. |
© 2022 by the authors. Licensee MDPI, Basel, Switzerland. This article is an open access article distributed under the terms and conditions of the Creative Commons Attribution (CC BY) license (https://creativecommons.org/licenses/by/4.0/).
Share and Cite
Magiera, A.; Czerwińska, M.E.; Owczarek, A.; Marchelak, A.; Granica, S.; Olszewska, M.A. Polyphenol-Enriched Extracts of Prunus spinosa Fruits: Anti-Inflammatory and Antioxidant Effects in Human Immune Cells Ex Vivo in Relation to Phytochemical Profile. Molecules 2022, 27, 1691. https://doi.org/10.3390/molecules27051691
Magiera A, Czerwińska ME, Owczarek A, Marchelak A, Granica S, Olszewska MA. Polyphenol-Enriched Extracts of Prunus spinosa Fruits: Anti-Inflammatory and Antioxidant Effects in Human Immune Cells Ex Vivo in Relation to Phytochemical Profile. Molecules. 2022; 27(5):1691. https://doi.org/10.3390/molecules27051691
Chicago/Turabian StyleMagiera, Anna, Monika Ewa Czerwińska, Aleksandra Owczarek, Anna Marchelak, Sebastian Granica, and Monika Anna Olszewska. 2022. "Polyphenol-Enriched Extracts of Prunus spinosa Fruits: Anti-Inflammatory and Antioxidant Effects in Human Immune Cells Ex Vivo in Relation to Phytochemical Profile" Molecules 27, no. 5: 1691. https://doi.org/10.3390/molecules27051691
APA StyleMagiera, A., Czerwińska, M. E., Owczarek, A., Marchelak, A., Granica, S., & Olszewska, M. A. (2022). Polyphenol-Enriched Extracts of Prunus spinosa Fruits: Anti-Inflammatory and Antioxidant Effects in Human Immune Cells Ex Vivo in Relation to Phytochemical Profile. Molecules, 27(5), 1691. https://doi.org/10.3390/molecules27051691

