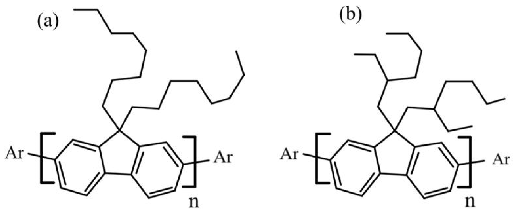
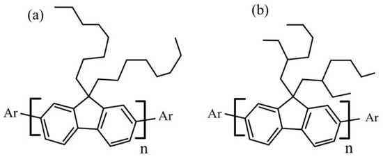
Intermolecular CH-π Electrons Interaction in Poly (9,9-dioctylfluorenyl-2,7-diyl) (PFO): An Experimental and Theoretical Study
Abstract
:1. Introduction
2. Experimental Section
2.1. Steady State
2.2. Computational Method
3. Result and Discussion
Theoretical Calculations
4. Conclusions
Supplementary Materials
Author Contributions
Funding
Informed Consent Statement
Data Availability Statement
Acknowledgments
Conflicts of Interest
References
- Friend, R.; Gymer, R.; Holmes, A.; Burroughes, J.; Marks, R.; Taliani, C.; Bradley, D.; Dos Santos, D.; Bredas, J.; Lögdlund, M. Electroluminescence in conjugated polymers. Nature 1999, 397, 121. [Google Scholar] [CrossRef]
- Cheng, Y.-J.; Yang, S.-H.; Hsu, C.-S. Synthesis of conjugated polymers for organic solar cell applications. Chem. Rev. 2009, 109, 5868–5923. [Google Scholar] [CrossRef] [PubMed]
- McGehee, M.D.; Heeger, A.J. Semiconducting (conjugated) polymers as materials for solid-state lasers. Adv. Mater. 2000, 12, 1655–1668. [Google Scholar] [CrossRef]
- Prasad, S.; Ibnaouf, K.; AlSalhi, M.; Masilamani, V. Laser from the dimer state of a conjugated polymer (PFO) in solution. Polymer 2014, 55, 727–732. [Google Scholar] [CrossRef]
- Idriss, H.; Taha, K.K.; Aldaghri, O.; Alhathlool, R.; AlSalhi, M.; Ibnaouf, K. Amplified spontaneous emission from the exciplex state of a conjugated polymer “PFO” in oleic acid. Opt. Laser Technol. 2016, 83, 148–152. [Google Scholar] [CrossRef]
- Ibnaouf, K. Optical and amplified spontaneous emission from an efficient conducting copolymer (PFO-co-MEH-PPV) in solution. J. Lumin. 2017, 192, 707–712. [Google Scholar] [CrossRef]
- Heliotis, G.; Xia, R.; Bradley, D.; Turnbull, G.; Samuel, I.; Andrew, P.; Barnes, W.L. Blue, surface-emitting, distributed feedback polyfluorene lasers. Appl. Phys. Lett. 2003, 83, 2118–2120. [Google Scholar] [CrossRef]
- Tessler, N.; Ho, P.; Cleave, V.; Pinner, D.; Friend, R.; Yahioglu, G.; Le Barny, P.; Gray, J.; De Souza, M.; Rumbles, G. Material and device related properties in the context of the possible making of electrically pumped polymer laser. Thin Solid Film. 2000, 363, 64–67. [Google Scholar] [CrossRef]
- Jacob, J.; Zhang, J.; Grimsdale, A.C.; Müllen, K.; Gaal, M.; List, E.J. Poly (tetraarylindenofluorene) s: New stable blue-emitting polymers. Macromolecules 2003, 36, 8240–8245. [Google Scholar] [CrossRef]
- Cho, H.-J.; Jung, B.-J.; Cho, N.S.; Lee, J.; Shim, H.-K. Synthesis and characterization of thermally stable blue light-emitting polyfluorenes containing siloxane bridges. Macromolecules 2003, 36, 6704–6710. [Google Scholar] [CrossRef]
- Hwang, J.-Y.; Nish, A.; Doig, J.; Douven, S.; Chen, C.-W.; Chen, L.-C.; Nicholas, R.J. Polymer structure and solvent effects on the selective dispersion of single-walled carbon nanotubes. J. Am. Chem. Soc. 2008, 130, 3543–3553. [Google Scholar] [CrossRef] [PubMed]
- Ibnaouf, K. Amplified spontaneous emission spectra of poly (9,9-dioctylfluorenyl-2,7-diyl) under pulsed laser excitation. Synth. Met. 2015, 209, 534–543. [Google Scholar] [CrossRef]
- Ibnaouf, K.H. Dimer and excimer states of a conjugated polymer poly (9,9-di-n-octylfluorenyl-2,7-diyl) in thin films. Opt. Quantum Electron. 2017, 49, 405. [Google Scholar] [CrossRef]
- Li, T.; Liu, B.; Zhang, H.; Ren, J.; Bai, Z.; Li, X.; Ma, T.; Lu, D. Effect of conjugated polymer poly (9,9-dioctylfluorene)(PFO) molecular weight change on the single chains, aggregation and β phase. Polymer 2016, 103, 299–306. [Google Scholar] [CrossRef]
- Sirtonski, M.R.; McFarlane, S.L.; Veinot, J.G. Stabilizing the optical properties of PFO through addition of a non-volatile low molecular weight aromatic ether. J. Mater. Chem. 2010, 20, 8147–8152. [Google Scholar] [CrossRef]
- Huang, L.; Huang, X.; Sun, G.; Gu, C.; Lu, D.; Ma, Y. Study of β phase and Chains Aggregation Degrees in Poly (9, 9-dioctylfluorene)(PFO) Solution. J. Phys. Chem. C 2012, 116, 7993–7999. [Google Scholar] [CrossRef]
- Ariu, M.; Sims, M.; Rahn, M.; Hill, J.; Fox, A.; Lidzey, D.; Oda, M.; Cabanillas-Gonzalez, J.; Bradley, D. Exciton migration in β-phase poly (9,9-dioctylfluorene). Phys. Rev. B 2003, 67, 195333. [Google Scholar] [CrossRef]
- Rothe, C.; Galbrecht, F.; Scherf, U.; Monkman, A. The β-Phase of Poly (9,9-dioctylfluorene) as a Potential System for Electrically Pumped Organic Lasing. Adv. Mater. 2006, 18, 2137–2140. [Google Scholar] [CrossRef]
- Peet, J.; Brocker, E.; Xu, Y.; Bazan, G.C. Controlled β-Phase Formation in Poly (9,9-di-n-octylfluorene) by Processing with Alkyl Additives. Adv. Mater. 2008, 20, 1882–1885. [Google Scholar] [CrossRef]
- Abd El-Sattar, N.E.; Badawy, E.H.; Abdel-Mottaleb, M. Synthesis of Some Pyrimidine, Pyrazole, and Pyridine Derivatives and Their Reactivity Descriptors. J. Chem. 2018, 2018, 8795061. [Google Scholar] [CrossRef]
- O’boyle, N.M.; Tenderholt, A.L.; Langner, K.M. Cclib: A library for package-independent computational chemistry algorithms. J. Comput. Chem. 2008, 29, 839–845. [Google Scholar] [CrossRef]
- Hirota, M.; Sakaibara, K.; Suezawa, H.; Yuzuri, T.; Ankai, E.; Nishio, M. Intramolecular CH–π interaction. Substituent effect as a probe for hydrogen bond-like character. J. Phys. Org. Chem. 2000, 13, 620–623. [Google Scholar] [CrossRef]
- Nishio, M.; Hirota, M.; Umezawa, Y. The CH/π Interaction: Evidence, Nature, and Consequences; John Wiley & Sons: Hoboken, NJ, USA, 1998; Volume 21. [Google Scholar]
- Kanao, E.; Kubo, T.; Naito, T.; Matsumoto, T.; Sano, T.; Yan, M.; Otsuka, K. Isotope effects on hydrogen bonding and CH/CD−π interaction. J. Phys. Chem. C 2018, 122, 15026–15032. [Google Scholar] [CrossRef]
- Emenike, B.U.; Spinelle, R.A.; Rosario, A.; Shinn, D.W.; Yoo, B. Solvent Modulation of Aromatic Substituent Effects in Molecular Balances Controlled by CH−π Interactions. J. Phys. Chem. A 2018, 122, 909–915. [Google Scholar] [CrossRef]
- Andrews, S.J.; Silviya, S.B.J.; Bhuvanesh, N.S.; Rose, J.J.S.J.; Jebaraj, J.W.; Balakrishnan, C. Crystal structure and evaluating CH⋯π (aryl/chelate) interactions in bis (2-{[(2-hydroxyethyl) imino]-methyl}-4,6-diiodophenolato)-palladium (II) Schiff base complex derived from (E)-2-(((2-hydroxyethyl) imino) methyl)-4,6-diiodophenol. Inorg. Chim. Acta 2019, 498, 119118. [Google Scholar] [CrossRef]
- Mikkola, S.; Stenman, E.; Nurmi, K.; Yousefi-Salakdeh, E.; Strömberg, R.; Lönnberg, H. The mechanism of the metal ion promoted cleavage of RNA phosphodiester bonds involves a general acid catalysis by the metal aquo ion on the departure of the leaving group. J. Chem. Soc. Perkin Trans. 1999, 2, 1619–1626. [Google Scholar] [CrossRef]
- Yu, Y.; Handa, S.; Yajima, T.; Futamata, M. Flocculation of Ag nanoparticles elucidating adsorbed p-mercaptobenzoic acid by surface enhanced Raman scattering. Chem. Phys. Lett. 2013, 560, 49–54. [Google Scholar] [CrossRef]
- Chunwaschirasiri, W.; Tanto, B.; Huber, D.; Winokur, M. Chain conformations and photoluminescence of poly (di-n-octylfluorene). Phys. Rev. Lett. 2005, 94, 107402. [Google Scholar] [CrossRef] [Green Version]
- Gamerith, S.; Gadermaier, C.; Scherf, U.; List, E.J. Emission properties of pristine and oxidatively degraded polyfluorene type polymers. Phys. Status Solidi A 2004, 201, 1132–1151. [Google Scholar] [CrossRef]
- Trott, O.; Olson, A.J. AutoDock Vina: Improving the speed and accuracy of docking with a new scoring function, efficient optimization, and multithreading. J. Comput. Chem. 2010, 31, 455–461. [Google Scholar] [CrossRef] [Green Version]
- Pettersen, E.F.; Goddard, T.D.; Huang, C.C.; Couch, G.S.; Greenblatt, D.M.; Meng, E.C.; Ferrin, T.E. UCSF Chimera—A visualization system for exploratory research and analysis. J. Comput. Chem. 2004, 25, 1605–1612. [Google Scholar] [CrossRef] [Green Version]










| PFO-1 | PFO-2 | |
|---|---|---|
| ET (eV) | −61,461.607 | −61,502.042 |
| EHOMO | −5.484 | −5.564 |
| ELUMO | −1.427 | −1.446 |
| ΔEg | 4.057 | 4.118 |
| Central plane angle | 142.088 | 139.328 |
Publisher’s Note: MDPI stays neutral with regard to jurisdictional claims in published maps and institutional affiliations. |
© 2022 by the authors. Licensee MDPI, Basel, Switzerland. This article is an open access article distributed under the terms and conditions of the Creative Commons Attribution (CC BY) license (https://creativecommons.org/licenses/by/4.0/).
Share and Cite
Elzupir, A.O.; Hussein, R.K.; Ibnaouf, K.H. Intermolecular CH-π Electrons Interaction in Poly (9,9-dioctylfluorenyl-2,7-diyl) (PFO): An Experimental and Theoretical Study. Molecules 2022, 27, 1488. https://doi.org/10.3390/molecules27051488
Elzupir AO, Hussein RK, Ibnaouf KH. Intermolecular CH-π Electrons Interaction in Poly (9,9-dioctylfluorenyl-2,7-diyl) (PFO): An Experimental and Theoretical Study. Molecules. 2022; 27(5):1488. https://doi.org/10.3390/molecules27051488
Chicago/Turabian StyleElzupir, Amin O., Rageh K. Hussein, and Khalid H. Ibnaouf. 2022. "Intermolecular CH-π Electrons Interaction in Poly (9,9-dioctylfluorenyl-2,7-diyl) (PFO): An Experimental and Theoretical Study" Molecules 27, no. 5: 1488. https://doi.org/10.3390/molecules27051488
APA StyleElzupir, A. O., Hussein, R. K., & Ibnaouf, K. H. (2022). Intermolecular CH-π Electrons Interaction in Poly (9,9-dioctylfluorenyl-2,7-diyl) (PFO): An Experimental and Theoretical Study. Molecules, 27(5), 1488. https://doi.org/10.3390/molecules27051488

