Experimental Study of the Thermal Decomposition Properties of Binary Imidazole Ionic Liquid Mixtures
Abstract
:1. Introduction
2. Experimental
2.1. Materials for Thermal Decomposition Experiments
2.2. Materials for Flash Point Experiments
2.3. Apparatus and Methods for Thermal Decomposition Experiments
2.4. Apparatus and Methods for Flash Ignition Experiments
3. Results and Discussion
3.1. The Thermal Decomposition Temperature of BIIL Mixtures
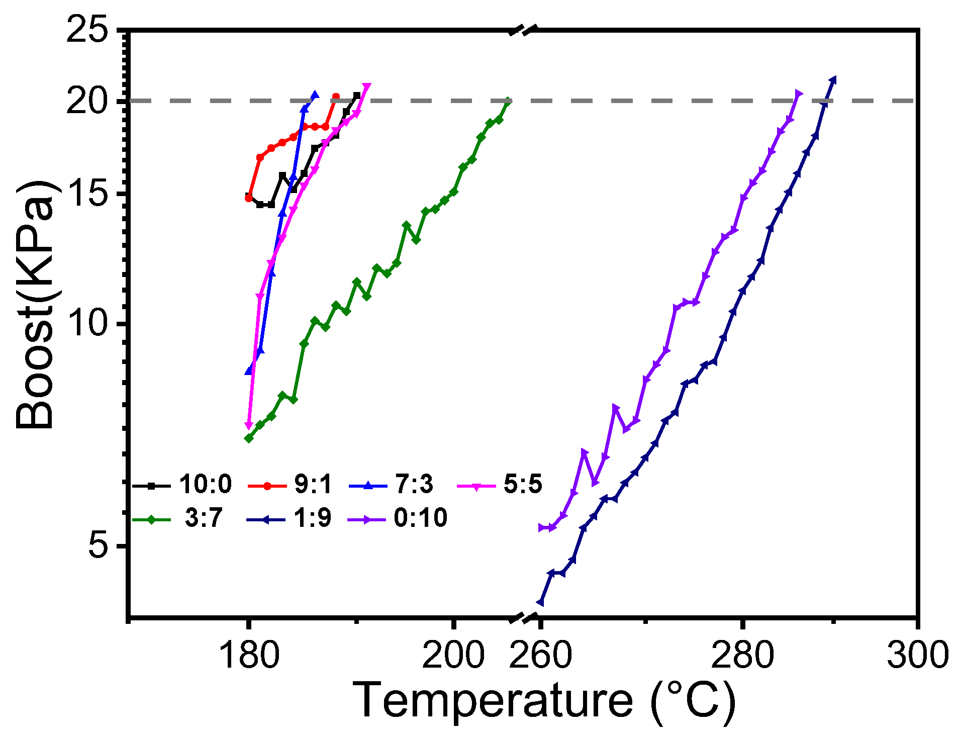
3.2. The Flash Ignition Temperatures of BIIL Mixtures
3.3. Correlation between Thermal Decomposition and the Flash Ignition Temperatures of BIIL Mixtures
4. Conclusions
- (1)
- When the proportion of less thermally stable components is high, the Td of the BIIL mixture is consistent with that of the less thermally stable components, which might promote intense combustible and toxic gases production. When the proportion of highly thermally stable components increases above 0.5, the Td of the mixtures gradually increases. That means, the thermal stability of the mixtures increases;
- (2)
- When the proportion of less thermally stable components is high, the Tf of the mixture is close to that of the less thermally stable components. This situation can easily induce a fire and explosion accident. As the proportion of the highly thermally stable components increases, the Tf of the mixture also increases. It is accordingly lower in thermal risk. When the proportion of the highly thermally stable component is ≥0.7, the Tf of the mixture is consistent with the Tf of the highly thermally stable component;
- (3)
- In the cases of most molar ratios, the flash ignition of BIIL mixtures depends on the first stage of the thermal decomposition process. As the proportion of highly thermally stable components increases, the Tf of the IL mixtures increases. When the highly thermally stable component has a high proportion ≥ 0.7, the Tf is in the second stage of the thermal decomposition process.
Author Contributions
Funding
Institutional Review Board Statement
Informed Consent Statement
Data Availability Statement
Conflicts of Interest
Sample Availability
References
- Dong, K.; Liu, X.; Dong, H.; Zhang, X.; Zhang, S. Multiscale Studies on Ionic Liquids. Chem. Rev. 2017, 117, 6636–6695. [Google Scholar] [CrossRef] [PubMed]
- Wilkes, J.S. A short history of ionic liquids—From molten salts to neoteric solvents. Green. Chem. 2002, 4, 73–80. [Google Scholar] [CrossRef]
- Welton, T. Ionic liquids: A brief history. Biophys. Rev. 2018, 10, 691–706. [Google Scholar] [CrossRef] [PubMed] [Green Version]
- Seddon, K.R. A taste of the future. Nat. Mater. 2003, 2, 363–365. [Google Scholar] [CrossRef]
- Smiglak, M.; Reichert, W.M.; Holbrey, J.D.; Wilkes, J.S.; Sun, L.; Thrasher, J.S.; Kirichenko, K.; Singh, S.; Katritzky, A.R.; Rogers, R.D. Combustible ionic liquids by design: Is laboratory safety another ionic liquid myth? Chem. Commun. 2006, 24, 2554–2556. [Google Scholar] [CrossRef]
- Clough, M.T.; Crick, C.R.; Gräsvik, J.; Hunt, P.A.; Niedermeyer, H.; Welton, T.; Whitaker, O.P. A physicochemical investigation of ionic liquid mixtures. Chem. Sci. 2015, 6, 1101–1114. [Google Scholar] [CrossRef] [PubMed] [Green Version]
- Niedermeyer, H.; Hallett, J.P.; Villar-Garcia, I.J.; Hunt, P.A.; Welton, T. Mixtures of ionic liquids. Chem. Soc. Rev. 2012, 41, 7780–7802. [Google Scholar] [CrossRef] [Green Version]
- Brüssel, M.; Brehm, M.; Pensado, A.S.; Malberg, F.; Ramzan, M.; Stark, A.; Kirchner, B. On the ideality of binary mixtures of ionic liquids. Chem. Phys. 2012, 14, 13204–13215. [Google Scholar] [CrossRef]
- Villar-Garcia, I.J.; Lovelock, K.R.J.; Men, S.; Licence, P. Tuning the electronic environment of cations and anions using ionic liquid mixtures. Chem. Sci. 2014, 5, 2573–2579. [Google Scholar] [CrossRef] [Green Version]
- Lui, M.Y.; Crowhurst, L.; Hallett, J.P.; Hunt, P.A.; Niedermeyer, H.; Welton, T. Salts dissolved in salts: Ionic liquid mixtures. Chem. Sci. 2011, 2, 1491–1496. [Google Scholar] [CrossRef]
- Niu, H.; Wang, L.; Guan, P.; Zhang, N.; Yan, C.; Ding, M.; Guo, X.; Huang, T.; Hu, X. Recent Advances in Application of Ionic Liquids in Electrolyte of Lithium Ion Batteries. J. Energy Storage 2021, 40, 102659. [Google Scholar] [CrossRef]
- Lombardo, L.; Brutti, S.; Navarra, M.A.; Panero, S.; Reale, P. Mixtures of ionic liquid—Alkylcarbonates as electrolytes for safe lithium-ion batteries. J. Power Sources 2013, 227, 8–14. [Google Scholar] [CrossRef]
- Zistler, M.; Wachter, P.; Wasserscheid, P.; Gerhard, D.; Hinsch, A.; Sastrawan, R.; Gores, H.J. Comparison of electrochemical methods for triiodide diffusion coefficient measurements and observation of non-Stokesian diffusion behaviour in binary mixtures of two ionic liquids. Electrochim. Acta 2006, 52, 161–169. [Google Scholar] [CrossRef]
- Wang, M.; Zhang, L.; Gao, L.; Pi, K.; Zhang, J.; Zheng, C. Improvement of the CO2 Absorption Performance Using Ionic Liquid [NH2emim][BF4] and [emim][BF4]/[bmim][BF4] Mixtures. Energy Fuels 2013, 27, 461–466. [Google Scholar] [CrossRef]
- Trujillo-Rodríguez, M.J.; Rocío-Bautista, P.; Pino, V.; Afonso, A.M. Ionic liquids in dispersive liquid-liquid microextraction. TrAC Trends Anal. Chem. 2013, 51, 87–106. [Google Scholar] [CrossRef]
- Long, J.; Guo, B.; Li, X.; Jiang, Y.; Wang, F.; Tsang, S.C.; Wang, L.; Yu, K.M.K. One step catalytic conversion of cellulose to sustainable chemicals utilizing cooperative ionic liquid pairs. Green Chem. 2011, 13, 2334–2338. [Google Scholar] [CrossRef]
- Lee, S.H.; Ha, S.H.; Hiep, N.M.; Chang, W.; Koo, Y. Lipase-catalyzed synthesis of glucose fatty acid ester using ionic liquids mixtures. J. Biotechnol. 2008, 133, 486–489. [Google Scholar] [CrossRef]
- Saleem, M.; Algahtani, A.; Rehman, S.U.; Javed, M.S.; Irshad, K.; Ali, H.M.; Malik, M.Z.; Ali, A.; Tirth, V.; Islam, S. Solution Processed Zn1−x−ySmxCuyO Nanorod Arrays for Dye Sensitized Solar Cells. Nanomaterials 2021, 11, 1710. [Google Scholar] [CrossRef]
- Faizan, M.; Ahmed, R.; Ali, H.M. A critical review on thermophysical and electrochemical properties of Ionanofluids (nanoparticles dispersed in ionic liquids) and their applications. J. Taiwan Inst. Chem. E 2021, 124, 391–423. [Google Scholar] [CrossRef]
- Zhao, X.; Pan, Y.; Jiang, J.; Xu, S.; Jiang, J.; Ding, L. Thermal Hazard of Ionic Liquids: Modeling Thermal Decomposition Temperatures of Imidazolium Ionic Liquids via QSPR Method. Ind. Eng. Chem. Res. 2017, 56, 4185–4195. [Google Scholar] [CrossRef]
- Zeeshan, M.; Nozari, V.; Keskin, S.; Uzun, A. Structural Factors Determining Thermal Stability Limits of Ionic Liquid/MOF Composites: Imidazolium Ionic Liquids Combined with CuBTC and ZIF-8. Ind. Eng. Chem. Res. 2019, 58, 14124–14138. [Google Scholar] [CrossRef]
- He, H.; Pan, Y.; Meng, J.; Li, Y.; Zhong, J.; Duan, W.; Jiang, J. Predicting Thermal Decomposition Temperature of Binary Imidazolium Ionic Liquid Mixtures from Molecular Structures. ACS Omega 2021, 6, 13116–13123. [Google Scholar] [CrossRef] [PubMed]
- Shen, S.; Pan, Y.; Ji, X.; Ni, Y.; Jiang, J. Prediction of the Auto-Ignition Temperatures of Binary Miscible Liquid Mixtures from Molecular Structures. Int. J. Mol. Sci. 2019, 20, 2084. [Google Scholar] [CrossRef] [PubMed] [Green Version]
- Liu, S.; Zhang, B. Using thermal analysis technology to assess the thermal stability of 1,3-dimethylimidazolium nitrate. Process Saf. Environ. 2019, 124, 181–186. [Google Scholar] [CrossRef]
- Liu, S.; Cao, C.; Lin, Y.; Shu, C. Using thermal analysis and kinetic calculation method to assess the thermal stability of 2,2′-azobis-(2-methylbutyronitrile). J. Therm. Anal. Calorim. 2018, 131, 545–553. [Google Scholar] [CrossRef]
- Huang, G.; Lin, W.; He, P.; Pan, Y.; Shu, C. Thermal decomposition of imidazolium-based ionic liquid binary mixture: Processes and mechanisms. J. Mol. Liq. 2018, 272, 37–42. [Google Scholar] [CrossRef]
- Liaw, H.; Liou, Y.; Liu, P.; Chen, H.; Shu, C. Increased flammability hazard when ionic liquid [C6mim][Cl] is exposed to high temperatures. J. Hazard. Mater. 2019, 367, 407–417. [Google Scholar] [CrossRef]
- Liaw, H.; Chen, C.; Chen, Y.; Chen, J.; Huang, S.; Liu, S. Relationship between flash point of ionic liquids and their thermal decomposition. Green Chem. 2012, 14, 2001–2008. [Google Scholar] [CrossRef]
- Diallo, A.O.; Len, C.; Morgan, A.B.; Marlair, G. Revisiting physico-chemical hazards of ionic liquids. Sep. Purif. Technol. 2012, 97, 228–234. [Google Scholar] [CrossRef] [Green Version]
- Pinto, A.M.; Rodríguez, H.; Colón, Y.J.; Arce, A.; Arce, A.; Soto, A. Absorption of Carbon Dioxide in Two Binary Mixtures of Ionic Liquids. Ind. Eng. Chem. Res. 2013, 52, 5975–5984. [Google Scholar] [CrossRef]
- Pinto, A.M.; Rodríguez, H.; Arce, A.; Soto, A. Carbon dioxide absorption in the ionic liquid 1-ethylpyridinium ethylsulfate and in its mixtures with another ionic liquid. Int. J. Greenh. Gas Con. 2013, 18, 296–304. [Google Scholar] [CrossRef]
- Altamash, T.; Khraisheh, M.; Qureshi, M.F. Investigating the effects of mixing ionic liquids on their density, decomposition temperature, and gas absorption. Chem. Eng. Res. Des. 2019, 148, 251–259. [Google Scholar] [CrossRef]
- Larriba, M.; Navarro, P.; Beigbeder, J.; García, J.; Rodríguez, F. Mixing and decomposition behavior of {[4bmpy][Tf2N]+[emim][EtSO4]} and {[4bmpy][Tf2N]+[emim][TFES]} ionic liquid mixtures. J. Chem. Thermodyn. 2015, 82, 58–75. [Google Scholar] [CrossRef]
- Liaw, H.; Chen, K.; Chen, H.; Liu, S. Effect of Heating Temperature on the Flash Point of Ionic Liquids. Procedia Eng. 2014, 84, 293–296. [Google Scholar] [CrossRef] [Green Version]
- Liu, S.; Lin, W.; Xia, H.; Hou, H.; Shu, C. Combustion of 1-butylimidazolium nitrate via DSC, TG, VSP2, FTIR, and GC/MS: An approach for thermal hazard, property and prediction assessment. Process Saf. Environ. 2018, 116, 603–614. [Google Scholar] [CrossRef]
- Li, Y.; Pan, Y.; Huang, G.; Wang, Q.; Wei, Q.; Jiang, J. Flammability hazard analysis of imidazolium-based ionic liquid binary mixtures under high temperatures. J. Loss Prev. Proc. 2020, 64, 104081. [Google Scholar] [CrossRef]






| No. | Name | Abbreviation | Cation | Anion Structure | |
|---|---|---|---|---|---|
| Structure | Stability | ||||
| 1 | 1-butyl-3-methylimidazolium tetrafluoroborate | [BMIM][BF4] | ![]() | Stable | ![]() |
| 2 | 1-butyl-3-methylimidazolium trifluoromethanesulfonate | [BMIM][TFO] | ![]() | Stable | ![]() |
| 3 | 1-butyl-3-methylimidazolium nitrate | [BMIM][NO3] | ![]() | Stable | ![]() |
| 4 | 1-butyl-3-methylimidazolium trifluoroacetate | [BMIM][CF3COO] | ![]() | Stable | ![]() |
| 5 | 1-butyl-imidazolium nitrate | [BIM][NO3] | ![]() | Unstable | ![]() |
| 6 | 1-butyl-2,3-dimethylimidazolium nitrate | [BMMIM][NO3] | ![]() | Very stable | ![]() |
| No. | BIIL Mixtures | Cation | Anion |
|---|---|---|---|
| 1 | [BIM]x[BMIM](1−x)[NO3]x | [BIM]+, [BMIM]+ | [NO3]− |
| 2 | [BIM]x[BMMIM](1−x)[NO3]x | [BIM]+, [BMMIM]+ | [NO3]− |
| 3 | [BMIM]x[BMMIM](1−x)[NO3]x | [BMIM]+, [BMMIM]+ | [NO3]− |
| 4 | [BMIM][NO3]x[TFO](1−x) | [BMIM]+ | [NO3]−, [TFO]− |
| 5 | [BMIM][NO3]x[BF4]x | [BMIM]+ | [NO3]−, [BF4]− |
| 6 | [BMIM][NO3]x[CF3COO]x | [BMIM]+ | [NO3]−, [CF3COO]− |
| 7 | [BMIM][BF4](1−x)[TFO](1−x) | [BMIM]+ | [BF4]−, [TFO]− |
| 8 | [BMIM][CF3COO]x[TFO](1−x) | [BMIM]+ | [CF3COO]−, [TFO]− |
| 9 | [BIM]x[BMIM](1−x)[NO3]y[TFO](1−y) | [BIM]+, [BMIM]+ | [NO3]−, [TFO]− |
| 10 | [BIM]x[BMIM](1−x)[NO3]y[BF4](1−y) | [BIM]+, [BMIM]+ | [NO3]−, [BF4]− |
| No | Name | Abbreviation | Cation | Anion Structure | |
|---|---|---|---|---|---|
| Structure | Stability | ||||
| 1 | 1-butyl-imidazolium nitrate | [BIM][NO3] | ![]() | Unstable | ![]() |
| 2 | 1-butyl-3-methylimidazolium nitrate | [BMIM][NO3] | ![]() | Stable | ![]() |
| 3 | 1-butyl-2,3-dimethylimidazolium nitrate | [BMMIM][NO3] | ![]() | Very stable | ![]() |
| 4 | 1-butyl-3-methylimidazolium acetate | [BMIM][OAC] | ![]() | Stable | ![]() |
| 5 | 1-butyl-3-methylimidazolium dicyanamide | [BMIM][DCA] | ![]() | Stable | ![]() |
| 6 | 1-butyl-3-methylimidazolium trifluoroacetate | [BMIM][CF3COO] | ![]() | Stable | ![]() |
| No | BIIL Mixtures | Cation | Anion |
|---|---|---|---|
| 1 | [BIM]x[BMIM](1−x)[NO3](1−x) | [BIM]+, [BMIM]+ | [NO3]− |
| 2 | [BIM]x[BMMIM](1−x)[NO3](1−x) | [BIM]+, [BMMIM]+ | [NO3]− |
| 3 | [BMIM]x[BMMIM](1−x)[NO3](1−x) | [BMIM]+, [BMMIM]+ | [NO3]− |
| 4 | [BMIM][NO3]x[OAC](1−x) | [BMIM]+ | [NO3]−, [OAC]− |
| 5 | [BMIM][NO3]x[DCA](1−x) | [BMIM]+ | [NO3]−, [DCA]− |
| 6 | [BMIM][NO3]x[CF3COO](1−x) | [BMIM]+ | [NO3]−, [CF3COO]− |
| 7 | [BMIM]x[BMMIM](1x)[NO3]y[CF3COO](1−y) | [BMIM]+, [BMMIM]+ | [NO3]−, [CF3COO]− |
Publisher’s Note: MDPI stays neutral with regard to jurisdictional claims in published maps and institutional affiliations. |
© 2022 by the authors. Licensee MDPI, Basel, Switzerland. This article is an open access article distributed under the terms and conditions of the Creative Commons Attribution (CC BY) license (https://creativecommons.org/licenses/by/4.0/).
Share and Cite
Yang, F.; Zhang, X.; Pan, Y.; He, H.; Ni, Y.; Wang, G.; Jiang, J. Experimental Study of the Thermal Decomposition Properties of Binary Imidazole Ionic Liquid Mixtures. Molecules 2022, 27, 1357. https://doi.org/10.3390/molecules27041357
Yang F, Zhang X, Pan Y, He H, Ni Y, Wang G, Jiang J. Experimental Study of the Thermal Decomposition Properties of Binary Imidazole Ionic Liquid Mixtures. Molecules. 2022; 27(4):1357. https://doi.org/10.3390/molecules27041357
Chicago/Turabian StyleYang, Fan, Xin Zhang, Yong Pan, Hongpeng He, Yuqing Ni, Gan Wang, and Juncheng Jiang. 2022. "Experimental Study of the Thermal Decomposition Properties of Binary Imidazole Ionic Liquid Mixtures" Molecules 27, no. 4: 1357. https://doi.org/10.3390/molecules27041357
APA StyleYang, F., Zhang, X., Pan, Y., He, H., Ni, Y., Wang, G., & Jiang, J. (2022). Experimental Study of the Thermal Decomposition Properties of Binary Imidazole Ionic Liquid Mixtures. Molecules, 27(4), 1357. https://doi.org/10.3390/molecules27041357
























