Abstract
The absolute stereochemistry of the marine alkaloid (+)-(R)-tiruchanduramine was established via a convergent total synthesis in six steps and 15.5% overall yield from Fmoc-D-Dab(Boc)-OH.
1. Introduction
We have previously reported [1] a racemic synthesis of the alkaloid tiruchanduramine 1 (Figure 1) isolated by Ravinder et al. [2] from the ascidian Synoicum macroglossum and shown to be a α-glucosidase inhibitor. Glucosidases have a number of roles in the body, including digestion, glycoprotein processing and degradation, and have differing locations and substrate specificities [3]. They are targets for treatments to viral infections, diabetes, lysosomal storage disorders, and cancer [4]. Glucosidases involved in digestion have attracted particular interest as they release glucose and inhibiting them slows rises in blood sugar following food consumption and medications such as Acarbose [5] and Miglitol [6] have been developed.
Figure 1.
Structure of tiruchanduramine (1).
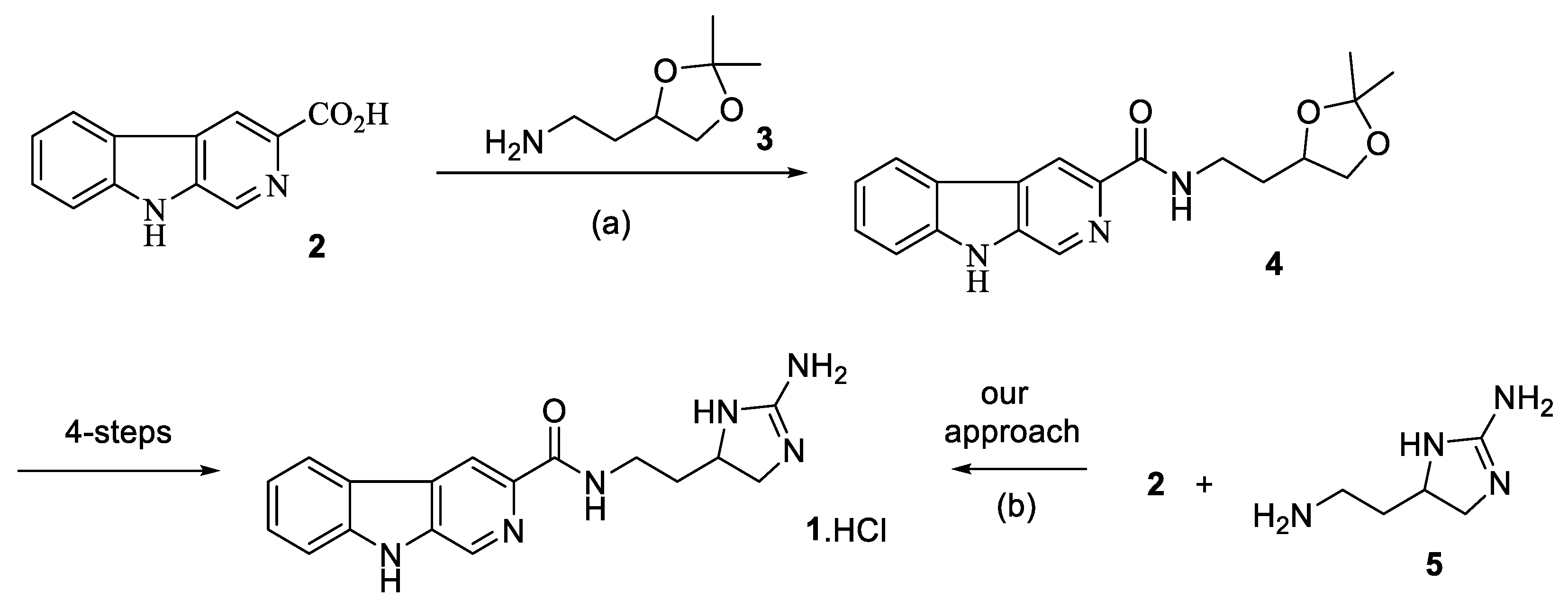
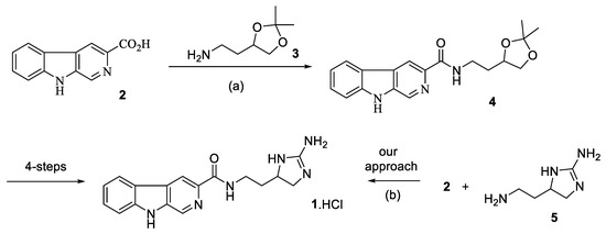
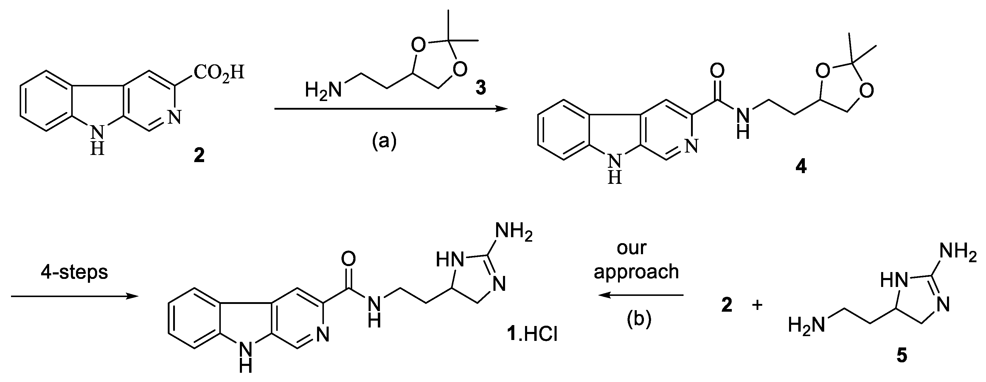
We wished to determine the absolute configuration of 1 by synthesis from a chiral pool precursor and were initially attracted by the synthesis reported by Ravinder et al. [2]. This work reported the coupling of β-carboline-3-carboxylic acid 2 [7], easily prepared in four steps from tryptophan, with the amine 3, prepared in five steps from but-3-en-1-ol. Amide 4 was converted into the hydrochloride salt of 1 via a four-step protocol involving the introduction of the guanidine under Mitsunobu conditions (Scheme 1). Our racemic synthesis [1] differed from this as it was a convergent approach in which the guanidine heterocycle 5 is prepared separately then coupled to the β-carboline-3-carboxylic acid 2 (Scheme 1).
Scheme 1.
Previously reported [1,2] racemic syntheses of 1: (a) DCC, DMAP, CH2Cl2, 62%, or (EDCI, HOBT, DMF) 65%. (b) (i) 2, CDI, THF:DMF (1:1); (ii) 5, NEt3, 1 week.
2. Results and Discussion
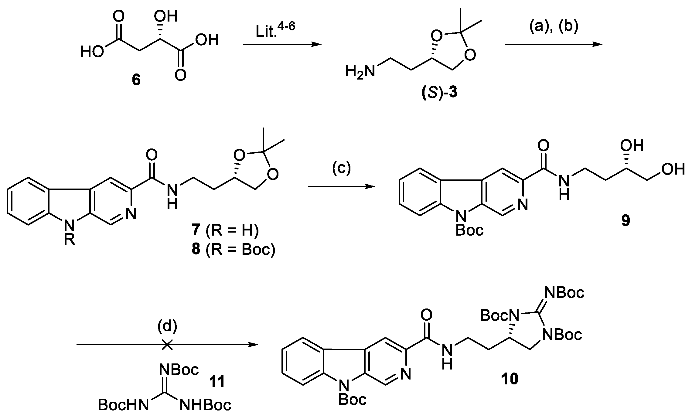
We thus attempted to repeat the work reported by Ravinder [2] by preparing the known [8] chiral amine (S)-3 from commercially available (S)-malic acid 6 using literature procedures (esterification [8] (MeOH, H+), reduction [8] (H3B·SMe2, NaBH4, THF), protection [8] (2-methoxypropene, H+), reduction [8] (LiAlH4, Et2O), azide formation [9] (TPP, DIAD, DPPA), and reduction [10] (TPP, H2O), see Supplementary Materials for experimental details). Coupling of the amine (S)-3 with carboxylic acid 2 was attempted using DCC and DMAP as reported by Ravinder [2]. Whilst successful, the reaction was hampered by difficulties associated with the removal of the DCCU byproduct from the desired product 7. To circumvent this, we repeated the reaction by activating the acid 2 with CDI followed by the addition of the amine (S)-3. After 24 h, work up and chromatography gave 7 in a 70% yield and the structure was confirmed by NMR and MS analysis. Following this, the β-carboline NH was protected using Boc-anhydride and trimethylamine, to secure 8 in a 56% yield, again, its structure was confirmed by NMR and MS analysis. Finally, deprotection of the acetonide using PPTSA in methanol gave 9 in 71% yield. NMR data had been reported [2] for this compound and comparison of this gave a close agreement despite several signals being missing in the original literature report. MS data was as expected for the desired compound. With diol 9 in hand, we attempted the formation of the cyclic guanidine 10 using the conditions suggested in the original racemic synthesis. [2] Unfortunately, in our hands we were unable to effect any reaction between 9 and N,N′,N′′-tri-Boc-guanidine 11 using DEAD and triphenylphosphine. We varied the concentration of the reaction and the number of equivalents of each reagent and used the alternate reagent DIAD as well as differing solvents. In all cases only the unreacted diol 9 was recovered after chromatography (Scheme 2).
Scheme 2.
Conditions: (a) CDI, DMF, 30 min, then (S)-3, 24 h, 70%. (b) Boc2O (2.0 equiv.), NEt3 (2.0 equiv.), CH2Cl2, 16 h, 56%. (c) PPTSA (0.4 equiv.), MeOH, 71%. (d) DIAD or DEAD (2.4–6 equiv.), PPh3 (2.8–12 equiv.) THF or CH2Cl2, rt-reflux, 7 d.
Frustrated by this synthetic approach, we returned to our original convergent strategy and sought a synthetic route to enantiopure guanidine 5. Our synthesis began with the commercially available orthogonally protected diaminocarboxylic acid Fmoc-D-Dab(Boc)-OH (12). Reduction of the mixed anhydride of 12 with sodium borohydride gave alcohol 13 in an 86% yield [11]. Deprotection of 13 using piperidine in dichloromethane gave the amine 14 which was guanidinylated [1] with 15 to give the alcohol 16 in 94% yield. Cyclization of this with a mixture of I2/dppe/PPh3/imidazole [1] in dichloromethane to give the cyclic guanidine 17 which was used in the next steps without purification as it was found to undergo decomposition on silica gel. Crude 17 was deprotected using aqueous HCl (3M) and after freeze drying gave the desired guanidine (R)-5. This compound gave identical data to the previously reported racemic compound [1] and the synthetic methods adopted have preserved the original stereogenic center found in compound 12. The preparation of (R)-1 was achieved by treatment of the carboxylic acid 2 with an excess of 1,1′-carbonyldiimidazole (CDI) in DMF for 30 min followed addition of the free base of (S)-5. [1] After 24 h the mixture was freeze dried and purified by repeated column chromatography to give (R)-1·HCl in 18% yield over three steps. Synthetic 1·HCl gave identical NMR data to that previously reported [1] for racemic 1·HCl, however it gave an [α]D24 of +27 (MeOH, c = 1.0,) which is in close agreement to the value for natural 1 which was reported [2] as [α]D +31 (c 0.5, MeOH) with an unspecified counterion (Scheme 3).
Scheme 3.
Synthesis of (+)-(R)-1·HCO2H/HCl.(a) (i) EtOCOCl (1.1 equiv.), Et3N, THF; (ii) NaBH4 (3.0 equiv.), THF/H2O (1:1), −5 °C—rt, 3 h; 86%. (b) Piperidine:CH3Cl (1:4), 2 h. (c) 15 (1.5 equiv.), Et3N (3.0 equiv.), MeOH, rt, 2 d, 94%. (d) Imidazole (3.5 equiv.), dppe (1.5 equiv.), I2 (1.5 equiv.), CH2Cl2, −40 °C to −20 °C, 3 h. (e) HCl (aq 3M) 0 °C–rt, 48 h, (f) (i) 2 (1.03 equiv.), CDI (1.45 equiv), Et3N (3.0 equiv.), DMF, rt, 24 h, 18% (over three steps), (ii) HPLC.
Ravinder2 reported that tiruchanduramine 1 was a potent inhibitor of yeast α-glucosidase (IC50 78.2 μg/mL, 0.24 mM) as compared with Acarbose (IC50 100 μg/mL, 0.16 mM) as the standard. We have previously reported that racemic tiruchanduramine 1 is a weak inhibitor of yeast α-glucosidase and now with a full synthesis of the natural product (+)-(R)-tiruchanduramine 1, we confirm that the compound is not a potent inhibitor of either yeast α-(IC50 0.7 mM) or almond β-glucosidase (IC50 1.0 mM). Our assays show the same order of magnitude inhibition to the reported figures which correlates with Ravinder’s report, but not with the conclusion that the compound is a potent inhibitor for which much lower µM IC50 values would be expected. If there is a greater inhibition seen by Ravinder then we propose that, as with many natural products, the original natural product may have had a minor contaminant which produced the greater apparent inhibition. The comparison with acarbose by Ravinder may not have been appropriate since Acarbose does not potently inhibit yeast α-glucosidase [12]. Ravinder does not report which specific α-glucosidase they investigated but cite the method of Kim et al. who used a yeast α-glucosidase [13]. It is noteworthy that the synthetic analogues of tiruchanduramine 1 we prepared [14] gave considerably better IC50 values against yeast α-glucosidase, for example compounds 18a (n = 4) and 18b (n = 5) IC50 values of 12 µM and 7.5 µM respectively. (Figure 2) We can thus propose that although the natural product is not a very good inhibitor of yeast α-glucosidase, it represents a useful starting point for the design of much more potent inhibitors.
Figure 2.
Synthetic analogues of tiruchanduramine 1 (n = 4, 5) [14].
3. Conclusions
We have succeeded in the first enantioselective synthesis of (+)-(R)-tiruchanduramine 1 as its hydrochloride and formate salts in 15.5% overall yield (6 steps) from a commercially available starting material 12 and have established its absolute stereochemistry as R. We also attempted to repeat reactions reported in the original synthesis which proved capricious in our hands.
4. Experimental
Column chromatography was carried out on silica gel (60Å, 40–63 μm) and TLCs were conducted on precoated Kieselgel 60 F254 (Art. 5554) (Merck Life Science UK Limited, Watford, UK) with the eluent specified in each case. All non-aqueous reactions were conducted in oven-dried apparatus under a static atmosphere of argon. Diethyl ether, THF, and dichloromethane were dried by a Pure Solv MD-3 solvent purification system (One Industrial Way, Amesbury, MA, USA). Dry methanol and DMF and all starting materials were purchased from Aldrich (Merck Life Science UK Limited, Gillingham, UK). Chemical shifts are reported in δ values relative to residual chloroform (7.26/77.16 ppm), methanol (3.31/49.0 ppm), and DMSO (2.50/39.52 ppm) as internal standards. Proton and carbon NMR spectra were recorded in CDCl3 on a Bruker AC400 spectrometer (Coventry, UK) unless otherwise stated and spectra are presented in the Supplementary Materials for each compound. Mass spectra data were obtained at the EPSRC Mass Spectrometry Service Centre at the University of Wales, Swansea. Infrared spectra were recorded as thin films (oils) on a Bruker Tensor 27 series instrument (Coventry, UK). Optical rotations were performed on a Bellingham and Stanley Ltd. ADP400TM polarimeter (Bellingham+Stanley Ltd, Kent, UK). Melting points were performed on a Stuart SMP10 apparatus (Cambridgeshire, UK) and are uncorrected.
4.1. S-N-(2-(2,2-Dimethyl-1,3-dioxolan-4-yl)ethyl)-9H-pyrido [3,4-b]indole-3-carboxamide 7
Carboxylic acid 2 (209 mg, 0.98 mmol, 1.0 equiv.) and CDI (340 mg, 2.10 mmol, 2.13 equiv.) were dissolved in dry DMF (5 mL) and the solution stirred for 30 min at which point the acid 2 had dissolved. Amine (S)-3 (1.00 g, 6.89 mmol. 7.0 equiv.) was then added as a solution in DMF (2 mL) and this mixture was stirred for 24 h. Water (10 mL) was then added and stirring continued for 1 h. The mixture was extracted with DCM (3 × 50 mL) and the combined extracts washed with water (3 × 100 mL). After drying (MgSO4) and evaporation, chromatography on silica gel (50% EA in CF) gave amide 7 (234 mg, 0.69 mmol, 70%) as an amorphous white solid. [α]D21 −13.3 (c = 0.42, CH2Cl2); Mp 194–195 °C; Rf 0.14 (50% EA in CF); δH 9.50 (1H, s, NH), 8.91 (1H, s, CH), 8.80 (1H, s, CH), 8.51 (1H, t, J 5.9 Hz, CH), 8.13 (1H, d, J 7.9 Hz, CH), 7.55–7.56 (2H, m, 2 × CH), 7.31 (1H, dt, J 8.0, 4.0 Hz, CH), 4.23–4.29 (1H, m, CH), 4.10 (1H, dd, J 8.0, 6.0 Hz, 1H), 3.59–3.75 (3H, m, CH2, CH), 2.01–1.87 (2H, m, CH2), 1.45 (3H, s, Me), 1.37 (3H, s, Me); δC 165.9, 141.0, 140.2, 137.4, 131.9, 129.7, 129.0, 122.2, 121.9, 120.9, 114.5, 112.0, 109.2, 74.6, 69.4, 36.9, 33.7, 27.1, 25.8; νmax (film)/cm−1 3386, 3160, 3032, 2983, 2877, 1651, 1624, 1592, 1533, 1499, 1481, 1461, 1406, 1368, 1338, 1311, 1255, 1209, 1161, 1112, 1103, 1045, 1016, 986; MS (ESI) m/z 703.3 (65% [2M + Na]+), 362.1 (100% [M + Na]+), 240.2 (35% [M + H]+); HMRS (ESI) found 340.1661, C19H22N3O3+ ([M + H]+) requires 340.1656.
4.2. Tert-Butyl S-3-((2-(2,2-dimethyl-1,3-dioxolan-4-yl)ethyl)carbamoyl)-9H-pyrido[3,4-b]indole-9-carboxylate 8
Acetonide 7 (139 mg, 0.41 mmol, 1.0 equiv.) was dissolved in dry DCM (10 mL), triethylamine (0.12 mL, 83 mg, 0.82 mmol, 2.0 equiv.) and Boc anhydride (179 mg, 0.82 mmol, 2.0 equiv.) were added and the mixture stirred overnight. Evaporation under reduced pressure followed by column chromatography (30–50% EA in PE) gave 8 (101 mg, 0.23 mmol) in 56% yield as a pale-yellow solid. Rf 0.17 (40% EA in PE); [α]D21 −21.0 (c = 0.19, CH3OH); Mp.133–136 C; δH 9.48 (1H, d, J 0.7 Hz, CH), 8.81 (1H, d, J 0.7 Hz, CH), 8.51 (1H, br t, J 5.6 Hz, NH), 8.37 (1H, d, J 8.5 Hz, CH), 8.14 (1H, d, J 7.6 Hz, CH), 7.64 (1H, ddd, J 1.0, 7.6, 8.5 Hz, CH), 7.46 (1H, t, J 7.6 Hz, 1H), 4.25–4.32 (1H, m, CH), 4.12 (1H, dd, J 6.1, 8.0 Hz, CH), 3.60–3.75 (2H, m, CH2), 3.64 (1H, dd, J 7.1, 8.0 Hz, CH), 1.87–2.03 (2H, m, CH2), 1.79 (9H, s, 3 × Me), 1.47 (3H, s, Me), 1.39 (3H, s, Me); δC 164.8, 150.3, 143.7, 139,7, 136.4, 133.1, 130.3, 124.1, 121.7, 116.7, 113.6, 109.2, 85.5, 74.7, 69.4, 37.0, 33.6, 28.5, 27.1, 25.8; νmax 3323, 2981, 2932, 2867, 1728, 1651, 1620, 1563; MS (ESI) m/z 440.2 (100%, [M + H]+); HMRS (ESI) found 440.2183, C24H30N3O5+ ([M + H]+) requires 440.2180.
4.3. Tert-Butyl (S)-3-((3,4-dihydroxybutyl)carbamoyl)-9H-pyrido[3,4-b]indole-9-carboxylate 9
Acetonide 8 (100 mg, 0.23 mmol, 1.0 equiv.) was dissolved in MeOH (2.5 mL), pyridinium p-toluenesulfonate (23 mg, 0.09 mmol 0.4 equiv.) was added and the mixture stirred for 24 h. After evaporation under reduced pressure, chromatography (25–100% EA in PE) gave the diol 9 (65 mg, 0.16 mmol) in 71% yield as a pale-yellow solid. [α]D16 +7.2 (c = 0.5, CHCl3); Mp 123–125 °C; Rf 0.46 (10% ME in EA); δH 9.48 (1H, s, CH), 8.80 (1H, s, CH) 8.51 (1H, br t, J 6.5 Hz, NH, 8.36 (1H, d, J 8.5 Hz, CH), 8.12 (1H, d, J 7.7 Hz, CH), 7.65 (1H, ddd, J 1.2, 7.3, 8.5 Hz, CH), 7.46 (1H, dt, J 1.2,7.3 Hz, 1H), 3.99–4.08, (1H, m, CH), 3.77–3.83 (1H, m, CH), 3.65 (1H, dd, J 11.2, 3.2 Hz, 1H), 3.54 (1H, dd, J 11.2, 7.5 Hz, 1H), 3.41–3.49 (1H, m, CH), 1.79 (11H, s, 3 × Me, 2 × OH), 1.67–1.74 (2H, m, CH2); δC 166.3, 150.2, 143.0, 139.6, 136.6, 136.4, 133.0, 130.3, 124.1, 123.8, 121.6, 116.7, 113.8, 85.5, 69.1, 66.7, 36.1, 33.6, 28.4; νmax 3413, 3302, 2942, 1732, 1666, 1619, 1562, 1527, 1491, 1454, 1414, 1395, 1370, 1354, 1325, 1276, 1248, 1219, 1202, 1152, 1119, 1082, 1064, 1032, 1018, 986; MS (ESI) m/z 400.2 (100% [M + H]+); HMRS (ESI) found 400.1865, C21H26N3O5+ ([M + H]+) requires 400.1867.
4.4. (9. H-Fluoren-9-yl)methyl tert-butyl (4-hydroxybutane-1,3-diyl)-(R)-dicarbamate 13
Ethyl chloroformate (0.50 mL, 497 mg, 5.22 mmol, 1.1 equiv.) was added to a cooled (−5° C) and stirred solution of Fmoc-D-Dab(Boc)-OH 12 (2.09 g, 4.74 mmol, 1.0 equiv.) and triethylamine (0.73 mL, 730 mg, 5.22 mmol, 1.0 equiv.) in dry THF (20 mL). The reaction was stirred at −10 to −5 °C for 30 min and the precipitated triethylamine hydrochloride was removed by filtration and the filter pad washed with dry THF (10 mL). The combined filtrates were cooled (−5 °C) and added in a dropwise fashion to a cooled (−5 °C) solution of sodium borohydride (538 mg, 14.2 mmol, 3.0 equiv.) in a mixture of water and THF (10 mL, 1:1). The reaction mixture was stirred at this temperature for 2.5 h and then allowed to warm to rt overnight. The solvent was evaporated under vacuum, the residue diluted with water (100 mL) then extracted with ethyl acetate (3 × 100 mL). The combined organic extracts were washed with citric acid (100 mL, aq., 10% w/v), NaHCO3 (100 mL, aq. 5% w/v), brine (100 mL, aq., sat.), water (100 mL) and then dried (MgSO4). After evaporation under reduced pressure, purification by column chromatography (gradient elution, 0–90% EA in PE) gave 13 (1.74 g, 4.08 mmol) as a white solid in 86% yield [11]. Rf 0.40 (EA); [α]D22 +36.0 (CH3Cl, c 1.6); Mp 99–101 °C; δH δ 7.76 (2H, d, J 7.5 Hz, 2 × CH), 7.60 (2H, d, J 7.3 Hz, 2 × CH), 7.40 (2H, app. t, J 7.4 Hz, 2 × CH), 7.31 (2H, app. t, J 7.4 Hz, 2 × CH), 5.61 (1H, br s, NH), 5.26 (1H, br s, NH), 4.46 (1H, dd, J 6.9, 10.0 Hz, CH), 4.38 (1H, dd, J 3.4, 10.0 Hz, CH), 4.15–26 (1H, m, CH), 3.55–3.80 (3H, m, CH and CH2), 3.18–3.52 (2H, m, CH2), 2.85–3.00 (1H, m, CH), 1.55–1.79 (2H, m, CH2), 1.46 (s, 9H) ppm; δC 157.0, 156.4, 143.9, 141.4, 127.8, 127.1, 125.1, 120.0, 79.5, 66.6, 64.8, 50.5, 47.3, 37.2, 32.0, 28.5 ppm; νmax 3346, 3031, 2973, 1682, 1524, 1477, 1448, 1167 cm−1; MS (ESI) m/z 427.2 (40%, [M + H]+), 327.2 (100%, [M + H-Boc]+); HRMS (ESI) m/z C24H31N2O5 [M + H]+), requires 427.2227, found 427.2227.
4.5. Tert-Butyl (R)-(4-hydroxy-3-(bis-tert-butyl-guanidine)butyl)carbamate 16
Alcohol 13 (1.74 g, 4.08 mmol, 1.0 equiv.) was dissolved in 20% piperidine in chloroform (v/v, 40 mL) and stirred. After 2 h TLC (100% EA) indicated the reaction was complete and the solvent was evaporated under high vacuum. The resulting white solid was triturated with hexane (2 × 50 mL) to remove Fmoc by-products. After drying, the resulting crude amine 14 and compound 15 (1.90 g, 6.12 mmol, 1.5 equiv.) were dissolved in dry methanol (20 mL) and NEt3 (1.7 mL, 1.24 g, 12.2 mmol, 3.0 equiv.) was added. After stirring for 48 h, the solvent was removed under reduced pressure and the crude product purified by column chromatography (30–40% EA in PE) to give 16 (1.72 g, 3.85 mmol) as a white solid (recrystallised from Et2O/hexane) in 94% yield. Mp 148 °C; Rf 0.13 (30% EA in PE); [α]D23 +72 (CH3Cl, c = 1.2); δH 11.35 (1H, s, NH), 8.59 (1H, d, J 7.7 Hz, NH), 5.83–5.92 (1H, m, NH), 4.11–4.24 (1H, m, CH), 3.97 (1H, br s, OH) 3.68 (1H, dd, J 11.0, 3.3 Hz, CH), 3.58 (1H, dd, J 11.0, 4.5 Hz, CH), 3.32–3.46 (1H, m, CH), 2.75–2.91 (1H, m, CH), 1.56–1.76 (2H, m, CH2), 1.44 (9H, s, CH3), 1.42 (9H, s, CH3), 1.38 (9H, s, CH3); δC 162.7, 156.6, 156.4, 152.9, 83.5, 79.5, 78.9, 65.2, 50.1, 36.9, 32.4, 28.5, 28.3, 28.1; νmax 3297, 3273, 3969, 2906, 1718, 1655, 1607, 1543, 1413, 1392, 1367, 1353, 1324, 1305, 1273, 1249, 1235, 1150, 1121, 1072, 1048, 1039, 806, 778, 700; MS (ESI) m/z 447.3 (100%, [M + H]+); HRMS (ESI) C20H39N4O7 requires 447.2813 found 447.2812.
4.6. Tert-Butyl (R)-4-(2-((tert-butoxycarbonyl)amino)ethyl)-2-((tertbutoxycarbonyl)imino)imidazolidine-1-carboxylate 17
Guanidine 16 (740 mg, 1.66 mmol, 1.0 equiv.) was dissolved in dichloromethane (15 mL) and cooled (−40 °C) whereupon dppe (990 mg, 2.49 mmol, 1.5 equiv.) was added in one portion and the mixture stirred until complete dissolution was achieved. Imidazole (395 mg, 5.80 mmol, 3.5 equiv.) and iodine (631 mg, 2.50 mmol, 1.5 equiv.) were then added sequentially and the resultant mixture stirred for 3 h with cooling (−40 to −20 °C). Chloroform (50 mL) was then added, followed by ammonium chloride solution (aq., sat., 100 mL). After warming to rt, the organic layer was separated, and the aqueous layer extracted with chloroform (2 × 20 mL). The combined extracts were washed with water (50 mL) and brine (50 mL) then dried (MgSO4), filtered and concentrated under reduced pressure. The resulting residue was dissolved in a minimum volume of dichloromethane (4–5 mL) and then diethyl ether was added to precipitate any DPPE by-products. The supernatant liquid was removed by filtration and after evaporation this process of precipitation was repeated twice. This gave 17 (555 mg, contaminated with dppe byproducts) as a sticky white gum which was used in the next step without further purification. [α]D24 + 22.5 (CHCl3, c = 1.0); δH 5.25–5.21 (1H, br s, NH) 4.02–4.18 (1H, m, CH), 3.85–3.96 (1H, m, CH), 3.17–3.45 (3H, m, CH, CH2), 1.70–1.87 (2H, m, CH2), 1.51 (9H, s, CH3), 1.49 (9H, s, CH3), 1.43 (9H, s, CH3) guanidine NH not detected; δC 156.4, 154.5, 152.9, 151.3, 83.9, 81.7, 79.2, 50.4, 48.4, 37.7, 36.5, 28.5, 28.2, 28.2; νmax 3328, 2906, 2923, 2844, 1697, 1511, 1391, 1366, 1304, 1248, 1140, 1042, 1007, 773, 729; MS (ESI) m/z 429.3 (100%, [M + H]+); HRMS (ESI) C20H37N4O6 ([M + H]+) requires 429.2708 found 429.2707.
4.7. (R)-2-(2-Iminoimidazolidin-4-yl)ethan-1-amine Dihydrochloride
Hydrochloric acid solution (5.0 mL, aq, 3M) was added to a cooled (0 °C) flask containing guanidine 17 (488.0 mg) and the mixture stirred to rt over 48 h. The mixture was passed through a short Celite© pad in a pipette to remove dppe derived impurities and the pad washed with water (ca. 2–3 mL). The filtrate was freeze dried to give crude (R)-5 (259 mg) as a hygroscopic off-white solid which was used in next step without any further purification. [α]D24 + 24 (H2O, c = 2.0); δH (D2O) 4.15–4.22 (1H, m, CH), 3.86 (1H, app t, J 9.9 Hz, CH), 3.43 (1H, dd, 6.4, 9.9 Hz, CH), 3.02–3.15 (2H, m, CH2), 1.99–2.05 (1H, m, CH2); δC (D2O) 159.4, 52.6, 47.6, 35.7, 31.8; MS (ESI) m/z 129.1 (100%, [M + H]+); HRMS (ESI) C5H13N4 requires 129.1135, found 129.1135.
4.8. (+)-(R)-Tiruchanduramine 1
Carboxylic acid 2 (257 mg, 1.22 mmol, 1.03 equiv.) was suspended in anhydrous DMF (7 mL) and CDI (258 mg, 1.72 mmol, 1.45 equiv.) was added and the mixture stirred for 30 min. This solution was then transferred via syringe to a cooled (0 °C) mixture of crude (R)-5 (238 mg, 1.18 mmol) and triethylamine (0.35 g, 0.5 mL, 3.5 mmol, 3.0 equiv.) in DMF (8 mL). After stirring for 24 h, the mixture was freeze dried to give a crude product (0.75 g). This compound was purified by column chromatography (0–20% MeOH in CHCl3). The fractions containing 1 were combined and dissolved in MeOH (ca 5–10 mL) containing a drop of concentrated HCl and filtered through a plug of cotton wool. After evaporation the resulting solid (155 mg) was repeated purified by column chromatography (4–8% MeOH in CHCl3; top/tail method) to give (R)-1·HCl (86 mg, 0.24 mmol, 18% yield over three steps, ca. 90–95% pure) as an off white solid. Rf 0.11 (20% MeOH in CHCl3); [α]D24 + 27 (MeOH, c = 1.0, lit.2 [α]D + 31 (MeOH, c = 0.5)); Mp 183–185 °C. A sample (20 mg, 8 × 2.5 mg injections) was purified by reverse-phase HPLC using a Luna 100A C18 column (5 µm 250 × 10 mm, Phenomenex). Over 50 min a gradient elution was performed with initial conditions of 98% Solvent A (MQ water, 0.1% formic acid) 2% Solvent B (MeOH 0.1% formic acid) which was held for 1 min. A gradient to 95% solvent B was performed over 35 min, which was held for 5 min before returning to initial conditions over the next 5 min which were then held for a further 5 min to equilibrate the column prior to the next injection. (+)-(R)-Tiruchanduramine 1·HCO2H (10 mg) eluted at 27 min as a cream colored wax [α]D22 + 27 (MeOH, c = 0.2, lit. [2] [α]D + 31 ((c = 0.5, MeOH)); Spectroscopic data was in agreement with the literature data [2].
Data for 1·HCO2H: δH (D6-DMSO) 1.82 (2H, apparent q, J 6.6 Hz, CH2), 3.25 (1H, dd, J 7.0, 9.4 Hz, CH), 3.35–3.51 (2H, m, CH2), 3.72 (1H, apparent t, J 9.4 Hz, CH), 3.92–3.99 (1H, m, CH), 7.30 (1H, t, J 7.4 Hz, CH), 7.60 (1H, t, J 7.6 Hz, CH), 7.66 (1H, d, J 8.2 Hz, CH), 8.33 (2H, br s, NH, CH), 8.37 (2H, br s, 2 × NH), 8.38 (1H, d, J 7.9 Hz, CH) 8.83 (1H, br s, CH), 8.90 (1H, t, J 6.2 Hz, NH), 8.89 (1H, br s, CH), 8.98 (1H, br t, J 6.2 Hz, NH), 12.05 (1H, br s, NH); δC (D6-DMSO) 35.1, 35.4, 47.9, 53.0, 112.3, 114.0, 120.0, 121.0, 122.2, 128.2, 128.6, 132.3, 137.2, 139.6, 141.1, 159.9, 165.1 165.5 (formate CH); MS (ESI) m/z 323.2 (100,% [M + H]+) HRMS (ESI) found 323.1612, C17H19N6O ([M+H]+) requires 323.1615.
4.9. Method for Determining Glycosidase Activity
Yeast α-glucosidase and almond β-glucosidase and the corresponding p-nitrophenyl-substrates were purchased from Sigma and assays were conducted as described previously [14,15]. Compounds were dissolved in water for inclusion in the assays.
Supplementary Materials
The following are available online, Additional experimental details for the preparation of compound (S)-3 and spectroscopic data (1H NMR, COSY, 13C NMR (DEPTQ) and HSQC for compounds 7, 8, 9, 14, 16, 17, (+)-(R)-Tiruchanduramine 1·HCl. and (+)-(R)-Tiruchanduramine 1·HCO2H.
Author Contributions
Conceptualization, P.J.M.; methodology, P.J.M.; formal analysis, P.J.M., Z.S.A.-T., C.C. and R.J.N.; investigation, P.J.M., Z.S.A.-T., C.C., B.B., R.T.F., R.J.N., Y.B.P., R.K. and A.v.T. resources, P.J.M., R.J.N. and R.K.; writing—original draft preparation, P.J.M., Z.S.A.-T.; writing—review and editing, P.J.M., Z.S.A.-T., C.C. and R.J.N.; supervision, P.J.M., C.C., R.G.K. and R.J.N.; project administration, P.J.M.; funding acquisition, P.J.M., C.C. and R.G.K. All authors have read and agreed to the published version of the manuscript.
Funding
P.J.M. was funded by Bangor University, Z.S.A.-T. by the Iraqi government, C.C. and R.G.K. acknowledge support by NSERC, the Atlantic Canada Opportunities Agency and the Canada Foundation for Innovation, and R.K. acknowledges support by the European Regional Development Fund (ERDF).
Institutional Review Board Statement
Not applicable.
Informed Consent Statement
Not applicable.
Data Availability Statement
Not applicable.
Acknowledgments
The authors would like to thank the Iraqi government (Z.S.A.-T.), and NSERC, the Atlantic Canada Opportunities Agency and the Canada Foundation for Innovation (C.C./R.G.K.) for funding. We acknowledge the support of the Centre for Environmental Biotechnology Project part-funded by the European Regional Development Fund (ERDF) through the Welsh Government and the EPSRC National Mass Spectrometry Facility at Swansea. We also thank D.M., Evans for his valuable work and support throughout this project.
Conflicts of Interest
The authors declare no conflict of interest.
References
- Buck, M.L.; Evans, D.M.; Evans, V.A.; Herkt, D.; Sharp, H.; Hollinshead, J.; Mitschang, F.; Murphy, P.J.; Nash, R.J.; Wenbourne, J. A synthesis of tiruchanduramine and a reinvestigation of its glycosidase inhibitory activity. J. Tetrahedron 2017, 73, 4545–4548. [Google Scholar] [CrossRef]
- Ravinder, K.; Reddy, A.V.; Krishnaiah, P.; Ramesh, P.; Ramakrishna, S.; Laatsch, H.; Venkateswarlu, Y. Isolation and Synthesis of a Novel β-Carboline Guanidine Derivative Tiruchanduramine from the Indian Ascidian Synoicum macroglossum. Tetrahedron Lett. 2005, 46, 5475–5478. [Google Scholar] [CrossRef]
- Dwek, R.A. Glycobiology: “Towards understanding the function of sugars”. Biochem. Soc. Trans. 1995, 23, 1–25. [Google Scholar] [CrossRef] [PubMed]
- Nash, R.J.; Kato, A.; Yu, C.-Y.; Fleet, G.W.J. Iminosugars as therapeutic agents: Recent advances and promising trends. Future Med. Chem. 2011, 3, 1513–1521. [Google Scholar] [CrossRef] [PubMed]
- Yee, H.S.; Fong, N.T. A review of the safety and efficacy of acarbose in diabetes mellitus. Pharmacotherapy 1996, 16, 792–805. [Google Scholar] [PubMed]
- Alssema, M.; Ruijgrok, C.; Blaak, E.E.; Egli, L.; Dussort, P.; Vinoy, S.; Dekker, J.M.; Robertson, M.D. Effects of alpha-glucosidase-inhibiting drugs on acute postprandial glucose and insulin responses: A systematic review and meta-analysis. Nutr. Diabetes 2021, 11, 11. [Google Scholar] [CrossRef] [PubMed]
- Lippke, K.P.; Schunack, W.G.; Wenning, W.; Müller, W.E. β -Carbolines as benzodiazepine receptor ligands. 1. Synthesis and benzodiazepine receptor interaction of esters of β-carboline-3-carboxylic acid. J. Med. Chem. 1983, 26, 499–503. [Google Scholar] [CrossRef] [PubMed]
- Gaunt, M.J.; Jessiman, A.S.; Orsini, P.; Tanner, H.R.; Hook, D.F.; Ley, S.V. Synthesis of the C-1−C-28 ABCD Unit of Spongistatin 1. Org. Lett. 2003, 5, 4819–4822. [Google Scholar] [CrossRef] [PubMed]
- Taber, D.F.; Deker, P.B.; Fales, H.M.; Jones, T.H.; Lloyd, H.A. Enantioselective construction of heterocycles: Synthesis of (R,R)-solenopsin B. J. Org. Chem. 1988, 53, 2968–2971. [Google Scholar] [CrossRef]
- Evans, D.M.; Hughes, J.; Jones, L.F.; Murphy, P.J.; Falfushynska, H.; Horyn, O.; Sokolova, I.M.; Christensen, J.; Coles, S.J.; Rzymski, P. Elucidating cylindrospermopsin toxicity via synthetic analogues: An in vitro approach. Chemosphere 2019, 234, 139–147. [Google Scholar] [CrossRef] [PubMed]
- Tomperi, J.; Salo, H.; Kallatsa, O.; Knuuttila, P.; Laakso, P.; Hoeglund, I.; Hoffren, A.-M.; Kokko, K.; Saarenketo, P.; Engstroem, M.; et al. Peptidomimetics selective for the somatostatin receptor subtypes 1 and/or 4. Patent WO2006123020A1, 23 November 2006. [Google Scholar]
- Oki, T.; Matsui, T.; Osajima, Y. Inhibitory effect of alpha-glucosidase inhibitors varies according to its origin. J. Agric. Food Chem. 1999, 47, 550–553. [Google Scholar] [CrossRef] [PubMed]
- Kim, J.-S.; Kwon, C.-S.; Son, K.H. Inhibition of alpha-glucosidase and amylase by luteolin, a flavonoid. Biosci. Biotechnol. Biochem. 2000, 64, 2458–2461. [Google Scholar] [CrossRef] [PubMed]
- Ashworth, Z.J.R.; Bartholomew, B.; Evans, D.M.; Forde-Thomas, J.; Hoffmann, K.F.; Murdoch, R.; Nash, R.J.; Sharp, H.; Whiteland, H.; Murphy, P.J. The Synthesis and Glycosidase Inhibitory Activity of Analogues of Tiruchanduramine. Heterocycles 2020, 100, 609–621. [Google Scholar]
- Watson, A.A.; Nash, R.J.; Wormald, M.R.; Harvey, D.J.; Dealler, S.; Lees, E.; Asano, N.; Kizu, H.; Kato, A.; Griffiths, R.C.; et al. Glycosidase-inhibiting pyrrolidine alkaloids from Hyacinthoides non-scripta. Phytochemistry 1997, 46, 255–259. [Google Scholar] [CrossRef]
Publisher’s Note: MDPI stays neutral with regard to jurisdictional claims in published maps and institutional affiliations. |
© 2022 by the authors. Licensee MDPI, Basel, Switzerland. This article is an open access article distributed under the terms and conditions of the Creative Commons Attribution (CC BY) license (https://creativecommons.org/licenses/by/4.0/).




