Bioprospecting of Microalgae Isolated from the Adriatic Sea: Characterization of Biomass, Pigment, Lipid and Fatty Acid Composition, and Antioxidant and Antimicrobial Activity
Abstract
1. Introduction
2. Results and Discussion
2.1. Microalgae Growth
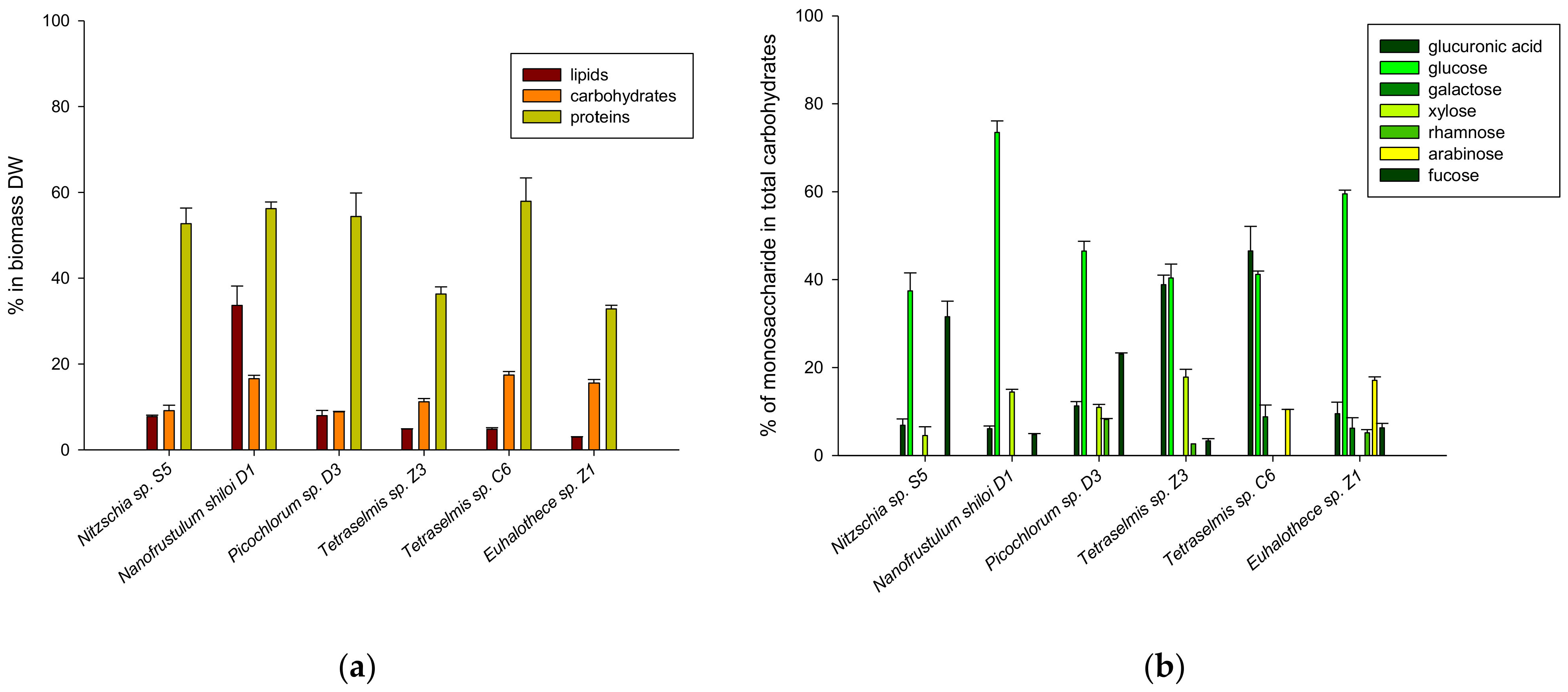
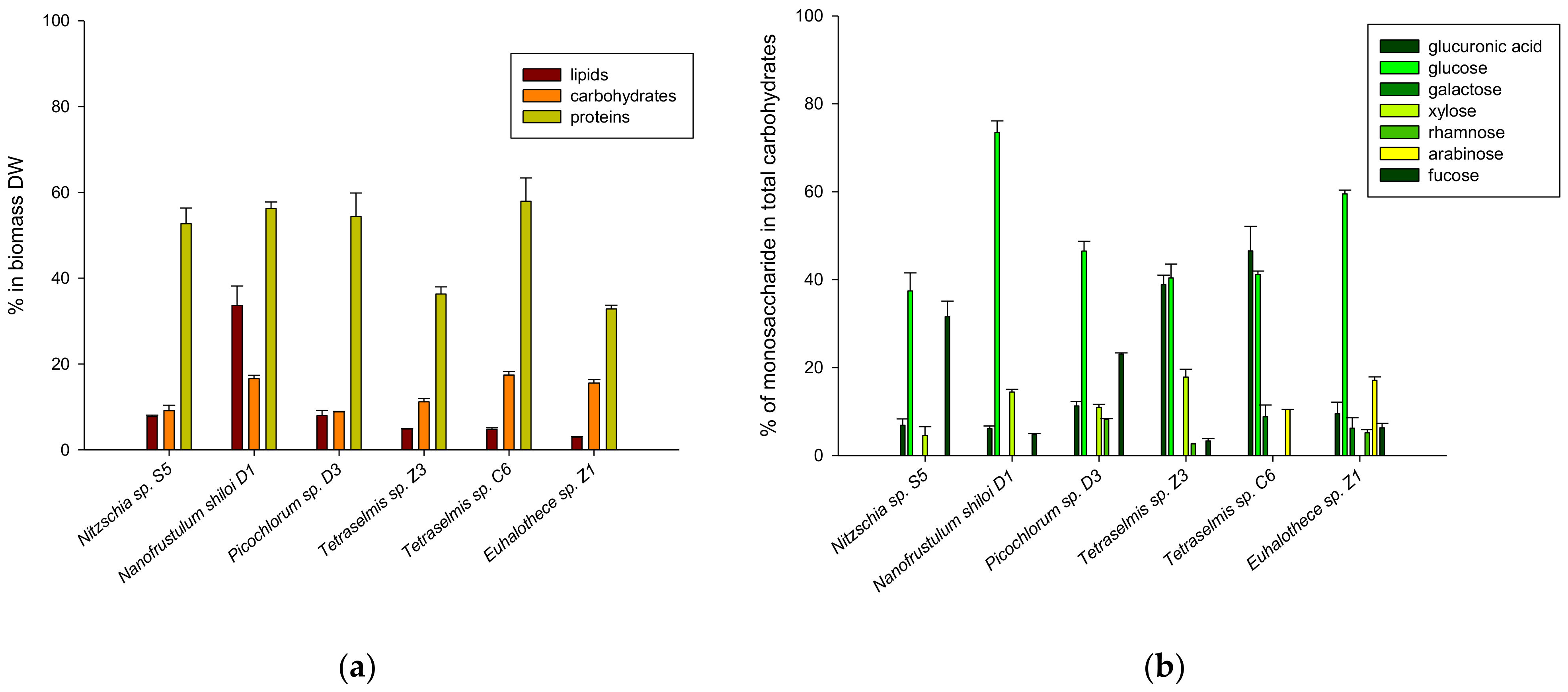
2.2. Biomass Composition
2.3. Fatty Acid Composition
2.4. Lipid Class Composition
2.5. Pigment Content and Composition
2.6. Content of Total Phenol and Flavonoids and Antioxidant Activity
2.7. Antimicrobial Activity of Microalgae Extracts
3. Materials and Methods
3.1. Microalgal Strains
3.2. Microalgae Cultivation
3.3. Characterization of Microalgal Strains
3.3.1. Growth Kinetics
3.3.2. Analysis of Biomass Composition
Lipid Content and Fatty Acid Composition
Lipid Classes Analysis
Carbohydrate Composition
Total Protein Content
Pigment Analysis
Total Flavonoid Content
Total Phenol Content
3.4. Antioxidant Scavenging Activity
3.4.1. Preparation of Microalgal Extracts
3.4.2. The ABTS Radical Scavenging Assay
3.4.3. The DPPH Free Radical Scavenging Assay
3.4.4. Preparation of Extracts for Antimicrobial Assay
3.4.5. Disk Diffusion Antimicrobial Assay
4. Conclusions
Supplementary Materials
Author Contributions
Funding
Institutional Review Board Statement
Informed Consent Statement
Data Availability Statement
Acknowledgments
Conflicts of Interest
References
- Kiuru, P.; D’auria, M.V.; Muller, C.D.; Tammela, P.; Vuorela, H.; Yli-Kauhaluoma, J. Exploring Marine Resources for Bioactive Compounds. Planta Med. 2014, 80, 1234–1246. [Google Scholar] [CrossRef] [PubMed]
- De Vera, C.R.; Crespín, G.D.; Daranas, A.H.; Looga, S.M.; Lillsunde, K.-E.; Tammela, P.; Perälä, M.; Hongisto, V.; Virtanen, J.; Rischer, H.; et al. Marine Microalgae: Promising Source for New Bioactive Compounds. Mar. Drugs 2018, 16, 317. [Google Scholar] [CrossRef] [PubMed]
- UNEP; MAP-RAC; SPA. Cerrano Adriatic Sea: Description of the Ecology and Identification of the Areas That May Deserve to be Protected; RAC/SPA: Tunis, Tunisia, 2015. [Google Scholar]
- Heimann, K.; Huerlimann, R. Microalgal Classification. In Handbook of Marine Microalgae; Academic Press: Cambridge, MA, USA, 2015; pp. 25–41. [Google Scholar] [CrossRef]
- Singh, S.; Kate, B.N.; Banerjee, U.C. Bioactive Compounds from Cyanobacteria and Microalgae: An Overview. Crit. Rev. Biotechnol. 2005, 25, 73–95. [Google Scholar] [CrossRef] [PubMed]
- Wijffels, R.H. Potential of sponges and microalgae for marine biotechnology. Trends Biotechnol. 2008, 26, 26–31. [Google Scholar] [CrossRef]
- Assunção, M.F.G.; Amaral, R.; Martins, C.B.; Ferreira, J.D.; da Ressurreição, S.; Santos, S.D.; Varejão, J.; Santos, L.M.A. Screening microalgae as potential sources of antioxidants. J. Appl. Phycol. 2016, 29, 865–877. [Google Scholar] [CrossRef]
- Mourelle, M.L.; Gómez, C.P.; Legido, J.L. The Potential Use of Marine Microalgae and Cyanobacteria in Cosmetics and Thalassotherapy. Cosmetics 2017, 4, 46. [Google Scholar] [CrossRef]
- Jha, D.; Jain, V.; Sharma, B.; Kant, A.; Garlapati, V.K. Microalgae-based Pharmaceuticals and Nutraceuticals: An Emerging Field with Immense Market Potential. ChemBioEng Rev. 2017, 4, 257–272. [Google Scholar] [CrossRef]
- Caporgno, M.P.; Mathys, A. Trends in Microalgae Incorporation Into Innovative Food Products With Potential Health Benefits. Front. Nutr. 2018, 5, 58. [Google Scholar] [CrossRef]
- Ferreira, A.; Guerra, I.; Costa, M.; Silva, J.; Gouveia, L. Future perspectives of microalgae in the food industry. In Cultured Microalgae for the Food Industry; Elsevier: Amsterdam, The Netherlands, 2021; ISBN 9780128210802. [Google Scholar]
- Khan, M.I.; Shin, J.H.; Kim, J.D.; Khan, M.I.; Shin, J.H.; Kim, J.D. The promising future of microalgae: Current status, challenges, and optimization of a sustainable and renewable industry for biofuels, feed, and other products. Microb. Cell Factories 2018, 17, 36. [Google Scholar] [CrossRef]
- Milano, J.; Ong, H.C.; Masjuki, H.; Chong, W.T.; Lam, M.K.; Loh, P.K.; Vellayan, V. Microalgae biofuels as an alternative to fossil fuel for power generation. Renew. Sustain. Energy Rev. 2016, 58, 180–197. [Google Scholar] [CrossRef]
- Chisti, Y. Biodiesel from Microalgae. Biotechnol. Adv. 2007, 25, 294–306. [Google Scholar] [CrossRef] [PubMed]
- Chisti, Y. Constraints to commercialization of algal fuels. J. Biotechnol. 2013, 167, 201–214. [Google Scholar] [CrossRef] [PubMed]
- Merlo, S.; Durany, X.G.; Tonon, A.P.; Rossi, S. Marine Microalgae Contribution to Sustainable Development. Water 2021, 13, 1373. [Google Scholar] [CrossRef]
- Raposo, M.F.; De Morais, R.M.S.C.; De Morais, A.M.M.B. Bioactivity and Applications of Sulphated Polysaccharides from Marine Microalgae. Mar. Drugs 2013, 11, 233–252. [Google Scholar] [CrossRef]
- Peltomaa, E.; Hällfors, H.; Taipale, S.J. Comparison of Diatoms and Dinoflagellates from Different Habitats as Sources of PUFAs. Mar. Drugs 2019, 17, 233. [Google Scholar] [CrossRef]
- Peng, J.; Yuan, J.-P.; Wu, C.-F.; Wang, J.-H. Fucoxanthin, a Marine Carotenoid Present in Brown Seaweeds and Diatoms: Metabolism and Bioactivities Relevant to Human Health. Mar. Drugs 2011, 9, 1806–1828. [Google Scholar] [CrossRef]
- Borowitzka, M.A. High-value products from microalgae—Their development and commercialisation. J. Appl. Phycol. 2013, 25, 743–756. [Google Scholar] [CrossRef]
- Spolaore, P.; Joannis-Cassan, C.; Duran, E.; Isambert, A. Commercial applications of microalgae. J. Biosci. Bioeng. 2006, 101, 87–96. [Google Scholar] [CrossRef]
- Haoujar, I.; Senhaji, N.S.; Cacciola, F.; Chairi, H.; Manchado, M.; Abrini, J.; Haoujar, M.; Chebbaki, K.; Oteri, M.; Rigano, F.; et al. Isolation of Microalgae from Mediterranean Seawater and Production of Lipids in the Cultivated Species. Foods 2020, 9, 1601. [Google Scholar] [CrossRef]
- Yi, Z.; Xu, M.; Di, X.; Brynjolfsson, S.; Fu, W. Exploring Valuable Lipids in Diatoms. Front. Mar. Sci. 2017, 4, 17. [Google Scholar] [CrossRef]
- Nuzzo, G.; Gallo, C.; D’Ippolito, G.; Cutignano, A.; Sardo, A.D.S.; Fontana, A. Composition and Quantitation of Microalgal Lipids by ERETIC 1H NMR Method. Mar. Drugs 2013, 11, 3742–3753. [Google Scholar] [CrossRef] [PubMed]
- Dammak, M.; Haase, S.M.; Miladi, R.; Ben Amor, F.; Barkallah, M.; Gosset, D.; Pichon, C.; Huchzermeyer, B.; Fendri, I.; Denis, M.; et al. Enhanced lipid and biomass production by a newly isolated and identified marine microalga. Lipids Health Dis. 2016, 15, 209. [Google Scholar] [CrossRef] [PubMed]
- Barbarino, E.; Lourenço, S.O. An evaluation of methods for extraction and quantification of protein from marine macro- and microalgae. J. Appl. Phycol. 2005, 17, 447–460. [Google Scholar] [CrossRef]
- Guerrero, J.L.G.; Navarro-Juárez, R.; López-Martínez, J.; Campra-Madrid, P.; Rebolloso-Fuentes, M. Functional properties of the biomass of three microalgal species. J. Food Eng. 2004, 65, 511–517. [Google Scholar] [CrossRef]
- Pereira, H.; Silva, J.; Santos, T.; Gangadhar, K.N.; Raposo, A.; Nunes, C.; Coimbra, M.A.; Gouveia, L.; Barreira, L.; Varela, J. Nutritional Potential and Toxicological Evaluation of Tetraselmis sp. CTP4 Microalgal Biomass Produced in Industrial Photobioreactors. Molecules 2019, 24, 3192. [Google Scholar] [CrossRef]
- Priyadarshani, I.; Rath, B. Commercial and Industrial Applications of Micro Algae—A Review. J. Algal Biomass Util. 2012, 3, 89–100. [Google Scholar]
- Haoujar, I.; Cacciola, F.; Abrini, J.; Mangraviti, D.; Giuffrida, D.; El Majdoub, Y.O.; Kounnoun, A.; Miceli, N.; Taviano, M.F.; Mondello, L.; et al. The Contribution of Carotenoids, Phenolic Compounds, and Flavonoids to the Antioxidative Properties of Marine Microalgae Isolated from Mediterranean Morocco. Molecules 2019, 24, 4037. [Google Scholar] [CrossRef]
- Almendinger, M.; Saalfrank, F.; Rohn, S.; Kurth, E.; Springer, M.; Pleissner, D. Characterization of selected microalgae and cyanobacteria as sources of compounds with antioxidant capacity. Algal Res. 2021, 53, 102168. [Google Scholar] [CrossRef]
- Goiris, K.; Muylaert, K.; Fraeye, I.; Foubert, I.; De Brabanter, J.; De Cooman, L. Antioxidant potential of microalgae in relation to their phenolic and carotenoid content. J. Appl. Phycol. 2012, 24, 1477–1486. [Google Scholar] [CrossRef]
- Safafar, H.; Van Wagenen, J.M.; Møller, P.; Jacobsen, C. Carotenoids, Phenolic Compounds and Tocopherols Contribute to the Antioxidative Properties of Some Microalgae Species Grown on Industrial Wastewater. Mar. Drugs 2015, 13, 7339–7356. [Google Scholar] [CrossRef]
- Lauritano, C.; Andersen, J.H.; Hansen, E.; Albrigtsen, M.; Escalera, L.; Esposito, F.; Helland, K.; Hanssen, K.Ø.; Romano, G.; Ianora, A. Bioactivity Screening of Microalgae for Antioxidant, Anti-Inflammatory, Anticancer, Anti-Diabetes, and Antibacterial Activities. Front. Mar. Sci. 2016, 3, 68. [Google Scholar] [CrossRef]
- Ahmed, F.; Fanning, K.; Netzel, M.; Turner, W.; Li, Y.; Schenk, P.M. Profiling of carotenoids and antioxidant capacity of microalgae from subtropical coastal and brackish waters. Food Chem. 2014, 165, 300–306. [Google Scholar] [CrossRef] [PubMed]
- Pereira, H.; Custódio, L.; Rodrigues, M.J.; De Sousa, C.B.; Oliveira, M.; Barreira, L.; Neng, N.D.R.; Nogueira, J.M.F.; Alrokayan, S.A.; Mouffouk, F.; et al. Biological Activities and Chemical Composition of Methanolic Extracts of Selected Autochthonous Microalgae Strains from the Red Sea. Mar. Drugs 2015, 13, 3531–3549. [Google Scholar] [CrossRef] [PubMed]
- Li, H.-B.; Cheng, K.-W.; Wong, C.-C.; Fan, K.-W.; Chen, F.; Jiang, Y. Evaluation of antioxidant capacity and total phenolic content of different fractions of selected microalgae. Food Chem. 2007, 102, 771–776. [Google Scholar] [CrossRef]
- Müller, L.; Fröhlich, K.; Böhm, V. Comparative antioxidant activities of carotenoids measured by ferric reducing antioxidant power (FRAP), ABTS bleaching assay (αTEAC), DPPH assay and peroxyl radical scavenging assay. Food Chem. 2011, 129, 139–148. [Google Scholar] [CrossRef]
- Bhattacharjya, R.; Marella, T.K.; Tiwari, A.; Saxena, A.; Singh, P.K.; Mishra, B. Bioprospecting of marine diatoms Thalassiosira, Skeletonema and Chaetoceros for lipids and other value-added products. Bioresour. Technol. 2020, 318, 124073. [Google Scholar] [CrossRef]
- Salem, O.M.; Ghazi, S.M.; Hanna, S.N. Antimicrobial Activity of Microalgal Extracts with Special Emphasize on Nostoc sp. Biofuel Production from Algae and Plants View Project Production of Biofuel from Algae and Plants View Project Antimicrobial Activity of Microalgal Extracts with Special Emphasize on Nostoc sp. Life Sci. J. 2014, 11, 12. [Google Scholar]
- Pina-Pérez, M.C.; Rivas, A.; Martínez, A.; Rodrigo, D. Antimicrobial potential of macro and microalgae against pathogenic and spoilage microorganisms in food. Food Chem. 2017, 235, 34–44. [Google Scholar] [CrossRef]
- Isdepsky, A.; Borowitzka, M.A. In-pond strain selection of euryhaline Tetraselmis sp. strains for reliable long-term outdoor culture as potential sources of biofuel and other products. J. Appl. Phycol. 2019, 31, 3359–3370. [Google Scholar] [CrossRef]
- Weissman, J.C.; Likhogrud, M.; Thomas, D.C.; Fang, W.; Karns, D.A.; Chung, J.W.; Nielsen, R.; Posewitz, M.C. High-light selection produces a fast-growing Picochlorum celeri. Algal Res. 2018, 36, 17–28. [Google Scholar] [CrossRef]
- de la Vega, M.; Díaz, E.; Vila, M.; León, R. Isolation of a new strain of Picochlorum sp and characterization of its potential biotechnological applications. Biotechnol. Prog. 2011, 27, 1535–1543. [Google Scholar] [CrossRef] [PubMed]
- El-Kassas, H.Y. Growth and fatty acid profile of the marine microalga Picochlorum Sp. grown under nutrient stress conditions. Egypt. J. Aquat. Res. 2013, 39, 233–239. [Google Scholar] [CrossRef]
- Lu, X.; Sun, H.; Zhao, W.; Cheng, K.-W.; Chen, F.; Liu, B. A Hetero-Photoautotrophic Two-Stage Cultivation Process for Production of Fucoxanthin by the Marine Diatom Nitzschia laevis. Mar. Drugs 2018, 16, 219. [Google Scholar] [CrossRef] [PubMed]
- Sahin, M.S.; Khazi, M.I.; Demirel, Z.; Dalay, M.C. Variation in growth, fucoxanthin, fatty acids profile and lipid content of marine diatoms Nitzschia sp. and Nanofrustulum shiloi in response to nitrogen and iron. Biocatal. Agric. Biotechnol. 2019, 17, 390–398. [Google Scholar] [CrossRef]
- Lu, X.; Liu, B.; He, Y.; Guo, B.; Sun, H.; Chen, F. Novel insights into mixotrophic cultivation of Nitzschia laevis for co-production of fucoxanthin and eicosapentaenoic acid. Bioresour. Technol. 2019, 294, 122145. [Google Scholar] [CrossRef]
- Wen, Z.-Y.; Chen, F. Heterotrophic production of eicosapentaenoid acid by the diatom Nitzschia laevis: Effects of silicate and glucose. J. Ind. Microbiol. Biotechnol. 2000, 25, 218–224. [Google Scholar] [CrossRef]
- Chen, G.; Jiang, Y.; Chen, F. Salt-Induced Alterations in Lipid Composition of Diatomnitzschia Laevis(Bacillariophyceae) under Heterotrophic Culture Condition1. J. Phycol. 2008, 44, 1309–1314. [Google Scholar] [CrossRef]
- Kishi, M.; Tanaka, K.; Akizuki, S.; Toda, T. Development of a gas-permeable bag photobioreactor for energy-efficient oxygen removal from algal culture. Algal Res. 2021, 60, 102543. [Google Scholar] [CrossRef]
- Mikhodyuk, O.S.; Zavarzin, G.A.; Ivanovsky, R.N. Transport systems for carbonate in the extremely natronophilic cyanobacterium Euhalothece sp. Microbiology 2008, 77, 412–418. [Google Scholar] [CrossRef]
- Mogany, T.; Swalaha, F.M.; Allam, M.; Mtshali, P.S.; Ismail, A.; Kumari, S.; Bux, F. Phenotypic and genotypic characterisation of an unique indigenous hypersaline unicellular cyanobacterium, Euhalothece sp.nov. Microbiol. Res. 2018, 211, 47–56. [Google Scholar] [CrossRef]
- Demirel, Z.; Dalay, M.C. Author’s Accepted Manuscript and Iron Reference: To Appear in: Biocatalysis and Agricultural Biotechnology. Biocatal. Agric. Biotechnol. 2018. [Google Scholar] [CrossRef]
- Barten, R.J.; Wijffels, R.H.; Barbosa, M.J. Bioprospecting and characterization of temperature tolerant microalgae from Bonaire. Algal Res. 2020, 50, 102008. [Google Scholar] [CrossRef]
- Chu, W.-L.; Phang, S.-M.; Goh, S.-H. Environmental effects on growth and biochemical composition of, Nitzschia inconspicua Grunow. J. Appl. Phycol. 1996, 8, 389–396. [Google Scholar] [CrossRef]
- Yang, H.W.; Song, J.Y.; Cho, S.M.; Kwon, H.C.; Pan, C.-H.; Park, Y.-I. Genomic Survey of Salt Acclimation-Related Genes in the Halophilic Cyanobacterium. Sci. Rep. 2020, 10, 676. [Google Scholar] [CrossRef] [PubMed]
- Algal, M.; Tetraselmis, I. Biomass and Lipid Production Potential of an Indian Marine Algal Isolate Tetraselmis Striata BBRR1. Energies 2020, 13, 341. [Google Scholar]
- Ra, C.H.; Kang, C.-H.; Jung, J.-H.; Jeong, G.-T.; Kim, S.-K. Enhanced biomass production and lipid accumulation of Picochlorum atomus using light-emitting diodes (LEDs). Bioresour. Technol. 2016, 218, 1279–1283. [Google Scholar] [CrossRef]
- Duygu, D.Y. Determination of Growth Kinetics And Biochemical Composition of Nitzschia palea (Kützing) W. Smith Isolated from Freshwater Sources in Turkey. Trak. Univ. J. Nat. Sci. 2019, 20, 63–70. [Google Scholar] [CrossRef]
- Rodríguez-Núñez, K.; Toledo-Agüero, P. Fatty acids profile and nutritional composition of two tropical diatoms from the Costa Rican Pacific Coast. Grasas Aceites 2017, 68, 209. [Google Scholar] [CrossRef]
- Grossmann, L.; Hinrichs, J.; Weiss, J. Cultivation and downstream processing of microalgae and cyanobacteria to generate protein-based technofunctional food ingredients. Crit. Rev. Food Sci. Nutr. 2020, 60, 2961–2989. [Google Scholar] [CrossRef]
- López, C.V.G.; del Carmen Cerón García, M.; Fernandez, F.G.A.; Bustos, C.S.; Chisti, Y.; Sevilla, J.M.F. Protein measurements of microalgal and cyanobacterial biomass. Bioresour. Technol. 2010, 101, 7587–7591. [Google Scholar] [CrossRef]
- Niccolai, A.; Zittelli, G.C.; Rodolfi, L.; Biondi, N.; Tredici, M.R. Microalgae of interest as food source: Biochemical composition and digestibility. Algal Res. 2019, 42, 101617. [Google Scholar] [CrossRef]
- Kassim, M.A.; Kirtania, K.; De La Cruz, D.; Cura, N.; Srivatsa, S.C.; Bhattacharya, S. Thermogravimetric analysis and kinetic characterization of lipid-extracted Tetraselmis suecica and Chlorella sp. Algal Res. 2014, 6, 39–45. [Google Scholar] [CrossRef]
- Vargas, M.A.; Moreno, J.; Olivares, H.; Del Campo, J.A.; Rodriguez, H.; Rivas, J.; Guerrero, M.G. Biochemical Composition and Fatty Acid Content of Filamentous Nitrogen-Fixing Cyanobacteria. J. Phycol. 1998, 34, 812–817. [Google Scholar] [CrossRef]
- Araújo, S.D.C.; Garcia, V.M.T. Growth and biochemical composition of the diatom Chaetoceros cf. wighamii brightwell under different temperature, salinity and carbon dioxide levels. I. Protein, carbohydrates and lipids. Aquaculture 2005, 246, 405–412. [Google Scholar] [CrossRef]
- Chu, W.-L.; Phang, S.-M.; Goh, S.-H. Studies on the production of useful chemicals, especially fatty acids in the marine diatom Nitzschia conspicua Grunow. Hydrobiology 1994, 285, 33–40. [Google Scholar] [CrossRef]
- D’Ippolito, G.; Sardo, A.; Paris, D.; Vella, F.M.; Adelfi, M.G.; Botte, P.; Gallo, C.; Fontana, A. Potential of lipid metabolism in marine diatoms for biofuel production. Biotechnol. Biofuels 2015, 8, 28. [Google Scholar] [CrossRef]
- Botte, P.; D’Ippolito, G.; Gallo, C.; Sardo, A.; Fontana, A. Combined exploitation of CO2 and nutrient replenishment for increasing biomass and lipid productivity of the marine diatoms Thalassiosira weissflogii and Cyclotella cryptica. J. Appl. Phycol. 2017, 30, 243–251. [Google Scholar] [CrossRef]
- Zhu, S.; Wang, Y.; Shang, C.; Wang, Z.; Xu, J.; Yuan, Z. Characterization of lipid and fatty acids composition of Chlorella zofingiensis in response to nitrogen starvation. J. Biosci. Bioeng. 2015, 120, 205–209. [Google Scholar] [CrossRef]
- Lovio-Fragoso, J.; de Jesús-Campos, D.; López-Elías, J.; Medina-Juárez, L.; Fimbres-Olivarría, D.; Hayano-Kanashiro, C. Biochemical and Molecular Aspects of Phosphorus Limitation in Diatoms and Their Relationship with Biomolecule Accumulation. Biology 2021, 10, 565. [Google Scholar] [CrossRef]
- Moll, K.; Gardner, R.; Eustance, E.; Gerlach, R.; Peyton, B. Combining multiple nutrient stresses and bicarbonate addition to promote lipid accumulation in the diatom RGd. Algal Res. 2014, 5, 7–15. [Google Scholar] [CrossRef][Green Version]
- Singh, P.; Guldhe, A.; Kumari, S.; Rawat, I.; Bux, F. Investigation of combined effect of nitrogen, phosphorus and iron on lipid productivity of microalgae Ankistrodesmus falcatus KJ671624 using response surface methodology. Biochem. Eng. J. 2015, 94, 22–29. [Google Scholar] [CrossRef]
- Gao, G.; Wu, M.; Fu, Q.; Li, X.; Xu, J. A two-stage model with nitrogen and silicon limitation enhances lipid productivity and biodiesel features of the marine bloom-forming diatom Skeletonema costatum. Bioresour. Technol. 2019, 289, 121717. [Google Scholar] [CrossRef] [PubMed]
- Bernaerts, T.; Gheysen, L.; Kyomugasho, C.; Kermani, Z.J.; Vandionant, S.; Foubert, I.; Hendrickx, M.E.; Van Loey, A.M. Comparison of microalgal biomasses as functional food ingredients: Focus on the composition of cell wall related polysaccharides. Algal Res. 2018, 32, 150–161. [Google Scholar] [CrossRef]
- Pignolet, O.; Jubeau, S.; Vaca-Garcia, C.; Michaud, P. Highly valuable microalgae: Biochemical and topological aspects. J. Ind. Microbiol. Biotechnol. 2013, 40, 781–796. [Google Scholar] [CrossRef]
- Debnath, C.; Bandyopadhyay, T.K.; Bhunia, B.; Mishra, U.; Narayanasamy, S.; Muthuraj, M. Microalgae: Sustainable resource of carbohydrates in third-generation biofuel production. Renew. Sustain. Energy Rev. 2021, 150, 111464. [Google Scholar] [CrossRef]
- Roy, S.; Pal, R. Microalgae in Aquaculture: A Review with Special References to Nutritional Value and Fish Dietetics. Proc. Zool. Soc. 2015, 68, 1–8. [Google Scholar] [CrossRef]
- Brown, M.R. The amino-acid and sugar composition of 16 species of microalgae used in mariculture. J. Exp. Mar. Biol. Ecol. 1991, 145, 79–99. [Google Scholar] [CrossRef]
- Volkman, J.K.; Brown, M.R.; Dunstan, G.A.; Jeffrey, S.W. The Biochemical Composition of Marine Mi-Croalgae from the Class Eustigmatophyceae. J. Phycol. 1993, 29, 69–78. [Google Scholar] [CrossRef]
- Jeffryes, C.; Rosenberger, J.; Rorrer, G.L. Fed-batch cultivation and bioprocess modeling of Cyclotella sp. for enhanced fatty acid production by controlled silicon limitation. Algal Res. 2013, 2, 16–27. [Google Scholar] [CrossRef]
- Gao, Y.; Yang, M.; Wang, C. Nutrient deprivation enhances lipid content in marine microalgae. Bioresour. Technol. 2013, 147, 484–491. [Google Scholar] [CrossRef]
- Viso, A.-C.; Marty, J.-C. Fatty Acids from 28 Marine Microalgae. Phytochemistry 1993, 34, 1521–1533. [Google Scholar] [CrossRef]
- Maltsev, Y.; Maltseva, K. Fatty acids of microalgae: Diversity and applications. Rev. Environ. Sci. BioTechnol. 2021, 20, 515–547. [Google Scholar] [CrossRef]
- Ghazala, B.; Shameel, M. Phytochemistry and Bioactivity of Some Freshwater Green Algae from Pakistan. Pharm. Biol. 2005, 43, 358–369. [Google Scholar] [CrossRef] [PubMed]
- Holman, R.T.; Johnson, S.B.; Kokment, E. Deficiencies of Polyunsaturated Fatty Acids and Replacement by Nones-sential Fatty Acids in Plasma Lipids in Multiple Sclerosis. Proc. Natl. Acad. Sci. USA 1989, 86, 4720–4724. [Google Scholar] [CrossRef]
- Vlaeminck, B.; Fievez, V.; Cabrita, A.R.J.; Fonseca, A.J.M.; Dewhurst, R.J. Factors affecting odd- and branched-chain fatty acids in milk: A review. Anim. Feed Sci. Technol. 2006, 131, 389–417. [Google Scholar] [CrossRef]
- Ying, L.; Kangsen, M.A.I. Effect of Growth Phase on the Fatty Acid Compositions of Four Species of Marine Diatoms. J. Ocean. Univ. China 2005, 4, 157–162. [Google Scholar]
- Anahas, A.M.P.; Muralitharan, G. Isolation and screening of heterocystous cyanobacterial strains for biodiesel production by evaluating the fuel properties from fatty acid methyl ester (FAME) profiles. Bioresour. Technol. 2015, 184, 9–17. [Google Scholar] [CrossRef]
- Nalley, J.O.; O’Donnell, D.R.; Litchman, E. Temperature effects on growth rates and fatty acid content in freshwater algae and cyanobacteria. Algal Res. 2018, 35, 500–507. [Google Scholar] [CrossRef]
- Li, H.-Y.; Lu, Y.; Zheng, J.-W.; Yang, W.-D.; Liu, J.-S. Biochemical and Genetic Engineering of Diatoms for Polyunsaturated Fatty Acid Biosynthesis. Mar. Drugs 2014, 12, 153–166. [Google Scholar] [CrossRef]
- Peramuna, A.; Summers, M.L. Composition and occurrence of lipid droplets in the cyanobacterium Nostoc punctiforme. Arch. Microbiol. 2014, 196, 881–890. [Google Scholar] [CrossRef]
- Pereira, H.; Barreira, L.; Custódio, L.; Alrokayan, S.; Mouffouk, F.; Varela, J.; Abu-Salah, K.M.; Ben-Hamadou, R. Isolation and Fatty Acid Profile of Selected Microalgae Strains from the Red Sea for Biofuel Production. Energies 2013, 6, 2773–2783. [Google Scholar] [CrossRef]
- Shah, S.M.U.; Abdullah, M.A. Effects of macro/micronutrients on green and brown microalgal cell growth and fatty acids in photobioreactor and open-tank systems. Biocatal. Agric. Biotechnol. 2018, 14, 10–17. [Google Scholar] [CrossRef]
- Fleith, M.; Clandinin, M.T. Dietary PUFA for Preterm and Term Infants: Review of Clinical Studies. Crit. Rev. Food Sci. Nutr. 2005, 45, 205–229. [Google Scholar] [CrossRef] [PubMed]
- Barclay, W.R.; Meager, K.M.; Abril, J.R. Heterotrophic production of long chain omega-3 fatty acids utilizing algae and algae-like microorganisms. J. Appl. Phycol. 1994, 6, 123–129. [Google Scholar] [CrossRef]
- Calder, P.C. Functional Roles of Fatty Acids and Their Effects on Human Health. J. Parenter. Enter. Nutr. 2015, 39, 18S–32S. [Google Scholar] [CrossRef]
- Forouhi, N.G.; Koulman, A.; Sharp, S.J.; Imamura, F.; Kröger, J.; Schulze, M.B.; Crowe, F.; Huerta, J.M.; Guevara, M.; Beulens, J.W.; et al. Differences in the prospective association between individual plasma phospholipid saturated fatty acids and incident type 2 diabetes: The EPIC-Inter, Act case-cohort study. Lancet Diabetes Endocrinol. 2014, 2, 810–818. [Google Scholar] [CrossRef]
- Jenkins, B.; West, J.A.; Koulman, A. A Review of Odd-Chain Fatty Acid Metabolism and the Role of Pentadecanoic Acid (C15:0) and Heptadecanoic Acid (C17:0) in Health and Disease. Molecules 2015, 20, 2425–2444. [Google Scholar] [CrossRef]
- Khaw, K.-T.; Friesen, M.D.; Riboli, E.; Luben, R.; Wareham, N. Plasma Phospholipid Fatty Acid Concentration and Incident Coronary Heart Disease in Men and Women: The EPIC-Norfolk Prospective Study. PLoS Med. 2012, 9, e1001255. [Google Scholar] [CrossRef]
- Park, Y.-K.; Dulermo, T.; Ledesma-Amaro, R.; Nicaud, J.-M. Optimization of odd chain fatty acid production by Yarrowia lipolytica. Biotechnol. Biofuels 2018, 11, 158. [Google Scholar] [CrossRef]
- Yao, L.; Gerde, J.A.; Lee, S.-L.; Wang, T.; Harrata, K.A. Microalgae Lipid Characterization. J. Agric. Food Chem. 2015, 63, 1773–1787. [Google Scholar] [CrossRef]
- Verma, E.; Singh, S.; Niveshika; Mishra, A.K. Salinity-induced oxidative stress-mediated change in fatty acids composition of cyanobacterium Synechococcus sp. PCC7942. Int. J. Environ. Sci. Technol. 2018, 16, 875–886. [Google Scholar] [CrossRef]
- Scotia, N. Lipid composition of the toxic marine diatom. Phytochemistry 1991, 30, 113–116. [Google Scholar]
- Schaub, I.; Wagner, H.; Graeve, M.; Karsten, U. Effects of prolonged darkness and temperature on the lipid metabolism in the benthic diatom Navicula perminuta from the Arctic Adventfjorden, Svalbard. Polar Biol. 2017, 40, 1425–1439. [Google Scholar] [CrossRef]
- Parrish, C.C.; Defreitas, A.S.; Bodennec, G.; Macpherson, E.J.; Ackman, R.G. Lipid composition of the toxic marine diatom, Nitzschia pungens. Phytochemistry 1991, 30, 113–116. [Google Scholar] [CrossRef]
- Volkman, J.; Jeffrey, S.; Nichols, P.; Rogers, G.; Garland, C. Fatty acid and lipid composition of 10 species of microalgae used in mariculture. J. Exp. Mar. Biol. Ecol. 1989, 128, 219–240. [Google Scholar] [CrossRef]
- Dunstan, G.A.; Volkman, J.K.; Barrett, S.M.; Leroi, J.-M.; Jeffrey, S.W. Essential Polyunsaturated Fatty Acids from 14 Species of Diatom (Bacillariophyceae). Phytochemistry 1994, 35, 155–161. [Google Scholar] [CrossRef]
- Barka, F.; Angstenberger, M.; Ahrendt, T.; Lorenzen, W.; Bode, H.; Büchel, C. Identification of a triacylglycerol lipase in the diatom Phaeodactylum tricornutum. Biochim. Biophys. Acta Mol. Cell Biol. Lipids 2016, 1861, 239–248. [Google Scholar] [CrossRef]
- Volkman, J.K. Sterols in microorganisms. Appl. Microbiol. Biotechnol. 2003, 60, 495–506. [Google Scholar] [CrossRef]
- Dufourc, E.J. Sterols and membrane dynamics. J. Chem. Biol. 2008, 1, 63–77. [Google Scholar] [CrossRef]
- Jaramillo-Madrid, A.C.; Ashworth, J.; Fabris, M.; Ralph, P.J. Phytosterol biosynthesis and production by diatoms (Bacillariophyceae). Phytochemistry 2019, 163, 46–57. [Google Scholar] [CrossRef]
- Volkman, J.K. Nutritional Value of Microalgae and Applications. Algal Cult. Analog. Bloom. Appl. 2005, 1, 407–457. [Google Scholar]
- Fidalgo, J.; Cid, A.; Torres, E.; Sukenik, A.; Herrero, C. Effects of nitrogen source and growth phase on proximate biochemical composition, lipid classes and fatty acid profile of the marine microalga Isochrysis galbana. Aquaculture 1998, 166, 105–116. [Google Scholar] [CrossRef]
- Sakurai, I.; Shen, J.-R.; Leng, J.; Ohashi, S.; Kobayashi, M.; Wada, H. Lipids in Oxygen-Evolving Photosystem II Complexes of Cyanobacteria and Higher Plants. J. Biochem. 2006, 140, 201–209. [Google Scholar] [CrossRef] [PubMed]
- Sohlenkamp, C.; Geiger, O. Bacterial membrane lipids: Diversity in structures and pathways. FEMS Microbiol. Rev. 2016, 40, 133–159. [Google Scholar] [CrossRef] [PubMed]
- van Eerden, F.J.; de Jong, D.H.; de Vries, A.H.; Wassenaar, T.A.; Marrink, S. Characterization of thylakoid lipid membranes from cyanobacteria and higher plants by molecular dynamics simulations. Biochim. Biophys. Acta Biomembr. 2015, 1848, 1319–1330. [Google Scholar] [CrossRef] [PubMed]
- Yang, Y.; Du, L.; Hosokawa, M.; Miyashita, K. Total Lipids Content, Lipid Class and Fatty Acid Composition of Ten Species of Microalgae. J. Oleo Sci. 2020, 69, 1181–1189. [Google Scholar] [CrossRef]
- Ramírez, M.; Amate, L.; Gil, A. Absorption and distribution of dietary fatty acids from different sources. Early Hum. Dev. 2001, 65, S95–S101. [Google Scholar] [CrossRef]
- Kellogg, J.; Esposito, D.; Grace, M.; Komarnytsky, S.; Lila, M.A. Alaskan seaweeds lower inflammation in RAW 264.7 macrophages and decrease lipid accumulation in 3T3-L1 adipocytes. J. Funct. Foods 2015, 15, 396–407. [Google Scholar] [CrossRef]
- Sanina, N.M.; Goncharova, S.N.; Kostetsky, E.Y. Fatty acid composition of individual polar lipid classes from marine macrophytes. Phytochemistry 2004, 65, 721–730. [Google Scholar] [CrossRef]
- Wijesinghe, W.A.J.P.; Jeon, Y.J. Exploiting Biological Activities of Brown Seaweed Ecklonia Cava for Potential In-dustrial Applications: A Review. Int. J. Food Sci. Nutr. 2012, 63, 225–235. [Google Scholar] [CrossRef]
- Anahas, A.M.P.; Muralitharan, G. Characterization of heterocystous cyanobacterial strains for biodiesel production based on fatty acid content analysis and hydrocarbon production. Energy Convers. Manag. 2018, 157, 423–437. [Google Scholar] [CrossRef]
- Nichols, P.D.; Volkman, J.K.; Palmisano, A.C.; Smith, G.A. Occurrence of an isoprenoid c25 diunasaturated alkene and high neutral lipid content in Antractic sea-ice diatom communities. J. Phycol. 1988, 24, 90–96. [Google Scholar] [CrossRef]
- Chung, R.W.; Leanderson, P.; Lundberg, A.K.; Jonasson, L. Lutein exerts anti-inflammatory effects in patients with coronary artery disease. Atherosclerosis 2017, 262, 87–93. [Google Scholar] [CrossRef] [PubMed]
- Di Lena, G.; Casini, I.; Lucarini, M.; Lombardi-Boccia, G. Carotenoid profiling of five microalgae species from large-scale production. Food Res. Int. 2019, 120, 810–818. [Google Scholar] [CrossRef] [PubMed]
- Schüler, L.M.; Santos, T.; Pereira, H.; Duarte, P.; Katkam, G.; Florindo, C.; Schulze, P.S.; Barreira, L.; Varela, J.C. Improved production of lutein and β-carotene by thermal and light intensity upshifts in the marine microalga Tetraselmis sp. CTP. Algal Res. 2020, 45, 101732. [Google Scholar] [CrossRef]
- Pagels, F.; Vasconcelos, V.; Guedes, A.C. Carotenoids from Cyanobacteria: Biotechnological Potential and Optimization Strategies. Biomolecules 2021, 11, 735. [Google Scholar] [CrossRef] [PubMed]
- Fung, A.; Hamid, N.; Lu, J. Fucoxanthin content and antioxidant properties of Undaria pinnatifida. Food Chem. 2013, 136, 1055–1062. [Google Scholar] [CrossRef]
- Guo, B.; Liu, B.; Yang, B.; Sun, P.; Lu, X.; Liu, J.; Chen, F. Screening of Diatom Strains and Characterization of Cyclotella cryptica as A Potential Fucoxanthin Producer. Mar. Drugs 2016, 14, 125. [Google Scholar] [CrossRef]
- Remize, M.; Brunel, Y.; Silva, J.L.; Berthon, J.-Y.; Filaire, E. Microalgae n-3 PUFAs Production and Use in Food and Feed Industries. Mar. Drugs 2021, 19, 113. [Google Scholar] [CrossRef]
- Maadane, A.; Merghoub, N.; El Mernissi, N.; Ainane, T.; Amzazi, S. Antimicrobial Activity of Marine Microalgae Isolated from Moroccan Coastlines. J. Microbiol. Biotechnol. Food Sci. 2017, 6, 1257–1260. [Google Scholar] [CrossRef]
- Duval, B.; Shetty, K.; Thomas, W.H. Phenolic Compounds and Antioxidant Properties in the Snow Alga Chla-mydomonas Nivalis after Exposure to UV Light. J. Appl. Phycol. 1999, 11, 559–566. [Google Scholar] [CrossRef]
- Kovacik, J.; Klejdus, B.; Bačkor, M. Physiological Responses of Scenedesmus quadricauda (Chlorophyceae) to UV-A and UV-C Light. Photochem. Photobiol. 2010, 86, 612–616. [Google Scholar] [CrossRef] [PubMed]
- Nomura, T.; Kikuchi, M.; Kubodera, A.; Kawakami, Y. Proton-donative antioxidant activity of fucoxanthin with 1,1-Diphenyl-2-Picrylhydrazyl (DPPH). Biochem. Mol. Biol. Int. 1997, 42, 361–370. [Google Scholar] [CrossRef] [PubMed]
- Sathasivam, R.; Ki, J.-S. A Review of the Biological Activities of Microalgal Carotenoids and Their Potential Use in Healthcare and Cosmetic Industries. Mar. Drugs 2018, 16, 26. [Google Scholar] [CrossRef] [PubMed]
- Mikami, K.; Hosokawa, M. Biosynthetic Pathway and Health Benefits of Fucoxanthin, an Algae-Specific Xanthophyll in Brown Seaweeds. Int. J. Mol. Sci. 2013, 14, 13763–13781. [Google Scholar] [CrossRef]
- López, A.; Rico, M.; Rivero, A.; de Tangil, M.S. The effects of solvents on the phenolic contents and antioxidant activity of Stypocaulon scoparium algae extracts. Food Chem. 2011, 125, 1104–1109. [Google Scholar] [CrossRef]
- Coulombier, N.; Nicolau, E.; Le Déan, L.; Antheaume, C.; Jauffrais, T.; Lebouvier, N. Impact of Light Intensity on Antioxidant Activity of Tropical Microalgae. Mar. Drugs 2020, 18, 122. [Google Scholar] [CrossRef]
- Zhu, C.J.; Lee, Y.K. Determination of biomass dry weight of marine microalgae. J. Appl. Phycol. 1997, 9, 189–194. [Google Scholar] [CrossRef]
- Van Wychen, S.; Ramirez, K.; Laurens, L.M.L. Determination of Total Lipids as Fatty Acid Methyl Esters (FAME) by In Situ Transesterification: Laboratory Analytical Procedure (LAP); U.S. Department of Energy Office of Scientific and Technical Information: Washington, DC, USA, 2016. [Google Scholar]
- Gašparović, B.; Kazazić, S.P.; Cvitešić, A.; Penezić, A.; Frka, S. Improved Separation and Analysis of Glycolipids by Iatroscan Thin-Layer Chromatography–Flame Ionization Detection. J. Chromatogr. A 2015, 1409, 259–267, Erratum in J. Chromatogr. A 2017, 1521, 168–169. [Google Scholar] [CrossRef]
- Van Wychen, S.; Ramirez, K.; Laurens, L.M.L. Determination of Total Carbohydrates in Algal Biomass: Laboratory Analytical Procedure (LAP); U.S. Department of Energy Office of Scientific and Technical Information: Washington, DC, USA, 2016. [Google Scholar]
- Lowry, O.H.; Rosebrough, N.J.; Farr, A.L.; Randall, R.J. Protein measurement with the Folin phenol reagent. J. Biol. Chem. 1951, 193, 265–275. [Google Scholar] [CrossRef]
- Repajić, M.; Cegledi, E.; Zorić, Z.; Pedisić, S.; Garofulić, I.E.; Radman, S.; Palčić, I.; Dragović-Uzelac, V. Bioactive Compounds in Wild Nettle (Urtica dioica L.) Leaves and Stalks: Polyphenols and Pigments upon Seasonal and Habitat Variations. Foods 2021, 10, 190. [Google Scholar] [CrossRef] [PubMed]


| Strain | X (g L−1) | Prx (mg L−1 day−1) | µ (day−1) * |
|---|---|---|---|
| Nitzschia sp. S5 | 0.28 ± 0.14 | 19.74 ± 3.25 | 0.15 ± 0.003 |
| Nanofrustulum shiloi D1 | 0.10 ± 0.01 | 12.8 ± 3.78 | 0.099 ± 0.006 |
| Picochlorum sp. D3 | 0.41 ± 0.01 | 33.98 ± 0.02 | 0.217 ± 0.089 |
| Tetraselmis sp. Z3 | 0.48 ± 0,11 | 28.00 ± 0.11 | 0.064 ± 0.022 |
| Tetraselmis sp. C6 | 0.45 ± 0.04 | 26.29 ± 2.14 | 0.076 ± 0.027 |
| Euhalothece sp. C1 | 0.28 ± 0.08 | 24.42 ± 1.64 | 0.095 ± 0.002 |
| Fatty Acids (%, g g−1) | ||||||
|---|---|---|---|---|---|---|
| Nitzschia sp. S5 | Nanofrustulum shiloi D1 | Picochlorum sp. D3 | Tetraselmis sp. Z3 | Tetraselmis sp. C6 | Euhalothece sp. C1 | |
| 11:0 | — | — | — | — | — | 1.45 ± 0.15 |
| 14:0 | 10.59 ± 0.32 | 0.66 ± 0.34 | 0.38 ± 0.08 | — | — | — |
| 14:1 cis 9 | - | 0.07 ± 0.01 | — | — | — | — |
| 15:0 | — | 0.19 ± 0.14 | — | — | — | — |
| 15:1 cis 10 | — | 2.45 ± 2.98 | — | — | — | — |
| 16:0 | 23.19 ± 0.26 | 30.76 ± 0.27 | 28.14 ± 2.61 | 31.63 ± 1.1 | 33.25 ± 1.35 | 28.40 ± 0.45 |
| 16:1 cis 9 | 56.12 ± 0.14 | 41.57 ± 2.18 | 1.36 ± 0.03 | 3.54 ± 0.12 | 2.24 ± 0.09 | 14.07 ± 0.03 |
| 17:0 | 1.06 ± 0.002 | 0.57 ± 0.14 | 22.23 ± 2.47 | 1.02 ± 0.23 | 2.62 ± 0.03 | 48.79 ± 0.42 |
| 17:1 cis 10 | 4.75 ± 0.15 | 1.88 ± 0.73 | 0.77 ± 0.31 | 2.90 ± 0.18 | — | |
| 18:1 cis 9 | — | 0.67 ± 0.17 | 2.92 ± 0.65 | 16.56 ± 0.63 | 9.55 ± 0.37 | 0.84 ± 0.26 |
| 18:2 trans 9, 12 | — | — | — | — | — | 2.54 ± 0.31 |
| 18:2 cis 9, 12 | — | 1.88 ± 0.55 | 33.33 ± 1.76 | 8.5 ± 0.13 | 12.69 ± 0.39 | 3.99 ± 0.7 |
| 18:3 cis 9, 12, 15 | — | 0.72 ± 0.34 | 11.59 ± 0.91 | 22.50 ± 0.47 | 21.75 ± 0.82 | — |
| 20:1 cis 11 | — | 0.14 ± 0.03 | — | 3.81 ± 0.45 | — | — |
| 20:3 cis 8, 11, 14 | — | 2.41 ± 3.73 | — | — | — | — |
| 20:4 cis 5, 8, 11, 14 | — | 9.29 ± 3.3 | — | — | 1.32 ± 0.03 | 0.18 ± 0.04 |
| 22:1 cis 13 | — | — | — | — | — | — |
| 20:5 cis 5, 8, 11, 14, 17 | 3.48 ± 0.19 | 6.79 ± 1.84 | — | 8.58 ± 1.05 | 7.01 ± 3.17 | — |
| 24:1 cis 15 | — | 0.19 ± 0.05 | — | — | — | — |
| 22:6 cis 4, 7, 10, 13, 16, 19 | — | 0.47 ± 0.37 | — | 1.97 ± 0.78 | — | — |
| SFA | 34.84 ± 0.06 | 32.35 ± 0.85 | 52.98 ± 2.33 | 33.81 ± 1.68 | 36.88 ± 1.38 | 78.65 ± 0.93 |
| MUFA | 64.68 ± 0.13 | 46.08 ± 5.40 | 7.74 ± 3.35 | 24.66 ± 0.58 | 18.19 ± 0.61 | 14.70 ± 0.61 |
| PUFA | 3.48 ± 0.19 | 21.57 ± 6.09 | 39.28 ± 3.95 | 41.53 ± 1.11 | 44.93 ± 1.99 | 6.65 ± 0.84 |
| Lipid Class (%, g g−1) | ||||||
|---|---|---|---|---|---|---|
| Nitzschia sp. S5 | Nanofrustulum shiloi D1 | Picochlorum sp. D3 | Tetraselmis sp. Z3 | Tetraselmis sp. C6 | Euhalothece sp. C1 | |
| Neutral lipids | 46.60 | 68.36 | 17.93 | 17.07 | 15.22 | 18.58 |
| monoglicerides | 6.24 | 1.12 | 2.95 | 0.00 | 1.45 | 0.00 |
| 1,2 diglycerides | 0.00 | 0.45 | 0.24 | 0.31 | 0.59 | 0.15 |
| 1,3 diglycerides | 0.00 | 0.00 | 0.96 | 0.00 | 0.31 | 0.00 |
| triglycerides | 0.00 | 0.71 | 5.12 | 0.59 | 0.58 | 0.90 |
| free fatty acids | 37.35 | 58.34 | 5.80 | 10.25 | 6.86 | 15.23 |
| sterols | 1.30 | 2.03 | 2.53 | 2.21 | 2.77 | 0.61 |
| steryl esters | 1.71 | 5.71 | 0.34 | 3.71 | 2.66 | 1.69 |
| Polar lipids | 49.33 | 29.03 | 78.33 | 77.25 | 76.29 | 74.59 |
| Glycolipids | 19.08 | 13.30 | 33.97 | 21.77 | 26.31 | 17.02 |
| monogalactosyldiacylglycerol | 8.46 | 8.71 | 22.48 | 7.19 | 9.29 | 4.66 |
| digalactosyldiacylglycerol | 1.67 | 0.58 | 1.69 | 1.35 | 2.14 | 0.59 |
| sulfoquinovosyldiacylglycerol | 8.95 | 4.02 | 9.80 | 13.23 | 14.89 | 11.78 |
| Phospholipids | 30.25 | 15.74 | 44.36 | 55.47 | 49.98 | 57.56 |
| phosphatidylglycerol | 21.74 | 10.00 | 21.93 | 36.32 | 36.08 | 36.83 |
| phosphatidylethanolamine | 8.24 | 5.25 | 14.35 | 18.67 | 13.26 | 19.88 |
| phosphatidylcholine | 0.27 | 0.50 | 8.08 | 0.49 | 0.63 | 0.85 |
| hydrocarbon | 1.94 | 1.53 | 2.77 | 2.10 | 3.41 | 3.77 |
| pigments | 2.13 | 1.06 | 0.96 | 3.58 | 5.09 | 3.07 |
| Pigment (mg/100 g DW) | ||||||
|---|---|---|---|---|---|---|
| Nitzschia sp. S5 | Nanofrustulum shiloi D1 | Picochlorum sp. D3 | Tetraselmis sp. Z3 | Tetraselmis sp. C6 | Euhalothece sp. C1 | |
| Fucoxanthin | 40.11 | 39.54 | 2.93 | 4.91 | 7.59 | — |
| Neoxanthin | 5.53 | — | 14.92 | 11.62 | 79.44 | 2.19 |
| Lutein | 55.56 | — | 233.39 | 37.12 | 164.84 | 22.45 |
| Canthaxanthin | — | — | 47.54 | — | — | — |
| α-carotene | — | — | — | — | 1.6 | — |
| β-carotene | — | 0.36 | 0.11 | 0.19 | 1.01 | 0.13 |
| Chlorophyll b | — | — | — | 19.85 | 97.91 | — |
| Chlorophyll a | 36.38 | 131.07 | 116.18 | 31.5 | 156.12 | 12.52 |
| Total pigments | 137.58 | 170.97 | 415.07 | 105.19 | 508.51 | 37.29 |
| Extract * of | Nitzschia sp. S5 | Nanofrustulum shiloi D1 | Picochlorum sp. D3 | Tetraselmis sp. Z3 | Tetraselmis sp. C6 | Euhalothece sp. C1 |
|---|---|---|---|---|---|---|
| Total flavonoid (mg quercetin/g DW) | 0.67 ± 0.10 | 0.38 ± 0.01 | 0.37 ± 0.02 | 0.21 ± 0.05 | 0.44 ± 0.02 | 0.14 ± 0.02 |
| Total phenols (mg GAE/g DW) | 22.64 ± 1.86 | 11.67 ± 0.27 | 16.53 ± 2.87 | 6.51 ± 0.28 | 22.33 ± 0.24 | 5.99 ± 0.17 |
| Total carotenoids (mg/100 g DW) | 101.2 | 39.9 | 298.89 | 53.84 | 254.48 | 24.77 |
| ABTS (µmol TE/g) | 75.82 ± 7.88 | 12.75 ± 4.65 | 54.42 ± 0.04 | 51.36 ± 5.11 | 170.96 ± 5.26 | 73.83 ± 1.40 |
| DPPH (µmol TE/g) | 86.93 ± 3.27 | 36.53 ± 0.59 | 19.51 ± 1.36 | 80.27 ± 1.86 | 199.97 ± 5.51 | 90.69 ± 7.43 |
| IC50 (mg/mL) | 1.82 ± 0.08 | 4.05 ± 0.19 | 1.90 ± 0.12 | 2.05 ± 0.26 | 0.87 ± 0.23 | 1.80 ± 0.16 |
| Extract * of | Inhibition Zone (mm ± s.d.) | K+ (neomycin 1/nystatin 2) | K− (methanol) | |||||
|---|---|---|---|---|---|---|---|---|
| Nitzschia sp. S5 | Nanofrustulum shiloi D1 | Picochlorum sp. D3 | Tetraselmis sp. Z3 | Tetraselmis sp. C6 | Euhalothece sp. C1 | |||
| E. coli | 11.00 ± 0.01 | 12.00 ± 0.01 | 13.00 ± 0.01 | — | 26.05 ± 0.07 | 13.10 ± 0.14 | — | — |
| S. typhimurium | 10.50 ± 0.71 | 9.05 ± 0.07 | 9.00 ± 0.09 | — | 20.00 ± 4.24 | 17.50 ± 4.95 | 27 ± 2.12 1 | — |
| P. aeruginosa | 9.50 ± 3.54 | 9.50 ± 2.12 | 9.00 ± 0.07 | 16.70 ± 0.42 | 17.00 ± 0.09 | 12.00 ± 1.41 | 41 ± 3.0 1 | 15 ± 1.41 |
| B. subtilis | 15.00 ± 1.41 | 20.00 ± 0.01 | 8.50 ± 0.71 | — | 10.00 ± 0.07 | — | 21 ± 2.0 1 | 9 ± 0.71 |
| S. aureus | 9.05 ± 0.07 | 10.00 ± 0.01 | 14.50 ± 2.12 | 14.50 ± 0.71 | 22.00 ± 0.1 | 26.00 ± 1.26 | 21 ± 1.5 1 | — |
| E. faecalis | — | — | no growth | 18.00 ± 4.24 | — | 9.00 ± 0.19 | 19 ± 2.0 1 | 11 ± 0.58 |
| C. utilis | 11.00 ± 4.24 | 9.00 ± 0.07 | 9.00 ± 0.14 | 7.05 ± 0.07 | 12.00 ± 4.24 | 5.50 ± 2.12 | 21 ± 1.7 2 | 13 ± 2.12 |
| A. niger | — | — | — | — | — | — | 30 ± 1.45 2 | — |
| Division | Isolate Name | Closest Named Species | Origin (Location) | Identity |
|---|---|---|---|---|
| Bacillariophyta | Nitzschia sp. S5 | Nitzschia sp. | Jadrija; Croatia | 97.90% |
| Bacillariophyta | Nanofrustulum shiloi D1 | Nanofrustulum shiloi | Island Šolta, Croatia | 99.27% |
| Chlorophyta | Picochlorum sp. D3 | Picochlorum sp. | Šibenik; Croatia | 99.87% |
| Chlorophyta | Tetraselmis sp. Z3 | Tetraselmis rubens or Tetraselmis marina | Jadrija; Croatia | 100% 100% |
| Chlorophyta | Tetraselmis sp. C6 | Tetraselmis suecica or Tetraselmis rubens | Jadrija; Croatia | 96.46% 96.46% |
| Cyanobacteria | Euhalothece sp. C1 | Euhalothece sp. or Halothece sp. | Island Šolta, Croatia | 97.94% 97.06% |
| Monosaccharide (g L−1) | Calibration Curve Equation | Determination Coefficient |
|---|---|---|
| glucuronic acid | y = 113192x + 44.361 | 0.99 |
| glucose | y = 135278x − 3377 | 0.99 |
| mannose | y = 128302x − 5039.7 | 0.99 |
| galactose | y = 132077x + 987.09 | 0.99 |
| xylose | y = 129878x − 627.53 | 0.99 |
| fructose | y = 125211x + 3745.8 | 1.00 |
| rhamnose | y = 113900x + 479.24 | 0.99 |
| arabinose | y = 128443x − 3314.1 | 0.99 |
| fucose | y = 136441x − 2965.8 | 0.99 |
| glucosamine hydrochloride | y = 128.54x + 279.1 | 0.98 |
Publisher’s Note: MDPI stays neutral with regard to jurisdictional claims in published maps and institutional affiliations. |
© 2022 by the authors. Licensee MDPI, Basel, Switzerland. This article is an open access article distributed under the terms and conditions of the Creative Commons Attribution (CC BY) license (https://creativecommons.org/licenses/by/4.0/).
Share and Cite
Grubišić, M.; Šantek, B.; Zorić, Z.; Čošić, Z.; Vrana, I.; Gašparović, B.; Čož-Rakovac, R.; Ivančić Šantek, M. Bioprospecting of Microalgae Isolated from the Adriatic Sea: Characterization of Biomass, Pigment, Lipid and Fatty Acid Composition, and Antioxidant and Antimicrobial Activity. Molecules 2022, 27, 1248. https://doi.org/10.3390/molecules27041248
Grubišić M, Šantek B, Zorić Z, Čošić Z, Vrana I, Gašparović B, Čož-Rakovac R, Ivančić Šantek M. Bioprospecting of Microalgae Isolated from the Adriatic Sea: Characterization of Biomass, Pigment, Lipid and Fatty Acid Composition, and Antioxidant and Antimicrobial Activity. Molecules. 2022; 27(4):1248. https://doi.org/10.3390/molecules27041248
Chicago/Turabian StyleGrubišić, Marina, Božidar Šantek, Zoran Zorić, Zrinka Čošić, Ivna Vrana, Blaženka Gašparović, Rozelindra Čož-Rakovac, and Mirela Ivančić Šantek. 2022. "Bioprospecting of Microalgae Isolated from the Adriatic Sea: Characterization of Biomass, Pigment, Lipid and Fatty Acid Composition, and Antioxidant and Antimicrobial Activity" Molecules 27, no. 4: 1248. https://doi.org/10.3390/molecules27041248
APA StyleGrubišić, M., Šantek, B., Zorić, Z., Čošić, Z., Vrana, I., Gašparović, B., Čož-Rakovac, R., & Ivančić Šantek, M. (2022). Bioprospecting of Microalgae Isolated from the Adriatic Sea: Characterization of Biomass, Pigment, Lipid and Fatty Acid Composition, and Antioxidant and Antimicrobial Activity. Molecules, 27(4), 1248. https://doi.org/10.3390/molecules27041248

