High-Throughput Method for the Simultaneous Determination of Doxorubicin Metabolites in Rat Urine after Treatment with Different Drug Nanoformulations
Abstract
:1. Introduction
2. Materials and Methods
2.1. Reagents
2.2. HPLC Instrumentation and Conditions
2.3. Preparation of Standards and Quality Control Samples
2.4. In Vivo Experiment
3. Results
3.1. Validation of the HPLC-FD Method
3.1.1. Specificity and Selectivity
3.1.2. Linearity
3.1.3. Precision
3.1.4. Accuracy
3.1.5. Limit of Detection (LOD) and Limit of Quantification (LOQ)
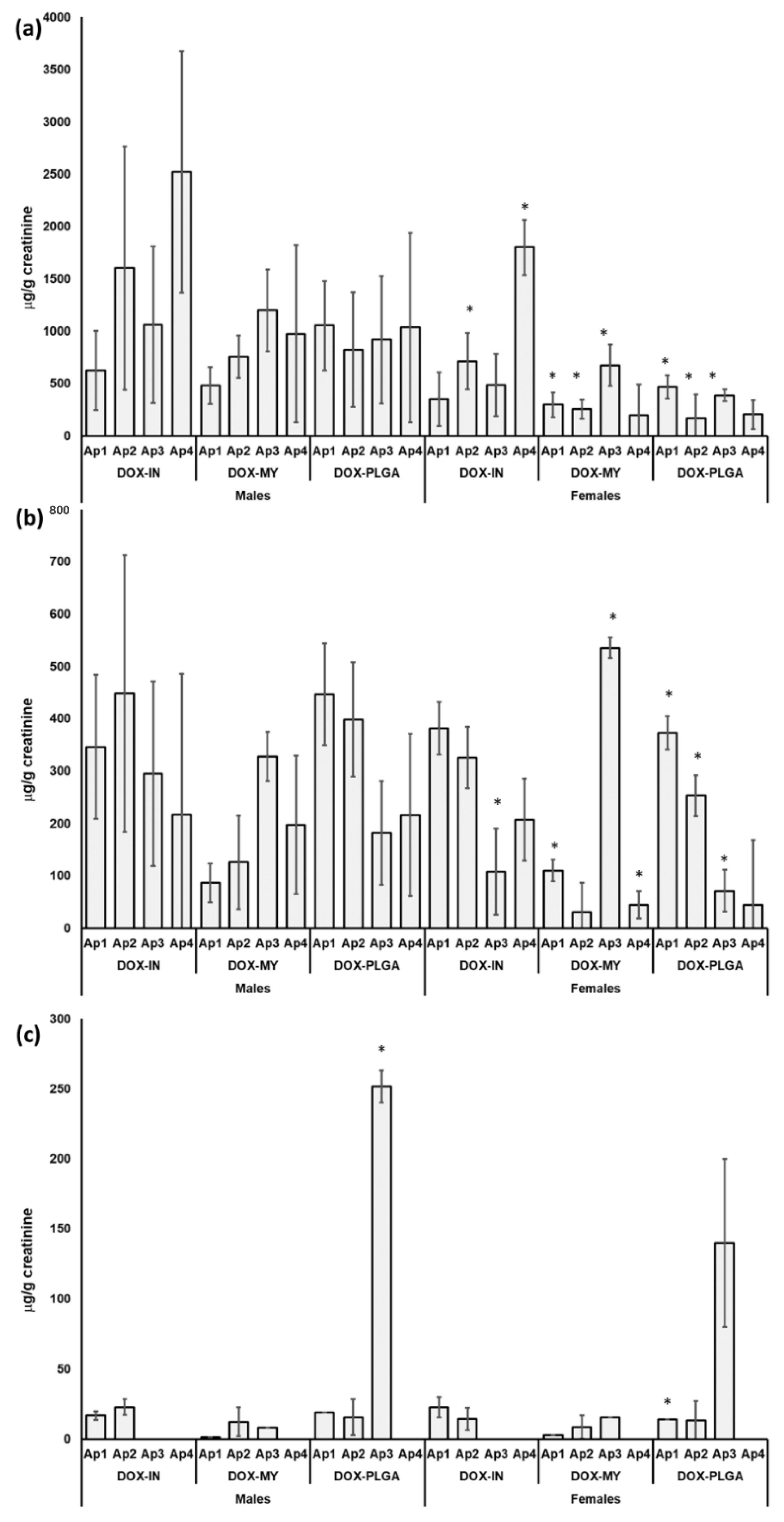
3.2. Quantitative Analysis of DOX and Its Metabolites in Urine of Rats Treated with Different DOX Formulations
4. Discussion
5. Conclusions
Supplementary Materials
Author Contributions
Funding
Institutional Review Board Statement
Informed Consent Statement
Data Availability Statement
Conflicts of Interest
Sample Availability
References
- Hassanpour, S.H.; Dehghani, M. Review of cancer from perspective of molecular. J. Cancer Res. Pract 2017, 4, 127–129. [Google Scholar] [CrossRef]
- Carvalho, C.; Santos, R.X.; Cardoso, S.; Correia, S.; Oliveira, P.J.; Santos, M.S.; Moreira, P.I. Doxorubicin: The good, the bad and the ugly effect. Curr. Med. Chem. 2009, 16, 3267–3285. [Google Scholar] [CrossRef] [PubMed]
- Cortés-Funes, H.; Coronado, C. Role of anthracyclines in the era of targeted therapy. Cardiovasc. Toxicol. 2007, 7, 56–60. [Google Scholar] [CrossRef] [PubMed]
- Hortobágyi, G.N. Anthracyclines in the treatment of cancer. An overview. Drugs 1997, 4, 1–7. [Google Scholar] [CrossRef]
- Sakai-Kato, K.; Saito, E.; Ishikura, K.; Kawanishi, T. Analysis of intracellular doxorubicin and its metabolites by ultra-high-performance liquid chromatography. J. Chromatogr. B Analyt. Technol. Biomed. Life Sci. 2010, 878, 1466–1470. [Google Scholar] [CrossRef]
- Reis-Mendes, A.F.; Sousa, E.; De Lourdes Bastos, M.; Costa, V.M. The Role of the Metabolism of Anticancer Drugs in Their Induced-Cardiotoxicity. Curr. Drug Metab. 2015, 17, 75–90. [Google Scholar] [CrossRef]
- Licata, S.; Saponiero, A.; Mordente, A.; Minotti, G. Doxorubicin metabolism and toxicity in human myocardium: Role of cytoplasmic deglycosidation and carbonyl reduction. Chem. Res. Toxicol. 2000, 13, 414–420. [Google Scholar] [CrossRef]
- Schaupp, C.M.; White, C.C.; Merrill, G.F.; Kavanagh, T.J. Metabolism of doxorubicin to the cardiotoxic metabolite doxorubicinol is increased in a mouse model of chronic glutathione deficiency: A potential role for carbonyl reductase 3. Chem. Biol. Interact. 2015, 234, 154–161. [Google Scholar] [CrossRef] [Green Version]
- Alhareth, K.; Vauthier, C.; Gueutin, C.; Ponchel, G.; Moussa, F. HPLC quantification of doxorubicin in plasma and tissues of rats treated with doxorubicin loaded poly(alkylcyanoacrylate) nanoparticles. J. Chromatogr. B Analyt. Technol. Biomed. Life Sci. 2012, 887–888, 128–132. [Google Scholar] [CrossRef]
- Mazzucchelli, S.; Ravelli, A.; Gigli, F.; Minoli, M.; Corsi, F.; Ciuffreda, P.; Ottria, R. LC-MS/MS method development for quantification of doxorubicin and its metabolite 13-hydroxy doxorubicin in micebiological matrices: Application to a pharmaco-delivery study. Biomed. Chromatogr. 2017, 31, e3863. [Google Scholar] [CrossRef]
- Lammers, T.; Kiessling, F.; Hennink, W.E.; Storm, G. Drug targeting to tumors: Principles, pitfalls and (pre-) clinical progress. J. Control Release 2012, 161, 175–187. [Google Scholar] [CrossRef] [PubMed]
- Souto, G.D.; Farhane, Z.; Casey, A.; Efeoglu, E.; McIntyre, J.; Byrne, H.R. Evaluation of cytotoxicity profile and intracellular localisation of doxorubicin-loaded chitosan nanoparticles. Anal. Bioanal. Chem. 2016, 408, 5443–5455. [Google Scholar] [CrossRef] [PubMed] [Green Version]
- Wei, A.; Mehtala, J.G.; Patri, A.K. Challenges and opportunities in the advancement of nanomedicines. J. Control Release 2012, 164, 236–246. [Google Scholar] [CrossRef] [Green Version]
- Torchilin, V.P. Recent advances with liposomes as pharmaceutical carriers. Nat. Rev. Drug Discov. 2005, 4, 145–160. [Google Scholar] [CrossRef] [PubMed]
- Bulbake, U. Doppalapudi, S.; Kommineni, N.; Khan, W. Liposomal Formulations in Clinical Use: An Updated Review. Pharmaceutics 2017, 9, 12. [Google Scholar] [CrossRef] [PubMed]
- Ghitman, J.; Biru, E.I.; Raluca, S.; Iovu, H. Review of hybrid PLGA nanoparticles: Future of smart drug delivery and theranostics medicine. Mater. Des. 2020, 193, 108805. [Google Scholar] [CrossRef]
- Pieper, S.; Langer, K. Doxorubicin-loaded PLGA nanoparticles—A systematic evaluation of preparation techniques and parameters. Mater. Today Proc. 2017, 4, S188–S192. [Google Scholar] [CrossRef]
- Park, J.; Fong, P.M.; Lu, J.; Russell, K.S.; Booth, C.J.; Saltzman, W.M.; Fahmy, T.M. PEGylated PLGA nanoparticles for the improved delivery of doxorubicin. Nanomedicine 2009, 5, 410–418. [Google Scholar] [CrossRef] [Green Version]
- Rezvantalab, S.; Drude, N.I.; Moraveji, M.K.; Güvener, N.; Koons, E.K.; Shi, Y.; Lammers, T.; Kiessling, F. PLGA-Based Nanoparticles in Cancer Treatment. Front. Pharmacol. 2018, 2, 1260. [Google Scholar] [CrossRef] [Green Version]
- Guha, R.; Chowdhury, S.; Palui, H.; Mishra, A.; Basak, S.; Mandal, T.; Hazra, S.; Konar, A. Doxorubicin-loaded MePEG-PCL nanoparticles for prevention of posterior capsular opacification. Nanomedicine 2013, 8, 1415–1428. [Google Scholar] [CrossRef]
- Xia, Y.; Xu, T.; Zhao, M.; Hua, L.; Chen, Y.; Wang, C.; Tang, Y.; Zhu, B. Delivery of Doxorubicin for Human Cervical Carcinoma Targeting Therapy by FolicAcid-Modified Selenium Nanoparticles. Int. J. Mol. Sci. 2018, 19, 3582. [Google Scholar] [CrossRef] [PubMed] [Green Version]
- Al-Abd, A.M.; Kim, N.H.; Song, S.C.; Lee, S.J.; Kuh, H.J. A simple HPLC method for doxorubicin in plasma and tissues of nude mice. Arch. Pharm. Res. 2009, 32, 605–611. [Google Scholar] [CrossRef] [PubMed]
- Wei, G.; Xiao, S.; Si, D.; Liu, C. Improved HPLC method for doxorubicin quantification in rat plasma to study the pharmacokinetics of micelle-encapsulated and liposome-encapsulated doxorubicin formulations. Biomed. Chromatogr. 2008, 22, 1252–1258. [Google Scholar] [CrossRef]
- Taylor, J.K. Validation of analytical methods Analytical Chemistry. Anal. Chem. 1983, 55, 600–608. [Google Scholar] [CrossRef]
- Kanwal, U.; Bukhari, I.N.; Ovais, M.; Abass, N.; Hussain, K.; Raza, A. Advances in nano-delivery systems for doxorubicin: An updated insight. J. Drug Target 2018, 26, 296–310. [Google Scholar] [CrossRef]
- Alavi, M.; Nokhodchi, A. Microformulations and Nanoformulations of Doxorubicin for Improvement of Its Therapeutic Efficiency. Crit. Rev. Ther. Drug Carrier. Syst. 2020, 37, 591–611. [Google Scholar] [CrossRef]
- Working, P.K.; Newman, M.S.; Huang, S.K.; Mayhew, E.; Vaage, J.; Lasic, D.D. Pharmacokinetics biodistribution and therapeutic efficacy of doxorubicin encapsulated in Stealth liposomes (Doxil). J. Liposome Res. 1994, 4, 667–687. [Google Scholar] [CrossRef]
- Lyass, O.; Uziely, B.; Ben-Yosef, R.; Tzemach, D.; Heshing, N.I.; Lotem, L.; Brufman, G.; Gabizon, A. Correlation of toxicity with pharmacokinetics of pegylated liposomal doxorubicin (Doxil) in metastatic breast carcinoma. Cancer 2000, 89, 1037–1047. [Google Scholar] [CrossRef]
- Yadav, A.K.; Mishra, P.; Mishra, A.K.; Mishra, P.; Jain Agrawal, G.P. Development and characterization of hyaluronic acid–anchored PLGA nanoparticulate carriers of doxorubicin. Nanomedicine 2007, 3, 246–257. [Google Scholar] [CrossRef]
- Taverniers, I.; De Loose, M.; Van Bockstaele, E. Trends in quality in the analytical laboratory. II. Analytical method validation and quality assurance Trends Anal. Chem. 2004, 23, 535–552. [Google Scholar]
- Chekin, F.; Myshin, V.; Ye, R.; Melinte, S.; Singh, K.S.; Kurungot, S.; Boukherroub, R.; Szunerits, S. Graphene-modified electrodes for sensing doxorubicin hydrochloride in human plasma. Anal. Bioanal. Chem. 2019, 411, 1509–1516. [Google Scholar] [CrossRef] [PubMed]
- Zagotto, G.; Gatto, B.; Moro, S.; Sissi, C.; Palumbo, M. Anthracyclines: Recent developments in their separation and quantitation. J. Chromatogr. B Biomed. Sci. Appl. 2001, 764, 161–171. [Google Scholar] [CrossRef]
- Pieri, M.; Castiglia, L.; Basilicata, P.; Sannolo, N.; Acampora, A.; Miraglia, N. Biological Monitoring of Nurses Exposed to Doxorubicin and Epirubicin by a Validated Liquid Chromatography/Fluorescence Detection Method. Ann. Occup. Hyg. 2010, 54, 368–376. [Google Scholar] [PubMed] [Green Version]
- Han, J.; Zhang, J.; Zhao, H.; Li, Y.; Chen, Z. Simultaneous determination of doxorubicin and its dipeptide prodrug in mice plasma by HPLC with fluorescence detection. J. Pharm. Anal. 2016, 6, 199–202. [Google Scholar] [CrossRef] [Green Version]
- Montalvo, R.N.; Doerr, V.; Nguyen, B.L.; Kelley, R.C.; Smuder, A.J. Consideration of Sex as a Biological Variable in the Development of Doxorubicin Myotoxicity and the Efficacy of Exercise as a Therapeutic Intervention. Antioxidants 2021, 10, 343. [Google Scholar] [CrossRef]
- Liu, Z.; Martin, J.; Orme, L.; Seddon, B.; Desai, J.; Nicholls, W.; Thomson, D.; Porter, D.; McCowage, G.; Underhill, C.; et al. Gender differences in doxorubicin pharmacology for subjects with chemosensitive cancers of young adulthood. Cancer Chemother. Pharmacol. 2018, 82, 887–898. [Google Scholar] [CrossRef]
- Freeland, M.M.; Angulo, J.; Davis, A.L.; Flook, A.M.; Garcia, B.L.; King, N.A.; Mangibin, S.K.; Paul, K.M.; Prosser, M.E.; Sata, N.; et al. Sex differences in improved efficacy of doxorubicin chemotherapy in Cbr1+/− mice. Anticancer Drugs 2012, 23, 584–589. [Google Scholar] [CrossRef]
- Yaqub, F. Mechanism of action of anthracycline drugs. Lancet Oncol. 2013, 14, 296. [Google Scholar] [CrossRef]




| Metabolite | Area of Linearity (µg/mL) | Regression Equation | Correlation Coefficient (R2) |
|---|---|---|---|
| DOX | 0.05–1.60 | y = 515,381x − 17,769 | 0.9996 |
| DOXol | 0.05–1.60 | y = 106x − 17,839 | 0.9996 |
| DOXon | 0.05–1.60 | y = 803,820x − 848 | 0.9999 |
| Metabolite | Parameter of Precision | Intra-Day Precision | Inter-Day Precision | ||
|---|---|---|---|---|---|
| 1st day | 2nd day | 3rd day | |||
| DOX (1 µg/mL) | xavg: | 457,794.60 | 464,999.60 | 465,950.5 | 462,914.90 |
| Sd: | 1353.18 | 1508.11 | 1210.58 | 4459.73 | |
| RSD (%): | 0.30 | 0.03 | 0.26 | 0.96 | |
| DOXol (1 µg/mL) | xavg: | 1,023,770.00 | 1,088,522.00 | 1,126,937.00 | 1,079,743.00 |
| Sd: | 1859.63 | 3112.16 | 5250.95 | 52,140.97 | |
| RSD (%): | 0.18 | 0.29 | 0.47 | 4.83 | |
| DOXon (1 µg/mL) | xavg: | 711,946.10 | 747,576.10 | 752,071.60 | 737,197.90 |
| Sd: | 2091.75 | 1513.79 | 2837.71 | 21,983.94 | |
| RSD (%): | 0.29 | 0.20 | 0.38 | 2.98 | |
| IDA (1 µg/mL) | xavg: | 836,266.60 | 807,980.40 | 854,275.10 | 832,840.70 |
| Sd: | 1957.55 | 4042.85 | 17,706.24 | 23,336.72 | |
| RSD (%): | 0.23 | 0.50 | 2.07 | 2.80 | |
| 0.50 µg/mL | 0.75 µg/mL | 1.00 µg/mL | |||||
|---|---|---|---|---|---|---|---|
| IRF | Recovery (%) | RSD (%) | Recovery (%) | RSD (%) | Recovery (%) | RSD (%) | |
| DOX | 0.88 | 102.05 | 0.36 | 99.04 | 0.16 | 104.69 | 0.00 |
| DOXol | 0.86 | 102.73 | 1.28 | 100.61 | 0.69 | 97.73 | 2.48 |
| DOXon | 1.01 | 104.68 | 0.4 | 101.13 | 4.99 | 95.08 | 0.24 |
| Metabolite | Se | Sd | LOD (μg/mL) | LOQ (μg/mL) |
|---|---|---|---|---|
| DOX | 3852.24 | 1572.67 | 0.010 | 0.031 |
| DOXol | 8594.37 | 21,051.83 | 0.007 | 0.021 |
| DOXon | 2875.77 | 1174.03 | 0.005 | 0.015 |
Publisher’s Note: MDPI stays neutral with regard to jurisdictional claims in published maps and institutional affiliations. |
© 2022 by the authors. Licensee MDPI, Basel, Switzerland. This article is an open access article distributed under the terms and conditions of the Creative Commons Attribution (CC BY) license (https://creativecommons.org/licenses/by/4.0/).
Share and Cite
Zorić, L.; Drinković, N.; Micek, V.; Frkanec, L.; Türeli, A.E.; Günday-Türeli, N.; Vinković Vrček, I.; Frkanec, R. High-Throughput Method for the Simultaneous Determination of Doxorubicin Metabolites in Rat Urine after Treatment with Different Drug Nanoformulations. Molecules 2022, 27, 1177. https://doi.org/10.3390/molecules27041177
Zorić L, Drinković N, Micek V, Frkanec L, Türeli AE, Günday-Türeli N, Vinković Vrček I, Frkanec R. High-Throughput Method for the Simultaneous Determination of Doxorubicin Metabolites in Rat Urine after Treatment with Different Drug Nanoformulations. Molecules. 2022; 27(4):1177. https://doi.org/10.3390/molecules27041177
Chicago/Turabian StyleZorić, Lara, Nikša Drinković, Vedran Micek, Leo Frkanec, Akif Emre Türeli, Nazende Günday-Türeli, Ivana Vinković Vrček, and Ruža Frkanec. 2022. "High-Throughput Method for the Simultaneous Determination of Doxorubicin Metabolites in Rat Urine after Treatment with Different Drug Nanoformulations" Molecules 27, no. 4: 1177. https://doi.org/10.3390/molecules27041177
APA StyleZorić, L., Drinković, N., Micek, V., Frkanec, L., Türeli, A. E., Günday-Türeli, N., Vinković Vrček, I., & Frkanec, R. (2022). High-Throughput Method for the Simultaneous Determination of Doxorubicin Metabolites in Rat Urine after Treatment with Different Drug Nanoformulations. Molecules, 27(4), 1177. https://doi.org/10.3390/molecules27041177

