Tethered Blatter Radical for Molecular Grafting: Synthesis of 6-Hydroxyhexyloxy, Hydroxymethyl, and Bis(hydroxymethyl) Derivatives and Their Functionalization †
Abstract
:1. Introduction
2. Results and Discussion
2.1. Synthesis of Hydroxyl Derivatives Ia–IIIa
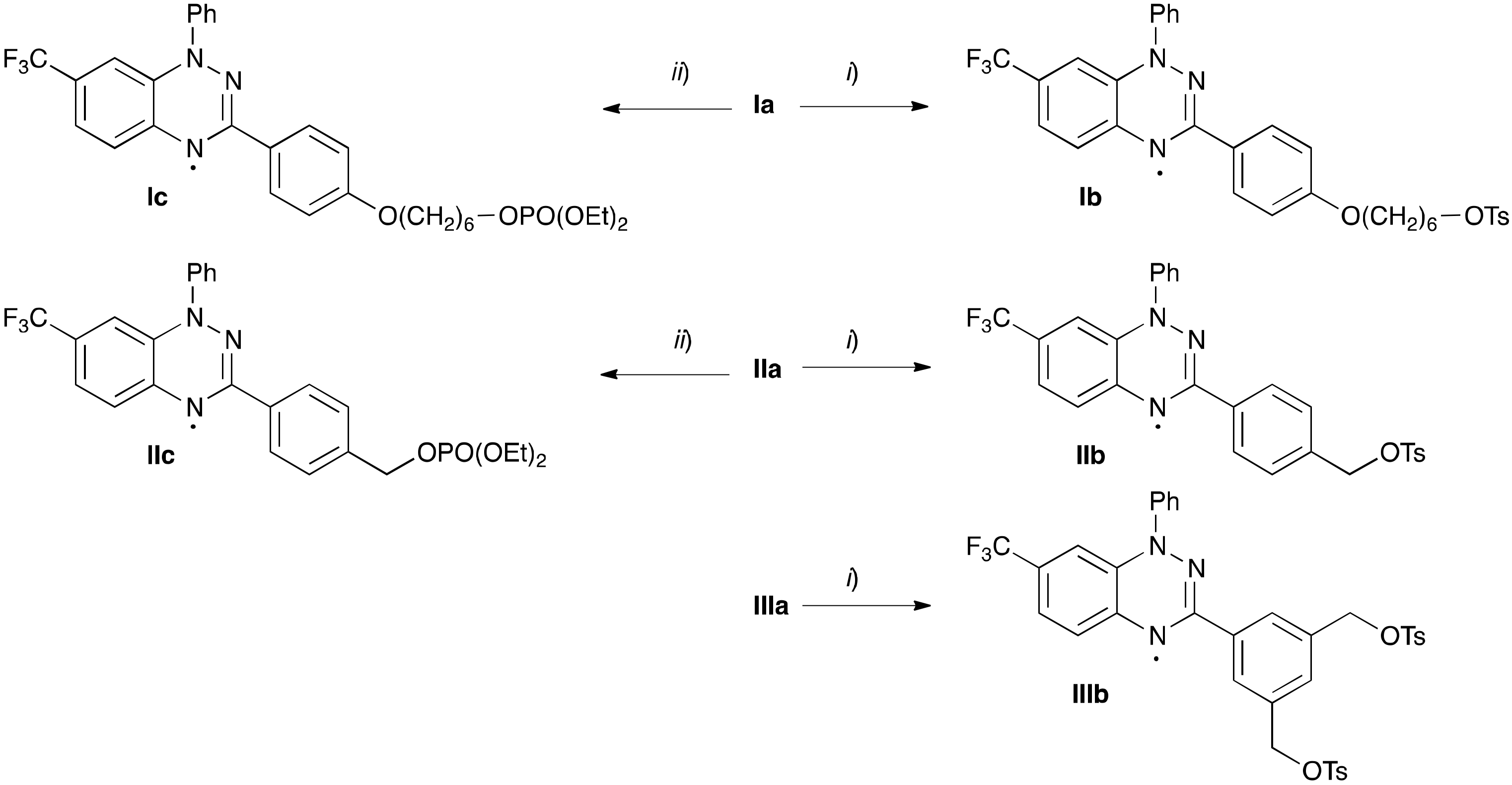
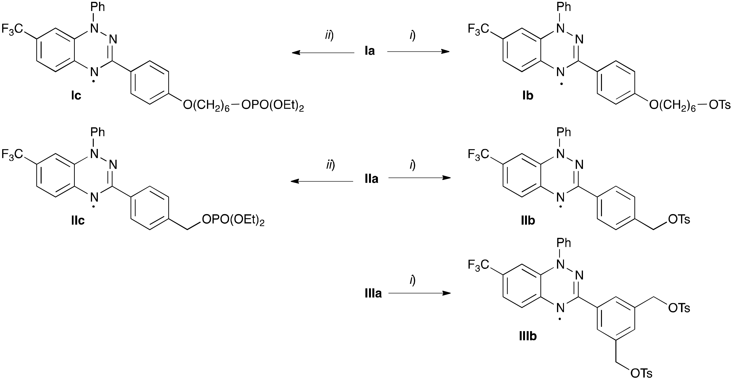
2.2. Synthesis of Tosylates and Phosphates
2.3. Transformation of Tosylates: Preparation of Disulfides and Azide
2.4. Copper(I)-Catalyzed Azide-Alkyne Cycloaddition of Azide Ie
2.5. Spectroscopic Characterization of Radicals
3. Conclusions
4. Materials and Methods
Supplementary Materials
Author Contributions
Funding
Institutional Review Board Statement
Informed Consent Statement
Data Availability Statement
Conflicts of Interest
Sample Availability
References
- Giaconi, N.; Sorrentino, A.L.L.; Poggini, L.; Lupi, M.; Polewczyk, V.; Vinai, G.; Torelli, P.; Magnani, A.; Sessoli, R.; Menichetti, S.; et al. Stabilization of an Enantiopure Sub-Monolayer of Helicene Radical Cations on a Au(111) Surface through Noncovalent Interactions. Angew. Chem. Int. Ed. 2021, 60, 15276–15280. [Google Scholar] [CrossRef] [PubMed]
- Poggini, L.; Lunghi, A.; Collauto, A.; Barbon, A.; Armelao, L.; Magnani, A.; Caneschi, A.; Totti, F.; Sorace, L.; Mannini, M. Chemisorption of nitronyl–nitroxide radicals on gold surface: An assessment of morphology, exchange interaction and decoherence time. Nanoscale 2021, 13, 7613–7621. [Google Scholar] [CrossRef] [PubMed]
- Mas-Torrent, M.; Crivillers, N.; Mugnaini, V.; Ratera, I.; Rovira, C.; Veciana, J. Organic radicals on surfaces: Towards molecular spintronics. J. Mater. Chem. 2009, 19, 1691–1695. [Google Scholar] [CrossRef]
- Mas-Torrent, M.; Crivillers, N.; Rovira, C.; Veciana, J. Attaching Persistent Organic Free Radicals to Surfaces: How and Why. Chem. Rev. 2011, 112, 2506–2527. [Google Scholar] [CrossRef]
- Casu, M.B. Nanoscale Studies of Organic Radicals: Surface, Interface, and Spinterface. Accounts Chem. Res. 2018, 51, 753–760. [Google Scholar] [CrossRef]
- Poggini, L.; Cucinotta, G.; Sorace, L.; Caneschi, A.; Gatteschi, D.; Sessoli, R.; Mannini, M. Nitronyl nitroxide radicals at the interface: A hybrid architecture for spintronics. Rendiconti Lince 2018, 29, 623–630. [Google Scholar] [CrossRef]
- Junghoefer, T.; Nowik-Boltyk, E.M.; de Sousa, J.A.; Giangrisostomi, E.; Ovsyannikov, R.; Chassé, T.; Veciana, J.; Mas-Torrent, M.; Rovira, C.; Crivillers, N.; et al. Stability of radical-functionalized gold surfaces by self-assembly and on-surface chemistry. Chem. Sci. 2020, 11, 9162–9172. [Google Scholar] [CrossRef]
- Ajayakumar, M.R.; Alcón, I.; Bromley, S.T.; Veciana, J.; Rovira, C.; Mas-Torrent, M. Direct covalent grafting of an organic radical core on gold and silver. RSC Adv. 2017, 7, 20076–20083. [Google Scholar] [CrossRef] [Green Version]
- Ajayakumar, M.R.; Moreno, C.; Alcón, I.; Illas, F.; Rovira, C.; Veciana, J.; Bromley, S.T.; Mugarza, A.; Mas-Torrent, M. Neutral Organic Radical Formation by Chemisorption on Metal Surfaces. J. Phys. Chem. Lett. 2020, 11, 3897–3904. [Google Scholar] [CrossRef]
- Mukherjee, S.; Boudouris, B.W. Organic Radical Polymers: New Avenues in Organic Electronics; Springer: Berlin/Heidelberg, Germany, 2017. [Google Scholar]
- Tomlinson, E.P.; Hay, M.E.; Boudouris, B.W. Radical Polymers and Their Application to Organic Electronic Devices. Macromolecules 2014, 47, 6145–6158. [Google Scholar] [CrossRef]
- Friebe, C.; Schubert, U.S. High-Power-Density Organic Radical Batteries. Top. Curr. Chem. Collect. 2019, 375, 65–99. [Google Scholar] [CrossRef]
- Saal, A.; Friebe, C.; Schubert, U.S. Polymeric Blatter’s radical via CuAAC and ROMP. Macromol. Chem. Phys. 2021, 222, 2100194. [Google Scholar] [CrossRef]
- Zhang, K.; Monteiro, M.J.; Jia, Z. Stable organic radical polymers: Synthesis and applications. Polym. Chem. 2016, 7, 5589–5614. [Google Scholar] [CrossRef]
- Pinto, L.F.; Lloveras, V.; Zhang, S.; Liko, F.; Veciana, J.; Muñoz-Gómez, J.L.; Vidal-Gancedo, J. Fully Water-Soluble Polyphosphorhydrazone-Based Radical Dendrimers Functionalized with Tyr-PROXYL Radicals as Metal-Free MRI T1 Contrast Agents. ACS Appl. Bio. Mater. 2020, 3, 369–376. [Google Scholar] [CrossRef] [Green Version]
- Ali, B.M.; Velavan, B.; Sudhandiran, G.; Sridevi, J.; Nasar, A.S. Radical dendrimers: Synthesis, anti-tumor activity and enhanced cytoprotective performance of TEMPO free radical functionalized polyurethane dendrimers. Eur. Polym. J. 2020, 122, 109354. [Google Scholar] [CrossRef]
- Badetti, E.; Lloveras, V.; Muñoz-Gómez, J.L.; Sebastián, R.M.; Caminade, A.M.; Majoral, J.P.; Veciana, J.; Vidal-Gancedo, J. Radical dendrimers: A family of five generations of phosphorus dendrimers functionalized with TEMPO radicals. Macromolecules 2014, 47, 7717–7724. [Google Scholar] [CrossRef] [Green Version]
- Yordanov, A.T.; Yamada, K.-I.; Krishna, M.C.; Mitchell, J.B.; Woller, E.; Cloninger, M.; Brechbiel, M.W. Spin-Labeled Dendrimers in EPR Imaging with Low Molecular Weight Nitroxides. Angew. Chem. Int. Ed. 2001, 40, 2690–2692. [Google Scholar] [CrossRef]
- Mezzina, E.; Manoni, R.; Romano, F.; Lucarini, M. Spin-Labelling of Host-Guest Assemblies with Nitroxide Radicals. Asian J. Org. Chem. 2015, 4, 296–310. [Google Scholar] [CrossRef]
- Casati, C.; Franchi, P.; Pievo, R.; Mezzina, E.; Lucarini, M. Unraveling Unidirectional Threading of α-Cyclodextrin in a [2]Rotaxane through Spin Labeling Approach. J. Am. Chem. Soc. 2012, 134, 19108–19117. [Google Scholar] [CrossRef] [Green Version]
- Franchi, P.; Fanì, M.; Mezzina, E.; Lucarini, M. Increasing the Persistency of Stable Free-Radicals: Synthesis and Characterization of a Nitroxide Based [1]Rotaxane. Org. Lett. 2008, 10, 1901–1904. [Google Scholar] [CrossRef]
- Chechik, V.; Ionita, G. Bis spin-labelled cyclodextrins. New J. Chem. 2007, 31, 1726–1729. [Google Scholar] [CrossRef]
- Beejapur, H.A.; Campisciano, V.; Franchi, P.; Lucarini, M.; Giacalone, F.; Gruttadauria, M. Fullerene as a Platform for Recyclable TEMPO Organocatalysts for the Oxidation of Alcohols. ChemCatChem 2014, 6, 2419–2424. [Google Scholar] [CrossRef]
- Yang, C.; Guenzi, M.; Cicogna, F.; Gambarotti, C.; Filippone, G.; Pinzino, C.; Passaglia, E.; Dintcheva, N.T.; Carroccio, S.; Coiai, S. Grafting of polymer chains on the surface of carbon nanotubes via nitroxide radical coupling reaction. Polym. Int. 2016, 65, 48–56. [Google Scholar] [CrossRef]
- Tucker-Schwartz, A.K.; Garrell, R.L. Simple Preparation and Application of TEMPO-Coated Fe3O4 Superparamagnetic Nanoparticles for Selective Oxidation of Alcohols. Chem. A Eur. J. 2010, 16, 12718–12726. [Google Scholar] [CrossRef]
- Zawada, K.; Tomaszewski, W.; Megiel, E. A smart synthesis of gold/polystyrene core–shell nanohybrids using TEMPO coated nanoparticles. RSC Adv. 2014, 4, 23876–23885. [Google Scholar] [CrossRef]
- Hata, K.; Fujihara, H. Preparation and electrochemical polymerization of new multifunctional pyrrolethiolate-stabilized gold and palladium nanoparticles. Chem. Commun. 2002, 2714–2715. [Google Scholar] [CrossRef]
- Caragheorgheopol, A.; Chechik, V. Mechanistic aspects of ligand exchange in Au nanoparticles. Phys. Chem. Chem. Phys. 2008, 10, 5029–5041. [Google Scholar] [CrossRef]
- Schätz, A.; Grass, R.N.; Stark, W.J.; Reiser, O. TEMPO Supported on Magnetic C/Co-Nanoparticles: A Highly Active and Recyclable Organocatalyst. Chem. A Eur. J. 2008, 14, 8262–8266. [Google Scholar] [CrossRef]
- Gozdziewska, M.; Cichowicz, G.; Markowska, K.; Zawada, K.; Megiel, E. Nitroxide-coated silver nanoparticles: Synthesis, surface physicochemistry and antibacterial activity. RSC Adv. 2015, 5, 58403–58415. [Google Scholar] [CrossRef]
- Megiel, E. Surface modification using TEMPO and its derivatives. Adv. Colloid Interface Sci. 2017, 250, 158–184. [Google Scholar] [CrossRef]
- Hansen, K.-A.; Blinco, J.P. Nitroxide radical polymers—A versatile material class for high-tech applications. Polym. Chem. 2018, 9, 1479–1516. [Google Scholar] [CrossRef]
- Ji, Y.; Long, L.; Zheng, Y. Recent advances of stable Blatter radicals: Synthesis, properties and applications. Mater. Chem. Front. 2020, 4, 3433–3443. [Google Scholar] [CrossRef]
- Oyaizu, K.; Nishide, H. Radical Polymers for Organic Electronic Devices: A Radical Departure from Conjugated Polymers? Adv. Mater. 2009, 21, 2339–2344. [Google Scholar] [CrossRef]
- Rajca, A.; Wang, Y.; Boska, M.; Paletta, J.T.; Olankitwanit, A.; Swanson, M.A.; Mitchell, D.G.; Eaton, S.S.; Eaton, G.R.; Rajca, S. Organic Radical Contrast Agents for Magnetic Resonance Imaging. J. Am. Chem. Soc. 2012, 134, 15724–15727. [Google Scholar] [CrossRef] [PubMed] [Green Version]
- Francese, G.; Dunand, F.A.; Loosli, C.; Decurtins, S. Functionalization of PAMAM dendrimers with nitronyl nitroxide radicals as models for the outer-sphere relaxation in dentritic potential MRI contrast agents. Org. Magn. Reson. 2003, 41, 81–83. [Google Scholar] [CrossRef]
- Wilcox, D.A.; Agarkar, V.V.; Mukherjee, S.; Boudouris, B.W. Stable Radical Materials for Energy Applications. Annu. Rev. Chem. Biomol. Eng. 2018, 9, 83–103. [Google Scholar] [CrossRef]
- Suga, T.; Nishide, H. Stable Radicals: Fundamentals and Applied Aspects of Odd-Electron Compounds; Hicks, R.G., Ed.; Wiley & Sons Ltd.: Chichester, UK, 2010; pp. 507–519. [Google Scholar]
- Nevers, D.R.; Brushett, F.R.; Wheeler, D.R. Engineering radical polymer electrodes for electrochemical energy storage. J. Power Sources 2017, 352, 226–244. [Google Scholar] [CrossRef] [Green Version]
- Almubayedh, S.; Chahma, M. Electrosynthesis and characterization of stable radical-functionalized oligo/polythiophenes. N. J. Chem. 2015, 39, 7738–7741. [Google Scholar] [CrossRef]
- Low, J.Z.; Kladnik, G.; Patera, L.L.; Sokolov, S.; Lovat, G.; Kumarasamy, E.; Repp, J.; Campos, L.M.; Cvetko, D.; Morgante, A.; et al. The Environment-Dependent Behavior of the Blatter Radical at the Metal–Molecule Interface. Nano Lett. 2019, 19, 2543–2548. [Google Scholar] [CrossRef]
- De Sousa, J.A.; Bejarano, F.; Gutiérrez, D.; Leroux, Y.R.; Nowik-Boltyk, E.M.; Junghoefer, T.; Giangrisostomi, E.; Ovsyannikov, R.; Casu, M.B.; Veciana, J.; et al. Exploiting the versatile alkyne-based chemistry for expanding the applications of a stable triphenylmethyl organic radical on surfaces. Chem. Sci. 2020, 11, 516–524. [Google Scholar] [CrossRef] [Green Version]
- Ruthstein, S.; Artzi, R.; Goldfarb, D.; Naaman, R. EPR studies on the organization of self-assembled spin-labeled organic monolayers adsorbed on GaAs. Phys. Chem. Chem. Phys. 2005, 7, 524–529. [Google Scholar] [CrossRef]
- Glosz, K.; Stolarczyk, A.; Jarosz, T. Siloxanes—Versatile Materials for Surface Functionalisation and Graft Copolymers. Int. J. Mol. Sci. 2020, 21, 6387. [Google Scholar] [CrossRef]
- Fu, H.; Policarpio, D.M.; Batteas, J.D.; Bergbreiter, D.E. Redox-controlled ‘smart’ polyacrylamide solubility. Polym. Chem. 2010, 1, 631–633. [Google Scholar] [CrossRef]
- Schattling, P.; Jochum, F.D.; Theato, P. Multi-responsive copolymers: Using thermo-, light- and redox stimuli as three independent inputs towards polymeric information processing. Chem. Commun. 2011, 47, 8859–8861. [Google Scholar] [CrossRef]
- Binder, W.H.; Sachsenhofer, R. ‘Click’ chemistry in polymer and material science: An update. Macromol. Rapid Commun. 2008, 29, 952–981. [Google Scholar] [CrossRef]
- Johnson, J.A.; Finn, M.G.; Koberstein, J.T.; Turro, N.J. Construction of Linear Polymers, Dendrimers, Networks, and Other Polymeric Architectures by Copper-Catalyzed Azide-Alkyne Cycloaddition “Click” Chemistry. Macromol. Rapid Commun. 2008, 29, 1421. [Google Scholar] [CrossRef]
- Le Droumaguet, B.; Velonia, K. Click Chemistry: A Powerful Tool to Create Polymer-Based Macromolecular Chimeras. Macromol. Rapid Commun. 2008, 29, 1073–1089. [Google Scholar] [CrossRef]
- Kunz, T.K.; Wolf, M.O. Electrodeposition and properties of TEMPO functionalized polythiophene thin films. Polym. Chem. 2011, 2, 640–644. [Google Scholar] [CrossRef]
- Rogers, F.J.M.; Norcott, P.L.; Coote, M.L. Recent advances in the chemistry of benzo[e][1,2,4]triazinyl radicals. Org. Biomol. Chem. 2020, 18, 8255–8277. [Google Scholar] [CrossRef]
- Blatter, H.M.; Lukaszewski, H. A new stable free radical. Tetrahedron Lett. 1968, 9, 2701–2705. [Google Scholar] [CrossRef]
- Karecla, G.; Papagiorgis, P.; Panagi, N.; Zissimou, G.A.; Constantinides, C.P.; Koutentis, P.A.; Itskos, G.; Hayes, S.C. Emission from the stable Blatter radical. N. J. Chem. 2017, 41, 8604–8613. [Google Scholar] [CrossRef]
- Constantinides, C.P.; Koutentis, P.A.; Krassos, H.; Rawson, J.M.; Tasiopoulos, A.J. Characterization and Magnetic Properties of a “Super Stable” Radical 1,3-Diphenyl-7-trifluoromethyl-1,4-dihydro-1,2,4-benzotriazin-4-yl. J. Org. Chem. 2011, 76, 2798–2806. [Google Scholar] [CrossRef]
- Jasiński, M.; Szczytko, J.; Pociecha, D.; Monobe, H.; Kaszyński, P. Substituent-Dependent Magnetic Behavior of Discotic Benzo[e][1,2,4]triazinyls. J. Am. Chem. Soc. 2016, 138, 9421–9424. [Google Scholar] [CrossRef]
- Jasiński, M.; Szymańska, K.; Gardias, A.; Pociecha, D.; Monobe, H.; Szczytko, J.; Kaszyński, P. Tuning the Magnetic Properties of Columnar Benzo[e][1,2,4]triazin-4-yls with the Molecular Shape. ChemPhysChem 2019, 20, 636–644. [Google Scholar] [CrossRef]
- Shivakumar, K.I.; Pociecha, D.; Szczytko, J.; Kapuściński, S.; Monobe, H.; Kaszyński, P. Photoconductive bent-core liquid crystalline radicals with a paramagnetic polar switchable phase. J. Mater. Chem. C 2020, 8, 1083–1088. [Google Scholar] [CrossRef]
- Zheng, Y.; Miao, M.-S.; Kemei, M.C.; Seshadri, R.; Wudl, F. The Pyreno-Triazinyl Radical—Magnetic and Sensor Properties. Isr. J. Chem. 2014, 54, 774–778. [Google Scholar] [CrossRef]
- Zheng, Y.; Miao, M.-S.; Dantelle, G.; Eisenmenger, N.D.; Wu, G.; Yavuz, I.; Chabinyc, M.L.; Houk, K.N.; Wudl, F. A Solid-State Effect Responsible for an Organic Quintet State at Room Temperature and Ambient Pressure. Adv. Mater. 2015, 27, 1718–1723. [Google Scholar] [CrossRef]
- Ciccullo, F.; Calzolari, A.; Bader, K.; Neugebauer, P.; Gallagher, N.M.; Rajca, A.; van Slageren, J.; Casu, M.B. Interfacing a Potential Purely Organic Molecular Quantum Bit with a Real-Life Surface. ACS Appl. Mater. Interfaces 2018, 11, 1571–1578. [Google Scholar] [CrossRef]
- Ciccullo, F.; Gallagher, N.M.; Geladari, O.; Chasse, T.; Rajca, A.; Casu, M.B. A Derivative of the Blatter Radical as a Potential Metal-Free Magnet for Stable Thin Films and Interfaces. ACS Appl. Mater. Interfaces 2016, 8, 1805–1812. [Google Scholar] [CrossRef]
- Poryvaev, A.S.; Gjuzi, E.; Polyukhov, D.M.; Hoffmann, F.; Fröba, M.; Fedin, M.V. Blatter radical-grafted mesoporous silica as prospective nanoplatform for spin manipulation at ambient conditions. Angew. Chem. Int. Ed. 2021, 60, 8683–8688. [Google Scholar] [CrossRef]
- Constantinides, C.P.; Obijalska, E.; Kaszyński, P. Access to 1,4-dihydrobenzo[e][1,2,4]triazin-4-yl derivtives. Org. Lett. 2016, 18, 916–919. [Google Scholar] [CrossRef] [PubMed]
- Kaszyński, P.; Constantinides, C.P.; Young, V.G., Jr. The Planar Blatter Radical: Structural Chemistry of 1,4-Dihydrobenzo[e][1,2,4]triazin-4-yls. Angew. Chem. Int. Ed. 2016, 55, 11149–11152. [Google Scholar] [CrossRef] [PubMed]
- Abbasi, M.; Mohammadizadeh, M.R.; Saeedi, N. The synthesis of symmetrical disulfides by reacting organic halides with Na2S2O3·5H2O in DMSO. N. J. Chem. 2016, 40, 89–92. [Google Scholar] [CrossRef]
- Shao, C.; Wang, X.; Xu, J.; Zhao, J.; Zhang, Q.; Hu, Y. Carboxylic Acid-Promoted Copper(I)-Catalyzed Azide–Alkyne Cycloaddition. J. Org. Chem. 2010, 75, 7002–7005. [Google Scholar] [CrossRef]
- Neva, T.; Carmona, T.; Benito, J.M.; Przybylski, C.; Mellet, C.O.; Mendicuti, F.; Fernández, J.M.G. Dynamic Control of the Self-Assembling Properties of Cyclodextrins by the Interplay of Aromatic and Host-Guest Interactions. Front. Chem. 2019, 7, 72. [Google Scholar] [CrossRef]
- Neva, T.; Ortiz Mellet, C.; García Fernández, J.M.; Benito, J.M. Multiply–linked cyclodextrin–aromatic hybrids: Caps, hinges and clips. J. Carbohydr. Chem. 2019, 38, 470–493. [Google Scholar] [CrossRef]
- Neva, T.; Carbajo-Gordillo, A.I.; Benito, J.M.; Lana, H.; Marcelo, G.; Mellet, C.O.; De Ilarduya, C.T.; Mendicuti, F.; Fernández, J.M.G. Tuning the Topological Landscape of DNA–Cyclodextrin Nanocomplexes by Molecular Design. Chem. A Eur. J. 2020, 26, 15259–15269. [Google Scholar] [CrossRef]
- Balbuena, P.; Lesur, D.; Álvarez, M.J.G.; Mendicuti, F.; Mellet, C.O.; Fernández, J.M.G. One-pot regioselective synthesis of 2I,3I-O-(o-xylylene)-capped cyclomaltooligosaccharides: Tailoring the topology and supramolecular properties of cyclodextrins. Chem. Commun. 2007, 3270–3272. [Google Scholar] [CrossRef] [Green Version]
- Fulmer, G.R.; Miller, A.J.M.; Sherden, N.H.; Gottlieb, H.E.; Nudelman, A.; Stoltz, B.M.; Bercaw, J.E.; Goldberg, K.I. NMR Chemical Shifts of Trace Impurities: Common Laboratory Solvents, Organics, and Gases in Deuterated Solvents Relevant to the Organometallic Chemist. Organometallics 2010, 29, 2176–2179. [Google Scholar] [CrossRef] [Green Version]








Publisher’s Note: MDPI stays neutral with regard to jurisdictional claims in published maps and institutional affiliations. |
© 2022 by the authors. Licensee MDPI, Basel, Switzerland. This article is an open access article distributed under the terms and conditions of the Creative Commons Attribution (CC BY) license (https://creativecommons.org/licenses/by/4.0/).
Share and Cite
Kapuściński, S.; Anand, B.; Bartos, P.; Garcia Fernandez, J.M.; Kaszyński, P. Tethered Blatter Radical for Molecular Grafting: Synthesis of 6-Hydroxyhexyloxy, Hydroxymethyl, and Bis(hydroxymethyl) Derivatives and Their Functionalization. Molecules 2022, 27, 1176. https://doi.org/10.3390/molecules27041176
Kapuściński S, Anand B, Bartos P, Garcia Fernandez JM, Kaszyński P. Tethered Blatter Radical for Molecular Grafting: Synthesis of 6-Hydroxyhexyloxy, Hydroxymethyl, and Bis(hydroxymethyl) Derivatives and Their Functionalization. Molecules. 2022; 27(4):1176. https://doi.org/10.3390/molecules27041176
Chicago/Turabian StyleKapuściński, Szymon, Bindushree Anand, Paulina Bartos, Jose M. Garcia Fernandez, and Piotr Kaszyński. 2022. "Tethered Blatter Radical for Molecular Grafting: Synthesis of 6-Hydroxyhexyloxy, Hydroxymethyl, and Bis(hydroxymethyl) Derivatives and Their Functionalization" Molecules 27, no. 4: 1176. https://doi.org/10.3390/molecules27041176
APA StyleKapuściński, S., Anand, B., Bartos, P., Garcia Fernandez, J. M., & Kaszyński, P. (2022). Tethered Blatter Radical for Molecular Grafting: Synthesis of 6-Hydroxyhexyloxy, Hydroxymethyl, and Bis(hydroxymethyl) Derivatives and Their Functionalization. Molecules, 27(4), 1176. https://doi.org/10.3390/molecules27041176

