Enhanced Enzyme Reuse through the Bioconjugation of L-Asparaginase and Silica-Based Supported Ionic Liquid-like Phase Materials
Abstract
1. Introduction
2. Materials and Methods
2.1. Reagents
2.2. Synthesis of Silica-Based Supported Ionic Liquid-Like Phase (SSILLP) Materials
2.3. Characterization of SSILLP Materials and Bioconjugates
2.3.1. Elemental Analysis
2.3.2. Point of Zero Charge
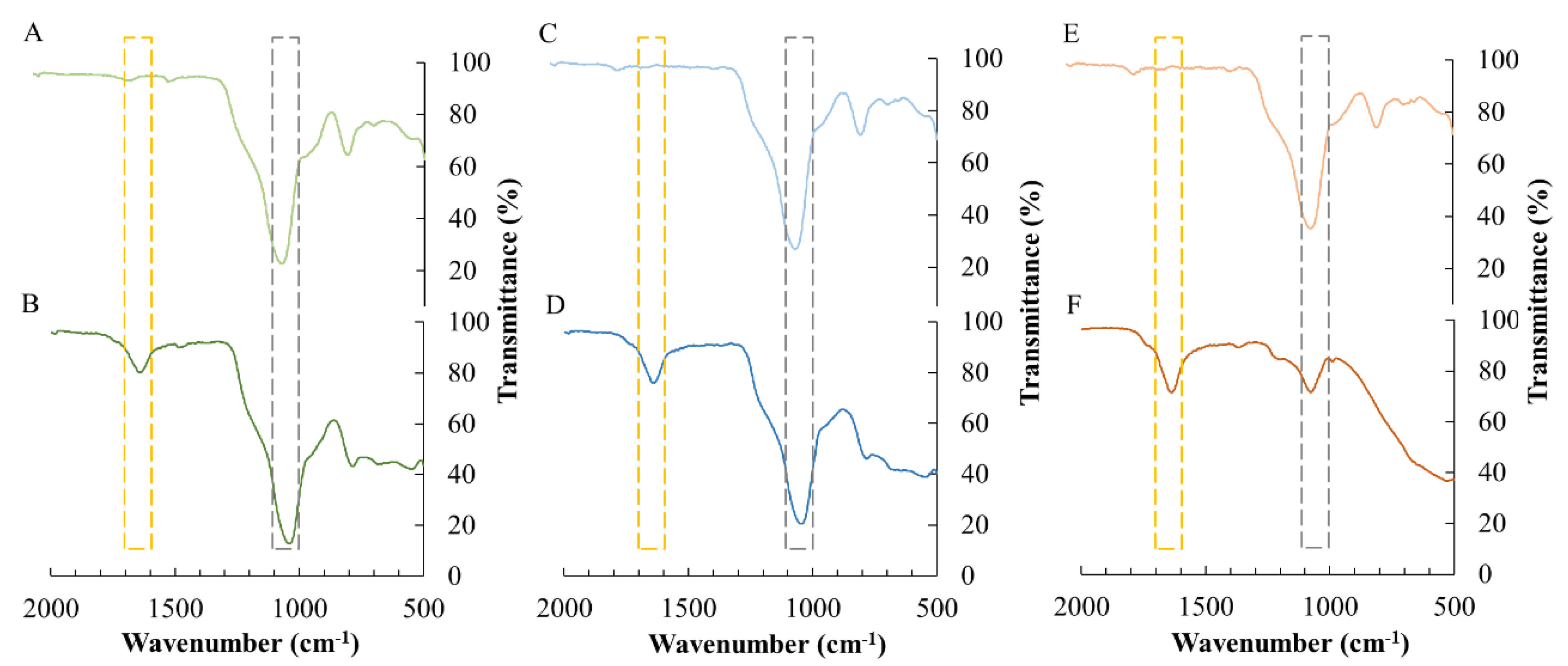
2.3.3. Attenuated Total Reflectance-Fourier-Transform Infrared (ATR-FTIR) Spectroscopy
2.4. L-Asparaginase (ASNase) Immobilization Conditions
2.5. ASNase Activity
2.6. Operational Stability
2.7. Molecular Docking
3. Results and Discussion
3.1. Characterization of SSILLP Materials
3.2. Optimization of ASNase Immobilization Conditions
3.3. Molecular Docking
3.4. Operational Stability
4. Conclusions
Supplementary Materials
Author Contributions
Funding
Institutional Review Board Statement
Informed Consent Statement
Data Availability Statement
Acknowledgments
Conflicts of Interest
Sample Availability
References
- Nunes, J.C.F.; Cristóvão, R.O.; Freire, M.G.; Santos-Ebinuma, V.C.; Faria, J.L.; Silva, C.G.; Tavares, A.P.M. Recent strategies and applications for L-asparaginase confinement. Molecules 2020, 25, 5827. [Google Scholar] [CrossRef]
- Castro, D.; Marques, A.S.C.; Almeida, M.R.; de Paiva, G.B.; Bento, H.B.S.; Pedrolli, D.B.; Freire, M.G.; Tavares, A.P.M.; Santos-Ebinuma, V.C. L-asparaginase production review: Bioprocess design and biochemical characteristics. Appl. Microbiol. Biotechnol. 2021, 105, 4515–4534. [Google Scholar] [CrossRef]
- Cachumba, J.J.M.; Antunes, F.A.F.; Peres, G.F.D.; Brumano, L.P.; Dos Santos, J.C.; Da Silva, S.S. Current applications and different approaches for microbial L-asparaginase production. Braz. J. Microbiol. 2016, 47, 77–85. [Google Scholar] [CrossRef]
- Nunes, J.C.F.; Cristóvão, R.O.; Santos-Ebinuma, V.C.; Faria, J.L.; Silva, C.G.; Neves, M.C.; Freire, M.G.; Tavares, A.P.M. L-Asparaginase-based biosensors. Encyclopedia 2021, 1, 65. [Google Scholar] [CrossRef]
- Nunes, J.C.F.; Almeida, M.R.; Faria, J.L.; Silva, C.G.; Neves, M.C.; Freire, M.G.; Tavares, A.P.M. Overview on protein extraction and purification using ionic-liquid-based processes. J. Solution Chem. 2021, 1, 1–36. [Google Scholar] [CrossRef]
- An, J.; Li, G.; Zhang, Y.; Zhang, T.; Liu, X.; Gao, F.; Peng, M.; He, Y.; Fan, H. Recent advances in enzyme-nanostructure biocatalysts with enhanced activity. Catalysts 2020, 10, 338. [Google Scholar] [CrossRef]
- Mohamad, N.R.; Marzuki, N.H.C.; Buang, N.A.; Huyop, F.; Wahab, R.A. An overview of technologies for immobilization of enzymes and surface analysis techniques for immobilized enzymes. Biotechnol. Biotechnol. Equip. 2015, 29, 205–220. [Google Scholar] [CrossRef]
- Boudrant, J.; Woodley, J.M.; Fernandez-Lafuente, R. Parameters necessary to define an immobilized enzyme preparation. Process Biochem. 2020, 90, 66–80. [Google Scholar] [CrossRef]
- Remonatto, D.; Ferrari, B.R.; Bassan, J.C.; Mussagy, C.U.; de Carvalho Santos-Ebinuma, V.; Veloso de Paula, A. Utilization of clay materials as support for Aspergillus japonicus lipase: An eco-friendly approach. Catalysts 2021, 11, 1173. [Google Scholar] [CrossRef]
- Cristóvão, R.O.; Almeida, M.R.; Barros, M.A.; Nunes, J.C.F.; Boaventura, R.A.R.; Loureiro, J.M.; Faria, J.L.; Neves, M.C.; Freire, M.G.; Ebinuma-Santos, V.C.; et al. Development and characterization of a novel l-asparaginase/MWCNT nanobioconjugate. RSC Adv. 2020, 10, 31205–31213. [Google Scholar] [CrossRef]
- Selvamani, T.; Gangadharan, D.; Anandan, S. Synthetic strategies of nanobioconjugates for bioelectrochemical applications. Bioelectrochemical Interface Eng. 2019, 1, 411–430. [Google Scholar] [CrossRef]
- Smith, S.; Goodge, K.; Delaney, M.; Struzyk, A.; Tansey, N.; Frey, M. A comprehensive review of the covalent immobilization of biomolecules onto electrospun nanofibers. Nanomaterials 2020, 10, 2142. [Google Scholar] [CrossRef]
- Imam, H.T.; Marr, P.C.; Marr, A.C. Enzyme entrapment, biocatalyst immobilization without covalent attachment. Green Chem. 2021, 23, 4980–5005. [Google Scholar] [CrossRef]
- Tarhan, T.; Ulu, A.; Sariçam, M.; Çulha, M.; Ates, B. Maltose functionalized magnetic core/shell Fe3O4@Au nanoparticles for an efficient L-asparaginase immobilization. Int. J. Biol. Macromol. 2020, 142, 443–451. [Google Scholar] [CrossRef]
- Almeida, M.R.; Cristóvão, R.O.; Barros, M.A.; Nunes, J.C.F.; Boaventura, R.A.R.; Loureiro, J.M.; Faria, J.L.; Neves, M.C.; Freire, M.G.; Santos-Ebinuma, V.C.; et al. Superior operational stability of immobilized L-asparaginase over surface-modified carbon nanotubes. Sci. Rep. 2021, 11, 21529. [Google Scholar] [CrossRef]
- Agrawal, S.; Kango, N. Development and catalytic characterization of L-asparaginase nano-bioconjugates. Int. J. Biol. Macromol. 2019, 135, 1142–1150. [Google Scholar] [CrossRef]
- Ates, B.; Ulu, A.; Köytepe, S.; Ali Noma, S.A.; Kolat, V.S.; Izgi, T. Magnetic-propelled Fe3O4-chitosan carriers enhance l-asparaginase catalytic activity: A promising strategy for enzyme immobilization. RSC Adv. 2018, 8, 36063–36075. [Google Scholar] [CrossRef]
- Tinoco, A.; Sárria, M.P.; Loureiro, A.; Parpot, P.; Espiña, B.; Gomes, A.C.; Cavaco-Paulo, A.; Ribeiro, A. BSA/ASN/Pol407 nanoparticles for acute lymphoblastic leukemia treatment. Biochem. Eng. J. 2019, 141, 80–88. [Google Scholar] [CrossRef]
- Golestaneh, D.; Varshosaz, J. Enhancement in biological activity of L-asparaginase by its conjugation on silica nanoparticles. Recent Pat. Nanotechnol. 2018, 12, 70–82. [Google Scholar] [CrossRef]
- Agustian, J.; Hermida, L. Mesostructured cellular foam MCF-(9.2T-3D) silica as support for free α-amylase in liquefaction of tapioca starch. IOP Conf. Ser. Mater. Sci. Eng. 2019, 509, 012059. [Google Scholar] [CrossRef]
- Wang, Y.; Caruso, F. Mesoporous silica spheres as supports for enzyme immobilization and encapsulation. Chem. Mater. 2005, 17, 953–961. [Google Scholar] [CrossRef]
- Matsuura, S.; Chiba, M.; Tsunoda, T.; Yamaguchi, A. Enzyme immobilization in mesoporous silica for enhancement of thermostability. J. Nanosci. Nanotechnol. 2018, 18, 104–109. [Google Scholar] [CrossRef]
- Nikolić, M.P.; Pavlović, V.B.; Stanojević-Nikolić, S.; Srdić, V.V. Enzyme immobilization using two processing methods onto silica core-shell particles. Bol. Soc. Esp. Ceram. Vidr. 2021, 60, 243–254. [Google Scholar] [CrossRef]
- Costantini, A.; Califano, V. Lipase immobilization in mesoporous silica nanoparticles for biofuel production. Catalysts 2021, 11, 629. [Google Scholar] [CrossRef]
- Hou, C.; Ghéczy, N.; Messmer, D.; Szymańska, K.; Adamcik, J.; Mezzenga, R.; Jarzȩbski, A.B.; Walde, P. Stable immobilization of enzymes in a macro- and mesoporous silica monolith. ACS Omega 2019, 4, 7795–7806. [Google Scholar] [CrossRef]
- Hussein, K.H.; Park, K.-M.; Lee, Y.-S.; Woo, J.-S.; Kang, B.-J.; Choi, K.-Y.; Kang, K.-S.; Woo, H.-M. New insights into the pros and cons of cross-linking decellularized bioartificial organs. Int. J. Artif. Organs 2017, 40, 136–141. [Google Scholar] [CrossRef]
- Alswieleh, A.M. Modification of mesoporous silica surface by immobilization of functional groups for controlled drug release. J. Chem. 2020, 2020, 9176257. [Google Scholar] [CrossRef]
- Dobrzanska, D.A.; Cooper, A.L.; Dowson, C.G.; Evans, S.D.; Fox, D.J.; Johnson, B.R.; Biggs, C.I.; Randev, R.K.; Stec, H.M.; Taylor, P.C.; et al. Oxidation of tertiary amine-derivatized surfaces to control protein adhesion. Langmuir 2013, 29, 2961–2970. [Google Scholar] [CrossRef]
- Lai, J.Q.; Li, Z.; Lü, Y.-H.; Yang, Z. Specific ion effects of ionic liquids on enzyme activity and stability. Green Chem. 2011, 13, 1860–1868. [Google Scholar] [CrossRef]
- Capela, E.V.; Valente, A.I.; Nunes, J.C.F.; Magalhães, F.F.; Rodríguez, O.; Soto, A.; Freire, M.G.; Tavares, A.P.M. Insights on the laccase extraction and activity in ionic-liquid-based aqueous biphasic systems. Sep. Purif. Technol. 2020, 248, 117052. [Google Scholar] [CrossRef]
- Attri, P.; Venkatesu, P.; Kumar, A. Activity and stability of α-chymotrypsin in biocompatible ionic liquids: Enzyme refolding by triethyl ammonium acetate. Phys. Chem. Chem. Phys. 2011, 13, 2788–2796. [Google Scholar] [CrossRef]
- Qiu, H.; Jiang, S.; Liu, X. N-Methylimidazolium anion-exchange stationary phase for high-performance liquid chromatography. J. Chromatogr. A 2006, 1103, 265–270. [Google Scholar] [CrossRef]
- Hu, Y.; Tang, S.; Jiang, L.; Zou, B.; Yang, J.; Huang, H. Immobilization of Burkholderia cepacia lipase on functionalized ionic liquids modified mesoporous silica SBA-15. Process Biochem. 2012, 47, 2291–2299. [Google Scholar] [CrossRef]
- Zhou, H.; Yang, L.; Li, W.; Wang, F.; Li, W.; Zhao, J.; Liang, X.; Liu, H. Immobilizing penicillin g acylase using silica-supported ionic liquids: The effects of ionic liquid loadings. Ind. Eng. Chem. Res. 2012, 51, 13173–13181. [Google Scholar] [CrossRef]
- de Souza, R.L.; de Faria, E.L.P.; Figueiredo, R.T.; dos Santos Freitas, L.; Iglesias, M.; Mattedi, S.; Zanin, G.M.; dos Santos, O.A.A.; Coutinho, J.A.P.; Lima, Á.S.; et al. Protic ionic liquid as additive on lipase immobilization using silica sol-gel. Enzyme Microb. Technol. 2013, 52, 141–150. [Google Scholar] [CrossRef]
- Kato, K.; Kawachi, Y.; Nakamura, H. Silica-enzyme-ionic liquid composites for improved enzymatic activity. J. Asian Ceram. Soc. 2014, 2, 33–40. [Google Scholar] [CrossRef]
- Ventura, S.P.M.; e Silva, F.A.; Quental, M.V.; Mondal, D.; Freire, M.G.; Coutinho, J.A.P. Ionic-liquid-mediated extraction and separation processes for bioactive compounds: Past, present, and future trends. Chem. Rev. 2017, 117, 6984–7052. [Google Scholar] [CrossRef]
- Campisciano, V.; Giacalone, F.; Gruttadauria, M. Supported ionic liquids: A versatile and useful class of materials. Chem. Rec. 2017, 17, 918–938. [Google Scholar] [CrossRef]
- Bernardo, S.C.; Araújo, B.R.; Sousa, A.C.A.; Barros, R.A.; Cristovão, A.C.; Neves, M.C.; Freire, M.G. Supported ionic liquids for the efficient removal of acetylsalicylic acid from aqueous solutions. Eur. J. Inorg. Chem. 2020, 2020, 2380–2389. [Google Scholar] [CrossRef]
- Magri, A.; Soler, M.F.; Lopes, A.M.; Cilli, E.M.; Barber, P.S.; Pessoa, A.; Pereira, J.F.B. A critical analysis of L-asparaginase activity quantification methods—colorimetric methods versus high-performance liquid chromatography. Anal. Bioanal. Chem. 2018, 410, 6985–6990. [Google Scholar] [CrossRef]
- Martínez-Rosell, G.; Giorgino, T.; De Fabritiis, G. PlayMolecule ProteinPrepare: A web application for protein preparation for molecular dynamics simulations. J. Chem. Inf. Model. 2017, 57, 1511–1516. [Google Scholar] [CrossRef]
- Trott, O.; Olson, A. AutoDock Vina: Improving the speed and accuracy of docking with a new scoring function, efficient optimization and multithreading. J. Comput. Chem. 2010, 31, 455–461. [Google Scholar] [CrossRef]
- Morris, G.M.; Huey, R.; Lindstrom, W.; Sanner, M.F.; Belew, R.K.; Goodsell, D.S.; Olson, A.J. AutoDock4 and AutoDockTools4: Automated docking with selective receptor flexibility. J. Comput. Chem. 2009, 30, 2785–2791. [Google Scholar] [CrossRef]
- Cousins, K.R. Computer review of ChemDraw Ultra 12.0. J. Am. Chem. Soc. 2011, 133, 8388. [Google Scholar] [CrossRef]
- Radi, S.; Basbas, N.; Tighadouini, S.; Bacquet, M. New polysiloxane surfaces modified with ortho-, meta- or para-nitrophenyl receptors for copper adsorption. J. Surf. Eng. Mater. Adv. Technol. 2014, 4, 21–28. [Google Scholar] [CrossRef][Green Version]
- Adeishvili, K. Glycerol-induced aggregation of the oligomeric l-asparaginase II from E. coli monitored with ATR-FTIR. Int. J. Mol. Sci. 2001, 2, 109–120. [Google Scholar] [CrossRef]
- Kong, J.; Yu, S. Fourier transform infrared spectroscopic analysis of protein secondary structures. Acta Biochim. Biophys. Sin. 2007, 39, 549–559. [Google Scholar] [CrossRef]
- Senthil Kumar, M.; Selvam, K. Isolation and purification of high efficiency L-asparaginase by quantitative preparative continuous-elution SDS PAGE electrophoresis. J. Microb. Biochem. Technol. 2011, 3, 73–83. [Google Scholar] [CrossRef]
- Morikawa, Y.; Karube, I.; Suzuki, S.; Nakano, Y.; Taguchi, T. Enzymatic properties and application of L-asparaginase-collagen membrane. Biotechnol. Bioeng. 1978, 20, 1143–1152. [Google Scholar] [CrossRef]
- Li, G.; Nandgaonkar, A.G.; Lu, K.; Krause, W.E.; Lucia, L.A.; Wei, Q. Laccase immobilized on PAN/O-MMT composite nanofibers support for substrate bioremediation: A de novo adsorption and biocatalytic synergy. RSC Adv. 2016, 6, 41420–41427. [Google Scholar] [CrossRef]
- Ulu, A.; Noma, S.A.A.; Koytepe, S.; Ates, B. Chloro-modified magnetic Fe3O4 @MCM-41 core-shell nanoparticles for l-asparaginase immobilization with improved catalytic activity, reusability, and storage stability. Appl. Biochem. Biotechnol. 2018, 187, 938–956. [Google Scholar] [CrossRef]
- Orhan, H.; Aktaş Uygun, D. Immobilization of L-asparaginase on magnetic nanoparticles for cancer treatment. Appl. Biochem. Biotechnol. 2020, 191, 1432–1443. [Google Scholar] [CrossRef] [PubMed]
- Ulu, A.; Karaman, M.; Yapıcı, F.; Naz, M.; Sayın, S.; Saygılı, E.İ.; Ateş, B. The carboxylated multi-walled carbon nanotubes/l-asparaginase doped calcium-alginate beads: Structural and biocatalytic characterization. Catal. Lett. 2020, 150, 1679–1691. [Google Scholar] [CrossRef]








| Ionic Liquid | Abbreviation | Chemical Structure |
|---|---|---|
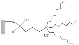
| ― | [Si][C3]Cl | ![]() |
| N,N-Dimethylbutylammonium chloride | [Si][N3114]Cl | ![]() |
| N,N-Dimethylhexylammonium chloride | [Si][N3116]Cl | ![]() |
| N,N-Dimethyloctylammonium chloride | [Si][N3118]Cl | ![]() |
| Triethylammonium chloride | [Si][N3222]Cl | ![]() |
| Tributylammonium chloride | [Si][N3444]Cl | ![]() |
| Trihexylammonium chloride | [Si][N3666]Cl | ![]() |
| Trioctylammonium chloride | [Si][N3888]Cl | ![]() |
| Material | %C | %H | %N | n (mol) | BA (µmol m−2) | PZC |
|---|---|---|---|---|---|---|
| Silica | ― | ― | ― | ― | ― | 3.4 |
| [Si][C3]Cl | 4.64 | 1.39 | 0.00 | ― | 2.96 | 4.2 |
| [Si][N3114]Cl | 7.72 | 1.84 | 0.77 | 0.035 | 1.26 | 9.3 |
| [Si][N3116]Cl | 10.72 | 2.32 | 0.99 | 0.028 | 1.62 | 10.0 |
| [Si][N3118]Cl | 10.92 | 2.33 | 0.79 | 0.023 | 1.29 | 10.1 |
| [Si][N3222]Cl | 7.29 | 1.51 | 0.26 | 0.036 | 0.43 | 9.0 |
| [Si][N3444]Cl | 5.74 | 1.34 | 0.15 | 0.021 | 0.24 | 6.0 |
| [Si]N3666]Cl | 6.55 | 1.52 | 0.09 | 0.014 | 0.14 | 5.9 |
| [Si][N3888]Cl | 6.90 | 1.34 | 0.07 | 0.011 | 0.12 | 5.5 |
| Support | Relative Recovered Activity * | Refs. |
|---|---|---|
| [Si][N3444]Cl | 92% | This work |
| [Si][N3666]Cl | 95% | |
| [Si][N3888]Cl | 100% | |
| Pristine MWCNTs | >90% | [10] |
| Functionalized MWCNTs | >95% | [15] |
| SSILLP Cation | Affinity (kcal mol−1) | Type of Interactions | Interaction From | To | Distance (Å) |
|---|---|---|---|---|---|
| [N3222]+ | −5.1 | Electrostatic | [N3222]+ | GLU40 1* (Chain C) | 5.57 |
| GLU40 (Chain D) | 5.18 | ||||
| [N3114]+ | −5.5 | Electrostatic | [N3114]+ | GLU40 (Chain C) | 5.02 |
| Hydrophobic | ILE130 2* (Chain C) | 4.64 | |||
| ILE130 (Chain D) | 4.89 | ||||
| [N3888]+ | −7.4 | Hydrophobic | ARG43 3* (Chain C) | [N3888]+ | 5.46 |
| ARG33 (Chain D) | [N3888]+ | 4.01 | |||
| [N3888]+ | LEU37 4* (Chain D) | 4.74 | |||
| [N3888]+ | ARG43 (Chain C) | 5.16 |
| Immobilization Method | Support | Enzyme Activity after 5 Cycles of Reaction * | Refs. |
|---|---|---|---|
| Physical adsorption | [Si][N3444]Cl | 88% | This work |
| [Si][N3666]Cl | 88% | ||
| [Si][N3888]Cl | 84.4% | ||
| Maltose-functionalized magnetic core/shell Fe3O4@Au NPs | ≈78% | [14] | |
| Covalent attachment | Chloro-modified magnetic Fe3O4@MCM-41 core-shell NPs | ≈81% | [51] |
| Magnetic poly(HEMA-GMA) NPs | 85.14% | [52] | |
| Entrapment | Calcium-alginate/MWCNTs-COOH | 58.7% | [53] |
Publisher’s Note: MDPI stays neutral with regard to jurisdictional claims in published maps and institutional affiliations. |
© 2022 by the authors. Licensee MDPI, Basel, Switzerland. This article is an open access article distributed under the terms and conditions of the Creative Commons Attribution (CC BY) license (https://creativecommons.org/licenses/by/4.0/).
Share and Cite
Nunes, J.C.F.; Almeida, M.R.; Bento, R.M.F.; Pereira, M.M.; Santos-Ebinuma, V.C.; Neves, M.C.; Freire, M.G.; Tavares, A.P.M. Enhanced Enzyme Reuse through the Bioconjugation of L-Asparaginase and Silica-Based Supported Ionic Liquid-like Phase Materials. Molecules 2022, 27, 929. https://doi.org/10.3390/molecules27030929
Nunes JCF, Almeida MR, Bento RMF, Pereira MM, Santos-Ebinuma VC, Neves MC, Freire MG, Tavares APM. Enhanced Enzyme Reuse through the Bioconjugation of L-Asparaginase and Silica-Based Supported Ionic Liquid-like Phase Materials. Molecules. 2022; 27(3):929. https://doi.org/10.3390/molecules27030929
Chicago/Turabian StyleNunes, João C. F., Mafalda R. Almeida, Rui M. F. Bento, Matheus M. Pereira, Valéria C. Santos-Ebinuma, Márcia C. Neves, Mara G. Freire, and Ana P. M. Tavares. 2022. "Enhanced Enzyme Reuse through the Bioconjugation of L-Asparaginase and Silica-Based Supported Ionic Liquid-like Phase Materials" Molecules 27, no. 3: 929. https://doi.org/10.3390/molecules27030929
APA StyleNunes, J. C. F., Almeida, M. R., Bento, R. M. F., Pereira, M. M., Santos-Ebinuma, V. C., Neves, M. C., Freire, M. G., & Tavares, A. P. M. (2022). Enhanced Enzyme Reuse through the Bioconjugation of L-Asparaginase and Silica-Based Supported Ionic Liquid-like Phase Materials. Molecules, 27(3), 929. https://doi.org/10.3390/molecules27030929









