Anti-Obesity Potential of Ponciri Fructus: Effects of Extracts, Fractions and Compounds on Adipogenesis in 3T3-L1 Preadipocytes
Abstract
1. Introduction
2. Results
2.1. Structure Elucidation of Isolated Compounds
2.2. UPLC Analysis of the Samples
2.3. Bioassay in 3T3-L1 Pre-Adipocyte
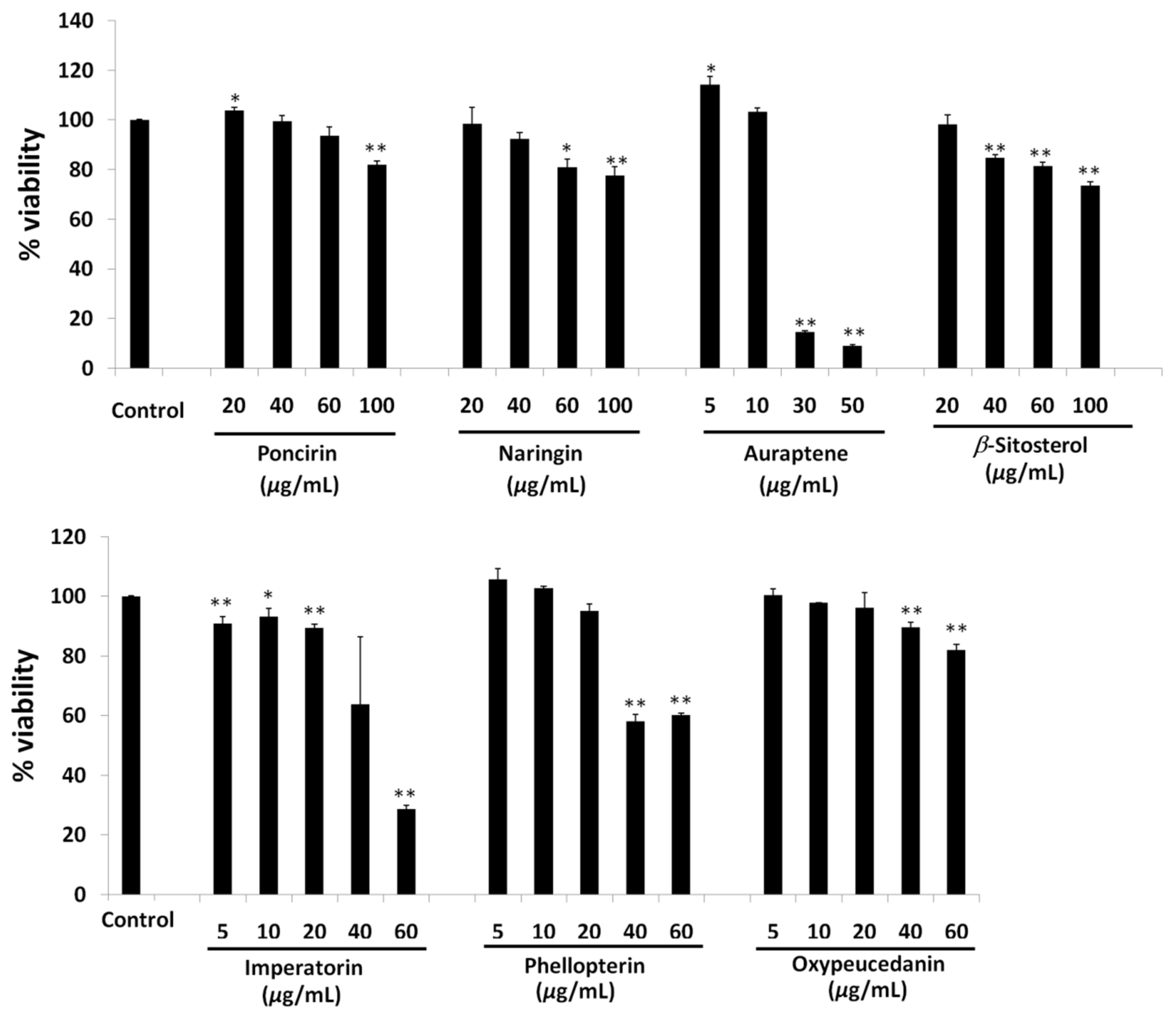
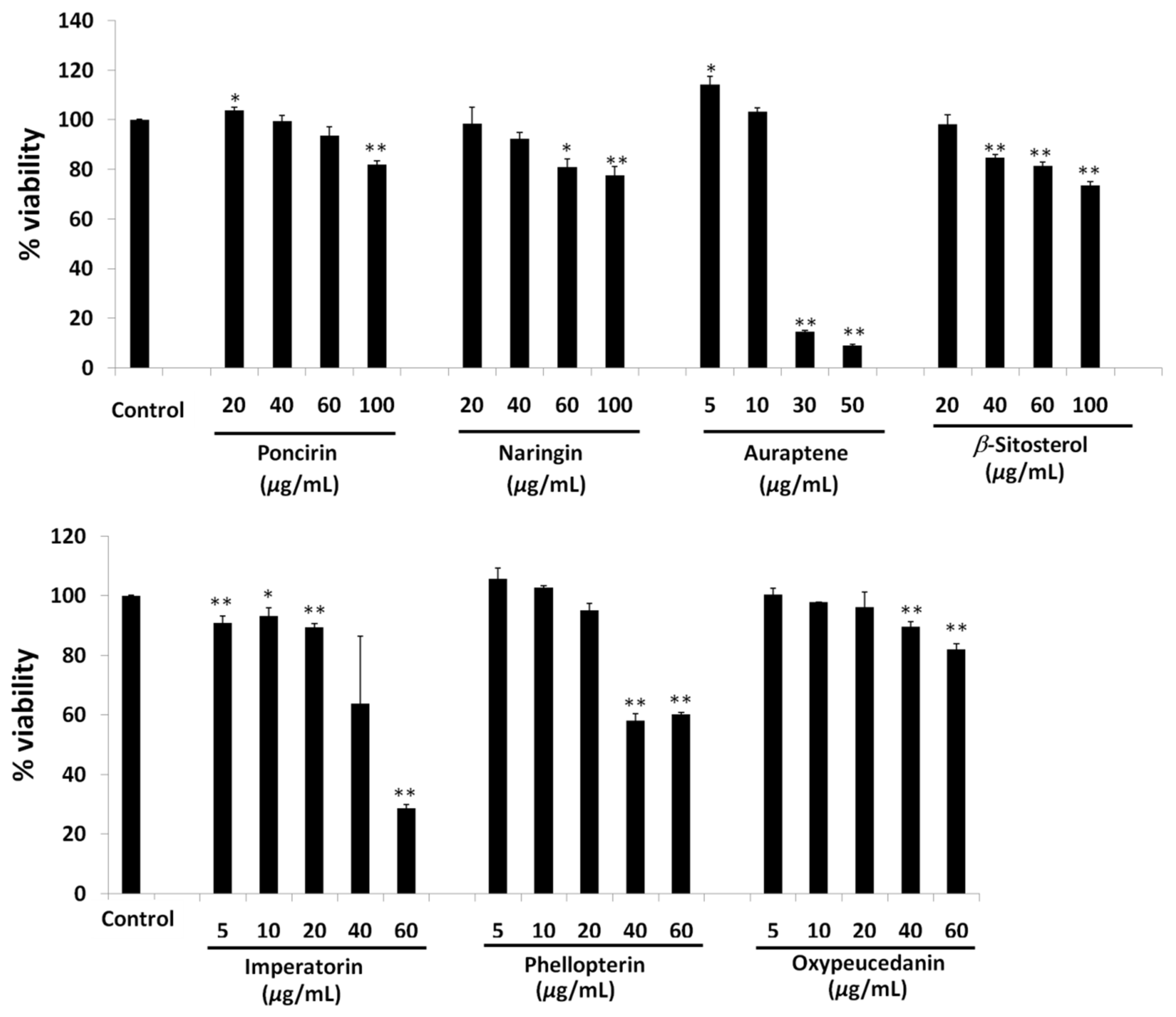
2.3.1. Cell Viability Assay
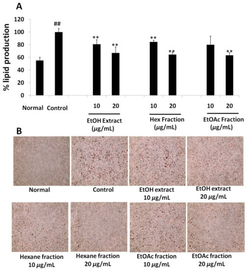
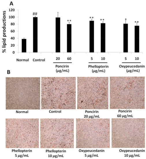
2.3.2. Oil Red O (ORO)Assay
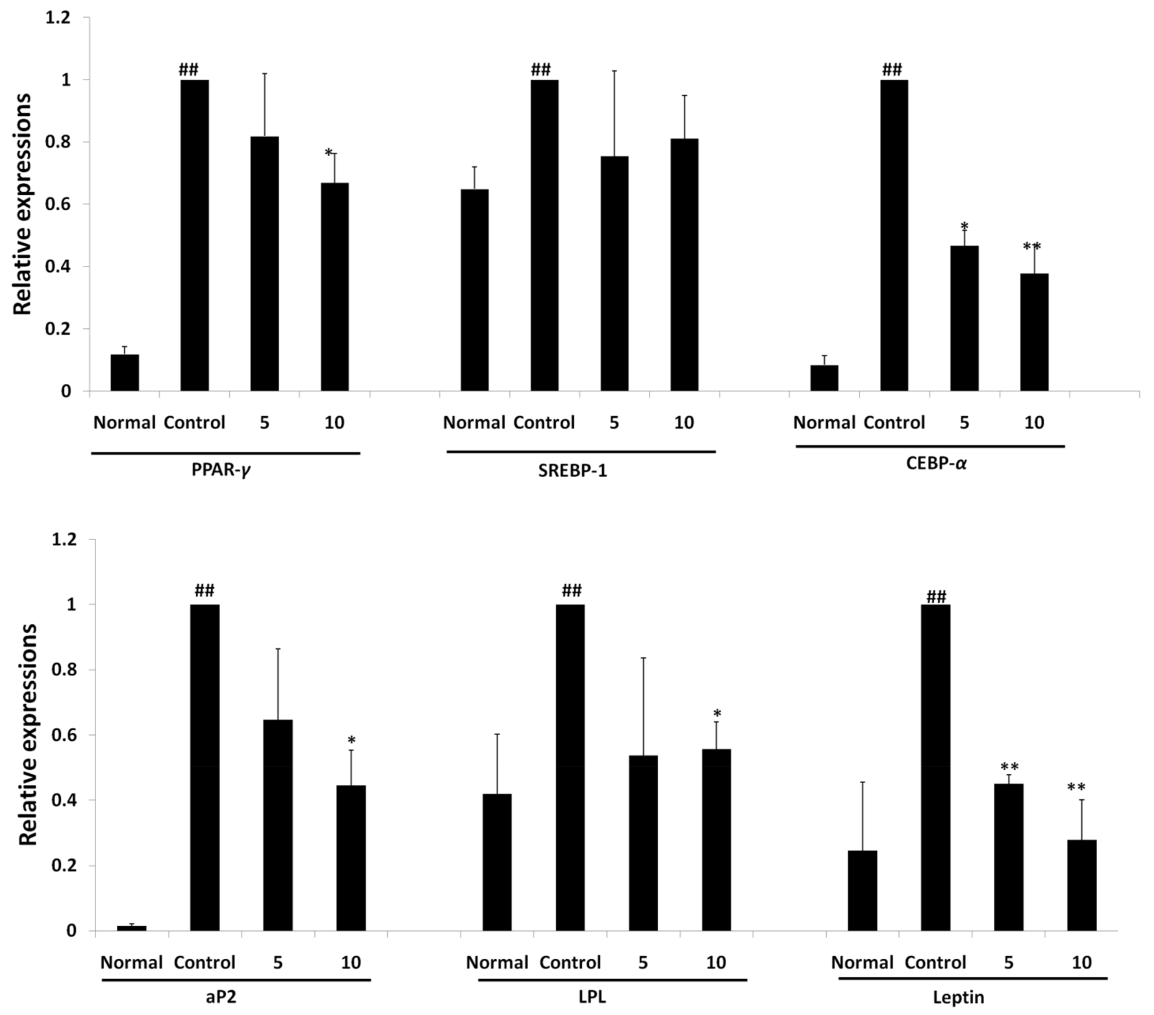
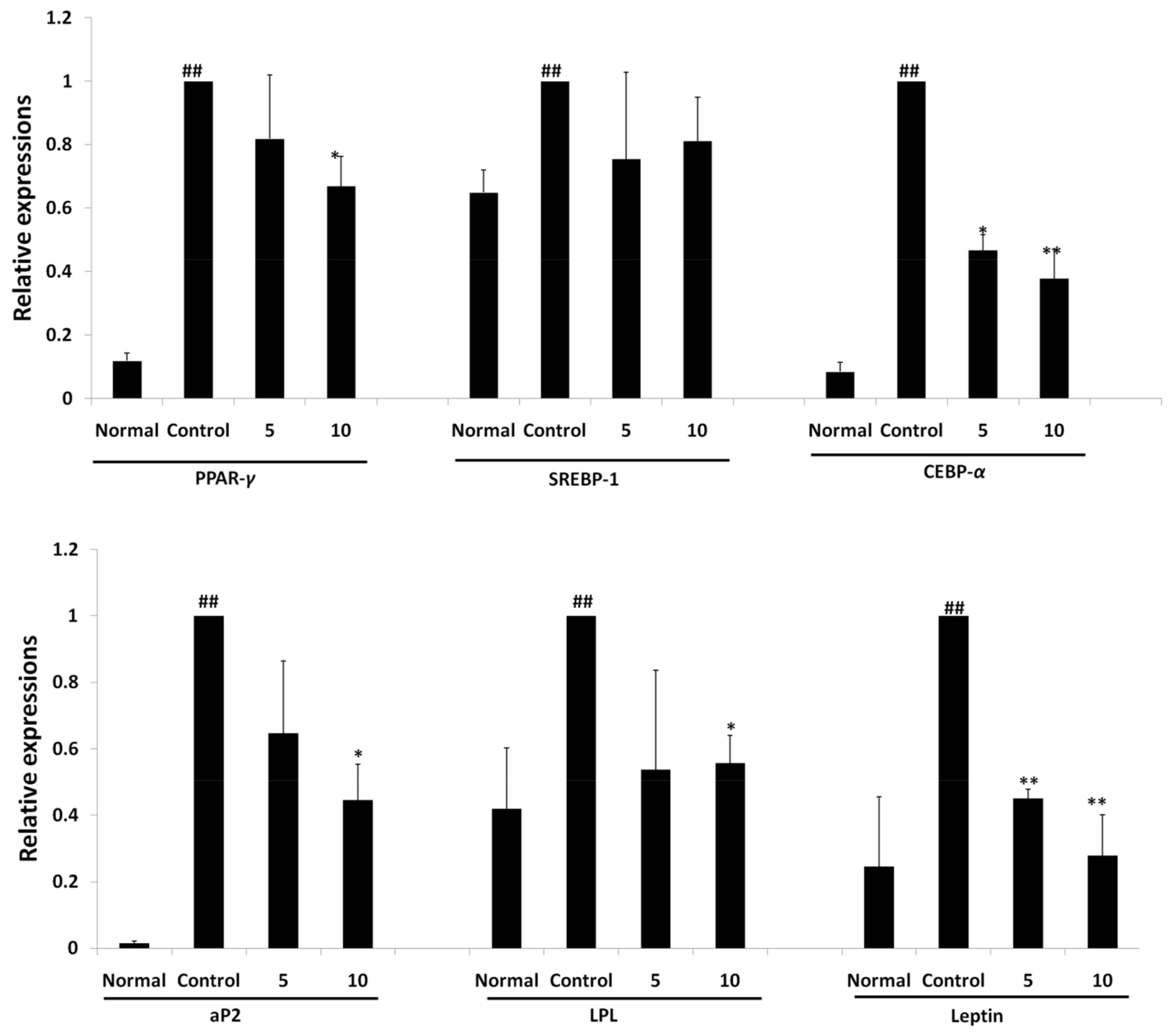
2.3.3. Regulation of Expression of Adipogenic Proteins by Oxypeucedanin
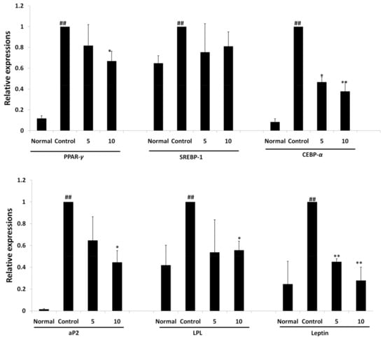
2.3.4. Regulation of Expression of Adipogenic Gene by Oxypeucedanin
3. Discussion
4. Materials and Methods
4.1. Solvents, Chemicals and Instrumentation
4.2. Cell Culture and Bioassay Reagent
4.3. Extraction, Fractionation and Isolation
4.4. Identification of Isolated Compounds
4.5. UPLC Instrumentation and Column Condition
4.6. Sample Preparation for Cell Assay
4.7. Cell Assay on 3T3-L1 Pre-Adipocyte
4.7.1. Cell Culture and Viability Assay
4.7.2. 3T3-L1 Preadipocyte Differentiation and Oil Red O Assay
4.7.3. RNA Extraction and Real Time PCR Analysis
4.7.4. Protein Extraction and Western Blotting
4.8. Statistical Analysis
5. Conclusions
Supplementary Materials
Author Contributions
Funding
Institutional Review Board Statement
Informed Consent Statement
Data Availability Statement
Acknowledgments
Conflicts of Interest
Sample Availability
References
- Kopelman, P.G. Obesity as a medical problem. Nature 2000, 404, 635–643. [Google Scholar] [CrossRef]
- Martorell, R.; Khan, L.K.; Hughes, M.L.; Grummer-Strawn, L.M. Obesity in women from developing countries. Eur. J. Clin. Nutr. 2000, 54, 247–252. [Google Scholar] [CrossRef] [PubMed]
- Yang, J.; Ren, J.; Song, J.; Liu, F.; Wu, C.; Wang, X.; Gong, L.; Li, W.; Xiao, F.; Yan, F.; et al. Glucagon-like peptide 1 regulates adipogenesis in 3T3-L1 preadipocytes. Int. J. Mol. Med. 2013, 31, 1429–1435. [Google Scholar] [CrossRef]
- Lefterova, M.I.; Lazar, M.A. New developments in adipogenesis. Trends Endocrinol. Metab. 2009, 20, 107–114. [Google Scholar] [CrossRef] [PubMed]
- Farmer, S.R. Regulation of PPARγ activity during adipogenesis. Int. J. Obes. 2005, 29 (Suppl. 1), S13–S16. [Google Scholar] [CrossRef] [PubMed]
- Lee, J.-E.; Schmidt, H.; Lai, B.; Ge, K. Transcriptional and epigenomic regulation of adipogenesis. Mol. Cell Biol. 2019, 39, e00601-18. [Google Scholar] [CrossRef]
- Rosen, E.D.; Spiegelman, B.M. Molecular regulation of adipogenesis. Annu. Rev. Cell Dev. Biol. 2000, 16, 145–171. [Google Scholar] [CrossRef]
- Pandeya, P.R.; Lamichane, R.; Lamichhane, G.; Lee, K.H.; Lee, K.L.; Rhee, S.J.; Jung, H.J. 18KHT01, a potent anti-obesity polyherbal formulation. Front. Pharmacol. 2021, 12, 807081. [Google Scholar] [CrossRef]
- Jee, W.; Lee, S.H.; Ko, H.M.; Jung, J.H.; Chung, W.S.; Jang, H.J. Anti-Obesity Effect of Polygalin C Isolated from Polygala japonica Houtt. via Suppression of the Adipogenic and Lipogenic Factors in 3T3-L1 Adipocytes. Int. J. Mol. Sci. 2021, 22, 10405. [Google Scholar] [CrossRef] [PubMed]
- Guru, A.; Issac, P.K.; Velayutham, M.; Saraswathi, N.T.; Arshad, A.; Arockiaraj, J. Molecular mechanism of down-regulating adipogenic transcription factors in 3T3-L1 adipocyte cells by bioactive anti-adipogenic compounds. Mol. Biol. Rep. 2020, 48, 743–761. [Google Scholar] [CrossRef] [PubMed]
- Jakab, J.; Miškić, B.; Mikšić, Š.; Juranić, B.; Ćosić, V.; Schwarz, D.; Včev, A. Adipogenesis as a potential anti-obesity target: A review of pharmacological treatment and natural products. Diabetes Metab. Syndr. Obes. 2021, 14, 67–83. [Google Scholar] [CrossRef] [PubMed]
- World Health Organization. WHO Traditional Medicine Strategy: 2014–2023; World Health Organization: Geneva, Switzerland, 2013. [Google Scholar]
- Yuan, H.; Ma, Q.; Ye, L.; Piao, G. The traditional medicine and modern medicine from natural products. Molecules 2016, 21, 559. [Google Scholar] [CrossRef] [PubMed]
- Samy, R.P.; Gopalakrishnakone, P. Current status of herbal and their future perspectives. Nat. Preced. 2007, 1. [Google Scholar] [CrossRef]
- Newman, D.J.; Cragg, G.M. Natural products as sources of new drugs over the nearly four decades from 01/1981 to 09/2019. J. Nat. Prod. 2020, 83, 770–803. [Google Scholar] [CrossRef]
- Atanasov, A.G.; Waltenberger, B.; Pferschy-Wenzig, E.-M.; Linder, T.; Wawrosch, C.; Uhrin, P.; Temml, V.; Wang, L.; Schwaiger, S.; Heiss, E.H. Discovery and resupply of pharmacologically active plant-derived natural products: A review. Biotechnol. Adv. 2015, 33, 1582–1614. [Google Scholar] [CrossRef]
- Kim, J.K.; Choi, S.J.; Bae, H.; Kim, C.R.; Cho, H.-Y.; Kim, Y.J.; Lim, S.T.; Kim, C.-J.; Kim, H.K.; Peterson, S. Effects of methoxsalen from Poncirus trifoliata on acetylcholinesterase and trimethyltin-induced learning and memory impairment. Biosci. Biotechnol. Biochem. 2011, 75, 1984–1989. [Google Scholar] [CrossRef] [PubMed][Green Version]
- Rajkumar, S.; Jebanesan, A. Bioactivity of flavonoid compounds from Poncirus trifoliata L. (Family: Rutaceae) against the dengue vector, Aedes aegypti L. (Diptera: Culicidae). Parasitol. Res. 2008, 104, 19–25. [Google Scholar] [CrossRef]
- Han, H.-Y.; Park, B.-S.; Lee, G.S.; Jeong, S.-H.; Kim, H.; Ryu, M.H. Autophagic cell death by Poncirus trifoliata Rafin., a traditional oriental medicine, in human oral cancer HSC-4 cells. Evid. Based Complement. Alternat. Med. 2015, 2015, 394263. [Google Scholar] [CrossRef]
- Shim, W.-S.; Back, H.; Seo, E.-K.; Lee, H.-T.; Shim, C.-K. Long-term administration of an aqueous extract of dried, immature fruit of Poncirus trifoliata (L.) Raf. suppresses body weight gain in rats. J. Ethnopharmacol. 2009, 126, 294–299. [Google Scholar] [CrossRef]
- Kim, B.J.; San Lee, G.; Kim, H.W. Involvement of transient receptor potential melastatin type 7 channels on Poncirus fructus-induced depolarizations of pacemaking activity in interstitial cells of Cajal from murine small intestine. Integr. Med. Res. 2013, 2, 62–69. [Google Scholar] [CrossRef] [PubMed][Green Version]
- Xu, G.-H.; Kim, J.-A.; Kim, S.-Y.; Ryu, J.-C.; Kim, Y.-S.; Jung, S.-H.; Kim, M.-K.; Lee, S.-H. Terpenoids and coumarins isolated from the fruits of Poncirus trifoliata. Chem. Pharm. Bull. 2008, 56, 839–842. [Google Scholar] [CrossRef]
- Pokharel, Y.R.; Jeong, J.-E.; Oh, S.J.; Kim, S.K.; Woo, E.-R.; Kang, K.W. Screening of potential chemopreventive compounds from Poncirus trifoliata Raf. Pharmazie 2006, 61, 796–798. [Google Scholar]
- Rahman, A.; Siddiqui, A.S.; Jakhar, R.; Kang, S.C. Growth inhibition of various human cancer cell lines by imperatorin and limonin from Poncirus trifoliata rafin. Seeds. Anti-Cancer Agents Med. Chem. 2015, 15, 236–241. [Google Scholar] [CrossRef]
- Nizamutdinova, I.T.; Jeong, J.J.; Xu, G.H.; Lee, S.-H.; Kang, S.S.; Kim, Y.S.; Chang, K.C.; Kim, H.J. Hesperidin, hesperidin methyl chalone and phellopterin from Poncirus trifoliata (Rutaceae) differentially regulate the expression of adhesion molecules in tumor necrosis factor-α-stimulated human umbilical vein endothelial cells. Int. Immunopharmacol. 2008, 8, 670–678. [Google Scholar] [CrossRef] [PubMed]
- Han, A.-R.; Kim, J.-B.; Lee, J.; Nam, J.-W.; Lee, I.-S.; Shim, C.-K.; Lee, K.-T.; Seo, E.-K. A new flavanone glycoside from the dried immature fruits of Poncirus trifoliata. Chem. Pharm. Bull. 2007, 55, 1270–1273. [Google Scholar] [CrossRef] [PubMed]
- Lee, J.H.; Lee, S.H.; Kim, Y.S.; Jeong, C.S. Protective effects of neohesperidin and poncirin isolated from the fruits of Poncirus trifoliata on potential gastric disease. Phytother. Res. 2009, 23, 1748–1753. [Google Scholar] [CrossRef] [PubMed]
- Park, H.-R. Pancastatin A and B Have Selective Cytotoxicity on Glucose-Deprived PANC-1 Human Pancreatic Cancer Cells. J. Microbiol. Biotechnol. 2020, 30, 733–738. [Google Scholar] [CrossRef]
- Jia, S.; Gao, Z.; Yan, S.; Chen, Y.; Sun, C.; Li, X.; Chen, K. Anti-obesity and hypoglycemic effects of Poncirus trifoliata L. extracts in high-fat diet C57BL/6 mice. Molecules 2016, 21, 453. [Google Scholar] [CrossRef] [PubMed]
- Lu, Y.; Xi, W.; Ding, X.; Fan, S.; Zhang, Y.; Jiang, D.; Li, Y.; Huang, C.; Zhou, Z. Citrange fruit extracts alleviate obesity-associated metabolic disorder in high-fat diet-induced obese C57BL/6 mouse. Int. J. Mol. Sci. 2013, 14, 23736–23750. [Google Scholar] [CrossRef]
- Lee, E. Antihyperlipidemic and antioxidant effects of Poncirus trifoliata. Korean J. Plant Resour. 2006, 19, 273–276. [Google Scholar]
- Kim, M.; Seol, M.H.; Lee, B.-C. The Effects of Poncirus fructus on Insulin Resistance and the Macrophage-Mediated Inflammatory Response in High Fat Diet-Induced Obese Mice. Int. J. Mol. Sci. 2019, 20, 2858. [Google Scholar] [CrossRef]
- Kim, C.Y.; Lee, H.J.; Lee, M.K.; Ahn, M.J.; Kim, J. One step purification of flavanone glycosides from Poncirus trifoliata by centrifugal partition chromatography. J. Sep. Sci. 2007, 30, 2693–2697. [Google Scholar] [CrossRef]
- Li, G.; Wang, J.; Li, X.; Xu, J.; Zhang, Z.; Si, J. A new terpene coumarin microbial transformed by Mucor polymorphosporus induces apoptosis of human gastric cancer cell line MGC-803. Arch. Pharm. Res. 2018, 41, 646–654. [Google Scholar] [CrossRef]
- Bergendorff, O.; Dekermendjian, K.; Nielsen, M.; Shan, R.; Witt, R.; Ai, J.; Sterner, O. Furanocoumarins with affinity to brain benzodiazepine receptors in vitro. Phytochemistry 1997, 44, 1121–1124. [Google Scholar] [CrossRef]
- Chaturvedula, V.S.P.; Prakash, I. Isolation of Stigmasterol and β-Sitosterol from the dichloromethane extract of Rubussuavissimus. Int. Curr. Pharm. J. 2012, 1, 239–242. [Google Scholar] [CrossRef]
- King, D. The future challenge of obesity. Lancet 2011, 378, 743–744. [Google Scholar] [CrossRef]
- Dietz, W.H. Reversing the tide of obesity. Lancet 2011, 378, 744–746. [Google Scholar] [CrossRef]
- Trouwborst, I.; Verreijen, A.; Memelink, R.; Massanet, P.; Boirie, Y.; Weijs, P.; Tieland, M. Exercise and nutrition strategies to counteract sarcopenic obesity. Nutrients 2018, 10, 605. [Google Scholar] [CrossRef]
- De Feo, P.; Boris, J.-M.; Maffeis, C. Lifestyle modification strategies to counteract the world epidemic growth of obesity and diabetes. Biomed. Res. Int. 2014, 2014, 640409. [Google Scholar] [CrossRef] [PubMed]
- Derosa, G.; Maffioli, P. Anti-obesity drugs: A review about their effects and their safety. Expert Opin. Drug Saf. 2012, 11, 459–471. [Google Scholar] [CrossRef]
- Kang, J.G.; Park, C.Y. Anti-Obesity Drugs: A Review about Their Effects and Safety. Diabetes Metab. J. 2012, 36, 13–25. [Google Scholar] [CrossRef]
- Ernst, E. In Herbal medicines: Balancing benefits and risks. Novartis Found Symp. 2007, 282, 154–167. [Google Scholar]
- Parim, B.; Harishankar, N.; Balaji, M.; Pothana, S.; Sajjalaguddam, R.R. Effects of Piper nigrum extracts: Restorative perspectives of high-fat diet-induced changes on lipid profile, body composition, and hormones in Sprague-Dawley rats. Pharm. Biol. 2015, 53, 1318–1328. [Google Scholar] [CrossRef]
- Sharma, N.K.; Ahirwar, D.; Jhade, D.; Jain, V.K. In-vitro anti-obesity assay of alcoholic and aqueous extracts of camellia sinensis leaves. Int. J. Pharm. Sci. Res. 2012, 3, 1863–1866. [Google Scholar]
- Raju, J.; Bird, R.P. Alleviation of hepatic steatosis accompanied by modulation of plasma and liver TNF-α levels by Trigonella foenum graecum (fenugreek) seeds in Zucker obese (fa/fa) rats. Int. J. Obes. 2006, 30, 1298–1307. [Google Scholar] [CrossRef]
- EbrahimzadehAttari, V.; Malek Mahdavi, A.; Javadivala, Z.; Mahluji, S.; ZununiVahed, S.; Ostadrahimi, A. A systematic review of the anti-obesity and weight lowering effect of ginger (Zingiber officinale Roscoe) and its mechanisms of action. Phytother. Res. 2018, 32, 577–585. [Google Scholar] [CrossRef]
- Karmase, A.; Jagtap, S.; Bhutani, K.K. Anti adipogenic activity of Aegle marmelos Correa. Phytomedicine 2013, 20, 1267–1271. [Google Scholar] [CrossRef]
- Xiao, L.; Zhang, J.; Li, H.; Liu, J.; He, L.; Zhang, J.; Zhai, Y. Inhibition of adipocyte differentiation and adipogenesis by the traditional Chinese herb Sibiraeaangustata. Exp. Biol. Med. 2010, 235, 1442–1449. [Google Scholar] [CrossRef] [PubMed]
- Kang, C.-H.; Kwon, Y.-J.; So, J.-S. Anti-adipogenic effects of Corni fructus in 3T3-L1 preadipocytes. Biotechnol. Bioprocess Eng. 2014, 19, 52–57. [Google Scholar] [CrossRef]
- Gurjar, S.; Pal, A.; Kapur, S. Triphala and Its Constituents Ameliorate Visceral Adiposit y from a High-fat Diet in Mice with Diet-induced Obesity. Altern. Ther. Health Med. 2012, 18, 38–45. [Google Scholar] [PubMed]
- Mathapati, I.S.; Manu, R. An open labeled clinical trail on the effect of Vrikshamla in Sthaulya (obesity) wsr to hyperlipidaemia. J. Ayurveda Integr. Med. Sci. 2020, 5, 16–21. [Google Scholar]
- Shim, E.H.; Lee, H.; Lee, M.S.; You, S. Anti-adipogenic effects of the traditional herbal formula Dohongsamul-tang in 3T3-L1 adipocytes. BMC Complement. Altern. Med. 2017, 17, 542. [Google Scholar] [CrossRef] [PubMed]
- Yoo, S.-R.; Seo, C.-S.; Kim, O.-S.; Shin, H.-K.; Jeong, S.-J. Anti-adipogenic and antioxidant effects of the traditional Korean herbal formula Samchulgeonbi-tang: An in vitro study. Int. J. Clin. Exp. Med. 2015, 8, 8698–8708. [Google Scholar]
- Lee, H.; Bae, S.; Yoon, Y. The WNT/β-catenin pathway mediates the anti-adipogenic mechanism of SH21B, a traditional herbal medicine for the treatment of obesity. J. Ethnopharmacol. 2011, 133, 788–795. [Google Scholar] [CrossRef] [PubMed]
- Yoo, S.-R.; Seo, C.-S.; Shin, H.-K.; Jeong, S.-J. Traditional herbal formula oyaksungi-san inhibits adipogenesis in 3T3-L1 adipocytes. Evid.-Based Complement. Altern. Med. 2015, 2015, 949461. [Google Scholar] [CrossRef]
- Pandeya, P.R.; Lamichhane, R.; Lee, K.-H.; Lamichhane, G.; Kim, S.-G.; Jung, H.-J. Efficacy of a Novel Herbal Formulation (F2) on the Management of Obesity: In Vitro and In Vivo Study. Evid.-Based Complement. Altern. Med. 2021, 2021, 8854915. [Google Scholar] [CrossRef]
- Lee, H.; Bae, S.; Kim, Y.S.; Yoon, Y. WNT/β-catenin pathway mediates the anti-adipogenic effect of platycodin D, a natural compound found in Platycodon grandiflorum. Life Sci. 2011, 89, 388–394. [Google Scholar] [CrossRef]
- Guo, L.-X.; Chen, G.; Yin, Z.Y.; Zhang, Y.H.; Zheng, X.-X. p-synephrine exhibits anti-adipogenic activity by activating the Akt/GSK3β signaling pathway in 3T3-L1 adipocytes. J. Biochem. 2019, 43, e13033. [Google Scholar] [CrossRef]
- Song, N.-J.; Yoon, H.-J.; Kim, K.H.; Jung, S.-R.; Jang, W.-S.; Seo, C.-R.; Lee, Y.M.; Kweon, D.-H.; Hong, J.-W.; Lee, J.-S. Butein is a novel anti-adipogenic compound [S]. J. Lipid Res. 2011, 54, 1385–1396. [Google Scholar] [CrossRef] [PubMed]
- Kim, S.; Ahn, S.-H.; Park, J.-H.; Park, C.H.; Sin, Y.S.; Shin, G.-W.; Kwon, J. Anti-adipogenic effects of viscothionin in 3T3-L1 adipocytes and high fat diet induced obesity mice. Appl. Biol. Chem. 2020, 63, 9. [Google Scholar] [CrossRef]
- Hu, J.; Li, X.; Tian, W.; Lu, Y.; Xu, Y.; Wang, F.; Qin, W.; Ma, X.; Puno, P.-T.; Xiong, W. Adenanthin, a natural ent-kaurane diterpenoid isolated from the herb Isodonadenantha inhibits adipogenesis and the development of obesity by regulation of ROS. Molecules 2019, 24, 158. [Google Scholar] [CrossRef]
- Lee, M.; Lee, H.H.; Lee, J.-K.; Ye, S.-K.; Kim, S.H.; Sung, S.H. Anti-adipogenic activity of compounds isolated from Idesiapolycarpa on 3T3-L1 cells. Bioorg. Med. Chem. Lett. 2021, 23, 3170–3174. [Google Scholar] [CrossRef] [PubMed]
- Choi, I.; Park, Y.; Choi, H.; Lee, E.H. Anti-adipogenic activity of rutin in 3T3-L1 cells and mice fed with high-fat diet. Biofactors 2006, 26, 273–281. [Google Scholar] [CrossRef] [PubMed]
- Hirata, T.; Kobayashi, T.; Wada, A.; Ueda, T.; Fujikawa, T.; Miyashita, H.; Ikeda, T.; Tsukamoto, S.; Nohara, T. Anti-obesity compounds in green leaves of Eucommia ulmoides. Bioorg. Med. Chem. Lett. 2011, 21, 1786–1791. [Google Scholar] [CrossRef] [PubMed]
- Zheng, J.; Zheng, S.; Feng, Q.; Zhang, Q.; Xiao, X. Dietary capsaicin and its anti-obesity potency: From mechanism to clinical implications. Biosci. Rep. 2017, 37, BSR20170286. [Google Scholar] [CrossRef]
- Kong, C.-S.; Kim, J.-A.; Kim, S.-K. Anti-obesity effect of sulfated glucosamine by AMPK signal pathway in 3T3-L1 adipocytes. Food Chem. Toxicol. 2009, 47, 2401–2406. [Google Scholar] [CrossRef] [PubMed]
- Kuroyanagi, K.; Kang, M.-S.; Goto, T.; Hirai, S.; Ohyama, K.; Kusudo, T.; Yu, R.; Yano, M.; Sasaki, T.; Takahashi, N.; et al. Citrus auraptene acts as an agonist for PPARs and enhances adiponectin production and MCP-1 reduction in 3T3-L1 adipocytes. Biochem. Biophys. Res. Commun. 2008, 366, 219–225. [Google Scholar] [CrossRef]
- Han, H.S.; Jeon, H.; Kang, S.C. Phellopterin isolated from Angelica dahurica reduces blood glucose level in diabetic mice. Heliyon 2018, 4, e00577. [Google Scholar] [CrossRef]
- Matsuo, Y.; Yamaguchi, E.; Hakamata, R.; Ootomo, K.; Takatori, K.; Fukaya, H.; Mimaki, Y. Benzofuran and coumarin derivatives from the root of Angelica dahurica and their PPAR-γ ligand-binding activity. Phytochemistry 2020, 173, 112301. [Google Scholar] [CrossRef]
- Spiegelman, B.M.; Hu, E.; Kim, J.B.; Brun, R. PPAR-γ and the control of adipogenesis. Biochimie 1997, 79, 111–112. [Google Scholar] [CrossRef]
- Payne, V.A.; Au, W.-S.; Lowe, C.E.; Rahman, S.M.; Friedman, J.E.; O′Rahilly, S.; Rochford, J.J. C/EBP transcription factors regulate SREBP1c gene expression during adipogenesis. Biochem. J. 2010, 425, 215–224. [Google Scholar] [CrossRef] [PubMed]
- Samulin, J.; Berget, I.; Lien, S.; Sundvold, H. Differential gene expression of fatty acid binding proteins during porcine adipogenesis. Comp. Biochem. Physiol. B Biochem. Mol. Biol. 2008, 151, 147–152. [Google Scholar] [CrossRef]
- Gonzales, A.M.; Orlando, R.A. Role of adipocyte-derived lipoprotein lipase in adipocyte hypertrophy. Nutr. Metab. 2007, 4, 22. [Google Scholar] [CrossRef] [PubMed]
- Ambati, S.; Kim, H.-K.; Yang, J.-Y.; Lin, J.; Della-Fera, M.A.; Baile, C.A. Effects of leptin on apoptosis and adipogenesis in 3T3-L1 adipocytes. Biochem. Pharmacol. 2007, 73, 378–384. [Google Scholar] [CrossRef] [PubMed]
- Hwang, C.-S.; Loftus, T.M.; Mandrup, S.; Lane, M.D. Adipocyte differentiation and leptin expression. Annu. Rev. Cell Dev. Biol. 1997, 13, 231–259. [Google Scholar] [CrossRef]
- Hotamisligil, G.S.; Johnson, R.S.; Distel, R.J.; Ellis, R.; Papaioannou, V.E.; Spiegelman, B.M. Uncoupling of obesity from insulin resistance through a targeted mutation in aP2, the adipocyte fatty acid binding protein. Science 1996, 274, 1377–1379. [Google Scholar] [CrossRef] [PubMed]
- Fu, Y.; Luo, L.; Luo, N.; Garvey, W.T. Lipid metabolism mediated by adipocyte lipid binding protein (ALBP/aP2) gene expression in human THP-1 macrophages. Atherosclerosis 2006, 188, 102–111. [Google Scholar] [CrossRef]
- Pandeya, P.R.; Lamichhane, R.; Lee, K.-H.; Kim, S.-G.; Lee, D.-H.; Lee, H.-K.; Jung, H.-J. Bioassay-guided isolation of active anti-adipogenic compound from royal jelly and the study of possible mechanisms. BMC Complement. Altern. Med. 2019, 19, 33. [Google Scholar] [CrossRef]











| Standard Compounds | Regression Equation | R2 | Content (µg/mg) | Quantified in |
|---|---|---|---|---|
| Poncirin (1) | y = 12.594x + 287.77 | 0.999 | 166.21 ± 0.95 | Ethanol extract |
| Naringin (2) | y = 15.663x − 149.67 | 0.998 | 78.78 ±1.41 | |
| Auraptene (3) | y = 18.477x + 6.3058 | 0.999 | 12.57 ± 0.06 | |
| Imperatorin (5) | y = 13.476x + 674.38 | 0.996 | 35.63 ± 0.27 | Hexane fraction |
| Oxypeucedanin (7) | y = 16.141x + 179.16 | 0.995 | 23.10 ± 0.18 |
Publisher’s Note: MDPI stays neutral with regard to jurisdictional claims in published maps and institutional affiliations. |
© 2022 by the authors. Licensee MDPI, Basel, Switzerland. This article is an open access article distributed under the terms and conditions of the Creative Commons Attribution (CC BY) license (https://creativecommons.org/licenses/by/4.0/).
Share and Cite
Lamichhane, G.; Pandeya, P.R.; Lamichhane, R.; Rhee, S.-j.; Devkota, H.P.; Jung, H.-J. Anti-Obesity Potential of Ponciri Fructus: Effects of Extracts, Fractions and Compounds on Adipogenesis in 3T3-L1 Preadipocytes. Molecules 2022, 27, 676. https://doi.org/10.3390/molecules27030676
Lamichhane G, Pandeya PR, Lamichhane R, Rhee S-j, Devkota HP, Jung H-J. Anti-Obesity Potential of Ponciri Fructus: Effects of Extracts, Fractions and Compounds on Adipogenesis in 3T3-L1 Preadipocytes. Molecules. 2022; 27(3):676. https://doi.org/10.3390/molecules27030676
Chicago/Turabian StyleLamichhane, Gopal, Prakash Raj Pandeya, Ramakanta Lamichhane, Su-jin Rhee, Hari Prasad Devkota, and Hyun-Ju Jung. 2022. "Anti-Obesity Potential of Ponciri Fructus: Effects of Extracts, Fractions and Compounds on Adipogenesis in 3T3-L1 Preadipocytes" Molecules 27, no. 3: 676. https://doi.org/10.3390/molecules27030676
APA StyleLamichhane, G., Pandeya, P. R., Lamichhane, R., Rhee, S.-j., Devkota, H. P., & Jung, H.-J. (2022). Anti-Obesity Potential of Ponciri Fructus: Effects of Extracts, Fractions and Compounds on Adipogenesis in 3T3-L1 Preadipocytes. Molecules, 27(3), 676. https://doi.org/10.3390/molecules27030676

