Four New Anthraquinones with Histone Deacetylase Inhibitory Activity from Ventilago denticulata Roots
Abstract
1. Introduction
2. Results and Discussion
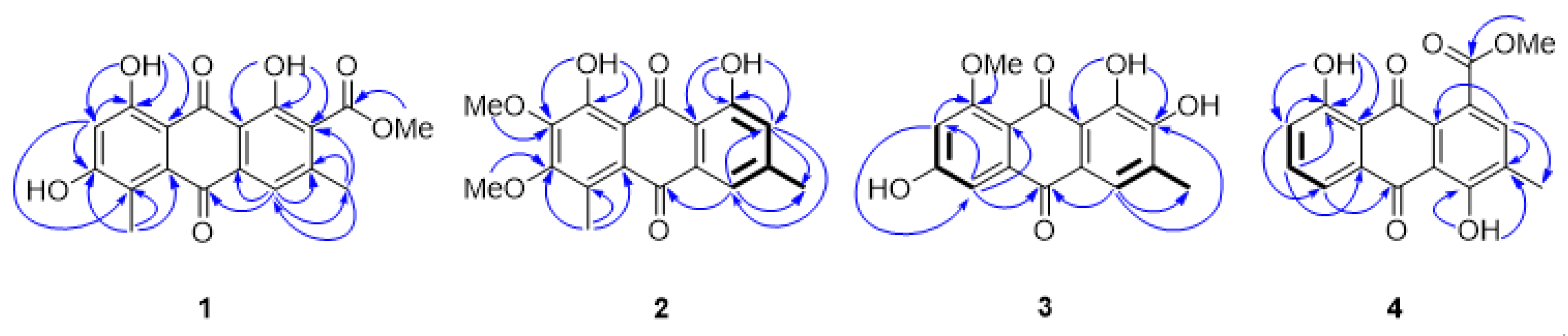
2.1. Structure Characterization
2.2. HDAC Inhibitory Activity
2.3. Physicochemical Properties
2.4. Molecular Docking Study
2.5. MTT Assay
3. Materials and Methods
3.1. General Experimental Procedures
3.2. Plant Materials
3.3. Extraction and Isolation
3.4. HDAC Inhibitory Activity Assay
3.5. In Silico Physicochemical Properties
3.6. Molecular Docking
3.7. MTT Assay
4. Conclusions
Supplementary Materials
Author Contributions
Funding
Institutional Review Board Statement
Informed Consent Statement
Data Availability Statement
Acknowledgments
Conflicts of Interest
Sample Availability
References
- Cahen, D.; Utteridge, T.M.A. Three new species of Ventilago (Rhamnaceae) from South-East Aisa. Phytotaxa 2017, 307, 171–182. [Google Scholar] [CrossRef][Green Version]
- Smitinand, T. Thai Plant Names, Revised ed.; Prachachon: Bangkok, Thailand, 2014; p. 578. [Google Scholar]
- Pongjanta, A.; Pangjit, K.; Srichairatanakul, S. Antioxidant activity and cytotoxic effect of Ventilago denticulata Willd leaves extracts. J. Med. Assoc. Thai. 2016, 99 (Suppl. 1), S51–S57. [Google Scholar] [PubMed]
- Molee, W.; Phanumartwiwath, A.; Kesornpun, C.; Surerum, S.; Ngamrojanavanich, N.; Ingkaninan, K.; Mahidol, C.; Ruchirawat, S.; Kittakoop, P. Naphthalene derivatives and quinones from Ventilago denticulata and their nitric oxide radical scavenging, antioxidant, cytotoxic, antibacterial, and phosphodiesterase inhibitory activities. Chem. Biodivers. 2018, 15, e1700537. [Google Scholar] [CrossRef] [PubMed]
- Rao, B.K.; Hanumaiah, T.; Rao, C.P.; Rao, G.R.; Rao, K.J. Anthraquinones in Ventilago species. Phytochemistry 1983, 22, 2583–2585. [Google Scholar] [CrossRef]
- Rao, B.K.; Hanumaiah, T.; Rao, J.U.M.; Rao, K.V.J.; Thomson, R.H. Two anthraquinones from Ventilago calyculata. Phytochemistry 1984, 23, 2104–2105. [Google Scholar] [CrossRef]
- Lomchoey, N.; Nontakham, J.; Suebsakwong, P.; Suksamran, S. Antiacetylcholinesterase activity of Ventilago denticulata extracts and its chemical constituents. KKU Sci. J. 2017, 45, 701–713. [Google Scholar]
- Azizah, M.; Pripdeevech, P.; Thongkongkaew, T.; Mahidol, C.; Ruchirawat, S.; Kittakoop, P. UHPLC-ESI-QTOF-MS/MS-based molecular networking guided isolation and dereplication of antibacterial and antifungal constituents of Ventilago denticulata. Antibiotics 2020, 9, 606. [Google Scholar] [CrossRef] [PubMed]
- Malik, E.M.; Müller, C.E. Anthraquinones as pharmacological tools and drugs. Med. Res. Rev. 2016, 36, 705–784. [Google Scholar] [CrossRef] [PubMed]
- Malik, M.S.; Alsantali, R.I.; Jassas, R.S.; Alsimaree, A.A.; Syed, R.; Alsharif, M.A.; Kalpana, K.; Morad, M.; Althagafi, I.I.; Ahmed, S.A. Journal of anthraquinones as anticancer agents—A systematic review of recent literature. RSC Adv. 2011, 11, 35806–35827. [Google Scholar] [CrossRef]
- Siddamurthi, S.; Gutti, G.; Jana, S.; Kumar, A.; Singh, S.K. Anthraquinone: A promising scaffold for the discovery and development of therapeutic agents in cancer therapy. Future Med. Chem. 2020, 12, 1037–1069. [Google Scholar] [CrossRef]
- Roberge, G.; Brassard, P. Reactions of ketene acetals. 13. Synthesis of contiguously trihydroxylated naphtha- and anthraquinones. J. Org. Chem. 1981, 46, 4161–4166. [Google Scholar] [CrossRef]
- Pitchuanchom, S.; Mahiwan, C.; Chotichayapong, C.; Kanokmedhakul, S.; Poopasit, K.; Nontakitticharoen, M. Phytochemicals from twigs of Afzelia xylocarpa and their antioxidation kinetics of oxymyoglobin. Nat. Prod. Res. 2021. [Google Scholar] [CrossRef] [PubMed]
- Jibril, S.; Sirat, H.M.; Basar, N. Bioassay-guided isolation of antioxidants and α-glucosidase inhibitors from the root of Cassia sieberiana DC (Fabaceae). Rec. Nat. Prod. 2017, 11, 406–410. [Google Scholar]
- Elfaky, M.A.; El-Halawany, A.M.; Koshak, A.E.; Alshali, K.Z.; El-Araby, M.E.; Khayat, M.T.; Abdallah, H.M. Bioassay guided isolation and docking studies of a potential-lactamase inhibitor from Clutia myricoides. Molecules 2020, 25, 2566. [Google Scholar] [CrossRef]
- Sanchez, J.F.; Entwistle, R.; Hung, J.H.; Yaegashi, J.; Jain, S.; Chiang, Y.M.; Wang, C.C.C.; Oakley, B.R. Genome-based deletion analysis reveals the prenyl xanthone biosynthesis pathway in Aspergillus nidulans. J. Am. Chem. Soc. 2011, 133, 4010–4017. [Google Scholar] [CrossRef] [PubMed]
- Waser, M.; Lackner, B.; Zuschrader, J.; Müller, N.; Falk, H. An efficient regioselective synthesis of endocrocin and structural related natural anthraquinones starting from emodin. Tetrahedron Lett. 2005, 46, 2377–2380. [Google Scholar] [CrossRef]
- Lin, L.C.; Chou, C.J.; Kuo, Y.C. Cytotoxic principles from Ventilago leiocarpa. J. Nat. Prod. 2001, 64, 674–676. [Google Scholar] [CrossRef]
- Tietze, L.F.; Gericke, K.M.; Schuberth, I. Synthesis of highly functionalized anthraquinones and evaluation of their antitumor activity. Eur. J. Org. Chem. 2007, 4563–4577. [Google Scholar] [CrossRef]
- Yusuf, M.A.; Singh, B.N.; Sudheer, S.; Kharwar, R.N.; Siddiqui, S.; Abdel-Azeem, A.M.; Fernandes Fraceto, L.; Dashora, K.; Gupta, V.K. Chrysophanol: A natural anthraquinone with multifaceted biotherapeutic potential. Biomolecules 2019, 9, 68. [Google Scholar] [CrossRef]
- Takomthong, P.; Waiwut, P.; Yenjai, C.; Sombatsri, A.; Reubroycharoen, P.; Lei, L.; Lai, R.; Chaiwiwatrakul, S.; Boonyarat, C. Multi-target actions of acridones from Atalantia monophylla towards Alzheimer’s pathogenesis and their pharmacokinetic properties. Pharmaceuticals 2021, 14, 888. [Google Scholar] [CrossRef] [PubMed]
- Tambunan, U.S.F.; Parikesit, A.A.; Ghifari, A.S.; Satriyanto, C.P. In silico identification of 2-oxo-1,3-thiazolidine derivatives as novel inhibitor candidate of class II histone deacetylase (HDAC) in cervical cancer treatment. Arab. J. Chem. 2019, 12, 272–288. [Google Scholar] [CrossRef]
- Daina, A.; Michielin, O.; Zoete, V. SwissADME: A free web tool to evaluate pharmacokinetics, drug-likeness and medicinal chemistry friendliness of small molecules. Sci. Rep. 2017, 7, 42717. [Google Scholar] [CrossRef]
- Millard, C.J.; Watson, P.J.; Celardo, I.; Gordiyenko, Y.; Cowley, S.M.; Robinson, C.V.; Fairall, L.; Schwabe, J.W.R. Class I HDACs share a common mechanism of regulation by inositol phosphates. Mol. Cell. 2013, 51, 57–67. [Google Scholar] [CrossRef]
- Bressi, J.C.; Jennings, A.J.; Skene, R.; Wu, Y.; Melkus, R.; Jong, R.D.; O’Connell, S.; Grimshaw, C.E.; Navre, M.; Gangloff, A.R. Exploration of the HDAC2 foot pocket: Synthesis and SAR of substituted N-(2-aminophenyl)benzamides. Bioorg. Med. Chem. Lett. 2010, 20, 3142–3145. [Google Scholar] [CrossRef]
- Bottomley, M.J.; Surdo, P.L.; Giovine, P.D.; Cirillo, A.; Scarpelli, R.; Ferrigno, F.; Jones, P.; Neddermann, P.; Francesco, R.D.; Steinku¨hler, C.; et al. Structural and functional analysis of the human HDAC4 catalytic domain reveals a regulatory structural zinc-binding domain. J. Biol. Chem. 2008, 283, 26694–26704. [Google Scholar] [CrossRef] [PubMed]
- Schuetz, A.; Min, J.; Allali-Hassani, A.; Schapira, M.; Shuen, M.; Loppnau, P.; Mazitschek, R.; Kwiatkowski, N.P.; Lewis, T.A.; Maglathin, R.L.; et al. Human HDAC7 harbors a class IIa histone deacetylase-specific zinc binding motif and cryptic deacetylase activity. J. Biol. Chem. 2008, 283, 11355–11363. [Google Scholar] [CrossRef] [PubMed]
- Somoza, J.R.; Skene, R.J.; Katz, B.A.; Mol, C.; Ho, J.D.; Jennings, A.J.; Luong, C.; Arvai, A.; Buggy, J.J.; Chi, E.; et al. Structural snapshots of human HDAC8 provide insights into the class I histone deacetylases. Structure 2004, 12, 1325–1334. [Google Scholar] [CrossRef] [PubMed]
- Weiner, S.J.; Kollman, P.A.; Case, D.A.; Singh, U.C.; Ghio, C.; Alahona, G.; Profeta, S.; Weiner, P. A new force field for molecular mechanical simulation of nucleic acids and proteins. J. Am. Chem. Soc. 1984, 106, 765–784. [Google Scholar] [CrossRef]
- Morris, G.M.; Goodsell, D.S.; Halliday, R.S.; Huey, R.; Hart, W.E.; Belew, R.K.; Olson, A.J. Automated docking using a lamarckian genetic algorithm and an empirical binding free energy function. J. Comput. Chem. 1998, 19, 1639–1662. [Google Scholar] [CrossRef]
- Morris, G.M.; Goodsell, D.S.; Huey, R.; Olson, A.J. Distributed automated docking of flexible ligands to proteins:parallel applications of AutoDock 2.4. J. Comput. Aided Mol. Des. 1996, 10, 293–304. [Google Scholar] [CrossRef]
- Laskowski, R.A.; Swindells, M.B. LigPlot+: Multiple ligand protein interaction diagrams for drug discovery. J. Chem. Inf. Model. 2011, 51, 2778–2786. [Google Scholar] [CrossRef] [PubMed]
- Senawong, T.; Wongphakham, P.; Saiwichai, T.; Phaosiri, C.; Kumboonma, P. Histone deacetylase inhibitory activity of hydroxycapsaicin, a synthetic derivative of capsaicin, and its cytotoxic effects against human colon cancer cell lines. Turk. J. Biol. 2015, 39, 1–10. [Google Scholar] [CrossRef]
- Asgar, M.A.; Senawong, G.; Sripa, B.; Senawong, T. Synergistic anticancer effects of cisplatin and histone deacetylase inhibitors (SAHA and TSA) on cholangiocarcinoma cell lines. Int. J. Oncol. 2016, 48, 409–420. [Google Scholar] [CrossRef] [PubMed]
- Kumnerdkhonkaen, P.; Saenglee, S.; Asgar, M.A.; Senawong, G.; Khongsukwiwat, K.; Senawong, T. Antiproliferative activities and phenolic acid content of water and ethanolic extracts of the powdered formula of Houttuynia cordata Thunb. fermented broth and Phyllanthus emblica Linn. fruit. BMC Complement Altern. Med. 2018, 18, 130–132. [Google Scholar] [CrossRef]



| Position | δH Multiplicity (J in Hz) | |||
|---|---|---|---|---|
| 1 (DMSO-d6) | 2 (CDCl3) | 3 (DMSO-d6) | 4 (CDCl3) | |
| 2 | 7.01 dd (1.7, 0.7) | 7.66 s | ||
| 4 | 7.52 s | 7.54 dd (1.7, 0.7) | 7.47 d (0.6) | |
| 5 | 7.22 d (2.4) | 7.81 dd (7.5, 1.1) | ||
| 6 | 7.67 dd (8.2, 7.5) | |||
| 7 | 6.68 s | 6.81 d (2.4) | 7.29 dd (8.2, 1.1) | |
| 1-COOCH3 | 3.98 s | |||
| 2-COOCH3 | 3.89 s | |||
| 3-CH3 | 2.36 s | 2.42 dd (0.7, 0.7) | 2.25 d (0.6) | 2.44 s |
| 5-CH3 | 2.45 s | 2.59 s | ||
| 6-OCH3 | 3.97 s | |||
| 7-OCH3 | 4.01 s | |||
| 8-OCH3 | 3.92 s | |||
| 1-OH | 12.28 s | 11.91 s | 13.65, s | |
| 4-OH | 12.34 s | |||
| 8-OH | 12.59 s | 13.03 s | 11.94 s | |
| Position | δC, Type | |||
|---|---|---|---|---|
| 1 (DMSO-d6) | 2 (CDCl3) | 3 (DMSO-d6) | 4 (CDCl3) | |
| 1 | 157.3, C | 162.2, C | 149.6, C | 133.7, C |
| 2 | 127.6, C | 123.4, CH | 150.6, C | 121.7, CH |
| 3 | 144.2, C | 149.1, C | 130.1, C | 129.2, C |
| 4 | 120.4, CH | 121.2, CH | 121.4, CH | 159.9, C |
| 5 | 124.7, C | 126.8, C | 106.9, CH | 120.4, CH |
| 6 | 165.2, C | 158.5, C | 163.4, C | 137.6, CH |
| 7 | 106.8, CH | 145.7, C | 104.3, CH | 125.1, CH |
| 8 | 163.2, C | 157.0, C | 164.6, C | 162.8, C |
| 9 | 189.4, C | 192.2, C | 186.9, C | 192.5, C |
| 10 | 183.4, C | 183.8, C | 180.8, C | 181.6, C |
| 4a | 134.5, C | 135.0, C | 122.4, C | 146.6, C |
| 8a | 109.1, C | 113.6, C | 112.7, C | 115.9, C |
| 9a | 113.7, C | 113.7, C | 115.0, C | 114.3, C |
| 10a | 131.5, C | 131.0, C | 137.4, C | 133.6, C |
| 1-COO | 166.7, C | |||
| 2-COO | 166.2, C | |||
| 3-CH3 | 19.7, CH3 | 22.5, CH3 | 16.3, CH3 | 20.7, CH3 |
| 5-CH3 | 13.0, CH3 | 14.2, CH3 | ||
| 1-COOCH3 | 53.3, CH3 | |||
| 2-COOCH3 | 52.6, CH3 | |||
| 6-OCH3 | 61.2, CH3 | |||
| 7-OCH3 | 61.4, CH3 | |||
| 8-OCH3 | 56.3, CH3 | |||
| Compounds | % Inhibition |
|---|---|
| Ventilanone M (2) | 61.27 |
| Physcion (6) | 30.15 |
| Emodin (9) | 17.30 |
| TSA | 86.10 * |
| Compounds | Physicochemical Properties | |||||
|---|---|---|---|---|---|---|
| MW (g/mol) | TPSA a (Å2) | Num. Rotatable Bonds | Num. H-Bond Acceptors | Num. H-Bond Donors | Log Po/w b | |
| 1 | 342.30 | 121.13 | 2 | 7 | 3 | 3.05 |
| 2 | 328.32 | 93.06 | 2 | 6 | 2 | 3.65 |
| 3 | 300.26 | 104.06 | 1 | 6 | 3 | 2.60 |
| 4 | 312.27 | 100.90 | 2 | 6 | 2 | 3.00 |
| Compounds | Class I HDACs | Class II HDACs | ||||||||
|---|---|---|---|---|---|---|---|---|---|---|
| HDAC1 | HDAC2 | HDAC8 | HDAC4 | HDAC7 | ||||||
| ΔG * | Ki ** | ΔG * | Ki ** | ΔG * | Ki ** | ΔG * | Ki ** | ΔG * | Ki ** | |
| 2 | −5.91 | 46.81 | −6.12 | 32.92 | −6.46 | 18.42 | −6.85 | 9.49 | −6.46 | 5.29 |
| SAHA | −6.23 | 27.28 | −7.43 | 3.55 | −7.52 | 3.09 | −5.20 | 152.69 | −4.79 | 228.88 |
| Cell Lines | IC50 Values (Mean ± SD; n = 3; μM) | |||||
|---|---|---|---|---|---|---|
| Compound 2 | Cisplatin | |||||
| 24 h | 48 h | 72 h | 24 h | 48 h | 72 h | |
| HeLa cells | 240.46 ± 8.14 | 190.08 ± 2.97 | 160.87 ± 2.08 | 17.07 ± 1.00 | 9.97 ± 0.34 | 6.45 ± 0.13 |
| A549 cells | >300 | 203.17 ± 6.56 | 177.32 ± 5.32 | 65.36 ± 8.11 | 11.44 ± 1.99 | 5.06 ± 0.01 |
| MCF−7 cells | >300 | >300 | >300 | 29.17 ± 4.48 | 13.75 ± 1.81 | 10.42 ± 0.85 |
| Vero cells | >300 | >300 | 273.47 ± 3.49 | 42.85 ± 2.38 | 12.36 ± 0.63 | 6.55 ± 0.81 |
Publisher’s Note: MDPI stays neutral with regard to jurisdictional claims in published maps and institutional affiliations. |
© 2022 by the authors. Licensee MDPI, Basel, Switzerland. This article is an open access article distributed under the terms and conditions of the Creative Commons Attribution (CC BY) license (https://creativecommons.org/licenses/by/4.0/).
Share and Cite
Hangsamai, N.; Photai, K.; Mahaamnart, T.; Kanokmedhakul, S.; Kanokmedhakul, K.; Senawong, T.; Pitchuanchom, S.; Nontakitticharoen, M. Four New Anthraquinones with Histone Deacetylase Inhibitory Activity from Ventilago denticulata Roots. Molecules 2022, 27, 1088. https://doi.org/10.3390/molecules27031088
Hangsamai N, Photai K, Mahaamnart T, Kanokmedhakul S, Kanokmedhakul K, Senawong T, Pitchuanchom S, Nontakitticharoen M. Four New Anthraquinones with Histone Deacetylase Inhibitory Activity from Ventilago denticulata Roots. Molecules. 2022; 27(3):1088. https://doi.org/10.3390/molecules27031088
Chicago/Turabian StyleHangsamai, Nattika, Kanokwan Photai, Thidathep Mahaamnart, Somdej Kanokmedhakul, Kwanjai Kanokmedhakul, Thanaset Senawong, Siripit Pitchuanchom, and Mongkol Nontakitticharoen. 2022. "Four New Anthraquinones with Histone Deacetylase Inhibitory Activity from Ventilago denticulata Roots" Molecules 27, no. 3: 1088. https://doi.org/10.3390/molecules27031088
APA StyleHangsamai, N., Photai, K., Mahaamnart, T., Kanokmedhakul, S., Kanokmedhakul, K., Senawong, T., Pitchuanchom, S., & Nontakitticharoen, M. (2022). Four New Anthraquinones with Histone Deacetylase Inhibitory Activity from Ventilago denticulata Roots. Molecules, 27(3), 1088. https://doi.org/10.3390/molecules27031088

