Exploring the Synergistic Anticancer Potential of Benzofuran–Oxadiazoles and Triazoles: Improved Ultrasound- and Microwave-Assisted Synthesis, Molecular Docking, Hemolytic, Thrombolytic and Anticancer Evaluation of Furan-Based Molecules
Abstract
1. Introduction
2. Materials and Methods
2.1. Chemistry
2.2. General Ultrasound- and Microwave-Assisted Synthetic Protocols for Benzofuran–Oxadiazole Hybrids (5a–g) and Benzofuran–Triazole Derivatives (7a–h)
2.3. Biological Evaluation
2.3.1. Hemolysis Assay
2.3.2. Thrombolysis Assay
2.3.3. MTT Assay
Preparation of Cell Culture
Determination of Cell Viability
2.3.4. Molecular Docking Studies
2.4. Statistical Data
3. Results and Discussions
3.1. Chemistry
3.1.1. Ultrasound- and Microwave-Assisted Synthesis of Oxadiazole-Based Benzofuran Derivatives (5a–g)
3.1.2. Ultrasound- and Microwave-Assisted Synthesis of Triazole-Based Benzofuran Derivatives (7a–h)
3.2. Hemolytic Activity
3.3. Thrombolytic Activity
3.4. Anticancer Activity
3.5. Structure–Activity Relationship (SAR)
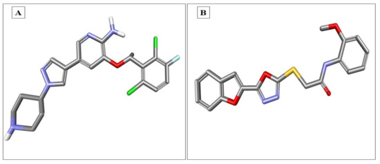
3.6. Computational Modeling Studies of the Most Active Compound 5d
4. Conclusions
Author Contributions
Funding
Institutional Review Board Statement
Informed Consent Statement
Data Availability Statement
Acknowledgments
Conflicts of Interest
Sample Availability
References
- Napiórkowska, M.; Cieślak, M.; Barańska, K.J.; Golińska, K.K.; Nawrot, B. Synthesis of new derivatives of benzofuran as potential anticancer agents. Molecules 2019, 24, 1529. [Google Scholar] [CrossRef] [PubMed]
- Aslam, S.N.; Stevenson, P.C.; Phythian, S.J.; Veitch, N.C.; Hall, D.R. Synthesis of cicerfuran, an antifungal benzofuran, and some related analogues. Tetrahedron 2006, 62, 4214–4226. [Google Scholar] [CrossRef]
- Clive, D.L.J.; Stoffman, E.J.L. Total synthesis of (-)-conocarpan and assignment of the absolute configuration by chemical methods. Chem. Commun. 2007, 21, 2151–2153. [Google Scholar] [CrossRef] [PubMed]
- Naik, R.; Harmalkar, S.D.; Xu, X.; Jang, K.; Lee, K. Bioactive benzofuran derivatives: Moracins AeZ in medicinal chemistry. Eur. J. Med. Chem. 2015, 90, 379–393. [Google Scholar] [CrossRef] [PubMed]
- Rangaswamy, J.; Kumar, H.V.; Harini, S.T.; Naik, N. Functionalized 3-(benzofuran-2-yl)-5-(4-methoxyphenyl)-4,5-dihydro-1H-pyrazole scaffolds: A new class of antimicrobials and antioxidants. Arab. J. Chem. 2017, 10, S2685–S2696. [Google Scholar] [CrossRef]
- Romagnoli, R.; Baraldi, G.P.; Sarkar, T.; Cara, L.C.; Lopez, C.O.; Carrion, D.M.; Preti, D.; Tolomeo, M.; Balzarini, J.; Hamel, E. Synthesis and biological evaluation of 2-aroyl-4-phenyl-5- hydroxybenzofurans as a new class of anti-tubulin agents. Med. Chem. 2008, 4, 558–564. [Google Scholar] [CrossRef][Green Version]
- Zeni, G.; Ludtke, D.S.; Nogueira, C.W.; Panatieri, R.B.; Antonio, L.; Braga, A.L.; Silveira, C.C.; Stefanib, A.H.; Rochaa, J.B. New acetylenic furan derivatives: Synthesis and anti-inflammatory activity. Tetrahedron Lett. 2001, 42, 8927–8930. [Google Scholar] [CrossRef]
- Matsuya, Y.; Sasaki, K.; Nagaoka, M.; Kakuda, H.; Toyooka, N.; Imanishi, N.; Ochiai, H.; Nemoto, H. Synthesis of a new class of furan-fused tetracyclic compounds using o-quinodimethane chemistry and investigation of their antiviral activity. J. Org. Chem. 2004, 69, 7989–7993. [Google Scholar] [CrossRef]
- Singh, F.V.; Chaurasia, S.; Joshi, M.D.; Srivastava, A.K.; Goel, A. Synthesis and in vivo antihyperglycemic activity of nature-mimicking furanyl-2-pyranones in STZ-S model. Bioorg. Med. Chem. Lett. 2007, 17, 2425–2429. [Google Scholar] [CrossRef]
- Farag, A.A.; El Shehry, F.M.; Abbas, S.Y.; Abd-Alrahman, S.N.; Atrees, A.A.; Al-basheer, H.Z.; Ammar, Y.A. Synthesis of pyrazoles containing benzofuran and trifluoromethyl moieties as possible anti-inflammatory and analgesic agents. Z. Nat. B 2015, 70, 519–526. [Google Scholar] [CrossRef]
- Lu, D.; Zhou, Y.; Li, Q.; Luo, J.; Jiang, Q.; He, B.; Tang, Q. Synthesis, in vitro antitumor activity and molecular mechanism of novel furan derivatives and their precursors. Anticancer Agents Med. Chem. 2020, 20, 1475–1486. [Google Scholar] [CrossRef]
- Islam, K.; Pal, K.; Debnath, U.; Basha, R.S.; Khan, A.T.; Jana, K.; Misra, A.K. Anti-cancer potential of (1,2-dihydronaphtho[2,1-b]furan-2-yl)methanone derivatives. Bioorg. Med. Chem. Lett. 2020, 30, 127476. [Google Scholar] [CrossRef] [PubMed]
- Tighadouini, S.; Radi, S.; Benabbes, R.; Youssoufi, M.H.; Shityakov, S.; El Massaoudi, M.; Garcia, Y. Synthesis, biochemical characterization, and theoretical studies of novel β-keto-enol pyridine and furan derivatives as potent antifungal agents. ACS Omega 2020, 5, 17743–17752. [Google Scholar] [CrossRef] [PubMed]
- Xie, Y.-S.; Kumar, D.; Bodduri, V.V.; Tarani, P.S.; Zhao, B.-X.; Miao, J.-Y.; Jang, K.; Shin, D.-S. Microwave-assisted parallel synthesis of benzofuran-2-carboxamide derivatives bearing anti-inflammatory, analgesic and antipyretic agents. Tetrahedron Lett. 2014, 55, 2796–2800. [Google Scholar] [CrossRef]
- Dong, Y.; Shi, Q.; Liu, Y.-N.; Wang, X.; Bastow, K.F.; Lee, K.-H. Antitumor Agents. 266. Design, Synthesis, and Biological Evaluation of Novel 2-(Furan-2-yl)naphthalen-1-ol Derivatives as Potent and Selective Antibreast Cancer Agents. J. Med. Chem. 2009, 52, 3586–3590. [Google Scholar] [CrossRef] [PubMed]
- Miao, Y.; Hu, Y.; Yang, J.; Liu, T.; Sun, J.; Wang, X. Natural source, bioactivity and synthesis of benzofuran derivatives. RSC Adv. 2019, 9, 27510–27540. [Google Scholar] [CrossRef]
- Xu, Z.; Zhao, S.J.; Liu, Y. 1,2,3-Triazole-containing hybrids as potential anticancer agents: Current developments, action mechanisms and structure-activity relationships. Eur. J. Med. Chem. 2019, 183, 111700. [Google Scholar] [CrossRef]
- Kapoor, G.; Bhutani, R.; Pathak, D.P.; Chauhan, G.; Kant, R.; Grover, P.; Siddiqui, S.A. Current Advancement in the Oxadiazole-Based Scaffolds as Anticancer Agents. Polycycl. Aromat. Compd. 2021, in press. [Google Scholar] [CrossRef]
- Irfan, A.; Ullah, S.; Anum, A.; Jabeen, N.; Zahoor, F.A.; Kanwal, H.; Kotwica-Mojzych, K.; Mojzych, M. Synthetic transformations and medicinal significance of 1,2,3-thiadiazoles derivatives: An update. Appl. Sci. 2021, 11, 5742. [Google Scholar] [CrossRef]
- Shahzadi, I.; Zahoor, A.F.; Rasul, A.; Mansha, A.; Ahmad, S.; Raza, Z. Synthesis, hemolytic studies, and in silico modeling of novel acefylline-1,2,4-triazole hybrids as potential anti-cancer agents against MCF-7 and A549. ACS Omega 2021, 6, 11943–11953. [Google Scholar] [CrossRef]
- Irfan, A.; Batool, F.; Naqvi, Z.A.S.; Islam, A.; Osman, M.S.; Nocentini, A.; Alissa, A.S.; Supuran, T.C. Benzothiazole derivatives as anticancer agents. J. Enzyme Inhib. Med. Chem. 2020, 35, 265–279. [Google Scholar] [CrossRef] [PubMed]
- Van Miert, S.; Van Dyck, S.; Schmidt, T.J.; Brun, R.; Vlietinck, A.; Lemiere, G.; Pieters, L. Antileishmanial activity, cytotoxicity and QSAR analysis of synthetic dihydrobenzofuran lignans and related benzofurans. Bioorg. Med. Chem. 2005, 13, 661–669. [Google Scholar] [CrossRef] [PubMed]
- Zhang, G.N.; Zhong, L.Y.; Bligh, S.W.A.; Guo, Y.L.; Zhang, C.F.; Zhang, M.; Wang, Z.T.; Xu, L.S. Bi-bicyclic and bi-tricyclic compounds from Dendrobiumthyrsiflorum. Phytochemistry 2005, 66, 1113–1120. [Google Scholar] [CrossRef] [PubMed]
- Murthy, I.S.; Sireesha, R.; Deepthi, K.; Rao, P.S.; Raju, R.R. Design, synthesis and biological evaluation of sulphonamide derivatives of benzofuran-imidazopyridines as anticancer agents. Chem. Data Collect. 2020, 31, 100608. [Google Scholar] [CrossRef]
- Mokenapelli, S.; Thalari, G.; Vadiyaala, N.; Yerrabelli, J.R.; Irlapati, V.K.; Gorityala, N.; Sagurthi, S.R.; Chitneni, P.R. Synthesis, cytotoxicity, and molecular docking of substituted 3-(2-methylbenzofuran-3-yl)-5-(phenoxymethyl)-1,2,4-oxadiazoles. Arch. Pharm. 2020, 353, e2000006. [Google Scholar] [CrossRef]
- Mphahlele, M.J.; Maluleka, M.M.; Aro, A.; McGaw, L.J.; Choong, Y.S. Benzofuran-appended 4-aminoquinazoline hybrids as epidermal growth factor receptor tyrosine kinase inhibitors: Synthesis, biological evaluation and molecular docking studies. J. Enzyme Inhib. Med. Chem. 2018, 33, 1516–1528. [Google Scholar] [CrossRef] [PubMed]
- Eldehna, W.M.; Nocentini, A.; Elsayed, Z.M.; Al-Warhi, T.; Aljaeed, N.; Alotaibi, O.J.; Al-Sanea, M.M.; Abdel-Aziz, H.A.; Supuran, C.T. Benzofuran-based carboxylic acids as carbonic anhydrase inhibitors and antiproliferative agents against breast cancer. ACS Med. Chem. Lett. 2020, 11, 1022–1027. [Google Scholar] [CrossRef]
- Othman, D.I.; Abdelal, A.M.; El-Sayed, M.; El Bialy, S.A.A. Novel benzofuran derivatives: Synthesis and antitumor activity. Heterocycl. Commun. 2013, 19, 29–35. [Google Scholar] [CrossRef]
- Faiz, S.; Zahoor, A.F.; Ajmal, M.; Kamal, S.; Ahmad, S.; Abdelgawad, A.M.; Elnaggar, E.M. Design, synthesis, antimicrobial evaluation, and laccase catalysis effect of novel benzofuran–oxadiazole and benzofuran–triazole hybrids. J. Heterocycl. Chem. 2019, 56, 2839–2852. [Google Scholar] [CrossRef]
- Shi, Z.; Zhao, Z.; Huang, M.; Fu, X. Ultrasound-assisted, one-pot, three-component synthesis and antibacterial activities of novel indole derivatives containing 1,3,4-oxadiazole and 1,2,4-triazole moieties. C. R. Chim. 2015, 18, 1320–1327. [Google Scholar] [CrossRef]
- Virk, N.A.; Rehman, A.; Abbasi, M.A.; Siddiqui, S.Z.; Rashid, U.; Iqbal, J.; Saleem, M.; Ashraf, M.; Shahid, W.; Shah, S.A.A. Conventional versus microwave assisted synthesis, molecular docking and enzyme inhibitory activities of new 3,4,5-trisubstituted-1,2,4-triazole analogues. Pak. J. Pharm. Sci. 2018, 31, 1501–1510. [Google Scholar] [PubMed]
- Javid, J.; Rehman, A.; Abbasi, M.A.; Siddiqui, S.Z.; Iqbal, J.; Virk, N.A.; Rasool, S.; Ali, H.A.; Ashraf, M.; Shahid, W.; et al. Comparative conventional and microwave assisted synthesis of heterocyclic oxadiazole analogues having enzymatic inhibition potential. J. Heterocycl. Chem. 2021, 58, 93–110. [Google Scholar] [CrossRef]
- Virk, N.A.; Rehman, A.; Abbasi, M.A.; Siddiqui, S.Z.; Iqbal, J.; Rasool, S.; Khan, S.U.; Htar, T.T.; Khalid, H.; Lauloo, S.J.; et al. Microwave-assisted synthesis of triazole derivatives conjugated with piperidine as new anti-enzymatic agents. J. Heterocycl. Chem. 2020, 57, 1387–1402. [Google Scholar] [CrossRef]
- Sapkal, S.B.; Shelke, K.F.; Shingate, B.B.; Shingare, M.S. An efficient synthesis of benzofuran derivatives under conventional/non-conventional method. Chin. Chem. Lett. 2010, 21, 1439–1442. [Google Scholar] [CrossRef]
- Vani, I.; Sireesha, R.; Mak, K.; Rao, P.M.; Prasad, K.R.S.; Rao, M.V.B. Microwave assisted synthesis and antimicrobial and antioxidant activities of dimers of 1,2,3-triazole-benzofuran bearing alkyl spacer derivatives. Chem. Data Collect. 2020, 31, 100605. [Google Scholar] [CrossRef]
- Reddy, E.R.; Ramesh, S.; Anitha, K.; Reddy, A.P.; Reddy, V.P. Microwave-assisted synthesis and antibacterial activity of 1-(5-((2-(4-bromobenzoyl)-3-methylbenzofuran-5-yl)methyl)-2-((1-aryl-1H-1,2,3-triazol-4-yl)methoxy)phenyl)ethanones. Chem. Data Collect. 2021, 34, 100730. [Google Scholar] [CrossRef]
- Ashok, D.; Gandhi, D.M.; Srinivas, G.; Kumar, A.V. Microwave-assisted synthesis of novel 1,2,3-triazole derivatives and their antimicrobial activity. Med. Chem. Res. 2014, 23, 3005–3018. [Google Scholar] [CrossRef]
- Farshori, N.N.; Rauf, A.; Siddiqui, M.A.; Al-Sheddi, E.S.; Al-Oqail, M.M. A facile one-pot synthesis of novel 2,5-disubstituted-1,3,4-oxadiazoles under conventional and microwave conditions and evaluation of their in vitro antimicrobial activities. Arab. J. Chem. 2017, 10, S2853–S2861. [Google Scholar] [CrossRef]
- Jaisankar, K.R.; Kumaran, K.; Kamil, S.R.M.; Srinivasan, T. Microwave-assisted synthesis of 1,2,4-triazole-3-carboxamides from esters and amines under neutral conditions. Res. Chem. Intermed. 2015, 41, 1975–1984. [Google Scholar] [CrossRef]
- Riaz, M.; Rasool, N.; Bukhari, I.; Shahid, M.; Zubair, M.; Rizwan, K.; Rashid, U. In vitro antimicrobial, antioxidant, cytotoxicity and GC-MS analysis of Mazus goodenifolius. Molecules 2012, 17, 14275–14287. [Google Scholar] [CrossRef]
- Batool, M.; Tajammal, A.; Farhat, F.; Verpoort, F.; Khattak, Z.A.K.; Mehr-un-Nisa, M.S.; Ahmad, H.A.; Munawar, M.A.; Zia-ur-Rehman, M.; Basra, M.A.R. Molecular Docking, Computational, and Antithrombotic Studies of Novel 1, 3, 4-Oxadiazole Derivatives. Int. J. Mol. Sci. 2018, 19, 3606. [Google Scholar] [CrossRef] [PubMed]
- Rasul, A.; Di, J.; Millimouno, F.; Malhi, M.; Tsuji, I.; Ali, M.; Li, J.; Li, X. Reactive oxygen species mediate isoalantolactone-induced apoptosis in human prostate cancer cells. Molecules 2013, 18, 9382–9396. [Google Scholar] [CrossRef] [PubMed]
- Arun, Y.; Saranraj, K.; Balachandran, C.; Perumal, P.T. Novel spirooxindole-pyrrolidine compounds: Synthesis, anticancer and molecular docking studies. Eur. J. Med. Chem. 2014, 74, 50–64. [Google Scholar] [CrossRef] [PubMed]
- Mustafa, M.; Abdelhamid, D.; Abdelhafez, E.M.; Ibrahim, M.A.; Gamal-Eldeen, A.M.; Aly, O.M. Synthesis, antiproliferative, anti-tubulin activity, and docking study of new 1,2,4-triazoles as potential combretastatin analogues. Eur. J. Med. Chem. 2017, 141, 293–305. [Google Scholar] [CrossRef] [PubMed]
- Saidi, I.; Nimbarte, V.D.; Schwalbe, H.; Waffo-Téguo, P.; Harrath, A.H.; Mansour, L.; Jannet, H.B. Anti-tyrosinase, anti-cholinesterase and cytotoxic activities of extracts and phytochemicals from the Tunisian Citharexylum spinosum L.: Molecular docking and SAR analysis. Bioorg.Chem. 2020, 102, 104093. [Google Scholar] [CrossRef]
- Lakshmanan, S.; Govindaraj, D.; Ramalakshmi, N.; Antony, S.A. Synthesis, molecular docking, DFT calculations and cytotoxicity activity of benzo [g] quinazoline derivatives in choline chloride-urea. J. Mol. Struct. 2017, 1150, 88–95. [Google Scholar] [CrossRef]
- Bang, Y.-J. The potential for crizotinib in non-small cell lung cancer: A perspective review. Ther. Adv. Med. Oncol. 2011, 3, 279–291. [Google Scholar] [CrossRef]
- Dai, X.; Guo, G.; Zou, P.; Cui, R.; Chen, W.; Chen, X.; Yin, C.; He, W.; Vinothkumar, R.; Yang, F.; et al. (S)-crizotinib induces apoptosis in human non-small cell lung cancer cells by activating ROS independent of MTH1. J. Exp. Clin. Cancer Res. 2017, 36, 120. [Google Scholar] [CrossRef] [PubMed]
- Chuang, J.C.; Neal, J.W. Crizotinib as first line therapy for advanced ALK-positive non-small cell lung cancers. Transl. Lung Cancer Res. 2015, 4, 639–641. [Google Scholar] [CrossRef]
- Chen, R.L.; Zhao, J.; Zhang, X.C.; Lou, N.N.; Chen, H.J.; Yang, X.; Su, J.; Xei, Z.; Zhou, O.; Tu, H.Y.; et al. Crizotinib in advanced non-small-cell lung cancer with concomitant ALK rearrangement and c-Met overexpression. BMC Cancer 2018, 18, 1171. [Google Scholar] [CrossRef]
- Roberts, P.J. Clinical use of crizotinib for the treatment of non-small cell lung cancer. Biol. Targets Ther. 2013, 7, 91–101. [Google Scholar] [CrossRef] [PubMed]
- Liu, C.; Yu, H.; Long, Q.; Chen, H.; Li, Y.; Zhao, W.; Zhao, K.; Zhu, Z.; Sun, S.; Fan, M.; et al. Real world experience of crizotinib in 104 patients with alk rearrangement non-small-cell lung cancer in a single chinese cancer center. Front. Oncol. 2019, 9, 1116. [Google Scholar] [CrossRef] [PubMed]
- Wang, Q.; He, Y.; Yang, X.; Wang, Y.; Xiao, H. Extraordinary response to crizotinib in a woman with squamous cell lung cancer after two courses of failed chemotherapy. BMC Pulm. Med. 2014, 14, 83. [Google Scholar] [CrossRef] [PubMed]
- Drilon, A.; Clark, J.W.; Weiss, J.; Ou, S.-H.I.; Camidge, D.R.; Solomon, B.J.; Otterson, G.A.; Villaruz, L.C.; Riely, G.J.; Heist, R.S.; et al. Antitumor activity of crizotinib in lung cancers harboring a MET exon 14 alteration. Nat. Med. 2020, 26, 47–51. [Google Scholar] [CrossRef] [PubMed]
- Ma, Y.; Zheng, X.; Gao, H.; Wan, C.; Rao, G.; Mao, Z. Design, synthesis, and biological evaluation of novel benzofuran derivatives bearing n-aryl piperazine moiety. Molecules 2016, 21, 1684. [Google Scholar] [CrossRef]
- Tseng, C.-Y.; Lin, C.-H.; Wu, L.-Y.; Wang, J.-S.; Chung, M.-C.; Chang, J.-F.; Chao, M.-W. Potential combinational anti-cancer therapy in non-small cell lung cancer with traditional chinese medicine sun-bai-pi extract and cisplatin. PLoS ONE 2016, 11, e0155469. [Google Scholar] [CrossRef]
- Ozturk, O.H.; Bozcuk, H.; Burgucu, D.; Ekinci, D.; Ozdogan, M.; Akca, S.; Yildiz, M. Cisplatin cytotoxicity is enhanced with zoledronic acid in A549 lung cancer cell line: Preliminary results of an in vitro study. Cell Biol. Int. 2007, 31, 1069–1071. [Google Scholar] [CrossRef]
- .Ahmed, F.F.; Abd El-Hafeez, A.A.; Abbas, S.H.; Abdelhamid, D.; Abdel-Aziz, M. New 1,2,4-triazole-Chalcone hybrids induce Caspase-3 dependent apoptosis in A549 human lung adenocarcinoma cells. Eur. J. Med. Chem. 2018, 151, 705–722. [Google Scholar] [CrossRef]
- Özdemir, A.; Sever, B.; Altıntop, M.D.; Temel, H.E.; Atlı, Ö.; Baysal, M.; Demirci, F. Synthesis and Evaluation of New Oxadiazole, Thiadiazole, and Triazole Derivatives as Potential Anticancer Agents Targeting MMP-9. Molecules 2017, 22, 1109. [Google Scholar] [CrossRef]
- Wagner, E.; Wietrzyk, J.; Psurski, M.; Becan, L.; Turlej, E. Synthesis and Anticancer Evaluation of Novel Derivatives of Isoxazolo[4,5-e][1,2,4]triazepine Derivatives and Potential Inhibitors of Protein Kinase C. ACS Omega 2020, 6, 119–134. [Google Scholar] [CrossRef]







| Compounds | R-NH | Products Percentage Yields | m.p. (°C) | |||
|---|---|---|---|---|---|---|
| Conventional Approach (Faiz S. et al.) [29] | Ultrasound-Assisted Approach (This Work) | Microwave-Assisted Approach (This Work) | Found | Reported (Faiz S. et al.) [29] | ||
| 5a | ![]() | 63 | 70 | 75 | 212 | 212–214 |
| 5b | ![]() | 53 | 66 | 70 | 181–182 | 180–182 |
| 5c | ![]() | 59 | 68 | 75 | 171–173 | 171–173 |
| 5d | ![]() | 80 | 86 | 94 | 177 | 176–178 |
| 5e | ![]() | 67 | 73 | 82 | 154–156 | 155–157 |
| 5f | ![]() | 36 | 60 | 69 | 205 | 204–206 |
| 5g | ![]() | 49 | 66 | 74 | 96–97 | 95–97 |
| Compounds | R-NH | Products Percentage Yields | m.p. (°C) | |||
|---|---|---|---|---|---|---|
| Conventional Approach (Faiz S. et al.) [29] | Ultrasound-Assisted Approach (This Work) | Microwave-Assisted Approach (This Work) | Found | Reported (Faiz S. et al.) [29] | ||
| 7a | ![]() | 73 | 80 | 90 | 220–221 | 220–222 |
| 7b | ![]() | 42 | 64 | 73 | 173–175 | 173–175 |
| 7c | ![]() | 38 | 60 | 68 | 189–190 | 188–190 |
| 7d | ![]() | 42 | 63 | 74 | 218–219 | 218–220 |
| 7e | ![]() | 46 | 69 | 77 | 249–251 | 249–251 |
| 7f | ![]() | 39 | 61 | 70 | 226–227 | 226–228 |
| 7g | ![]() | 64 | 77 | 89 | 229–230 | 228–230 |
| 7h | ![]() | 79 | 90 | 96 | 217–219 | 216–218 |
| Entry | Percentage Hemolysis ± SD | Percentage Thrombolysis ± SD | a Percentage Cell viability A549 (Lung Cancer) ± SD | IC50 (μM) A549 (Lung Cancer) |
|---|---|---|---|---|
| 5a | 3.7 ± 0.008 | 56.8 ± 0.081 | 64.1 ± 1.72 | - |
| 5b | 22.12 ± 0.008 | 50.7 ± 0.081 | 45.99 ± 4.22 | - |
| 5c | 1.3 ± 0.008 | 52.8 ± 0.081 | 43.7 ± 0.94 | - |
| 5d | 5.02 ± 0.008 | 53.5 ± 0.081 | 27.49 ± 1.90 | 6.3 ± 0.7 |
| 5e | 0.5 ± 0.008 | 52.4 ± 0.081 | 34.47 ± 2.19 | 17.9 ± 0.46 |
| 5f | 0.74 ± 0.008 | 56.5 ± 0.81 | 43.67 ± 4.43 | - |
| 5g | 4.86 ± 0.047 | 48.3 ± 0.081 | 41.45 ± 4.10 | - |
| 7a | 9.6 ± 0.081 | 52.2 ± 0.081 | 49.8 ± 1.06 | - |
| 7b | 0.1 ± 0.004 | 52.5 ± 0.081 | 57.62 ± 4.94 | - |
| 7c | 2.15 ± 0.008 | 54 ± 0.081 | 44.52 ± 5.01 | - |
| 7d | 6.13 ± 0.047 | 56.2 ± 0.081 | 39.12 ± 2.21 | - |
| 7e | 3.11 ± 0.008 | 59.1 ± 0.008 | 44.72 ± 0.84 | - |
| 7f | 15.7 ± 0.081 | 61.4 ± 0.081 | 99.1 ± 5.04 | - |
| 7g | 23.4 ± 0.081 | 49.06 ± 0.047 | 36.26 ± 0.41 | 19.8 ± 0.54 |
| 7h | 14.8 ± 0.081 | 48.1 ± 0.081 | 29.29 ± 3.98 | 10.9 ± 0.94 |
| ABTS (+ve control) | 95.9 | 86 | - | - |
| DMSO (-ve control) | - | - | 100 ± 0 | - |
| Crizotinib [41,42,43,44,45,46,47,48] | 28.22 ± 3.88 | 8.54 ± 0.84 | ||
| Cisplatin [49,50,51,52,53,54] | 15.34 ± 2.98 | 3.88 ± 0.76 |
| Target | Ligand | Binding Energies (Kcal/mol) | Binding Residues | Type of Interaction | Bond Distance Range (Å) |
|---|---|---|---|---|---|
| Anaplastic lymphoma kinase (ALK) receptors | Crizotinib | −8.985 | LEU A: 1122, ALA A: 1148, MET A: 1199, GLU A: 1197, ARG A: 1253, LEU A: 1256 | Conventional hydrogen bond, carbon hydrogen bond, pi-sigma, alkyl interaction, pi-alkyl, van der Waals interactions | 2.98–4.48 |
| Compound 5d | −9.925 | VAL A: 1130, ALA A: 1148, GLY A: 1201, ASP A: 1203, GLU A: 1210, LEU A: 1256, PRO A: 1260 | Conventional hydrogen bond, pi-anion, pi-donor hydrogen bond, pi-sigma, pi-alkyl, van der Waals interactions | 2.68–4.57 |
Publisher’s Note: MDPI stays neutral with regard to jurisdictional claims in published maps and institutional affiliations. |
© 2022 by the authors. Licensee MDPI, Basel, Switzerland. This article is an open access article distributed under the terms and conditions of the Creative Commons Attribution (CC BY) license (https://creativecommons.org/licenses/by/4.0/).
Share and Cite
Irfan, A.; Faiz, S.; Rasul, A.; Zafar, R.; Zahoor, A.F.; Kotwica-Mojzych, K.; Mojzych, M. Exploring the Synergistic Anticancer Potential of Benzofuran–Oxadiazoles and Triazoles: Improved Ultrasound- and Microwave-Assisted Synthesis, Molecular Docking, Hemolytic, Thrombolytic and Anticancer Evaluation of Furan-Based Molecules. Molecules 2022, 27, 1023. https://doi.org/10.3390/molecules27031023
Irfan A, Faiz S, Rasul A, Zafar R, Zahoor AF, Kotwica-Mojzych K, Mojzych M. Exploring the Synergistic Anticancer Potential of Benzofuran–Oxadiazoles and Triazoles: Improved Ultrasound- and Microwave-Assisted Synthesis, Molecular Docking, Hemolytic, Thrombolytic and Anticancer Evaluation of Furan-Based Molecules. Molecules. 2022; 27(3):1023. https://doi.org/10.3390/molecules27031023
Chicago/Turabian StyleIrfan, Ali, Sadia Faiz, Azhar Rasul, Rehman Zafar, Ameer Fawad Zahoor, Katarzyna Kotwica-Mojzych, and Mariusz Mojzych. 2022. "Exploring the Synergistic Anticancer Potential of Benzofuran–Oxadiazoles and Triazoles: Improved Ultrasound- and Microwave-Assisted Synthesis, Molecular Docking, Hemolytic, Thrombolytic and Anticancer Evaluation of Furan-Based Molecules" Molecules 27, no. 3: 1023. https://doi.org/10.3390/molecules27031023
APA StyleIrfan, A., Faiz, S., Rasul, A., Zafar, R., Zahoor, A. F., Kotwica-Mojzych, K., & Mojzych, M. (2022). Exploring the Synergistic Anticancer Potential of Benzofuran–Oxadiazoles and Triazoles: Improved Ultrasound- and Microwave-Assisted Synthesis, Molecular Docking, Hemolytic, Thrombolytic and Anticancer Evaluation of Furan-Based Molecules. Molecules, 27(3), 1023. https://doi.org/10.3390/molecules27031023
















