Optimization of High Temperature-Resistant Modified Starch Polyamine Anti-Collapse Water-Based Drilling Fluid System for Deep Shale Reservoir
Abstract
:1. Introduction
2. Development of a Polyamine Anti-Sloughing Inhibitor
2.1. Polyamine Inhibits the Adsorption of Anti-Sloughing Agents on the Surface of Clay Particles
2.2. Analysis of the Adsorption Properties of Polyamine Inhibitors and Anti-Sloughing Agents
2.3. Effect of Polyamine Anti Sloughing Agent on the Surface Morphology of Bentonite
2.4. Mechanism of Action of Polyamine Anti-Collapse Inhibitors
3. High Temperature Resistant Modified Starch
3.1. Action Mechanism of Modified Starch
3.2. Evaluation of Temperature Resistance of Modified Starch
3.3. Evaluation of Salt Resistance of Modified Starch
3.4. Evaluation of Salt Resistance of Modified Starch
4. High Temperature-Resistant Modified Starch KCl Polyamine Anti-Collapse Drilling Fluid System
4.1. Drilling Fluid Formula
4.2. Routine Performance Evaluation of Drilling Fluid System
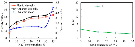
4.3. Evaluation of Salt Resistance and Calcium Resistance
4.4. Evaluation of Anti-Poor Soil Pollution
4.5. Application
5. Conclusions
Author Contributions
Funding
Institutional Review Board Statement
Informed Consent Statement
Data Availability Statement
Acknowledgments
Conflicts of Interest
Sample Availability
References
- Guo, T. Progress and research direction of deep shale gas exploration and development. Reserv. Eval. Dev. 2021, 11, 1–6. [Google Scholar]
- Yang, L.; Zhaojie, X.; Zhe, C.; Haijun, J.; Ruyue, W. Progress and development directions of deep oil and gas exploration and development in China. China Pet. Explor. 2020, 25, 45–57. [Google Scholar]
- Long, S.; Feng, D.; Li, F.; Du, W. Prospect of the deep marine shale gas exploration and development in the Sichuan Basin. Nat. Gas Geosci. 2018, 29, 444–451. [Google Scholar]
- Ma, Y.; Cai, X.; Zhao, P. China’s shale gas exploration and development: Understanding and practice. Pet. Explor. Dev. 2018, 45, 561–574. [Google Scholar] [CrossRef]
- Nie, H.K.; He, Z.L.; Liu, G.X.; Zhang, G.R.; Lu, Z.Y.; Li, D.H.; Sun, C.X. Status and direction of shale gas exploration and development in China. J. China Univ. Min. Technol. 2020, 49, 13–35. [Google Scholar]
- He, Z.; Nie, H.; Hu, D.; Jiang, T.; Wang, R.; Zhang, Y.; Zhang, G.; Lu, Z. Geological problems hindering effective development of deep shale gas: Taking Upper Ordovician Wufeng-Lower Silurian Longmaxi Formations in Sichuan Basin and its periphery as an example. Acta Pet. Sin. 2020, 41, 379–391. [Google Scholar]
- Qiu, Z.; Zou, C.; Li, X.; Wang, H.; Dong, D.; Lu, B.; Zhou, S.; Shi, Z.; Feng, Z.; Zhang, M. Discussion on characteristics and controlling factors of differential enrichment of Wufeng-Longmaxi formations shale gas in South China. Nat. Gas Geosci. 2020, 31, 163–175. [Google Scholar] [CrossRef]
- Zhang, S.; Dong, D.; Liao, Q.; Sun, S.; Huang, S.; Guan, Q.; Zhang, C.; Guo, W.; Jiang, S.; Shi, P. Geological characteristics and resource prospect of deep marine shale gas in the southern Sichuan Basin. Nat. Gas Ind. 2021, 41, 35–45. [Google Scholar]
- Wang, M.; Wu, W.; Chen, S.; Li, S.; Li, T.; Ni, G.; Zhou, W. Experimental evaluation of the rheological properties and influencing factors of gel fracturing fluid mixed with CO2 for shale gas reservoir stimulation. Gels 2022, 8, 527. [Google Scholar] [CrossRef]
- Sun, J.; Liu, J.; Yan, L. Status quo of water base drilling fluid technology for shale gas drilling in China and abroad and its developing trend in China. Drill. Fluid Complet. Fluid 2016, 33, 1–8. [Google Scholar]
- Yu, C.; Yang, S.; Zhao, S. Borehole wall strengthening with drilling fluids in shale gas drilling. Drill. Fluid Complet. Fluid 2018, 35, 49–54. [Google Scholar]
- Zhao, S.; You, Y.; Liu, H.; Zhou, C.; Chen, C.; Luo, Z. High performance drilling fluid for horizontal drilling in the well Jiaoye18- 10HF in Fuling Shale Gas Field. Drill. Fluid Complet. Fluid 2019, 36, 564–569. [Google Scholar]
- Bai, Y.; Wang, F.; Shang, X.; Lv, K.; Dong, C. Microstructure, dispersion, and flooding characteristics of intercalated polymer for enhanced oil recovery. J. Mol. Liq. 2021, 340, 117235. [Google Scholar] [CrossRef]
- Yang, J.; Bai, Y.; Sun, J.; Lv, K.; Han, J.; Dai, L. Experimental study on physicochemical properties of a shear thixotropic polymer gel for lost circulation control. Gels 2022, 8, 229. [Google Scholar] [CrossRef] [PubMed]
- Bai, Y.; Dai, L.; Sun, J.; Lv, K.; Zhang, Q.; Shang, X.; Liu, C. Experimental study on an oil-absorbing resin used for lost circulation control during drilling. J. Pet. Sci. Eng. 2022, 214, 110557. [Google Scholar] [CrossRef]
- Ming, X.; He, H.; Wang, X. Research and application of water-based drilling fluid technology of Sichuan Changning block shale gas horizontal well. Chem. Eng. OIL GAS 2017, 46, 69–73. [Google Scholar]
- Rabaioli, M.R.; Lockhart, T.P.; Burrafato, G. Physical/Chemical Studies on the Surface Interactions of Bentonite with Polymeric Dispersing Agents. In Proceedings of the SPE International Symposium on Oilfield Chemistry, SPE 25179, New Orleans, LA, USA, 13 March 1993; pp. 291–300. [Google Scholar]
- Burrafato, G.; Miano, F.; Lockhart, T.P. New chemistry for chromium free bentnoite drilling fluids stable at high temperatures. In Proceedings of the SPE International Symposium on Oilfield Chemistry, SPE 28692, San Antonio, TX, USA, 14–17 February 1995; pp. 181–190. [Google Scholar]
- Thomas, D.C. Thermal stability of starch-and carboxymethyl cellulose-based polymers used in drilling fluids. Soc. Pet. Eng. J. 1982, 22, 171–180. [Google Scholar] [CrossRef]
- Kelessidis, V.C.; Christidis, G.; Makri, P.; Hadjistamou, V.; Tsamantaki, C.; Mihalakis, A.; Papanicolaou, C.; Foscolos, A. Gelation of water-bentonite suspensions at high temperatures and rheological control withlignite addition. Appl. Clay Sci. 2007, 36, 221–231. [Google Scholar] [CrossRef]
- Alderman, N.J.; Gavignet, A.; Guillot, D.; Maitland, G.C. High-temperature, high-pressure rheology of water-based muds. In Proceedings of the SPE Annual Technical Conference and Exhibition, SPE 18035, Houston, TX, USA, 2 October 1988; pp. 187–195. [Google Scholar]
- Yang, C.; Yang, G.; Zhang, Z. Field application of FS modified starch filtrate loss agen Contemporary. Chem. Ind. 2018, 47, 1058–1062. [Google Scholar]
- Shan, J.; Zhang, X.; Yang, C.; Yin, Z.; Lu, J. Synthesis and evaluation of a highly calcium resistant and strongly inhibitive modified starch. Drill. Fluid Complet. Fluid 2015, 32, 19–22. [Google Scholar]
- Yang, C.; Yang, G.; Zhou, C.; Wang, C.; Zhao, K. Application of a high temperature modified starch (FSL) in high temperature drilling. Drill. Fluid Complet. Fluid 2019, 36, 51–54. [Google Scholar]
- Audibert, L.; Reducer for Oilfield Chemistry; Rousseau, L.; Kieffer, J. Novel High-pressure/high temperature fluid loss water-based formulation. In Proceedings of the International Symposium on Houston, SPE 50724, Houston, TX, USA, 16 February 1999; pp. 1–8. [Google Scholar]
- Patel, A.D. Water-Based Drilling Fluids with High Temperature Fluid Loss Control Additive. U.S. Patent No. 5,789,349, 4 August 1998. [Google Scholar]
- Scoric, T.; Huelke, R. Uniquely engineered water-base high-temperature drill in fluid increases production, cuts costs in Croatia Campaign. In Proceedings of the SPEJIADC Drilling Conference, SPE 79839, Amsterdam, The Netherlands, 1 November 2003; pp. 1–9. [Google Scholar]
- Heier, K.H. Synthetic polymer extends fluid loss control to HP/HT environments. World Oil 2005, 226, 75–76. [Google Scholar]
- Rupinski, S.; Brzozowski, Z.K.; Uliasz, M. Study on the application of starch derivatives as the regulators of potassium drilling fluids filtration. Chem. Chem. Technol. 2009, 3, 197–202. [Google Scholar] [CrossRef]
- Dias, F.T.G.; Souza, R.R.; Lucas, E.F. Influence of modified starches composition on their performance as fluid loss additives in invert-emulsion drilling fluids. Fuel 2015, 140, 711–716. [Google Scholar] [CrossRef]
- Soto, D.; León, O.; Urdaneta, J.; Muñoz-Bonilla, A.; Fernández-García, M. Modified starch as a filter controller in water-based drilling fluids. Materials 2020, 13, 2794. [Google Scholar] [CrossRef] [PubMed]
- Zhong, H.; Kong, X.; Chen, S.; Grady, B.P.; Qiu, Z. Preparation, characterization and filtration control properties of crosslinked starch nanospheres in water-based drilling fluids. J. Mol. Liq. 2021, 325, 115221. [Google Scholar] [CrossRef]
- Sulaimon, A.A.; Akintola, S.A.; Mohd Johari, M.A.B.; Isehunwa, S.O. Evaluation of drilling muds enhanced with modified starch for HPHT well applications. J. Pet. Explor. Prod. 2021, 11, 203–218. [Google Scholar] [CrossRef]
- Long, W.; Zhu, X.; Zhou, F.; Yan, Z.; Evelina, A.; Liu, J.; Ma, L. Preparation and Hydrogelling Performances of a New Drilling Fluid Filtrate Reducer from Plant Press Slag. Gels 2022, 8, 201. [Google Scholar] [CrossRef]








| No. | Sample | Weight Loss Rate after 100 °C/% | Inhibitor Weight Loss Rate/% | Adsorption Capacity/mg/g |
|---|---|---|---|---|
| 1 | Soil for experimental evaluation | 3.91 | - | - |
| 2 | Polyamine modified soil | 10.83 | 6.97 | 73.94 |
| Attribution of Absorption Peak | Absorption Peak Position/cm−1 |
|---|---|
| Structural water OH bond expansion vibration absorption | 3618 |
| Water molecule stretching vibration absorption band | 3416 |
| Flexural vibration absorption band of water molecules | 1627 |
| Si-O bond telescopic vibration absorption ban | 1040 |
| OH bond bending vibration absorption band | 915 and 887 |
| Si-O-R3+ vibration absorption band | 520 and 477 |
| Temperature /°C | Time /h | FLAPI /mL | FLHTHP /mL | pH | G10″/G10′ | Φ600/Φ300 | PV/mPa.s | YP/Pa | Rolling Recovery Rate /% | Linear Expansion Rate/% | |
|---|---|---|---|---|---|---|---|---|---|---|---|
| 8 h | 16 h | ||||||||||
| 80 | 16 h | 3 | 11 | 10 | 2/12 | 95/59 | 36 | 11.5 | 98.0 | 11.44 | 14.71 |
| 32 h | 2.6 | 10.5 | 10 | 7/12 | 92/64 | 28 | 18 | 97.5 | 10.9 | 13.77 | |
| 64 h | 3.6 | 11.8 | 10 | 2/8 | 78/52 | 26 | 13 | 93.5 | 12.66 | 14.67 | |
| 120 | 16 h | 2 | 8.4 | 10 | 4/15.5 | 93/59 | 34 | 12.5 | 97.0 | 10.12 | 13.07 |
| 32 h | 3.2 | 8 | 10 | 2/5 | 97/58 | 39 | 9.5 | 99.0 | 11.64 | 15.09 | |
| 64 h | 3.0 | 18 | 10 | 1.5/3 | 94/57 | 37 | 10 | 93.5 | 11.81 | 15.33 | |
| 140 | 16 h | 2.6 | 11.4 | 10 | 2/2.5 | 92/55 | 37 | 9 | 98.5 | 13.24 | 13.72 |
| 32 h | 2.8 | 10.5 | 10 | 1.5/3 | 109/66 | 43 | 11.5 | 99.0 | 12.27 | 15.68 | |
| 64 h | 3.6 | 11 | 10 | 0/0.5 | 51/29 | 21 | 4.5 | 99.5 | 12.37 | 14.9 | |
| 160 | 16 h | 2.6 | 11 | 10 | 0.5/0.5 | 55/30 | 25 | 2.5 | 99.5 | 10.73 | 13.78 |
| 32 h | 3.4 | 12.5 | 10 | 0/0.5 | 55/32 | 23 | 4.5 | 99.5 | 13.44 | 18.09 | |
| 64 h | 4.2 | 15 | 10 | 0/0.5 | 31/18 | 13 | 2.5 | 97.0 | 8.11 | 11.36 | |
| NaCl Dosage /% | FL /mL | Cl− /ppm | G10″/G10′ | Rheological Parameters | FLHTHP /mL | Shale Inhibition /% | |||
|---|---|---|---|---|---|---|---|---|---|
| Φ600/Φ300 | PV /mPa.s | YP /Pa | 8 h | 16 h | |||||
| 0% | 2.6 | 34,000 | 2/2.5 | 92/55 | 37 | 9 | 10.4 | 13.24 | 13.72 |
| 5% | 1.8 | 65,000 | 2/2.5 | 93/56 | 37 | 8.5 | 12.0 | 10.37 | 13.75 |
| 10% | 1.8 | 100,000 | 1/5.5 | 102/62 | 40 | 11 | 11.6 | 8.6 | 11.97 |
| 15% | 5.4 | 135,000 | 1/3 | 112/69 | 43 | 13 | 14.8 | 14.89 | 17.03 |
| CaCl2 Dosage /% | Ca2+ /ppm | FL /mL | G10/G10 | Rheological Parameters | FLHTHP /mL | Shale Inhibition /% | |||
|---|---|---|---|---|---|---|---|---|---|
| Φ600/Φ300 | PV/mPa.s | YP /Pa | 8 h | 16 h | |||||
| 0% | 0 | 2.6 | 2/2.5 | 92/55 | 37 | 9 | 10.4 | 13.24 | 13.72 |
| 0.4% | 1500 | 2.4 | 4/7 | 104/65 | 39 | 13 | 10.2 | 12.22 | 14.83 |
| 0.8% | 3000 | 2.4 | 7/10 | 114/73 | 41 | 16 | 11.4 | 11.54 | 15.63 |
| 1.2% | 4200 | 3.2 | 9/12 | 123/76 | 46 | 15 | 11.8 | 19.42 | 26.34 |
| 1.6% | 5500 | 4.0 | 12/14 | 144/93 | 51 | 21 | 12.4 | 22.67 | 28.46 |
| Inferior Soil Dosage /% | FL /mL | G10″/G10′ | Rheological Parameters | FLHTHP /mL | ||||
|---|---|---|---|---|---|---|---|---|
| Φ600/Φ300 | Φ200/Φ100 | Φ6/Φ3 | PV /mPa.s | YP /Pa | ||||
| 0 | 2.6 | 2/2.5 | 92/55 | 40/24 | 5/4 | 37 | 9 | 11.4 |
| 5 | 2.4 | 4/6 | 102/62 | 51/29 | 7/4 | 40 | 11 | 11.0 |
| 10 | 2.2 | 5/9 | 122/76 | 56/33 | 10/7 | 46 | 15 | 10.6 |
| 15 | 1.8 | 5/10 | 126/79 | 61/37 | 10/8 | 47 | 16 | 9.2 |
| 20 | 1.8 | 6/11 | 142/91 | 69/46 | 12/9 | 51 | 20 | 8.6 |
| Type | General Performance | HTHP | Rheological Properties | Solid Content | Kf /45′ | K+ /mg/L | |||||||||
|---|---|---|---|---|---|---|---|---|---|---|---|---|---|---|---|
| Parameter | FV/s | FL /mL | K /mm | pH | G10″ /Pa | G10′ /Pa | FL /mL | K /mm | PV /mPa.s | YP /Pa | Vs /% | Cb /g/L | Cs /% | ||
| Test result | 50~70 | ≤4 | ≤0.5 | 9~10 | 5~10 | 12~16 | ≤10 (140 °C) | ≤2 | 22~36 | 10~16 | ≤30 | 20~35 | ≤0.2 | ≤0.15 | 15,000 |
Publisher’s Note: MDPI stays neutral with regard to jurisdictional claims in published maps and institutional affiliations. |
© 2022 by the authors. Licensee MDPI, Basel, Switzerland. This article is an open access article distributed under the terms and conditions of the Creative Commons Attribution (CC BY) license (https://creativecommons.org/licenses/by/4.0/).
Share and Cite
Kong, X.; Chen, M.; Zhang, C.; Liu, Z.; Jin, Y.; Wang, X.; Liu, M.; Li, S. Optimization of High Temperature-Resistant Modified Starch Polyamine Anti-Collapse Water-Based Drilling Fluid System for Deep Shale Reservoir. Molecules 2022, 27, 8936. https://doi.org/10.3390/molecules27248936
Kong X, Chen M, Zhang C, Liu Z, Jin Y, Wang X, Liu M, Li S. Optimization of High Temperature-Resistant Modified Starch Polyamine Anti-Collapse Water-Based Drilling Fluid System for Deep Shale Reservoir. Molecules. 2022; 27(24):8936. https://doi.org/10.3390/molecules27248936
Chicago/Turabian StyleKong, Xiangwei, Mingzhong Chen, Chaoju Zhang, Zuocai Liu, Yanxin Jin, Xue Wang, Minggang Liu, and Song Li. 2022. "Optimization of High Temperature-Resistant Modified Starch Polyamine Anti-Collapse Water-Based Drilling Fluid System for Deep Shale Reservoir" Molecules 27, no. 24: 8936. https://doi.org/10.3390/molecules27248936
APA StyleKong, X., Chen, M., Zhang, C., Liu, Z., Jin, Y., Wang, X., Liu, M., & Li, S. (2022). Optimization of High Temperature-Resistant Modified Starch Polyamine Anti-Collapse Water-Based Drilling Fluid System for Deep Shale Reservoir. Molecules, 27(24), 8936. https://doi.org/10.3390/molecules27248936

