Deep-Blue Triplet–Triplet Annihilation Organic Light-Emitting Diode (CIEy ≈ 0.05) Using Tetraphenylimidazole and Benzonitrile Functionalized Anthracene/Chrysene Emitters
Abstract
1. Introduction
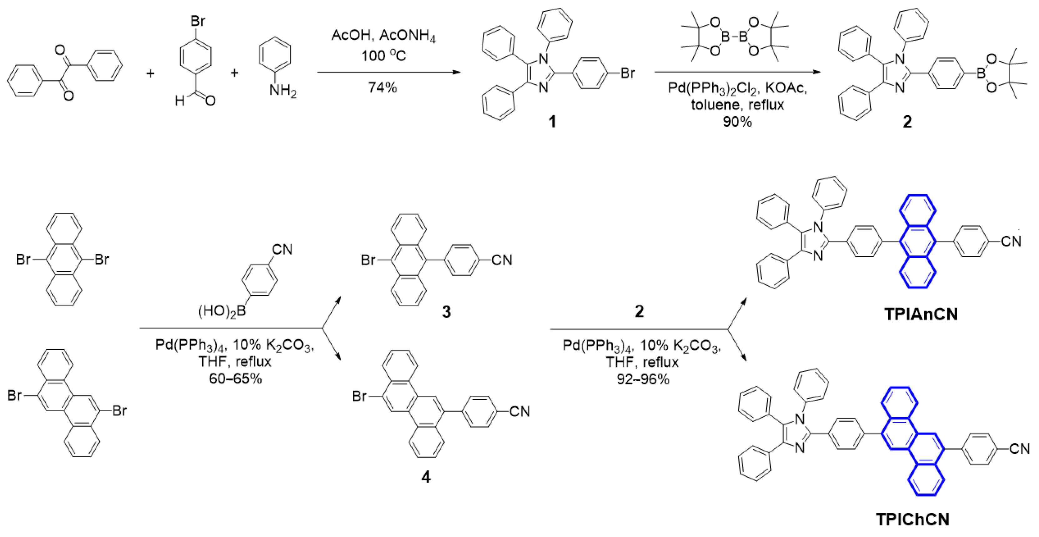
2. Results and Discussion
3. Conclusions
4. Materials and Methods
Supplementary Materials
Author Contributions
Funding
Institutional Review Board Statement
Informed Consent Statement
Data Availability Statement
Conflicts of Interest
Sample Availability
References
- Tang, C.W.; Vanslyke, S.A. Organic Electroluminescent Diodes. Appl. Phys. Lett. 1987, 51, 913–915. [Google Scholar] [CrossRef]
- Reineke, S. Organic Light-Emitting Diodes: Phosphorescence Meets Its Match. Nat. Photonics 2014, 8, 269–270. [Google Scholar] [CrossRef]
- Sasabe, H.; Kido, J. Recent Progress in Phosphorescent Organic Light-Emitting Devices. Eur. J. Org. Chem. 2013, 2013, 7653–7663. [Google Scholar] [CrossRef]
- Fan, Y.; Zhang, H.; Chen, J.; Ma, D. Three-Peak Top-Emitting White Organic Emitting Diodes with Wide Color Gamut for Display Application. Org. Electron. 2013, 14, 1898–1902. [Google Scholar] [CrossRef]
- D’Andrade, B.W.; Forrest, S.R. White Organic Light-Emitting Devices for Solid-State Lighting. Adv. Mater. 2004, 16, 1585–1595. [Google Scholar] [CrossRef]
- Kim, S.; Kwon, H.J.; Lee, S.; Shim, H.; Chun, Y.; Choi, W.; Kwack, J.; Han, D.; Song, M.; Kim, S.; et al. Low-Power Flexible Organic Light-Emitting Diode Display Device. Adv. Mater. 2011, 23, 3511–3516. [Google Scholar] [CrossRef]
- Chen, W.C.; Lee, C.S.; Tong, Q.X. Blue-Emitting Organic Electrofluorescence Materials: Progress and Prospective. J. Mater. Chem. C 2015, 3, 10957–10963. [Google Scholar] [CrossRef]
- Zhu, M.; Yang, C. Blue Fluorescent Emitters: Design Tactics and Applications in Organic Light-Emitting Diodes. Chem. Soc. Rev. 2013, 42, 4963–4976. [Google Scholar] [CrossRef]
- Yang, X.; Xu, X.; Zhou, G. Recent Advances of the Emitters for High Performance Deep-Blue Organic Light-Emitting Diodes. J. Mater. Chem. C 2015, 3, 913–944. [Google Scholar] [CrossRef]
- Forrest, S.R. Exciton Formation Statistics under Injection in Organic Semiconductor Thin Films. J. Lumin. 2004, 110, 378–383. [Google Scholar] [CrossRef]
- Baldo, M.A.; Lamansky, S.; Burrows, P.E.; Thompson, M.E.; Forrest, S.R. Very High-Efficiency Green Organic Light-Emitting Devices Based on Electrophosphorescence. Appl. Phys. Lett. 1999, 75, 4–6. [Google Scholar] [CrossRef]
- Segal, M.; Baldo, A.; Holmes, J.; Forrest, R.; Soos, G. Excitonic Singlet-Triplet Ratios in Molecular and Polymeric Organic Materials. Phys. Rev. B 2003, 68, 075211. [Google Scholar] [CrossRef]
- Forrest, S.R.; O’Brien, D.F. Excitonic Singlet-Triplet Ratio in a Semiconducting Organic Thin Film. Phys. Rev. B 1999, 60, 14422–14428. [Google Scholar]
- Adachi, C.; Baldo, M.A.; Forrest, S.R.; Thompson, M.E. High-Efficiency Organic Electrophosphorescent Devices with Tris(2-Phenylpyridine)Iridium Doped into Electron-Transporting Materials. Appl. Phys. Lett. 2000, 77, 904–906. [Google Scholar] [CrossRef]
- Zhang, Q.; Li, B.; Huang, S.; Nomura, H.; Tanaka, H.; Adachi, C. Efficient Blue Organic Light-Emitting Diodes Employing Thermally Activated Delayed Fluorescence. Nat. Photonics 2014, 8, 326–332. [Google Scholar] [CrossRef]
- Chan, C.Y.; Cui, L.S.; Kim, J.U.; Nakanotani, H.; Adachi, C. Rational Molecular Design for Deep-Blue Thermally Activated Delayed Fluorescence Emitters. Adv. Funct. Mater. 2018, 28, 1706023–1706029. [Google Scholar] [CrossRef]
- Zhang, Q.; Tsang, D.; Kuwabara, H.; Hatae, Y.; Li, B.; Takahashi, T.; Lee, S.Y.; Yasuda, T.; Adachi, C. Nearly 100% Internal Quantum Efficiency in Undoped Electroluminescent Devices Employing Pure Organic Emitters. Adv. Mater. 2015, 27, 2096–2100. [Google Scholar] [CrossRef]
- Hirata, S.; Sakai, Y.; Masui, K.; Tanaka, H.; Lee, S.Y.; Nomura, H.; Nakamura, N.; Yasumatsu, M.; Nakanotani, H.; Zhang, Q.; et al. Highly Efficient Blue Electroluminescence Based on Thermally Activated Delayed Fluorescence. Nat. Mater. 2015, 14, 330–336. [Google Scholar] [CrossRef]
- Shan, T.; Liu, Y.; Tang, X.; Bai, Q.; Gao, Y.; Gao, Z.; Li, J.; Deng, J.; Yang, B.; Lu, P.; et al. Highly Efficient Deep Blue Organic Light-Emitting Diodes Based on Imidazole: Significantly Enhanced Performance by Effective Energy Transfer with Negligible Efficiency Roll-Off. ACS Appl. Mater. Interfaces 2016, 8, 28771–28779. [Google Scholar] [CrossRef]
- Liu, B.; Yu, Z.W.; He, D.; Zhu, Z.L.; Zheng, J.; Yu, Y.D.; Xie, W.F.; Tong, Q.X.; Lee, C.S. Ambipolar D-A Type Bifunctional Materials with Hybridized Local and Charge-Transfer Excited State for High Performance Electroluminescence with EQE of 7.20% and CIEy ∼ 0.06. J. Mater. Chem. C 2017, 5, 5402–5410. [Google Scholar] [CrossRef]
- Cao, C.; Yang, G.-X.; Tan, J.-H.; Shen, D.; Chen, W.-C.; Chen, J.-X.; Liang, J.-L.; Zhu, Z.-L.; Liu, S.-H.; Tong, Q.-X.; et al. Deep-blue high-efficiency triplet-triplet annihilation organic light-emitting diodes using donor- and acceptor-modified anthracene fluorescent emitters. Mater. Today Energy 2021, 21, 100727. [Google Scholar] [CrossRef]
- Bian, M.; Zhao, Z.; Li, Y.; Li, Q.; Chen, Z.; Zhang, D.; Wang, S.; Bian, Z.; Liu, Z.; Duan, L.; et al. A Combinational Molecular Design to Achieve Highly Efficient Deep-Blue Electrofluorescence. J. Mater. Chem. C 2018, 6, 745–753. [Google Scholar] [CrossRef]
- Chou, P.T.; Chi, Y.; Chung, M.W.; Lin, C.C. Harvesting Luminescence via Harnessing the Photophysical Properties of Transition Metal Complexes. Coord. Chem. Rev. 2011, 255, 2653–2665. [Google Scholar] [CrossRef]
- Xu, H.; Chen, R.; Sun, Q.; Lai, W.; Su, Q.; Huang, W.; Liu, X. Recent Progress in Metal-Organic Complexes for Optoelectronic Applications. Chem. Soc. Rev. 2014, 43, 3259–3302. [Google Scholar] [CrossRef] [PubMed]
- Uoyama, H.; Goushi, K.; Shizu, K.; Nomura, H.; Adachi, C. Highly Efficient Organic Light-Emitting Diodes from Delayed Fluorescence. Nature 2012, 492, 234–238. [Google Scholar] [CrossRef]
- Zhang, Q.; Li, J.; Shizu, K.; Huang, S.; Hirata, S.; Miyazaki, H.; Adachi, C. Design of Efficient Thermally Activated Delayed Fluorescence Materials for Pure Blue Organic Light Emitting Diodes. J. Am. Chem. Soc. 2012, 134, 14706–14709. [Google Scholar] [CrossRef]
- He, X.; Shan, T.; Tang, X.; Gao, Y.; Li, J.; Yang, B.; Lu, P. Highly Efficient Organic Light Emitting Diodes Based on a D–A–D Type Dibenzothiophene Derivative Exhibiting Thermally Activated Delayed Fluorescence with Small ∆EST. J. Mater. Chem. C 2016, 4, 10205–10208. [Google Scholar] [CrossRef]
- Zhang, Q.; Xiang, S.; Huang, Z.; Sun, S.; Ye, S.; Lv, X.; Liu, W.; Guo, R.; Wang, L. Molecular Engineering of Pyrimidine-containing Thermally Activated Delayed Fluorescence Emitters for Highly Efficient Deep-blue (CIEy < 0.06) organic light-emitting diodes. Dyes Pigment. 2018, 155, 51–58. [Google Scholar]
- Kondakov, D. Characterization of Triplet-Triplet Annihilation in Organic Light-Emitting Diodes Based on Anthracene Derivatives. J. Appl. Phys. 2009, 102, 114504. [Google Scholar] [CrossRef]
- Chen, Y.; Lin, C.; Huang, M.; Hung, K.; Wu, Y.; Lin, W.; Chen-cheng, R.; Lin, H.; Cheng, C. Superior Upconversion Fluorescence Dopants for Highly Efficient Deep-blue Electroluminescent Devices. Chem. Sci. 2016, 7, 4044–4051. [Google Scholar] [CrossRef]
- Sung, M.J.; Chubachi, H.; Sato, R.; Shin, M.; Kwon, S.; Pu, Y.; Kim, Y. Dimethylsilyl-linked anthracene–pyrene dimers and their efficient triplet–triplet annihilation in organic light emitting diodes. J. Mater. Chem. C 2017, 5, 1090–1094. [Google Scholar] [CrossRef]
- Hu, J.; Pu, Y.; Satoh, F.; Kawata, S.; Katagiri, H. Bisanthracene-Based Donor–Acceptor-Type Light-Emitting Dopants: Highly Efficient Deep-Blue Emission in Organic Light-Emitting Devices. Adv. Funct. Mater. 2014, 24, 2064–2071. [Google Scholar] [CrossRef]
- Zhang, D.; Zhang, D.; Duan, L. Exploiting p-Type Delayed Fluorescence in Hybrid White OLEDs:Breaking the Trade-off between High Device Efficiency and Long Lifetime. ACS Appl. Mater. Interfaces 2016, 8, 23197–23203. [Google Scholar] [CrossRef] [PubMed]
- Peng, L.; Yao, J.W.; Wang, M.; Wang, L.Y.; Huang, X.L.; Wei, X.F.; Ma, D.G.; Cao, Y.; Zhu, X.H. Efficient Soluble Deep Blue Electroluminescent Dianthracenylphenylene Emitters with CIE y (Y ≤ 0.08) Based on Triplet-Triplet Annihilation. Sci. Bull. 2019, 64, 774–781. [Google Scholar] [CrossRef]
- Liu, W.; Ying, S.; Guo, R.; Qiao, X.; Leng, P.; Zhang, Q.; Wang, Y.; Ma, D.; Wang, L. Nondoped blue fluorescent organic light-emitting diodes based on benzonitrile-anthracene derivative with 10.06% external quantum efficiency and low efficiency roll-off. J. Mater. Chem. C 2019, 7, 1014–1021. [Google Scholar] [CrossRef]
- Nalaoh, P.; Sungworawongpana, N.; Chasing, P.; Waengdongbung, W.; Funchien, P.; Kaiyasuan, C.; Sudyoadsuk, T.; Promarak, V. A dimeric π-stacking of anthracene inducing efficiency enhancement in solid-state fluorescence and non-doped deep-blue triplet–triplet annihilation organic light-emitting diodes. Adv. Opt. Mater. 2021, 9, 2100500. [Google Scholar] [CrossRef]
- Kang, S.; Huh, J.; Kim, J.; Park, J. Highly Efficient Deep-Blue Fluorescence OLEDs. J. Mater. Chem. C 2020, 8, 11168–11176. [Google Scholar] [CrossRef]
- Wu, Z.; Song, S.; Zhu, X.; Chen, H.; Chi, J. Highly Efficient Deep-Blue Fluorescent OLEDs Based on Anthracene Derivatives with a Triplet–Triplet Annihilation Mechanism. J. Mater. Chem. Front. 2021, 5, 6978–6986. [Google Scholar] [CrossRef]
- Li, Y.; Li, F.; Zhang, H.; Xie, Z.; Xie, W.; Xu, H.; Li, B.; Shen, F.; Ye, L.; Hanif, M.; et al. Tight Intermolecular Packing through Supramolecular Interactions in Crystals of Cyano Substituted Oligo(Para-Phenylene Vinylene): A Key Factor for Aggregation-Induced Emission. Chem. Commun. 2007, 1, 231–233. [Google Scholar] [CrossRef]
- Zhang, Y.; Lai, S.L.; Tong, Q.X.; Chan, M.Y.; Ng, T.W.; Wen, Z.C.; Zhang, G.Q.; Lee, S.T.; Kwong, H.L.; Lee, C.S. Synthesis and Characterization of Phenanthroimidazole Derivatives for Applications in Organic Electroluminescent Devices. J. Mater. Chem. 2011, 21, 8206–8214. [Google Scholar] [CrossRef]
- Wang, Z.; Lu, P.; Chen, S.; Gao, Z.; Shen, F.; Zhang, W.; Xu, Y.; Kwok, H.S.; Ma, Y. Phenanthro[9,10-d]Imidazole as a New Building Block for Blue Light Emitting Materials. J. Mater. Chem. 2011, 21, 5451–5456. [Google Scholar] [CrossRef]
- Yuan, Y.; Chen, J.X.; Lu, F.; Tong, Q.X.; Yang, Q.D.; Mo, H.W.; Ng, T.W.; Wong, F.L.; Guo, Z.Q.; Ye, J.; et al. Bipolar Phenanthroimidazole Derivatives Containing Bulky Polyaromatic Hydrocarbons for Nondoped Blue Electroluminescence Devices with High Efficiency and Low Efficiency Roll-Off. Chem. Mater. 2013, 25, 4957–4965. [Google Scholar] [CrossRef]
- Kijima, Y.; Asai, N.; Tamura, S.I. A Blue Organic Light Emitting Diode. Jpn. J. Appl. Phys. Part 1 Regul. Pap. Short Notes Rev. Pap. 1999, 38, 5274–5277. [Google Scholar] [CrossRef]
- O’Brien, D.F.; Baldo, M.A.; Thompson, M.E.; Forrest, S.R. Improved Energy Transfer in Electrophosphorescent Devices. Appl. Phys. Lett. 1999, 74, 442–444. [Google Scholar] [CrossRef]
- Naka, S.; Okada, H.; Onnagawa, H.; Tsutsui, T. High Electron Mobility in Bathophenanthroline. Appl. Phys. Lett. 2000, 76, 197–199. [Google Scholar] [CrossRef]
- Wang, F.; Hu, J.; Cao, X.; Yang, T.; Tao, Y.; Mei, L.; Zhang, X.; Huang, W. A Low-Cost Phenylbenzoimidazole Containing Electron Transport Material for Efficient Green Phosphorescent and Thermally Activated Delayed Fluorescent OLEDs. J. Mater. Chem. C 2015, 3, 5533–5540. [Google Scholar] [CrossRef]
- Chen, W.C.; Zhu, Z.L.; Lee, C.S. Organic Light-Emitting Diodes Based on Imidazole Semiconductors. Adv. Opt. Mater. 2018, 6, 1800258. [Google Scholar] [CrossRef]
- Tang, X.; Bai, Q.; Shan, T.; Li, J.; Gao, Y.; Liu, F.; Liu, H.; Peng, Q.; Yang, B.; Li, F.; et al. Efficient Nondoped Blue Fluorescent Organic Light-Emitting Diodes (OLEDs) with a High External Quantum Efficiency of 9.4% @1000 Cd m−2 Based on Phenanthroimidazole−Anthracene Derivative. Adv. Funct. Mater. 2018, 28, 1705813. [Google Scholar] [CrossRef]
- Lee, H.; Kim, B.; Kim, S.; Kim, J.; Lee, J.; Shin, H.; Lee, J.H.; Park, J. Synthesis and Electroluminescence Properties of Highly Efficient Dual Core Chromophores with Side Groups for Blue Emission. J. Mater. Chem. C 2014, 2, 4737–4747. [Google Scholar] [CrossRef]
- Chung, Y.H.; Sheng, L.; Xing, X.; Zheng, L.; Bian, M.; Chen, Z.; Xiao, L.; Gong, Q. A Pure Blue Emitter (CIEy ≈ 0.08) of Chrysene Derivative with High Thermal Stability for OLED. J. Mater. Chem. C 2015, 3, 1794–1798. [Google Scholar] [CrossRef]
- Lee, H.; Jung, H.; Kang, S.; Heo, J.H.; Im, S.H.; Park, J. Three-Dimensional Structures Based on the Fusion of Chrysene and Spirobifluorene Chromophores for the Development of Blue OLEDs. J. Org. Chem. 2018, 83, 2640–2646. [Google Scholar] [CrossRef] [PubMed]
- Li, G.; Zhao, J.; Zhang, D.; Zhu, J.; Shi, Z.; Tao, S.; Lu, F.; Tong, Q. Non-Doped Deep Blue Emitters Based on Twisted Phenanthroimidazole Derivatives for Organic Light-Emitting Devices (CIEy ≈ 0.04). New J. Chem. 2017, 41, 5191–5197. [Google Scholar] [CrossRef]
- Chantanop, N.; Nalaoh, P.; Chasing, P.; Waengdongbung, W.; Sudyoadsuk, T.; Promarak, V. Chrysene and Triphenylene Based-Fluorophores as Non-Doped Deep Blue Emitters for Triplet-Triplet Annihilation Organic Light-Emitting Diodes. J. Lumin. 2022, 248, 118926. [Google Scholar] [CrossRef]
- Novotny, J.; Bazzi, S.; Marek, R.; Kozelka, J. Lone-pair–π Interactions: Analysis of The Physical Origin And Biolological Implications. Phys. Chem. Chem. Phys. 2016, 18, 19472–19481. [Google Scholar] [CrossRef] [PubMed]
- He, X.; Ren, S.; Liu, H.; Zhao, S.; Liu, F.; Du, C.; Min, J.; Zhang, H.; Lu, P. Efficient Nondoped Pure Blue Organic Light-Emitting Diodes Based on an Anthracene and 9,9-Diphenyl-9,10-Dihydroacridine Derivative. Chem. Asian J. 2020, 15, 163–168. [Google Scholar] [CrossRef]
- Serevičius, T.; Komskis, R.; Adomènas, P.; Adomènienè, O.; Kreiza, G.; Jankauskas, V.; Kazlauskas, K.; Miasojedovas, A.; Jankus, V.; Monkman, A.; et al. Triplet-Triplet Annihilation in 9,10-Diphenylanthracene Derivatives: The Role of Intersystem Crossing and Exciton Diffusion. J. Phys. Chem. C 2017, 121, 8515–8524. [Google Scholar] [CrossRef]
- Wang, Z.M.; Song, X.H.; Gao, Z.; Yu, D.W.; Zhang, X.J.; Lu, P.; Shen, F.Z.; Ma, Y.G. Tuning of the Electronic and Optical Properties of 4,4′-Bis(1-Phenyl-Phenanthro[9,10-d]Imidazol-2-yl)Biphenyl via Cyano Substitution in Un-Conjugated Phenyl. RSC Adv. 2012, 2, 9635–9642. [Google Scholar] [CrossRef]
- Jones, R.N. The Ultraviolet Absorption Spectra of Anthracene Derivatives. Chem. Rev. 1947, 41, 353–371. [Google Scholar] [CrossRef]
- Li, W.; Chasing, P.; Nalaoh, P.; Chawanpunyawat, T.; Chantanop, N.; Sukpattanacharoen, C.; Kungwan, N.; Wongkaew, P.; Sudyoadsuk, T.; Promarak, V. Deep-Blue High-Efficiency Triplet-Triplet Annihilation Organic Light-Emitting Diodes Using Hydroxyl-Substituted Tetraphenylimidazole-Functionalized Anthracene Fluorescent Emitter. J. Mater. Chem. C 2022, 10, 9968–9979. [Google Scholar] [CrossRef]
- Reineke, S.; Baldo, M.A. Room Temperature Triplet State Spectroscopy of Organic Semiconductors. Sci. Rep. 2014, 4, 3797. [Google Scholar] [CrossRef]
- Wang, C.; Deng, C.; Wang, D.; Zhang, Q. Prediction of Intramolecular Charge-Transfer Excitation for Thermally Activated Delayed Fluorescence Molecules from a Descriptor-Tuned Density Functional. J. Phys. Chem. C 2018, 122, 7816–7823. [Google Scholar] [CrossRef]
- Berberan-Santos, M.N.; Garcia, J.M.M. Unusually Strong Delayed Fluorescence of C70. J. Am. Chem. Soc. 1996, 118, 9391–9394. [Google Scholar] [CrossRef]
- Wei, D.; Fu, J.; Liu, R.; Hou, Y.; Liu, C.; Wang, W.; Chen, D. Highly Sensitive Diode-Based Micro-Pirani Vacuum Sensor with Low Power Consumption. Sensors 2019, 19, 188. [Google Scholar] [CrossRef] [PubMed]
- Andrade, B.B.W.D.; Brooks, J.; Adamovich, V.; Thompson, M.E.; Forrest, S.R. White Light Emission Using Triplet Excimers in Electrophosphorescent Organic Light-Emitting Devices. Adv. Mater. 2002, 14, 1032–1036. [Google Scholar] [CrossRef]
- Li, Y.; Clevenger, R.G.; Jin, L.; Kilway, K.V.; Peng, Z. Unusually High SCLC Hole Mobility in Solution-Processed Thin Films of a Polycyclic Thiophene-Based Small-Molecule Semiconductor. J. Mater. Chem. C 2014, 2, 7180–7183. [Google Scholar] [CrossRef]
- Chiang, C.J.; Kimyonok, A.; Etherington, M.K.; Griffiths, G.C.; Jankus, V.; Turksoy, F.; Monkman, A.P. Ultrahigh Efficiency Fluorescent Single and Bi-Layer Organic Light Emitting Diodes: The Key Role of Triplet Fusion. Adv. Funct. Mater. 2013, 23, 739–746. [Google Scholar] [CrossRef]
- Frisch, M.J.; Trucks, G.W.; Schlegel, H.B.; Scuseria, G.E.; Robb, M.A.; Cheeseman, J.R.; Scalmani, G.; Barone, V.; Petersson, G.A.; Nakatsuji, H.; et al. Gaussian 16, Revision C.01; Gaussian, Inc.: Wallingford, CT, USA, 2016. [Google Scholar]









| Compd | λabs (log(ε)) a (nm, M−1 cm−1) | λPL (nm) sol a/Film b/ dfilm d | ΦPL (%) c Sol a/Film b/ dfilm d | τ (ns) e sol a/Film b | Tm/Td (°C) f | E1/2 vs. Ag/Ag+ (V) g | Egopt (eV) h | HOMO/LUMO (eV) i |
|---|---|---|---|---|---|---|---|---|
| TPIAnCN | 263 (5.51), 357 (4.59), 376 (4.77), 396 (4.75) | 441/463/446 | 60/21/71 | 2.89/0.96 | 350/540 | 1.32, 1.65 | 2.85 | −5.77/−2.92 |
| TPIChCN | 276 (5.07), 345 (4.77) | 432/462/432 | 59/49/73 | 1.39/1.41 | 364/568 | 1.32, 1.43 | 3.06 | −5.79/2.73 |
| Emitter a | Von (V) b | λEL (nm) c | FWHM (nm) d | Lmax (cd m−2) e | Jmax (mA cm−2) f | EQEmax/EQE500 (%) g | CIE (x, y) h | ηs (%) i |
|---|---|---|---|---|---|---|---|---|
| TPIAnCN | 3.2 | 438 | 55 | 2016 | 436 | 6.84/1.72 | (0.15, 0.07) | 48% |
| TPIChCN | 3.4 | 429 | 58 | 2282 | 307 | 5.31/3.38 | (0.15, 0.05) | 36% |
Publisher’s Note: MDPI stays neutral with regard to jurisdictional claims in published maps and institutional affiliations. |
© 2022 by the authors. Licensee MDPI, Basel, Switzerland. This article is an open access article distributed under the terms and conditions of the Creative Commons Attribution (CC BY) license (https://creativecommons.org/licenses/by/4.0/).
Share and Cite
Malatong, R.; Waengdongbung, W.; Nalaoh, P.; Chantanop, N.; Chasing, P.; Kaiyasuan, C.; Arunlimsawat, S.; Sudyoadsuk, T.; Promarak, V. Deep-Blue Triplet–Triplet Annihilation Organic Light-Emitting Diode (CIEy ≈ 0.05) Using Tetraphenylimidazole and Benzonitrile Functionalized Anthracene/Chrysene Emitters. Molecules 2022, 27, 8923. https://doi.org/10.3390/molecules27248923
Malatong R, Waengdongbung W, Nalaoh P, Chantanop N, Chasing P, Kaiyasuan C, Arunlimsawat S, Sudyoadsuk T, Promarak V. Deep-Blue Triplet–Triplet Annihilation Organic Light-Emitting Diode (CIEy ≈ 0.05) Using Tetraphenylimidazole and Benzonitrile Functionalized Anthracene/Chrysene Emitters. Molecules. 2022; 27(24):8923. https://doi.org/10.3390/molecules27248923
Chicago/Turabian StyleMalatong, Ruttapol, Wijitra Waengdongbung, Phattananawee Nalaoh, Nuttapong Chantanop, Pongsakorn Chasing, Chokchai Kaiyasuan, Suangsiri Arunlimsawat, Taweesak Sudyoadsuk, and Vinich Promarak. 2022. "Deep-Blue Triplet–Triplet Annihilation Organic Light-Emitting Diode (CIEy ≈ 0.05) Using Tetraphenylimidazole and Benzonitrile Functionalized Anthracene/Chrysene Emitters" Molecules 27, no. 24: 8923. https://doi.org/10.3390/molecules27248923
APA StyleMalatong, R., Waengdongbung, W., Nalaoh, P., Chantanop, N., Chasing, P., Kaiyasuan, C., Arunlimsawat, S., Sudyoadsuk, T., & Promarak, V. (2022). Deep-Blue Triplet–Triplet Annihilation Organic Light-Emitting Diode (CIEy ≈ 0.05) Using Tetraphenylimidazole and Benzonitrile Functionalized Anthracene/Chrysene Emitters. Molecules, 27(24), 8923. https://doi.org/10.3390/molecules27248923
