Fluorescent Pyranoindole Congeners: Synthesis and Photophysical Properties of Pyrano[3,2-f], [2,3-g], [2,3-f], and [2,3-e]Indoles
Abstract
1. Introduction
2. Results
2.1. Synthesis
2.1.1. Synthesis of Pyrano[2,3-f]indoles
2.1.2. Synthesis of Pyrano[2,3-e]indoles
2.1.3. Synthesis of Pyrano[3,2-f] and [2,3-g]Indoles
2.1.4. Modification of Pyrano[3,2-f] and [2,3-g]Indoles
2.2. Photophysical Studies
2.2.1. Absorption and Emission in Acetonitrile
| Compound | Structure | λabs, nm (εM (104 M−1 cm−1)) a | λem, nm b | Stokes Shift, cm−1 (nm) | φ, % c |
|---|---|---|---|---|---|
| 2 | ![]() | 271 (sh) (2.9), 329 (4.1) | 416 | 6357 (145) | 24 |
| 3 | ![]() | 274 (0.6) | 447 | 6868 (173) | <0.1 |
| 6a | ![]() | 241 (4.4), 285 (1.0) | 522 | 15,931 (281) | 0.1 |
| 6b | ![]() | 241 (3.3), 280 (1.6) | 474 | 14,617 (233) | 7 |
| 7a | ![]() | 335 (0.8) | 502 | 9930 (167) | 14 |
| 8a | ![]() | 287 (1.1) | 496 | 14,682 (209) | 57 |
| 7b | ![]() | 284 (1.4), 337 (0.7) | 491 | 9307 (207) | 7 |
| 8b | ![]() | 275 (0.7), 298 (0.6) | 481 | 12,767 (206) | 49 |
| 7c | ![]() | 271 (sh) (0.7), 300 (0.5) | 499 | 13,293 (199) | 89 |
| 8c | ![]() | 268 (0.6), 300 (0.6) | 494 | 13,090 (194) | 76 |
| 7d | ![]() | 338 (3.3) | 500 | 9586 (162) | 10 |
| 8d | ![]() | 278 (2.7), 306 (2.8) | 489 | 12,230 (183) | 66 |
| 7e | ![]() | 225 (1.6), 303 (1.4), 330 (sh) (1.1) | 420, 520 | 10,618 (217) | 4 |
| 8e | ![]() | 243 (1.4) 305 (1.1) | 416, 524 | 8025 (215) | 33 |
| 7f | ![]() | 275 (5.6), 337 (0.9) | 490 | 9265 (215) | 11 |
| 8f | ![]() | 271 (2.9), 302 (2.7) | 473 | 12,872 (171) | 60 |
| 7g | ![]() | 334 (3.5) | 471 | 8709 (137) | 25 |
| 8g | ![]() | 274 (4.3), 302 (4.7) | 475 | 12,060 (173) | 61 |
| 10 | ![]() | 268 (2.8), 322 (1.6) | 516 | 11,676 (248) | 6 |
| 7h | ![]() | 275 (3.3), 337 (0.8) | 421 | 5921 (146) | 15 |
| 7i | ![]() | 245 (2.5), 303 (2.4), 335 (sh) (1.7) | 500 | 12,680 (197) | 9 |
| 12 | ![]() | 315 (1.1) | 593 | 14,883 (278) | <0.1 |
| 13 | ![]() | 226 (2.8), 325 (1.7) | 418 | 7036 (157) | 98 |
| 14 | ![]() | 241 (3.3), 279 (2.9), 307 sh (2.3) | 375 | 5907 (134) | 2 |
| 15 [28] | ![]() | 317 | 393 | 6100 (76) | <0.1 |
| 9a | ![]() | 285 (1.3), 335 (0.7) | 522 | 10,694 (281) | 9 |
| 9b | ![]() | 284 (2.2), 329 (1.5) | 420 | 6586 (136) | 10 |
| 9c | ![]() | 341 (0.9) | 586 | 12,261 (245) | <0.1 |
| 9d | ![]() | 274 (3.4), 339 (0.8) | 570 | 11,955 (231) | <0.1 |
2.2.2. Influence of Chemical Functionalization on the Photophysical Properties
2.2.3. Solvent Effect and Intramolecular Charge Transfer
2.2.4. Dual Fluorescence and Solvatochromic Study on Probes 7e–8e
2.3. Theoretical Calculation
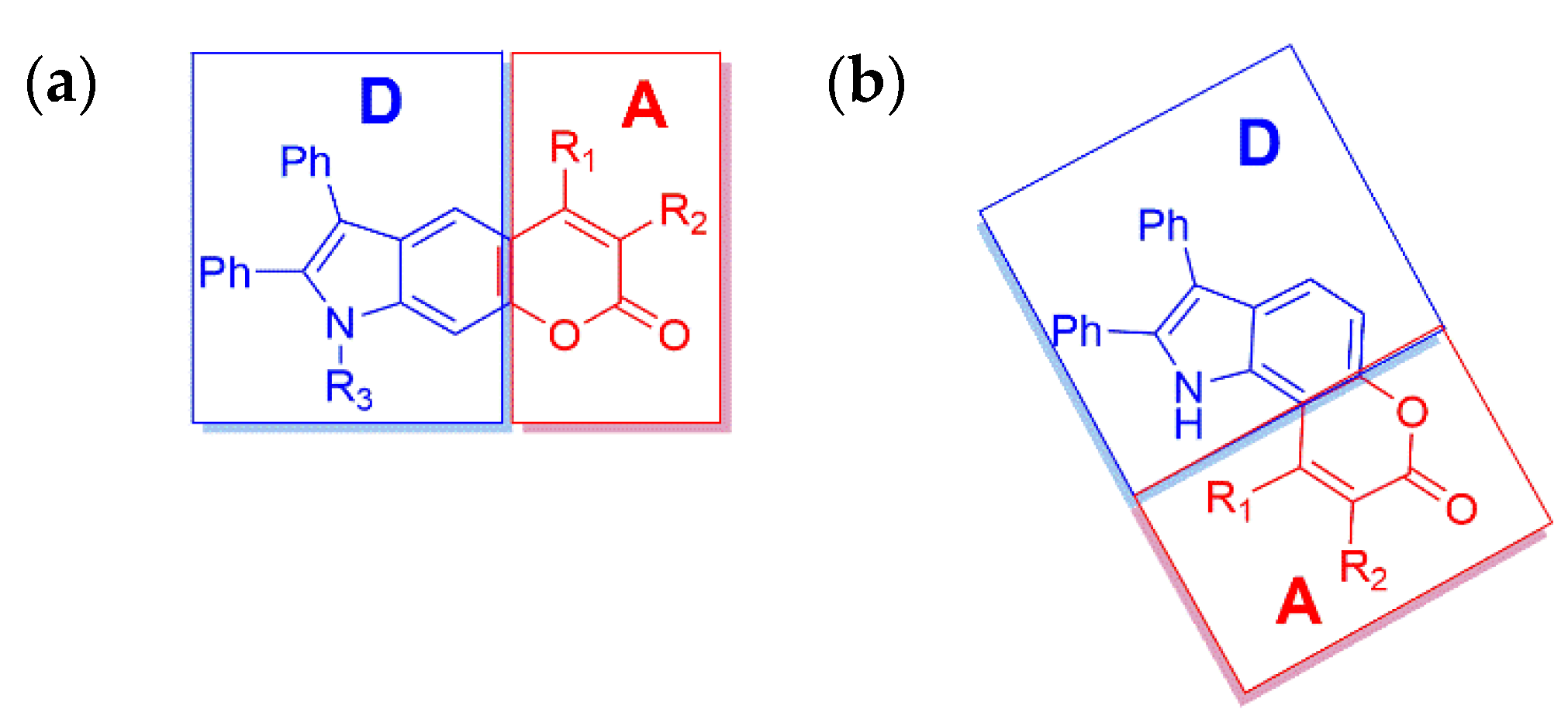
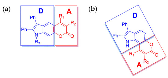
2.3.1. Model of “Push-Pull” Pyranoindole Fluorophores
2.3.2. Structure–Property Relationships for the ICT-State
2.3.3. Structure–Property Relationships for the Stokes Shift
3. Conclusions
Supplementary Materials
Author Contributions
Funding
Institutional Review Board Statement
Informed Consent Statement
Data Availability Statement
Conflicts of Interest
Sample Availability
References
- Li, S.; Cao, D.; Hu, Z.; Li, Z.; Meng, X.; Han, X.; Ma, W. Synthesis and spectral properties of carbazole-coumarin hybrid dyes. Chem. Heterocycl. Compd. 2020, 56, 219–225. [Google Scholar] [CrossRef]
- Wang, B.-Y.; Lin, Y.-C.; Lai, Y.-T.; Ou, J.-Y.; Chang, W.-W.; Chu, C.-C. Targeted Photoresponsive Carbazole-coumarin and Drug Conjugates for Efficient Combination Therapy in Leukemia Cancer Cells. Bioorg. Chem. 2020, 100, 103904. [Google Scholar] [CrossRef] [PubMed]
- Zhou, R.; Malval, J.-P.; Jin, M.; Spangenberg, A.; Pan, H.; Wan, D.; Morlet-Savary, F.; Knopf, S. A two-photon active chevron-shaped type I photoinitiator designed for 3D stereolithography. Chem. Commun. 2019, 55, 6233–6236. [Google Scholar] [CrossRef] [PubMed]
- Zheng, K.; Lin, W.; Tan, L.; Chen, H.; Cui, H. A unique carbazole-coumarin fused two-photon platform: Development of a robust two-photon fluorescent probe for imaging carbon monoxide in living tissues. Chem. Sci. 2014, 5, 3439–3448. [Google Scholar] [CrossRef]
- Qiu, X.; Ying, S.; Yao, J.; Zhou, J.; Wang, C.; Wang, B.; Li, Y.; Xu, Y.; Jiang, Q.; Zhao, R.; et al. Universal host materials based on carbazole-formate derivatives for blue, green and red phosphorescent organic light-emitting diodes. Dyes Pigm. 2020, 174, 108045. [Google Scholar] [CrossRef]
- Venkatesh, Y.; Srivastava, H.K.; Bhattacharya, S.; Mehra, M.; Datta, P.K.; Bandyopadhyay, S.; Singh, N.D.P. One- and Two-Photon Uncaging: Carbazole Fused o-Hydroxycinnamate Platform for Dual Release of Alcohols (Same or Different) with Real-Time Monitoring. Org. Lett. 2018, 20, 2241–2244. [Google Scholar] [CrossRef]
- Fujimoto, K.; Sasago, S.; Mihara, J.; Nakamura, S. DNA Photo-cross-linking Using Pyranocarbazole and Visible Light. Org. Lett. 2018, 20, 2802–2805. [Google Scholar] [CrossRef]
- Fujimoto, K.; Yamaguchi, T.; Inatsugi, T.; Takamura, M.; Ishimaru, I.; Koto, A.; Nakamura, S. DNA photo-cross-linking using a pyranocarbazole-modified oligodeoxynucleotide with a D-threoninol linker. RSC Adv. 2019, 9, 30693–30697. [Google Scholar] [CrossRef]
- Bohon, R.L.; Claussen, W.F. Aqueous Solubility of Polychlorinated Biphenyls Related to Molecular Structure. J. Am. Chem. Soc. 1951, 73, 1571–1578. [Google Scholar] [CrossRef]
- Morisue, T.; Moroi, Y.; Shibata, O. Solubilization of Benzene, Naphthalene, Anthracene, and Pyrene in Dodecylammonium Trifluoroacetate Micelles. J. Phys. Chem. 1994, 98, 12995–13000. [Google Scholar] [CrossRef]
- Nakkady, S.S.; Fathy, M.M.; Hishmat, O.H.; Mahmond, S.S.; Ebeid, M.Y. New indole, aminoindole and pyranoindole derivatives with anti-inflammatory activity. Boll. Chim. Farm. 2000, 139, 59–66. [Google Scholar] [PubMed]
- Catalano, A.; Iacopetta, D.; Ceramella, J.; Saturnino, C.; Sinicropi, M.S. A Comprehensive Review on Pyranoindole-containing Agents. Curr. Med. Chem. 2022, 29, 3667–3683. [Google Scholar] [CrossRef] [PubMed]
- Chen, G.; Yee, D.J.; Gubernator, N.G.; Sames, D. Design of Optical Switches as Metabolic Indicators: New Fluorogenic Probes for Monoamine Oxidases (MAO A and B). J. Am. Chem. Soc. 2005, 127, 4544–4545. [Google Scholar] [CrossRef] [PubMed]
- Zhou, J.; Luo, Y.; Li, Q.; Shen, J.; Wang, R.; Xu, Y.; Qian, X. Assembly of indole fluorophore in situ for hydrogen sulfide signaling through substrate triggered intramolecular reduction–cyclization cascade: A sensitive and selective probe in aqueous solution. New J. Chem. 2014, 38, 2770–2773. [Google Scholar] [CrossRef]
- Chen, L.; Hu, T.-S.; Yao, Z.-J. Development of New Pyrrolocoumarin Derivatives with Satisfactory Fluorescent Properties and Notably Large Stokes Shifts. Eur. J. Org. Chem. 2008, 2008, 6175–6182. [Google Scholar] [CrossRef]
- Chan, N.N.M.Y.; Idris, A.; Abidin, Z.H.Z.; Tajuddin, H.A.; Abdullah, Z. White light employing luminescent engineered large (mega) Stokes shift molecules: A review. RSC Adv. 2021, 11, 13409–13445. [Google Scholar] [CrossRef] [PubMed]
- Fernández-Suárez, M.; Ting, A.Y. Fluorescent probes for super-resolution imaging in living cells. Nat. Rev. Mol. Cell Biol. 2008, 9, 929–943. [Google Scholar] [CrossRef]
- Sednev, M.V.; Belov, V.N.; Hell, S.W. Fluorescent dyes with large Stokes shifts for super-resolution optical microscopy of biological objects: A review. Methods Appl. Fluoresc. 2015, 3, 042004. [Google Scholar] [CrossRef]
- Santana-Calvo, C.; Romero, F.; López-González, I.; Nishigaki, T. Robust evaluation of intermolecular FRET using a large Stokes shift fluorophore as a donor. BioTechniques 2018, 65, 211–218. [Google Scholar] [CrossRef]
- Xu, L.; Zhao, Y.; Long, G.; Wang, Y.; Zhao, J.; Li, D.; Li, J.; Ganguly, R.; Li, Y.; Sun, H.; et al. Synthesis, structure, physical properties and OLED application of pyrazine–triphenylamine fused conjugated compounds. RSC Adv. 2015, 5, 63080–63086. [Google Scholar] [CrossRef]
- Mei, D.-S.; He, B.-K.; Chen, L.; Yao, Z.-J. A simple selective protocol for continuous two-stage fluorescent sensing of both MeHg+ and anti-MeHg+ agents in living cells. Tetrahedron Lett. 2012, 53, 3463–3466. [Google Scholar] [CrossRef]
- Mei, D.-S.; Qu, Y.; He, J.-X.; Chen, L.; Yao, Z.-J. Syntheses and characterizations of novel pyrrolocoumarin probes for SNAP-tag labeling technology. Tetrahedron 2011, 67, 2251–2259. [Google Scholar] [CrossRef]
- Sharapov, A.D.; Fatykhov, R.F.; Khalymbadzha, I.A.; Chupakhin, O.N. Synthesis of 4-hydroxy and 6-hydroxyindoles: A renaissance of the Bischler reaction. Chim. Techno Acta 2022, 9, 201192S2. [Google Scholar] [CrossRef]
- Chen, S.-X.; Zhang, Y.-P. Difference in photophysical behavior between carbazole and N-alkyl carbazole. Photogr. Sci. Photochem. 1988, 6, 56–58. [Google Scholar]
- Pershukevich, P.P.; Volkovich, D.I.; Gladkov, L.L.; Dudkin, S.V.; Kuzmitsky, V.A.; Makarova, E.A.; Solovyev, K.N. The effect of annulation of benzene rings on the photophysics and electronic structure of tetraazachlorin molecules. Opt. Spectrosc. 2017, 123, 535–551. [Google Scholar]
- Miletić, T.; Fermi, A.; Orfanos, I.; Avramopoulos, A.; De Leo, F.; Demitri, N.; Bergamini, G.; Ceroni, P.; Papadopoulos, M.G.; Couris, S.; et al. Tailoring colors by O-annulation of polycyclic aromatic hydrocarbons. Chem. Eur. J. 2017, 23, 2363–2378. [Google Scholar] [CrossRef]
- Kopchuk, D.S.; Egorov, I.N.; Tseitler, T.A.; Khasanov, A.F.; Kovalev, I.S.; Zyryanov, G.V.; Rusinov, V.L.; Chupakhin, O.N. Preparation of triazatriphenylene cations, promising chemosensors for nitro compounds. Chem. Heterocycl. Compd. 2013, 49, 503–505. [Google Scholar] [CrossRef]
- Fatykhov, R.F.; Sharapov, A.D.; Starnovskaya, E.S.; Shtaitz, Y.K.; Savchuk, M.I.; Kopchuk, D.S.; Nikonov, I.L.; Zyryanov, G.V.; Khalymbadzha, I.A.; Chupakhin, O.N. Coumarin-pyridine push-pull fluorophores: Synthesis and photophysical studies. Spectrochim. Acta A Mol. Biomol. Spectrosc. 2022, 267, 120499. [Google Scholar] [CrossRef]
- Porrès, L.; Holland, A.; Pålsson, L.-O.; Monkman, A.P.; Kemp, C.; Beeby, A. Absolute measurements of photoluminescence quantum yields of solutions using an integrating sphere. J. Fluoresc. 2006, 16, 267–273. [Google Scholar] [CrossRef]
- Samundeeswari, S.; Kulkarni, M.V.; Yenagi, J.; Tonannavar, J. Dual Fluorescence and Solvatochromic Study on 3-Acyl Coumarins. J. Fluoresc. 2017, 27, 1247–1255. [Google Scholar] [CrossRef]
- Lakowicz, J.R. Principles of Fluorescence Spectroscopy; Springer: Boston, MA, USA, 2006. [Google Scholar]
- Mataga, N.; Kaifu, Y.; Koizumi, M. Solvent Effects upon Fluorescence Spectra and the Dipolemoments of Excited Molecules. Bull. Chem. Soc. Jpn. 1956, 29, 465–470. [Google Scholar] [CrossRef]
- Karpiuk, J. Dual fluorescence from two polar excited states in one molecule. Structurally additive photophysics of crystal violet lactone. J. Phys. Chem. A 2004, 108, 11183–11195. [Google Scholar] [CrossRef]
- Frisch, M.J.; Trucks, G.W.; Schlegel, H.B.; Scuseria, G.E.; Robb, M.A.; Cheeseman, J.R.; Scalmani, G.; Barone, V.; Mennucci, B.; Petersson, G.A.; et al. Gaussian 09, Revision C.01; Gaussian, Inc.: Wallingford, CT, USA, 2010. [Google Scholar]
- Le Bahers, T.; Adamo, C.; Ciofini, I. A Qualitative Index of Spatial Extent in Charge-Transfer Excitations. J. Chem. Theory Comput. 2011, 7, 2498–2506. [Google Scholar] [CrossRef] [PubMed]
- Liu, X.; Xu, Z.; Cole, J.M. Molecular Design of UV–vis Absorption and Emission Properties in Organic Fluorophores: Toward Larger Bathochromic Shifts, Enhanced Molar Extinction Coefficients, and Greater Stokes Shifts. J. Phys. Chem. C 2013, 117, 16584–16595. [Google Scholar] [CrossRef]


















| Comp. | Solvent (Δf a) | Slopes | Δµ, D (gas) | Δμ, D | R2 | |||||||
|---|---|---|---|---|---|---|---|---|---|---|---|---|
| n-Heptane (0.0001) | Toluene (0.0126) | THF (0.2086) | DCM (0.218) | DMF (0.274) | DMSO (0.276) | MeCN (0.304) | MeOH (0.310) | |||||
| 8c | 396 | 432 | 458 | 478 | 493 | 501 | 494 | 531 | 19,962 | 9.3 | 15.9 | 0.97 |
| 8g | 406 | 426 | 444 | 459 | 472 | 479 | 474 | 522 | 17,850 | 8.1 | 15.1 | 0.93 |
| 9a | 442 | 455 | 475 | 499 | 516 | 521 | 522 | 550 | 9814 | 10.6 | 11.2 | 0.90 |
| Compound | HOMO, eV | LUMO, eV | ΔE, eV | Δµ, D |
|---|---|---|---|---|
| 7a | −6.99 | −0.74 | 6.25 | 9.1677 |
| 7c | −6.96 | −0.70 | 6.26 | 8.8563 |
| 7d | −6.96 | −0.72 | 6.24 | 8.8625 |
| 7e | −7.10 | −0.91 | 6.19 | 7.6953 |
| 7g | −6.91 | −0.61 | 6.30 | 7.6135 |
| 8a | −6.99 | −0.76 | 6.23 | 9.4453 |
| 8c | −6.96 | −0.69 | 6.27 | 9.3393 |
| 8d | −6.93 | −0.71 | 6.22 | 8.1634 |
| 8e | −7.09 | −0.94 | 6.15 | 9.6693 |
| 8g | −6.88 | −0.59 | 6.29 | 8.1226 |
| 9a | −6.91 | −0.58 | 6.33 | 10.6044 |
Publisher’s Note: MDPI stays neutral with regard to jurisdictional claims in published maps and institutional affiliations. |
© 2022 by the authors. Licensee MDPI, Basel, Switzerland. This article is an open access article distributed under the terms and conditions of the Creative Commons Attribution (CC BY) license (https://creativecommons.org/licenses/by/4.0/).
Share and Cite
Sharapov, A.D.; Fatykhov, R.F.; Khalymbadzha, I.A.; Valieva, M.I.; Nikonov, I.L.; Taniya, O.S.; Kopchuk, D.S.; Zyryanov, G.V.; Potapova, A.P.; Novikov, A.S.; et al. Fluorescent Pyranoindole Congeners: Synthesis and Photophysical Properties of Pyrano[3,2-f], [2,3-g], [2,3-f], and [2,3-e]Indoles. Molecules 2022, 27, 8867. https://doi.org/10.3390/molecules27248867
Sharapov AD, Fatykhov RF, Khalymbadzha IA, Valieva MI, Nikonov IL, Taniya OS, Kopchuk DS, Zyryanov GV, Potapova AP, Novikov AS, et al. Fluorescent Pyranoindole Congeners: Synthesis and Photophysical Properties of Pyrano[3,2-f], [2,3-g], [2,3-f], and [2,3-e]Indoles. Molecules. 2022; 27(24):8867. https://doi.org/10.3390/molecules27248867
Chicago/Turabian StyleSharapov, Ainur D., Ramil F. Fatykhov, Igor A. Khalymbadzha, Maria I. Valieva, Igor L. Nikonov, Olga S. Taniya, Dmitry S. Kopchuk, Grigory V. Zyryanov, Anastasya P. Potapova, Alexander S. Novikov, and et al. 2022. "Fluorescent Pyranoindole Congeners: Synthesis and Photophysical Properties of Pyrano[3,2-f], [2,3-g], [2,3-f], and [2,3-e]Indoles" Molecules 27, no. 24: 8867. https://doi.org/10.3390/molecules27248867
APA StyleSharapov, A. D., Fatykhov, R. F., Khalymbadzha, I. A., Valieva, M. I., Nikonov, I. L., Taniya, O. S., Kopchuk, D. S., Zyryanov, G. V., Potapova, A. P., Novikov, A. S., Sharutin, V. V., & Chupakhin, O. N. (2022). Fluorescent Pyranoindole Congeners: Synthesis and Photophysical Properties of Pyrano[3,2-f], [2,3-g], [2,3-f], and [2,3-e]Indoles. Molecules, 27(24), 8867. https://doi.org/10.3390/molecules27248867






























