Next Article in Journal
Privileged Scaffold Decoration for the Identification of the First Trisubstituted Triazine with Anti-SARS-CoV-2 Activity
Next Article in Special Issue
Design of κ-Opioid Receptor Agonists for the Development of Potential Treatments of Pain with Reduced Side Effects
Previous Article in Journal
Proteolysis-Targeting Chimeras (PROTACs) in Cancer Therapy: Present and Future
Previous Article in Special Issue
Bifunctional Peptidomimetic G Protein-Biased Mu-Opioid Receptor Agonist and Neuropeptide FF Receptor Antagonist KGFF09 Shows Efficacy in Visceral Pain without Rewarding Effects after Subcutaneous Administration in Mice
 
 
Font Type:
Arial Georgia Verdana
Font Size:
Aa Aa Aa
Line Spacing:
Column Width:
Background:
Article

Synthesis and Pharmacological Evaluation of Enantiopure N-Substituted Ortho-c Oxide-Bridged 5-Phenylmorphans

1
Drug Design and Synthesis Section, Molecular Targets and Medications Discovery Branch, National Institute on Drug Abuse and National Institute on Alcohol Abuse and Alcoholism, National Institutes of Health, Department of Health and Human Services, Rockville, MD 20852, USA
2
Psychobiology Section, Molecular Neuropsychiatry Research Branch, Intramural Research Program, National Institute on Drug Abuse, National Institutes of Health, Baltimore, MD 21224, USA
3
Department of Pharmaceutical Sciences, College of Pharmacy, University of Kentucky, Lexington, KY 40536, USA
4
Center for Biomolecular Science and Engineering, Naval Research Laboratory, Washington, DC 20375, USA
*
Authors to whom correspondence should be addressed.
Molecules 2022, 27(24), 8808; https://doi.org/10.3390/molecules27248808
Submission received: 24 October 2022 / Revised: 1 December 2022 / Accepted: 4 December 2022 / Published: 12 December 2022
(This article belongs to the Special Issue Synthesis and Application of Opioids)

Abstract

The design of enantiopure stereoisomers of N-2-phenylcyclopropylmethyl-substituted ortho-c oxide-bridged phenylmorphans, the E and Z isomers of an N-cinnamyl moiety, and N-propyl enantiomers were based on combining the most potent oxide-bridged phenylmorphan (the ortho-c isomer) with the most potent N-substituent that we previously found with a 5-(3-hydroxy)phenylmorphan (i.e., N-2-phenylcyclopropyl methyl moieties, N-cinnamyl, and N-propyl substituents). The synthesis of the eight enantiopure N-2-phenylcyclopropylmethyl ortho-c oxide-bridged phenylmorphans and six additional enantiomers of the N-substituted ortho-c oxide-bridged phenylmorphans (N-E and Z-cinnamyl compounds, and N-propyl compounds) was accomplished. The synthesis started from common intermediates (3R,6aS,11aS)-10-methoxy-1,3,4,5,6,11a-hexahydro-2H-3,6a-methano-benzofuro[2,3-c]azocine (+)-6 and its enantiomer, (3S, 6aR, 11aR)-(-)-6, respectively. The enantiomers of ±-6 were obtained through salt formation with (S)-(+)- and (R)-(-)-p-methylmandelic acid, and the absolute configuration of the (R)-(-)-p-methylmandelate salt of (3S, 6aR, 11aR)-(-)-6 was determined by single-crystal X-ray analysis. The enantiomeric secondary amines were reacted with N-(2-phenylcyclopropyl)methyl derivatives, 2-(E)-cinnamyl bromide, and (Z)-3-phenylacrylic acid. These products led to all of the desired N-derivatives of the ortho-c oxide-bridged phenylmorphans. Their opioid receptor binding affinity was measured. The compounds with MOR affinity < 50 nM were examined for their functional activity in the forskolin-induced cAMP accumulation assay. Only the enantiomer of the N-phenethyl ortho-c oxide-bridged phenylmorphan ((-)-1), and only the (3S,6aR,11aR)-2-(((1S,2S)-2-phenylcyclopropyl)methyl)-1,3,4,5,6,11a-hexahydro-2H-3,6a-methanobenzofuro[2,3-c]azocin-10-ol isomer ((+)-17), and the N-phenylpropyl derivative ((-)-25) had opioid binding affinity < 50 nM. Both (-)-1 and (-)-25 were partial agonists in the cAMP assay, with the former showing high potency and low efficacy, and the latter with lower potency and less efficacy. Most interesting was the N-2-phenylcyclopropylmethyl (3S,6aR,11aR)-2-(1S,2S)-enantiomer ((+)-17). That compound had good MOR binding affinity (Ki = 11.9 nM) and was found to have naltrexone-like potency as a MOR antagonist (IC50 = 6.92 nM).

Graphical Abstract

1. Introduction

The search for improved analgesics has been ongoing for a century [1,2,3,4]. Those that are now clinically used have side effects that cause concern. These side effects, respiratory depression, gastrointestinal effects, tolerance, dependence, etc., make the use of these analgesics problematic. We have sought a new scaffold that differed from that of the morphine-like compounds, with the hope that it might provide antinociceptives with fewer opioid-like side effects. One of these scaffolds was the ortho-C oxide-bridged phenylmorphan [5,6,7,8,9,10,11,12,13,14]. We have modified the N-substituent with the hope of influencing both opioid receptor affinity (Table 1) and efficacy and potency as determined in the forskolin-induced cAMP accumulation assay (Table 2).
We have synthesized and pharmacologically evaluated the 12 possible structurally rigid ortho-a and para-a through -f oxide-bridged phenylmorphans in racemic or enantiomeric form [5,6,7,8,9,10,11,12,13,14]. Of all of the a- through f- oxide-bridged phenylmorphans, the racemic N-phenethyl ortho-c oxide-bridged phenylmorphan (±-1, Figure 1) was found to have the highest mu-opioid receptor affinity (Ki = 1.1 nM) [14]. The N-substituents in opioids play a major role in affinity and efficacy. We previously investigated the effects of N-substituents on a 5-phenylmorphan scaffold [14,15,16]. The 1R,5S-N-phenylcyclopropylmethyl and 1S,5R-N-phenylcyclopropylmethyl)-5-(3-hydroxyphenyl)morphans were found to have varying affinities at the mu-opioid receptor (MOR) (Ki = 2–450 nM). Interestingly, compounds acted unusually as inverse agonists in the [35S]GTPγS functional assay using nondependent cells that stably express the cloned human mu-opioid receptor [15,16]. Two of the N-substituted 5-phenylmorphan compounds with trans-2-phenyl-cyclopropylmethyl groups ((+)-2 and (-)-3, Figure 1) showed the highest affinity at MOR (Ki = 3 and 4 nM, respectively), and possessed very potent mu-opioid antagonist activity (Ke = 0.17 and 0.3 nM, respectively). We were interested in determining whether the combination of the most potent (ortho-c) oxide-bridged phenylmorphan scaffold and the conformationally restrained phenylcyclopropylmethyl moieties would have modifed potency and efficacy in functional assays. Herein, we report the synthesis of enantiopure N-2-phenylcyclopropylmethyl ortho-c oxide-bridged phenylmorphans, their binding affinities at opioid receptors, and their functional activity as agonists or antagonists. The chiral atoms in the ortho-c oxide-bridged phenylmorphans were either 3S,6aR,11aR or a 3R,6aS,11aS (see Figure 1 for atom numbering). For each of those ortho-c oxide-bridged phenylmorphan enantiomers, four N-2-phenylcyclopropylmethyl diastereomers needed to be synthesized. These eight stereoisomers and other N-substituted enantiomeric 5-phenylmorphans (N-E and Z-cinnamyl compounds, and N-propyl compounds) were synthesized. The opioid binding affinity and functional activity of these compounds were compared with the resolved (-)-N-phenethyl-ortho-c oxide-bridged 5-phenylmorphan (-)-1.

2. Results and Discussion

2.1. Chemistry

The synthesis started from common intermediates (3R,6aS,11aS)-10-methoxy-1,3,4,5,6,11a-hexahydro-2H-3,6a-methano-benzofuro[2,3-c]azocine (+)-6 and its enantiomer, (3S, 6aR, 11aR)-(-)-6, respectively. The racemic (±)-6 was prepared from the known compound 4 (Scheme 1, see Supplementary Materials) [11], which was synthesized in 11 steps (4.5% overall yield) from commercially available reagents. The methylation of the free phenolic hydroxyl group with MeI gave methyl ether 5 in 88% yield, which was N-debenzylated through hydrogenation to afford the desired secondary amine (±)-6 in 93% yield.
Both enantiomers of (±)-6 were resolved via diastereomeric salt formation with (S)-(+)- and (R)-(-)-p-methylmandelic acid (Scheme 1). The absolute configuration of the (R)-(-)-p-methylmandelate salt of (3S, 6aR, 11aR)-(-)-6 was determined by single-crystal X-ray analysis, based on the absolute configuration of the known (R)-(-)-p-methylmandelic acid used for the preparation of the salt (Figure 2). Different chiral acids were attempted to resolve the racemic amine. (±)-6. L-(+)-Tartaric acid, di-p-toluoyl-L-tartaric acid and (1R,3S)-(+)-camphoric acid failed to resolve the racemate. (S)-Mandelic acid and (1R)-(-)-camphorsulfonic acid did not afford crystals. Only p-bromo- and p-methylmandelic acid succeeded in resolving the racemate. The substituent on the phenolic hydroxyl group also affected the optical resolution. The racemic N-cyclopropylmethyl (CPM) substituent combined with a phenolic ether failed to form crystals, even with p-bromo- and p-methylmandelic acid.
Having both enantiomers ((+)-6 and (-)-6) in hand, we focused our attention on the synthesis of their N-phenethyl enantiomers. Alkylation with phenethyl bromide afforded (3S,6aR,11aR)-(-)-10-methoxy-2-phenethyl-1,3,4,5,6,11a-hexahydro-2H-3,6a-methanobenzofuro[2,3-c]azocine, (-)-7 in 85% yield, followed by O-demethylation of the aryl methoxy group with BBr3 giving the enantiomeric (-)-1 in 87% yield (Scheme 2).
All of the N-(2-phenylcyclopropyl)methyl derivatives (Scheme 3) were prepared using the slightly modified procedures we reported for preparing N-substituents [15]. The enantiomeric secondary amines (+)- and (-)-6 were coupled to yield various amides (+)- and (-)-8 through 11 with the corresponding chiral 2-phenylcyclopropane-1-carbolic acids, which were resolved using literature procedures [14]. Reduction of the amides (+)- and (-)-8 through 11 to the tertiary amines (+)- and (-)-12 through 15 with LiAlH4, followed by O-demethylation of the aryl methoxy group with BBr3 to corresponding free phenols resulted in two sets of analogs, 3R,6aS,11aS series (Scheme 3, top) and 3S,6aR,11aR series (Scheme 3, bottom).
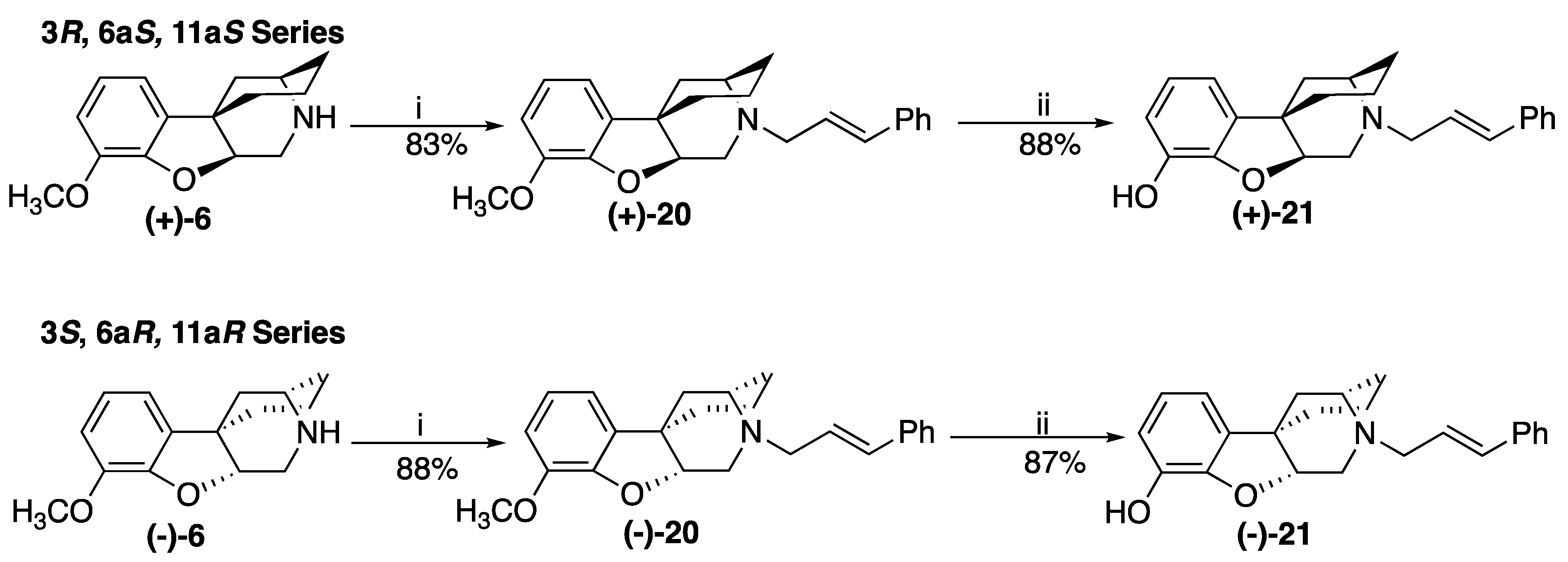
N-(E)-Cinnamyl enantiomers (+)- and (-)-21 were prepared using a similar procedure with the synthesis of compound (-)-1 (Scheme 4). The compounds (+)- and (-)-6 were alkylated with (E)-cinnamyl bromide afforded (+)- and (-)-20 in 83 and 88% yield, respectively, followed by O-demethylation of the aryl methoxy group with BBr3 giving the enantiomeric (+)- and (-)-21 in 88% and 87% yield, respectively.
N-(Z)-3-Phenylallyl enantiomers (+)- and (-)-24 (Scheme 5) were prepared through amidation, O-demethylation, and reduction sequence. Coupling of the secondary amines (+) and (-)-6 with (Z)-3-phenylacrylic acid gave the corresponding amides (+) and (-)-22 in 92% and 86% yields, respectively. The O-demethylation of the amides with BBr3 went smoothly to afford phenols (+) and (-)-23 in 89% and 88% yields, respectively, without isomerization observed. The reduction of phenolic amides with LiAlH4 yielded the target enantiomers (+)- and (-)-24 in 33% and 25.8% yields, respectively, and the corresponding over-reduced side-products (+)- and (-)-25. The sequence of demethylation and reduction is important to avoid the isomerization of Z-phenylpropene to E-phenylpropene.
The N-phenylpropyl derivatives (+)- and (-)-25 were also synthesized from either N-(E)-3-phenylallyl analogs (+)- and (-)-24 or N-(Z)-3-phenylallyl analogs (+)- and (-)-24 through palladium-catalyzed hydrogenation in 84% and 89% yields, respectively (Scheme 6).

2.2. In Vitro Studies

2.2.1. Opioid Receptor Binding Data

The binding affinity of the compounds for the opioid receptors, MOR, DOR, and KOR, was determined and only three compounds were found to have MOR affinity < 50 nM (Table 1). The (-)-N-phenethyl ortho-c oxide bridged phenylmorphan enantiomer (-)-1 had a low nanomolar affinity at MOR (Ki = 1.1 nM), about 10-fold lower KOR affinity, and approximately 30-fold lower affinity at DOR. The (-)-N-phenylpropyl enantiomer (-)-25, had a moderate affinity at MOR (Ki = 21 nM), approximately 3-fold lower affinity at DOR, and 6-fold lower affinity at KOR. One of the N-cyclopropylmethyl enantiomers, (+)-17, had a moderate affinity (Ki = 11.9 nM) at MOR, and approximately 4- and 10-fold lower affinity at DOR and KOR, respectively.

2.2.2. Ligand Efficacy and Potency (Forskolin-Induced cAMP Accumulation Assay)

The functional activity of these three compounds, (-)-1, (+)-17, and (-)-25, was examined in the forskolin-induced cAMP accumulation assay (Table 2). The most interesting compound was (+)-17 which was found to be more potent than naltrexone, with an IC50 = 6.9 nM at MOR (naltrexone IC50 = 10.78) and which, unlike naltrexone, did not have functional agonist activity at KOR or DOR. In accordance with their binding affinity (Table 1), (-)-1 was a potent (2.66 nM), albeit low efficacy (%Efficacy = 35) partial agonist, and (-)-25 was less potent (21.62 nM) and had lower efficacy (%Efficacy = 22.5). These low efficacy partial agonists, (-)-1 or (-)-25 would not be expected to have much antinociceptive activity.

2.2.3. Pharmacokinetic Assay of MOR Antagonist (+)-17

The in vitro data from the forskolin-induced cAMP accumulation assay (Table 2) indicated that (+)-17 was a little more potent than naltrexone and had a higher degree of antagonism than naloxone. To determine whether its enzymatic effect was similar to or different than naltrexone, a pharmacokinetic study was undertaken.
Compound (+)-17, naltrexone, and naloxone were analyzed for their inhibitory effects on the activity of selected human liver microsomal cytochrome P450 isozymes (CYP1A2, CYP2C9, CYP2C19, CYP2D6, and CYP3A) (Table 3). At 10 µM, (+)-17 showed significant (>50%) inhibitory activity on the 2D6 isozyme. It also displayed inhibitory effects on 1A2, 2C9, 2C19, and 3A to various extents (ranging from 6.8% to 46.6%) indicating this molecule may cause potential drug–drug interactions. Unfortunately, the level of inhibition caused by (+)-17 was greater than that seen with naltrexone and naloxone. Microsomal metabolic stability of compound (+)-17, naltrexone, and naloxone were also evaluated using both human and mouse liver microsomes (Table 4). In human liver microsomes, naltrexone and naloxone showed a much longer half-life than (+)-17. A similar pattern was also observed in mouse liver microsome but to a lesser extent (57.4 and 14.4 min vs. 6.9 min). The metabolism of (+)-17 in the human and mouse microsomes appears to be mostly through NADPH-dependent mechanisms.

3. Materials and Methods

3.1. General Information

TLC analyses were carried out on Analtech silica gel GHLF 0.25 mm plates with UV and I2 detection. Melting points were determined in open glass capillaries on a Thomas Hoover melting point apparatus or MP70 melting point system (manufactured by Mettler Toledo) and were uncorrected. Elemental analyses (C, H, N) were performed by Micro-Analysis, Inc, Wilmington, DE, and were within ±0.4% of the theoretical values. 1H NMR and 13C NMR spectra were recorded on a Bruker DMX wide-bore spectrometer in CDCl3 (unless otherwise noted) at 400 or 500 MHz and 100 or 125 MHz, respectively, with the values given in ppm and J (Hz) assignments of 1H resonance coupling. For 1H NMR spectra (CDCl3), the residual solvent peak was used as the reference (7.26 ppm) while the central solvent peak was used as the 13C NMR reference (77.0 ppm in CDCl3). The high-resolution electrospray ionization (ESI) mass spectra were obtained on a Waters LCT Premier time-off light (TOF) mass spectrometer. Flash column chromatography was performed with Bodman silica gel LC 60 A. The chiral HPLC was performed on an Agilent 1100 series analytical instrument equipped with UV detector G1315-DAD using (R, R)-WHELK-O1 column (manufactured by Regis Technologies Int.), 250 × 4.6 mm. The samples for HPLC analyses were dissolved in CH2Cl2. A mixture of hexane, CH2Cl2 and 2-propanol (80/15/5), and 0.1% v/v TFA was used as eluent and the flow rate was 1.5 mL/min. The optical rotation was measured with a PerkinElmer 341 polarimeter.

3.2. Syntheses

(3R*,6aS*,11aS*)-2-Benzyl-10-methoxy-1,3,4,5,6,11a-hexahydro-2H-3,6a-methano-benzofuro[2,3-c]azocine ((±)-5). To a stirred suspension of compound (±)-4 (3.72 g, 11.6 mmol) and K2CO3 (3.2 g, 23.2 mmol) in DMF (200 mL) was added a solution of MeI (1.81 g, 0.79 mL, 12.8 mmol) dropwise and the mixture was stirred at rt overnight. The solvent was removed under reduced pressure and the residue was treated with H2O. The mixture was extracted with CH2Cl2 (3 × 30 mL) and the combined extracts were washed with brine and dried over anhydrous Na2SO4. After filtration and evaporation, the crude product was purified by flash chromatography (0–10% EtOAc in hexane) to give racemic (±)-5 (3.41 g, 87.7%) as white solid. 1H NMR (400 MHz, CDCl3): δ 7.34 (d, J = 6.8 Hz, 2H), 7.29 (t, J = 6.8 Hz, 2H), 7.22 (d, J = 8.0 Hz, 1H), 6.85 (t, J = 7.6 Hz, 1H), 6.72 (t, J = 7.6 Hz, 2H), 4.30 (m, 1H), 3.92 (d, J = 13.6 Hz, 1H), 3.84 (s, 3H), 3.80 (d, J = 14.0 Hz, 1H), 3.42 (t, J = 11.2 Hz, 1H), 3.29 (m, 1H), 3.10 (s, 1H), 2.24 (d, J = 12.8 Hz, 1H), 2.08 (d, J = 12.0 Hz, 1H), 1.99 (t, J = 12.0 Hz, 1H), 1.82 (m, 2H), 1.63 (m, 1H), 1.43 (m, 2H); 13C NMR (100 MHz, CDCl3) δ 147.4, 145.1, 139.9, 139.5, 128.4 (2), 128.2 (2), 126.9, 121.8, 114.1, 111.2, 89.3, 58.6, 55.9, 52.4, 51.0, 44.5, 36.7, 31.9, 26.6, 21.8; ESI-MS 336.2 (M+ + H); HRMS (ES+) calcd for C22H26NO2 (M+ + H) 336.1958; found 336.1958.
(3R*,6aS*,11aS*)-10-Methoxy-1,3,4,5,6,11a-hexahydro-2H-3,6a-methanobenzofuro-[2,3-c]azocine ((±)-6). A flask charged with compound (±)-5 (3.82 g, 11.4 mmol), 10% Pd/C (0.8 g), AcOH (10 mL), and MeOH (100 mL) was evacuated and backfilled with H2 three times. The mixture was hydrogenated under H2 (50 psi) at 50 °C overnight. The mixture was filtered, and the filtrate was concentrated. The residue was basified with 28% NH4OH and extracted with CH2Cl2 (3 × 30 mL) and the combined extracts were washed with brine and dried over anhydrous Na2SO4. After filtration and evaporation, the crude product was purified by flash chromatography (CHCl3:MeOH:NH4OH = 90:9:1) to give racemic (±)-6 (2.6 g, 92.9%) as clear oil. 1H NMR (400 MHz, CDCl3): δ 6.85 (t, J = 7.6 Hz, 1H), 6.74 (d, J = 8.0 Hz, 1H), 6.69 (d, J = 7.2 Hz, 1H), 4.10 (dd, J = 12.0, 5.2 Hz, 1H), 3.85 (s, 3H), 3.71 (t, J = 12.0 Hz, 1H), 3.35 (dd, J = 12.0, 5.6 Hz, 1H), 3.27 (s, 1H), 2.16 (d, J = 12.0 Hz, 1H), 2.02 (m, 1H), 1.86 (m, 2H), 1.81 (m 2H), 1.67 (m, 2H), 1.44 (m, 1H); 13C NMR (100 MHz, CDCl3) δ 146.7, 145.1, 139.9, 121.8, 114.0, 111.1, 90.3, 55.9, 47.7, 45.8, 44.6, 38.8, 33.2, 32.0, 21.7; ESI-MS 246.1 (M+ + H); HRMS (ES+) calcd for C15H20NO2 (M+ + H) 246.1489; found 246.1489.
Optical resolution of (3R*,6aS*,11aS*)-10-Methoxy-1,3,4,5,6,11a-hexahydro-2H-3,6a-methano-benzofuro[2,3-c]azocine ((±)-6). To a solution of the racemate (±)-6 (3.3 g, 13.4 mmol) in acetone (30 mL) was added (S)-(+)-p-methylmandelic acid (2.24 g, 13.5 mmol), and a clear solution was obtained. The solvent was evaporated under reduced pressure and the salt was treated with EtOAc (40 mL). The solution was heated up to reflux and the solvent was distilled with a Dean–Stark trap until around 20 mL of EtOAc was distilled off and a white solid appeared. The solution was cooled to room temperature overnight. A foam solid was collected (2.1 g, 37.9%). The salt was recrystallized from EtOAc (40 mL) to yield a white solid (1.61 g, 28.9%). A small portion was free-based and analyzed by chiral HPLC (ee > 99%, retention time 12.56 min): [α]20D = + 79.8° (CHCl3, c 1.04), mp 106.4–109.5 °C. The initial filtrate and mother liquors were recovered, evaporated, and free-based to give (-)-6-enriched free-base (2.34 g, 70.9%), which was dissolved in acetone (30 mL) and (R)-(-)-p-methylmandelic acid (1.59 g, 9.6 mmol) was added in one portion. The solution was concentrated, and the salt was crystallized from EtOAc (40 mL and 60 mL) twice to yield a white foam (2.6 g, 46.9%). A small portion was free-based and analyzed by chiral HPLC (ee > 99%, retention time 8.53 min): [α]20D = −77.6° (CHCl3, c 1.02), mp 106.4–108.8 °C. The absolute stereochemistry of (3S, 6aR, 11aR)-(-)-6 was established by single crystal X-ray analysis of the (R)-(-)-p-methylmandelate salt.
(3S,6aR,11aR)-10-Methoxy-2-phenethyl-1,3,4,5,6,11a-hexahydro-2H-3,6a-methano-benzofuro[2,3-c]-azocine ((-)-7). A mixture of (-)-6 (60 mg, 0.24 mmol), K2CO3 (101 mg, 0.73 mmol), phenethyl bromide (89 mg, 66 μL, 0.48 mmol), and CH3CN (5 mL) was heated at 80 °C overnight. The mixture was filtered, and the filtrate was concentrated. The crude product was purified by flash chromatography (10–30% EtOAc in hexane) to give (-)-7 (73 mg, 84.9%) as a clear oil. 1H NMR (400 MHz, CDCl3): δ 7.28 (t, J = 7.2 Hz, 2H), 7.22 (m, 3H), 6.88 (t, J = 7.6 Hz, 1H), 6.77 (d, J = 8.0 Hz, 1H), 6.73 (d, J = 6.8 Hz, 1H), 4.10 (dd, J = 11.2, 5.6 Hz, 1H), 3.89 (s, 3H), 3.43 (m, 2H), 3.20 (s, 1H), 2.93 (m, 2H), 2.84 (m, 2H), 2.20 (d, J = 13.2 Hz, 1H), 2.14 (d, J = 12.0 Hz, 1H), 1.99 (d, J = 12.0 Hz, 1H), 1.79 (m, 2H), 1.62 (m, 1H), 1.46 (m, 2H); 13C NMR (100 MHz, CDCl3) δ 147.5, 145.2, 140.5, 139.8, 128.8 (2), 128.4 (2), 126.1, 122.0, 114.2, 111.1, 89.2, 56.2, 56.0, 53.0, 51.3, 44.6, 36.9, 35.1, 31.9, 26.7, 21.9; [α]20D = −72.7° (CHCl3, c 1.05); ESI-MS 350.2 (M+ + H); HRMS (ES+) calcd for C23H28NO2 (M+ + H) 350.2115; found 350.2113.
(3S,6aR,11aR)-2-Phenethyl-1,3,4,5,6,11a-hexahydro-2H-3,6a-methano-benzofuro[2,3-c]azocin-10-ol ((-)-1). To a solution of BBr3 (0.26 g, 0.1 mL, 1.04 mmol) in CHCl3 (10 mL) at −78 °C under N2 was added a solution of (-)-7 (73 mg, 0.21 mmol) and the resulting solution was warmed to rt gradually and stirred for 1 h at rt. The solution was cooled to −78 °C and the reaction was quenched with 28% NH4OH. The mixture was extracted with CHCl3 (3 × 10 mL) and the combined extracts were washed with brine and dried over anhydrous Na2SO4. After filtration and evaporation, the crude product was purified by flash chromatography (25% EtOAc in hexane) to yield (-)-1 (63 mg, 87.1%) as a clear oil. 1H NMR (400 MHz, CDCl3): δ 7.27 (m, 2H), 7.20 (m, 3H), 6.78 (t, J = 7.2 Hz, 1H), 6.73 (d, J = 7.2 Hz, 1H), 6.62 (d, J = 6.0 Hz, 1H), 4.28 (m, 1H), 3.54 (m, 1H), 3.37 (t, J = 10.8 Hz, 1H), 3.28 (s, 1H), 2.92 (m, 4H), 2.25 (d, J = 12.8 Hz, 1H), 2.12 (d, J = 12.0 Hz, 1H), 2.01 (d, J = 12.0 Hz, 1H), 1.78 (m, 2H), 1.63 (m, 1H), 1.48 (m, 2H); 13C NMR (100 MHz, CDCl3) δ 146.5, 141.5, 140.3, 139.6, 128.9 (2), 128.5 (2), 126.2, 122.3, 116.2, 113.6, 89.0, 56.6, 52.6, 51.5, 44.4, 36.7, 34.6, 31.7, 26.3, 21.8; [α]20D = −46.2° (CHCl3, c 1.0); ESI-MS 336.2 (M+ + H); HRMS (ES+) calcd for C22H26NO2 (M+ + H) 336.1958; found 336.1956; Anal. Calcd for C22H25NO2•HCl•0.5H2O: C 69.37, H 7.14, N 3.68; found C 69.33, H 7.18, N 3.72; Mp 259.0–261.7 °C (HCl salt).
General procedure for synthesis of amides ((+)- and (-)-8 through 11). To a solution of (+)- or (-)-6 (92 mg, 0.38 mmol, 1 eq.) in CHCl3 (10 mL) was added the corresponding carbolic acids (91 mg, 0.57 mmol, 1.5 eq.), Et3N (0.16 mL, 1.14 mmol, 3 eq.) and the coupling reagent O-(benzotriazol-1-yl)-N,N,N′,N′-tetramethyluronium tetrafluoroborate (TBTU, 244 mg, 0.76 mmol, 2 eq) and the resulting solution was stirred at rt for 1 h. The solution was diluted with CHCl3 (20 mL) and washed with aqueous HCl solution (2 M, 10 mL), water (10 mL), saturated NaHCO3 and brine, successively, and then dried over anhydrous Na2SO4. After filtration and evaporation, the crude product was purified by flash chromatography (10–30% EtOAc in hexane) to afford the corresponding amides.
((3R,6aS,11aS)-10-Methoxy-1,3,4,5,6,11a-hexahydro-2H-3,6a-methanobenzofuro[2,3-c]azocin-2-yl)((1S,2S)-2-phenylcyclopropyl)methanone ((+)-8): clear oil; yield 85.6%; 1H NMR (400 MHz, CDCl3): δ 7.29 (m, 2H), 7.21 (m, 1H), 7.13 (m, 2H), 6.90 (m, 1H), 6.79 (d, J = 8.0 Hz, 1H), 6.73 (d, J = 7.2 Hz, 1H), 5.01 (m, 1H), 4.60 (m, 1H), 4.10 (m, 1H), 3.88 (s, 3H), 3.66 (m, 1H), 2.56 (m, 1H), 2.18 (m, 1H), 2.00 (m, 3H), 1.88 (m, 2H), 1.67 (m, 3H), 1.52 (m, 1H), 1.30 (m, 1H); 13C NMR (100 MHz, CDCl3) δ 172.6, 172.2, 147.2, 147.0, 145.2, 145.1, 140.89, 140.86, 138.5, 138.3, 128.6, 128.5, 126.37, 126.35, 126.1, 126.0, 122.5, 122.3, 114.2, 114.1, 111.6, 111.5, 87.7, 87.6, 56.0, 50.0, 47.2, 47.0, 44.8, 44.7, 44.4, 36.3, 35.5, 32.3, 31.4, 31.3, 30.2, 25.6, 25.4, 24.4, 24.1, 21.1, 21.0, 16.9, 16.6; [α]20D = +116.5° (CHCl3, c 0.95); ESI-MS 390.2 (M+ + H); HRMS (ES+) calcd for C25H28NO3 (M+ + H) 390.2064; found 390.2067.
((3S,6aR,11aR)-10-Methoxy-1,3,4,5,6,11a-hexahydro-2H-3,6a-methanobenzofuro[2,3-c]azocin-2-yl)((1R,2R)-2-phenylcyclopropyl)methanone ((-)-8): clear oil; yield 88.9%; 1H NMR (400 MHz, CDCl3): δ 7.28 (m, 2H), 7.21 (m, 1H), 7.14 (m, 2H), 6.90 (m, 1H), 6.80 (d, J = 8.0 Hz, 1H), 6.74 (d, J = 7.2 Hz, 1H), 5.02 (m, 1H), 4.60 (m, 1H), 4.10 (m, 1H), 3.89 (s, 3H), 3.67 (m, 1H), 2.56 (m, 1H), 2.19 (m, 1H), 2.03 (m, 3H), 1.88 (m, 2H), 1.68 (m, 3H), 1.52 (m, 1H), 1.32 (m, 1H); 13C NMR (100 MHz, CDCl3) δ 172.6, 172.2, 147.3, 147.1, 145.23, 145.16, 140.92, 140.89, 138.5, 138.3, 128.6, 128.5, 126.4, 126.37, 126.2, 126.0, 122.5, 122.3, 114.2, 114.1, 111.6, 111.5, 87.7, 87.6, 56.0, 50.0, 47.2, 47.0, 44.8, 44.7, 44.4, 36.3, 35.5, 32.4, 31.4, 31.3, 30.2, 25.6, 25.4, 24.4, 24.1, 21.1, 21.0, 16.9, 16.6; [α]20D = −117.7° (CHCl3, c 0.65); ESI-MS 390.2 (M+ + H); HRMS (ES+) calcd for C25H28NO3 (M+ + H) 390.2064; found 390.2064.
((3S,6aR,11aR)-10-Methoxy-1,3,4,5,6,11a-hexahydro-2H-3,6a-methanobenzofuro[2,3-c]azocin-2-yl)((1S,2S)-2-phenylcyclopropyl)methanone ((+)-9): light yellow oil; yield 82.0%; 1H NMR (400 MHz, CDCl3): δ 7.28 (m, 2H), 7.20 (m, 1H), 7.11 (m, 2H), 6.90 (t, J = 7.2 Hz, 1H), 6.78 (t, J = 7.2 Hz, 1H), 6.74 (m, 1H), 5.01 (m, 1H), 4.56 (m, 1H), 4.08 (m, 1H), 3.89 and 3.86 (s, 3H), 3.69 (m, 1H), 2.46 (m, 1H), 2.19 (m, 1H), 2.03 (m, 2H), 1.83 (m, 5H), 1.66 (m, 1H), 1.53 (m, 1H), 1.28 (m, 1H); 13C NMR (100 MHz, CDCl3) δ 172.6, 172.3, 147.3, 147.1, 145.2, 145.1, 140.8, 140.7, 138.45, 138.37, 128.65, 128.58, 126.5, 126.4, 126.2, 125.9, 122.5, 122.3, 114.2, 114.1, 111.6, 111.5, 87.8, 87.6, 56.03, 55.97, 50.0, 47.4, 47.0, 44.8, 44.4, 36.3, 35.5, 32.5, 31.4, 31.3, 30.6, 26.23, 26.21, 24.3, 24.0, 21.3, 21.0, 16.7, 16.0; [α]20D = +100.4° (CHCl3, c 1.46); ESI-MS 390.2 (M+ + H); HRMS (ES+) calcd for C25H28NO3 (M+ + H) 390.2064; found 390.2065.
((3R,6aS,11aS)-10-Methoxy-1,3,4,5,6,11a-hexahydro-2H-3,6a-methanobenzofuro[2,3-c]azocin-2-yl)((1R,2R)-2-phenylcyclopropyl)methanone ((-)-9): clear oil; yield 90.5%; 1H NMR (400 MHz, CDCl3): δ 7.28 (m, 2H), 7.21 (m, 1H), 7.11 (m, 2H), 6.91 (t, J = 7.2 Hz, 1H), 6.79 (t, J = 7.2 Hz, 1H), 6.74 (m, 1H), 5.02 (m, 1H), 4.56 (m, 1H), 4.11 (m, 1H), 3.90 and 3.87 (s, 3H), 3.69 (m, 1H), 2.46 (m, 1H), 2.20 (m, 1H), 2.04 (m, 2H), 1.83 (m, 5H), 1.66 (m, 1H), 1.53 (m, 1H), 1.28 (m, 1H); 13C NMR (100 MHz, CDCl3) δ 172.7, 172.4, 147.4, 147.1, 145.3, 145.2, 140.9, 140.8, 138.5, 138.4, 128.7, 128.6, 126.5, 126.4, 126.3, 160.0, 122.6, 122.4, 114.3, 114.2, 111.6, 111.4, 87.8, 87.6, 56.1, 56.0, 50.0, 47.4, 47.0, 44.9, 44.5, 36.3, 35.5, 32.6, 31.5, 31.4, 30.6, 26.3, 24.4, 24.1, 21.4, 21.1, 16.8, 16.0; [α]20D = −99.1° (CHCl3, c 1.0); ESI-MS 390.2 (M+ + H); HRMS (ES+) calcd for C25H28NO3 (M+ + H) 390.2069; found 390.2066.
((3S,6aR,11aR)-10-Methoxy-1,3,4,5,6,11a-hexahydro-2H-3,6a-methanobenzofuro[2,3-c]azocin-2-yl)((1R,2S)-2-phenylcyclopropyl)methanone ((+)-10): clear oil; yield 88.5%; 1H NMR (400 MHz, CDCl3): δ 7.13 (m, 5H), 6.86 (m, 1H), 6.75 (m, 1H), 6.64 (m, 1H), 4.75 (m 1H), 4.58 (m, 1H), 4.08 (m, 1H), 3.86 (m, 3H), 3.44 (m, 1H) 2.46 (m, 1H), 2.20 (m, 1H), 2.00 (m, 1H), 1.85 (m, 1H), 1.73 (m, 2H), 1.50 (m, 1H), 1.30 (m, 3H), 1.11 (m, 1H), 0.50 (m, 1H); 13C NMR (100 MHz, CDCl3) δ 169.5, 168.8, 147.1, 147.0, 145.1, 138.6, 138.4, 137.24, 137.19, 128.2, 128.1, 127.4, 127.1, 126.5, 126.4, 122.4, 122.1, 114.2, 114.0, 111.5, 111.3, 87.4, 87.3, 56.0, 55.9, 49.2, 47.0, 46.7, 44.8, 44.2, 43.6, 36.3, 35.4, 31.9, 31.3, 31.2, 29.8, 26.3, 25.2, 24.0, 23.4, 21.0, 20.1, 10.8, 10.2; [α]20D = +130.0° (CHCl3, c 1.04); ESI-MS 390.2 (M+ + H); HRMS (ES+) calcd for C25H28NO3 (M+ + H) 390.2064; found 390.2066.
((3R,6aS,11aS)-10-Methoxy-1,3,4,5,6,11a-hexahydro-2H-3,6a-methanobenzofuro[2,3-c]azocin-2-yl)((1S,2R)-2-phenylcyclopropyl)methanone ((-)-10): clear oil; yield 89.2%; 1H NMR (400 MHz, CDCl3): δ 7.15 (m, 5H), 6.85 (m, 1H), 6.75 (m, 1H), 6.64 (m, 1H), 4.75 (m 1H), 4.58 (m, 1H), 4.08 (m, 1H), 3.86 (m, 3H), 3.44 (m, 1H) 2.46 (m, 1H), 2.20 (m, 1H), 2.00 (m, 1H), 1.85 (m, 1H), 1.73 (m, 2H), 1.50 (m, 1H), 1.34 (m, 1H), 1.23 (m, 2H), 1.12 (m, 1H), 0.50 (m, 1H); 13C NMR (100 MHz, CDCl3) δ 169.5, 168.8, 147.1, 147.0, 145.1, 138.5, 138.4, 137.23, 137.17, 128.2, 128.1, 127.4, 127.1, 126.5, 126.4, 122.4, 122.1, 114.2, 114.0, 111.5, 111.3, 87.4, 87.3, 56.0, 55.9, 49.2, 47.0, 46.7, 44.8, 44.2, 43.6, 36.3, 35.4, 31.9, 31.3, 31.2, 29.8, 26.3, 25.2, 24.0, 23.4, 21.0, 20.1, 10.8, 10.2; [α]20D = −131.0° (CHCl3, c 0.76); ESI-MS 390.2 (M+ + H); HRMS (ES+) calcd for C25H28NO3 (M+ + H) 390.2064; found 390.2064.
((3R,6aS,11aS)-10-Methoxy-1,3,4,5,6,11a-hexahydro-2H-3,6a-methanobenzofuro[2,3-c]azocin-2-yl)((1R,2S)-2-phenylcyclopropyl)methanone ((+)-11): clear oil; yield 82.0%; 1H NMR (400 MHz, CDCl3): δ 1H NMR (400 MHz, CDCl3): δ 7.14 (m, 5H), 6.87 (m, 1H), 6.76 (m, 1H), 6.64 (m, 1H), 4.80 (m, 1H), 4.61 (m, 1H), 3.96 (m, 1H), 3.90 (m, 3H), 3.44 (m, 1H), 2.50 (m, 1H), 2.15 (m, 1H), 1.91 (m, 3H), 1.75 (m, 2H), 1.65 (m, 1H), 1.52 (m, 1H), 1.43 (m, 1H), 1.31 (m, 2H); 13C NMR (100 MHz, CDCl3) δ 169.6, 169.0, 147.2, 147.0, 145.2, 145.1, 138.7, 138.6, 137.5, 137.0, 128.2, 128.1, 127.9, 127.5, 126.4, 122.4, 122.3, 114.2, 114.0, 111.5, 111.4, 88.1, 87.6, 56.0, 49.9, 46.9, 46.3, 44.6, 44.43, 44.35, 36.2, 35.3, 32.1, 31.5, 31.4, 30.3, 25.4, 25.2, 25.0, 24.1, 21.2, 20.7, 11.6, 10.4; [α]20D = +188.3° (CHCl3, c 1.11); ESI-MS 390.2 (M+ + H); HRMS (ES+) calcd for C25H28NO3 (M+ + H) 390.2064; found 390.2064.
((3S,6aR,11aR)-10-Methoxy-1,3,4,5,6,11a-hexahydro-2H-3,6a-methanobenzofuro[2,3-c]azocin-2-yl)((1S,2R)-2-phenylcyclopropyl)methanone ((-)-11): clear oil; yield 91.2%; 1H NMR (400 MHz, CDCl3): δ 7.14 (m, 5H), 6.87 (m, 1H), 6.76 (m, 1H), 6.65 (m, 1H), 4.80 (m, 1H), 4.61 (m, 1H), 3.96 (m, 1H), 3.90 (m, 3H), 3.44 (m, 1H), 2.50 (m, 1H), 2.14 (m, 1H), 1.91 (m, 3H), 1.75 (m, 2H), 1.65 (m, 1H), 1.52 (m, 1H), 1.43 (m, 1H), 1.32 (m, 2H); 13C NMR (100 MHz, CDCl3) δ 169.6, 169.0, 147.2, 147.0, 145.2, 145.1, 138.7, 138.6, 137.5, 137.0, 128.2, 128.1, 127.9, 127.5, 126.4, 122.4, 122.2, 114.2, 114.0, 111.5, 111.4, 88.1, 87.6, 56.0, 49.9, 46.8, 46.6, 44.6, 44.4, 44.3, 36.2, 35.3, 32.1, 31.5, 31.4, 30.3, 25.4, 25.2, 25.0, 24.1, 21.2, 20.7, 11.6, 10.4; [α]20D = −189.6° (CHCl3, c 1.12); ESI-MS 390.2 (M+ + H); HRMS (ES+) calcd for C25H28NO3 (M+ + H) 390.2064; found 390.2065.
General procedure for synthesis of tertiary amines ((+)- and (-)-12 through 15) via LiAlH4 reduction of amides. To a solution of amides in THF (10 mL) at 0 °C under N2 was added dropwise a solution of LiAlH4 (3 eq) in THF (1 M, purchased from Sigma-Aldrich). The resulting solutions was warmed to room temperature and heated to 80 °C for 3 h. The solution was cooled to 0 °C and the reaction was quenched with a solution of Rochelle salt (1 M). The organic solvent was evaporated under reduced pressure and the aqueous mixture was extracted with CH2Cl2 (3 × 15 mL) and the combined extracts were washed with brine and dried over Na2SO4. After filtration and evaporation, the crude product was purified by flash chromatography (10–30% EtOAc in hexane) to give the corresponding tertiary amines.
(3R,6aS,11aS)-10-Methoxy-2-(((1S,2S)-2-phenylcyclopropyl)methyl)-1,3,4,5,6,11a-hexahydro-2H-3,6a-methanobenzofuro[2,3-c]azocine ((+)-12): clear oil; yield 89.2%; 1H NMR (400 MHz, CDCl3): δ 7.26 (m, 2H), 7.15 (m, 1H), 7.06 (m, 2H), 6.88 (t, J = 7.2 Hz, 1H), 6.75 (m, 2H), 4.30 (m, 1H), 3.88 (s, 3H), 3.57 (m, 1H), 3.36 (t, J = 10.8 Hz, 1H), 3.26 (s, 1H), 3.03 (d, J = 12.4 Hz, 1H), 2.55 (t, J = 13.2 Hz, 1H), 2.21 (d, J = 12.8 Hz, 1H), 2.14 (d, J = 12.0 Hz, 1H), 2.02 (d, J = 12.0 Hz, 1H), 1.76 (m, 3H), 1.62 (m, 1H), 1.46 (m, 2H), 1.28 (m, 1H), 0.96 (m, 1H), 0.87 (m, 1H); 13C NMR (100 MHz, CDCl3) δ 147.4, 145.1, 142.8, 139.8, 128.4 (2), 125.7 (2), 125.6, 121.9, 114.1, 111.0, 89.4, 59.2, 55.9, 53.7, 51.0, 44.6, 36.9, 32.0, 26.8, 23.6, 22.3, 21.8, 14.4; [α]20D = +139.1° (CHCl3, c 1.15); ESI-MS 376.2 (M+ + H); HRMS (ES+) calcd for C25H30NO2 (M+ + H) 376.2271; found 376.2272.
(3S,6aR,11aR)-10-Methoxy-2-(((1R,2R)-2-phenylcyclopropyl)methyl)-1,3,4,5,6,11a-hexahydro-2H-3,6a-methanobenzofuro[2,3-c]azocine ((-)-12): clear oil; yield 88.7%; 1H NMR (400 MHz, CDCl3): δ 7.26 (m, 2H), 7.16 (m, 1H), 7.06 (m, 2H), 6.88 (t, J = 7.6 Hz, 1H), 6.75 (m, 2H), 4.30 (m, 1H), 3.88 (s, 3H), 3.57 (m, 1H), 3.36 (t, J = 10.8 Hz, 1H), 3.26 (s, 1H), 3.03 (d, J = 12.4 Hz, 1H), 2.56 (t, J = 10.8 Hz, 1H), 2.21 (d, J = 13.2 Hz, 1H), 2.14 (d, J = 12.0 Hz, 1H), 2.02 (d, J = 12.0 Hz, 1H), 1.76 (m, 3H), 1.62 (m, 1H), 1.46 (m, 2H), 1.28 (m, 1H), 0.96 (m, 1H), 0.87 (m, 1H); 13C NMR (100 MHz, CDCl3) δ 147.5, 145.1, 142.8, 139.8, 128.4 (2), 125.7 (2), 125.6, 121.9, 114.1, 111.0, 89.4, 59.2, 55.9, 53.7, 51.0, 44.6, 36.9, 32.0, 26.8, 23.6, 22.3, 21.8, 14.4; [α]20D = −136.8° (CHCl3, c 0.71); ESI-MS 376.2 (M+ + H); HRMS (ES+) calcd for C25H30NO2 (M+ + H) 376.2271; found 376.2269.
(3S,6aR,11aR)-10-Methoxy-2-(((1S,2S)-2-phenylcyclopropyl)methyl)-1,3,4,5,6,11a-hexahydro-2H-3,6a-methanobenzofuro[2,3-c]azocine ((+)-13): clear oil; yield 87.8%; 1H NMR (400 MHz, CDCl3): δ 7.24 (t, J = 7.2 Hz, 2H), 7.14 (t, J = 7.2 Hz, 1H), 7.05 (d, J = 7.2 Hz, 2H), 6.87 (t, J = 8.0 Hz, 1H), 6.75 (t, J = 8.0 Hz, 1H), 6.72 (t, J = 7.2 Hz, 1H), 4.32 (dd, J = 11.6, 5.2 Hz, 1H), 3.88 (s, 3H), 3.56 (m, 1H), 3.37 (t, J = 11.2 Hz, 1H), 3.25 (s, 1H), 2.91 (dd, J = 12.4, 6.0 Hz, 1H), 2.67 (dd, J = 12.4, 6.8 Hz, 1H), 2.22 (d, J = 12.8 Hz, 1H), 2.11 (d, J = 12.0 Hz, 1H), 1.98 (d, J = 11.6 Hz, 1H), 1.76 (m, 3H), 1.60 (m, 1H), 1.45 (m, 2H), 1.26 (m, 1H), 1.00 (m, 1H), 0.88 (m, 1H); 13C NMR (100 MHz, CDCl3) δ 147.5, 145.2, 143.0, 139.9, 128.4 (2), 125.8 (2), 125.5, 121.9, 114.2, 111.1, 89.3, 58.9, 56.0, 52.8, 51.5, 44.6, 36.9, 32.0, 26.7, 22.4, 22.0, 21.8, 15.6; [α]20D = +40.1° (CHCl3, c 1.0); ESI-MS 376.2 (M+ + H); HRMS (ES+) calcd for C25H30NO2 (M+ + H) 376.2271; found 376.2272.
(3R,6aS,11aS)-10-Methoxy-2-(((1R,2R)-2-phenylcyclopropyl)methyl)-1,3,4,5,6,11a-hexahydro-2H-3,6a-methanobenzofuro[2,3-c]azocine ((-)-13): clear oil; yield 75.0%; 1H NMR (400 MHz, CDCl3): δ 7.25 (m, 2H), 7.15 (t, J = 7.2 Hz, 1H), 7.06 (d, J = 7.2 Hz 2H), 6.88 (t, J = 7.2 Hz, 1H), 6.77 (d, J = 8.0 Hz, 1H), 6.73 (d, J = 6.8 Hz, 1H), 4.34 (m, 1H), 3.89 (s, 3H), 3.57 (m, 1H), 3.34 (t, J = 10.8 Hz, 1H), 3.26 (s, 1H), 2.92 (dd, J = 12.0, 6.8 Hz, 1H), 2.68 (dd, J = 12.0, 6.4 Hz, 1H), 2.23 (d, J = 12.8 Hz, 1H), 2.13 (d, J = 12.0 Hz, 1H), 1.99 (d, J = 12.0 Hz, 1H), 1.76 (m, 3H), 1.62 (m, 1H), 1.45 (m, 2H), 1.27 (m, 1H), 1.01 (m, 1H), 0.89 (m, 1H); 13C NMR (100 MHz, CDCl3) δ 147.5, 145.2, 143.0, 139.9, 128.4 (2), 125.8 (2), 125.6, 121.9, 114.2, 111.1, 89.4, 58.9, 56.0, 53.6, 51.5, 44.6, 36.9, 32.0, 26.7, 22.5, 22.0, 21.8, 15.6; [α]20D = −46.3° (CHCl3, c 0.65); ESI-MS 376.2 (M+ + H); HRMS (ES+) calcd for C25H30NO2 (M+ + H) 376.2271; found 376.2272.
(3R,6aS,11aS)-10-Methoxy-2-(((1S,2R)-2-phenylcyclopropyl)methyl)-1,3,4,5,6,11a-hexahydro-2H-3,6a-methanobenzofuro[2,3-c]azocine ((+)-14): colorless oil; yield 91.4%; 1H NMR (400 MHz, CDCl3): δ 7.27 (t, J = 7.6 Hz, 2H), 7.20 (m, 3H), 6.86 (t, J = 8.0 Hz, 1H), 6.76 (dd, J = 8.0, 0.8 Hz, 1H), 6.70 (dd, J = 7.2, 0.8 Hz, 1H), 4.22 (dd, J = 12.0, 5.2 Hz, 1H), 3.88 (s, 3H), 3.29 (dd, J = 10.4, 5.6 Hz, 1H), 3.19 (m, 1H), 3.08 (t, J = 11.6 Hz, 1H), 2.55 (dd, J = 13.2, 6.4 Hz, 1H), 2.41 (dd, J = 13.2, 6.4 Hz, 1H), 2.22 (m, 1H), 2.05 (m, 2H), 1.93 (m, 1H), 1.68 (m, 1H), 1.51 (m, 2H), 1.36 (m, 3H), 1.09 (m, 1H), 0.86 (m, 1H); 13C NMR (100 MHz, CDCl3) δ 147.5, 145.2, 140.0, 138.8, 129.0 (2), 128.0 (2), 126.0, 121.9, 114.2, 111.0, 89.4, 56.0, 53.0, 52.5, 51.0, 44.6, 36.7, 31.9, 26.6, 21.6, 21.0, 18.0, 9.0; [α]20D = +29.0° (CHCl3, c 0.82); ESI-MS 376.2 (M+ + H); HRMS (ES+) calcd for C25H30NO2 (M+ + H) 376.2271; found 376.2271.
(3S,6aR,11aR)-10-Methoxy-2-(((1R,2S)-2-phenylcyclopropyl)methyl)-1,3,4,5,6,11a-hexahydro-2H-3,6a-methanobenzofuro[2,3-c]azocine ((-)-14): colorless oil; yield 90.6%; 1H NMR (400 MHz, CDCl3): δ 7.26 (t, J = 7.6 Hz, 2H), 7.19 (m, 3H), 6.85 (t, J = 8.0 Hz, 1H), 6.74 (d, J = 8.0 Hz, 1H), 6.69 (d, J = 7.6 Hz, 1H), 4.21 (dd, J = 12.0, 5.2 Hz, 1H), 3.87 (s, 3H), 3.27 (dd, J = 10.4, 5.6 Hz, 1H), 3.17 (m, 1H), 3.07 (t, J = 11.2 Hz, 1H), 2.53 (dd, J = 12.6, 6.4 Hz, 1H), 2.40 (dd, J = 12.6, 6.4 Hz, 1H), 2.21 (m, 1H), 2.05 (m, 2H), 1.91 (m, 1H), 1.67 (dd, J = 14.0, 5.6 Hz, 1H), 1.51 (m, 2H), 1.36 (m, 3H), 1.07 (m, 1H), 0.84 (m, 1H); 13C NMR (100 MHz, CDCl3) δ 147.4, 145.1, 140.0, 138.8, 129.0 (2), 128.0 (2), 125.9, 121.8, 114.1, 111.0, 89.4, 55.9, 52.9, 52.4, 50.9, 44.5, 36.7, 32.0, 26.5, 21.6, 21.0, 18.0, 9.0; [α]20D = −29.4° (CHCl3, c 1.05); ESI-MS 376.2 (M+ + H); HRMS (ES+) calcd for C25H30NO2 (M+ + H) 376.2271; found 376.2275.
(3S,6aR,11aR)-10-Methoxy-2-(((1S,2R)-2-phenylcyclopropyl)methyl)-1,3,4,5,6,11a-hexahydro-2H-3,6a-methanobenzofuro[2,3-c]azocine ((+)-15): clear oil; yield 91.7%; 1H NMR (400 MHz, CDCl3): δ 7.25 (m, 4H), 7.17 (m, 1H), 6.86 (t, J = 8.0 Hz, 1H), 6.76 (dd, J = 8.0, 0.8 Hz, 1H), 6.70 (dd, J = 7.2, 0.8 Hz, 1H), 4.28 (dd, J = 12.0, 5.6 Hz, 1H), 3.88 (s, 3H), 3.55 (dd, J = 10.0, 5.6 Hz, 1H), 3.27 (m, 1H), 2.93 (s, 1H), 2.63 (dd, J = 12.6, 5.6 Hz, 1H), 2.19 (m, 2H), 2.02 (dd, J = 12.0, 2.0 Hz, 1H), 1.92 (m, 1H), 1.84 (m, 1H), 1.70 (m, 2H), 1.48 (m, 1H), 1.32 (m, 3H), 1.11 (m, 1H), 0.85 (m, 1H); 13C NMR (100 MHz, CDCl3) δ 147.5, 145.2, 139.9, 139.0, 129.1 (2), 128.0 (2), 125.9, 121.8, 114.1, 111.1, 89.3, 56.0, 54.3, 53.4, 50.8, 44.5, 36.7, 31.9, 26.6, 21.7, 20.4, 17.6, 10.1; [α]20D = +11.0° (CHCl3, c 0.7); ESI-MS 376.2 (M+ + H); HRMS (ES+) calcd for C25H30NO2 (M+ + H) 376.2271; found 376.2271.
(3R,6aS,11aS)-10-Methoxy-2-(((1R,2S)-2-phenylcyclopropyl)methyl)-1,3,4,5,6,11a-hexahydro-2H-3,6a-methanobenzofuro[2,3-c]azocine ((-)-15): clear oil; yield 87.5%; 1H NMR (400 MHz, CDCl3): δ 7.25 (m, 4H), 7.17 (m, 1H), 6.86 (t, J = 7.6 Hz, 1H), 6.76 (d, J = 8.0 Hz, 1H), 6.70 (d, J = 7.6 Hz, 1H), 4.28 (dd, J = 12.0, 5.6 Hz, 1H), 3.88 (s, 3H), 3.55 (dd, J = 10.0, 5.6 Hz, 1H), 3.26 (m, 1H), 2.93 (s, 1H), 2.63 (dd, J = 12.6, 5.6 Hz, 1H), 2.19 (m, 2H), 2.02 (dd, J = 12.0, 1.6 Hz, 1H), 1.92 (m, 1H), 1.84 (m, 1H), 1.70 (m, 2H), 1.48 (m, 1H), 1.32 (m, 3H), 1.11 (m, 1H), 0.85 (m, 1H); 13C NMR (100 MHz, CDCl3) δ 147.5, 145.2, 140.0, 139.0, 129.2 (2), 128.0 (2), 125.9, 121.8, 114.2, 111.2, 89.4, 56.0, 54.4, 53.4, 50.8, 44.5, 36.7, 31.9, 26.7, 21.8, 20.4, 17.6, 10.1; [α]20D = −10.9° (CHCl3, c 0.58); ESI-MS 376.2 (M+ + H); HRMS (ES+) calcd for C25H30NO2 (M+ + H) 376.2271; found 376.2271.
General procedure for synthesis of ((+)-and(-)-16through19) via O-demethylation of aryl methyl ether with BBr3. To a solution of BBr3 (5 eq.) in CHCl3 (10 mL) at −78 °C under N2 was added a solution of the arylmethyl ethers and the resulting solution was warmed to rt gradually and stirred for 1 h at rt. The solution was cooled to −78 °C and the reaction was quenched with 28% NH4OH. The mixture was extracted with CHCl3 (3 × 10 mL) and the combined extracts were washed with brine and dried over anhydrous Na2SO4. After filtration and evaporation, the crude product was purified by flash chromatography (10–40% EtOAc in hexane) to the corresponding phenols.
(3R,6aS,11aS)-2-(((1S,2S)-2-Phenylcyclopropyl)methyl)-1,3,4,5,6,11a-hexahydro-2H-3,6a-methanobenzofuro[2,3-c]azocin-10-ol ((+)-16): white foam; yield 83.0%; Mp 246.6–251.6 °C (HCl salt); 1H NMR (400 MHz, CDCl3): δ 7.25 (m, 2H), 7.16 (m, 1H), 7.08 (d, J = 7.2 Hz 2H), 6.72 (m, 2H), 6.58 (d, J = 6.0 Hz, 1H), 4.00 (d, J = 11.6 Hz 1H), 3.62 (m, 1H), 3.25 (s, 1H), 3.12 (d, J = 12.4 Hz, 1H), 2.99 (t, J = 11.2 Hz, 1H), 2.44 (t, J = 10.0 Hz, 1H), 2.21 (d, J = 12.4 Hz, 1H), 2.06 (d, J = 11.6 Hz, 1H), 1.88 (d, J = 12.0 Hz, 1H), 1.72 (m, 3H), 1.65 (m, 1H), 1.47 (m, 3H), 0.89 (m, 2H); 13C NMR (100 MHz, CDCl3) δ 146.7, 142.7, 141.6, 139.6, 128.3(2), 126.1(2), 125.5, 122.2, 116.5, 113.6, 89.4, 59.2, 54.1, 50.3, 44.1, 37.2, 31.2, 26.1, 24.3, 21.4, 20.9, 14.3; [α]20D = +122.7° (CHCl3, c 0.96); ESI-MS 362.2 (M+ + H); HRMS (ES+) calcd for C24H28NO2 (M+ + H) 362.2115; found 362.2113; the free was converted into HCl salt which was crystallized in MeOH and Et2O. Anal. Calcd for C24H27NO2•HCl•H2O: C 69.30, H 7.27, N 3.37; found C 69.41, H 7.45, N 3.31.
(3S,6aR,11aR)-2-(((1R,2R)-2-Phenylcyclopropyl)methyl)-1,3,4,5,6,11a-hexahydro-2H-3,6a-methanobenzofuro[2,3-c]azocin-10-ol ((-)-16): clear oil; yield 88.6%; Mp 252.7–256.5 °C (HCl salt); 1H NMR (400 MHz, CDCl3): δ 7.26 (m, 2H), 7.17 (m, 1H), 7.08 (d, J = 6.4 Hz 2H), 6.73 (m, 2H), 6.58 (d, J = 6.0 Hz, 1H), 4.00 (d, J = 8.4 Hz 1H), 3.63 (m, 1H), 3.26 (s, 1H), 3.13 (d, J = 12.0 Hz, 1H), 2.97 (t, J = 10.8 Hz, 1H), 2.44 (t, J = 10.0 Hz, 1H), 2.21 (d, J = 12.4 Hz, 1H), 2.06 (d, J = 12.0 Hz, 1H), 1.88 (d, J = 12.0 Hz, 1H), 1.73 (m, 3H), 1.66 (m, 1H), 1.48 (m, 3H), 0.89 (m, 2H); 13C NMR (100 MHz, CDCl3) δ 146.7, 142.7, 141.6, 139.6, 128.3(2), 126.1(2), 125.5, 122.2, 116.6, 113.6, 89.4, 59.2, 54.1, 50.3, 44.0, 37.1, 31.1, 26.0, 24.3, 21.4, 20.8, 14.3; [α]20D = −121.5° (CHCl3, c 0.92); ESI-MS 362.2 (M+ + H); HRMS (ES+) calcd for C24H28NO2 (M+ + H) 362.2115; found 362.2114; the free was converted into HCl salt which was crystallized in MeOH and Et2O. Anal. Calcd for C24H27NO2•HCl•0.6H2O: C 70.52, H 7.20, N 3.43; found C 70.46, H 7.35, N 3.45.
(3S,6aR,11aR)-2-(((1S,2S)-2-Phenylcyclopropyl)methyl)-1,3,4,5,6,11a-hexahydro-2H-3,6a-methanobenzofuro[2,3-c]azocin-10-ol ((+)-17): white foam; yield 81.4%; Mp 187.2–192.2 °C (HCl salt); 1H NMR (400 MHz, CDCl3): δ 7.25 (m, 2H), 7.17 (m, 1H), 7.06 (d, J = 6.4 Hz 2H), 6.77 (t, J = 6.8 Hz, 1H), 6.71 (d, J = 6.8 Hz, 1H), 6.62 (d, J = 6.0 Hz, 1H), 4.30 (d, J = 8.4 Hz 1H), 3.65 (m, 1H), 3.37 (m, 2H), 2.97 (m, 1H), 2.74 (m, 1H), 2.28 (d, J = 12.0 Hz, 1H), 2.11 (d, J = 12.0 Hz, 1H), 2.03 (d, J = 11.2 Hz, 1H), 1.79 (m, 3H), 1.65 (m, 1H), 1.49 (m, 2H), 1.36 (m, 1H), 1.02 (m, 1H), 0.93 (m, 1H); 13C NMR (100 MHz, CDCl3) δ 146.5, 142.7, 141.6, 139.5, 128.4(2), 125.8(2), 125.6, 122.2, 116.4, 113.3, 88.6, 58.6, 52.3, 51.5, 44.3, 36.4, 31.6, 26.2, 22.3, 21.6, 21.4, 15.5; [α]20D = +23.6° (CHCl3, c 0.9); ESI-MS 362.2 (M+ + H); HRMS (ES+) calcd for C24H28NO2 (M+ + H) 362.2115; found 362.2113; the free was converted into HCl salt which was crystallized in MeOH and Et2O. Anal. Calcd for C24H27NO2•HCl•H2O: C 69.30, H 7.27, N 3.37; found C 69.38, H 7.05, N 3.44.
(3R,6aS,11aS)-2-(((1R,2R)-2-Phenylcyclopropyl)methyl)-1,3,4,5,6,11a-hexahydro-2H-3,6a-methanobenzofuro[2,3-c]azocin-10-ol ((-)-17): clear oil; yield 87.0%; Mp 208.2–213.2 °C (HCl salt); 1H NMR (400 MHz, CDCl3): δ 7.26 (t, J = 6.8 Hz, 2H), 7.16 (t, J = 7.2 Hz, 1H), 7.06 (d, J = 7.2 Hz 2H), 6.77 (t, J = 7.2 Hz, 1H), 6.71 (d, J = 7.6 Hz, 1H), 6.62 (d, J = 6.4 Hz, 1H), 4.28 (d, J = 10.8 Hz 1H), 3.64 (m, 1H), 3.36 (m, 2H), 2.98 (m, 1H), 2.74 (m, 1H), 2.28 (d, J = 12.8 Hz, 1H), 2.11 (d, J = 12.0 Hz, 1H), 2.00 (d, J = 12.0 Hz, 1H), 1.79 (m, 3H), 1.65 (m, 1H), 1.49 (m, 2H), 1.33 (m, 1H), 1.03 (d, J = 4.0 Hz, 1H), 0.93 (d, J = 4.0 Hz, 1H); 13C NMR (100 MHz, CDCl3) δ 146.5, 142.8, 141.6, 139.6, 128.4(2), 125.8(2), 125.6, 122.2, 116.3, 113.5, 88.9, 58.7, 52.5, 51.5, 44.4, 36.6, 31.7, 26.2, 22.3, 21.7, 21.6, 15.6; [α]20D = −229.6° (CHCl3, c 0.63); ESI-MS 362.2 (M+ + H); HRMS (ES+) calcd for C24H28NO2 (M+ + H) 362.2115; found 362.2115; the free was converted into HCl salt which was crystallized in MeOH and Et2O. Anal. Calcd for C24H27NO2•HCl•0.5H2O: C 70.84, H 7.18, N 3.44; found C 70.71, H 7.33, N 3.46.
(3R,6aS,11aS)-2-(((1S,2R)-2-Phenylcyclopropyl)methyl)-1,3,4,5,6,11a-hexahydro-2H-3,6a-methanobenzofuro[2,3-c]azocin-10-ol ((+)-18): light yellow syrup; yield 84.8%; Mp 204.4–208.5 °C (HCl salt); 1H NMR (400 MHz, CDCl3): δ 7.29 (t, J = 7.6 Hz, 2H), 7.20 (m, 3H), 6.74 (m, 2H), 6.58 (dd, J = 7.2, 1.6 Hz, 1H), 4.20 (dd, J = 12.0, 5.6 Hz, 1H), 3.45 (dd, J = 10.4, 5.6 Hz, 1H), 3.35 (s, 1H), 3.01 (d, J = 11.2 Hz, 1H), 2.68 (dd, J = 12.6, 5.6 Hz, 1H), 2.42 (dd, J = 12.6, 7.2 Hz, 1H), 2.25 (m, 1H), 2.06 (m, 2H), 1.98 (d, J = 12.6 Hz, 1H), 1.69 (d, J = 10.0 Hz, 1H), 1.47 (m, 5H), 1.12 (m, 1H), 0.91 (m, 1H); 13C NMR (100 MHz, CDCl3) δ 146.5, 141.6, 139.4, 138.6, 128.9 (2), 128.1 (2), 126.1, 122.2, 116.3, 113.4, 88.6, 53.2, 52.8, 51.0, 44.2, 36.2, 31.6, 25.9, 21.3, 20.8, 17.0, 9.2; [α]20D = +16.3° (CHCl3, c 0.7); ESI-MS 362.2 (M+ + H); HRMS (ES+) calcd for C24H28NO2 (M+ + H) 362.2115; found 362.2113; Anal. Calcd for C24H27NO2•HCl•H2O: C 69.30, H 7.27, N 3.37; found C 69.58, H 7.67, N 3.32.
(3S,6aR,11aR)-2-(((1R,2S)-2-Phenylcyclopropyl)methyl)-1,3,4,5,6,11a-hexahydro-2H-3,6a-methanobenzofuro[2,3-c]azocin-10-ol ((-)-18): white foam; yield 80.4%; Mp 193.9–198.5 °C (HCl salt); 1H NMR (400 MHz, CDCl3): 7.29 (t, J = 7.6 Hz, 2H), 7.20 (m, 3H), 6.76 (t, J = 7.6 Hz, 1H), 6.70 (d, J = 8.0 Hz, 1H), 6.59 (d, J = 7.2 Hz, 1H), 4.17 (dd, J = 12.0, 6.0 Hz, 1H), 3.41 (dd, J = 9.6, 5.2 Hz, 1H), 3.32 (s, 1H), 3.02 (d, J = 11.2 Hz, 1H), 2.67 (dd, J = 12.6, 5.2 Hz, 1H), 2.37 (dd, J = 12.6, 7.2 Hz, 1H), 2.23 (m, 1H), 2.06 (m, 2H), 1.93 (d, J = 12.0 Hz, 1H), 1.70 (d, J = 13.2 Hz, 1H), 1.53 (m, 2H), 1.42 (m, 3H), 1.11 (m, 1H), 0.90 (m, 1H); 13C NMR (100 MHz, CDCl3) δ 146.6, 141.6, 139.7, 138.7, 129.0 (2), 128.1 (2), 126.0, 122.2, 116.3, 113.4, 89.0, 53.2, 52.3, 51.0, 44.3, 36.5, 31.6, 26.0, 21.4, 20.7, 17.2, 9.3; [α]20D = −16.7° (CHCl3, c 1.05); ESI-MS 362.2 (M+ + H); HRMS (ES+) calcd for C24H28NO2 (M+ + H) 362.2115; found 362.2114; the free was converted into HCl salt which was crystallized in iPrOH and Et2O. Anal. Calcd for C24H27NO2•HCl•0.8iPrOH: C 71.09, H 7.77, N 3.14; Found C 70.82, H 7.98, N 3.41.
(3S,6aR,11aR)-2-(((1S,2R)-2-Phenylcyclopropyl)methyl)-1,3,4,5,6,11a-hexahydro-2H-3,6a-methanobenzofuro[2,3-c]azocin-10-ol ((+)-19): light yellow syrup; yield 76.7%; Mp 183.1–187.7 °C (HCl salt); 1H NMR (400 MHz, CDCl3): δ 7.24 (m, 5H), 6.77 (t, J = 8.0 Hz, 1H), 6.72 (d, J = 7.2 Hz, 1H), 6.60 (d, J = 6.8 Hz, 1H), 4.22 (dd, J = 11.6, 4.8 Hz, 1H), 3.58 (dd, J = 10.0, 5.6 Hz, 1H), 3.24 (t, J = 11.2 Hz, 1H), 3.09 (s, 1H), 2.75 (dd, J = 12.8, 4.8 Hz, 1H), 2.17 (m, 2H), 2.04 (d, J = 11.2 Hz, 1H), 1.96 (d, J = 11.6 Hz, 1H), 1.89 (d, J = 9.2 Hz, 1H), 1.71 (m, 2H), 1.53 (m, 1H), 1.34 (m, 3H), 1.14 (m, 1H), 0.91 (m, 1H); 13C NMR (100 MHz, CDCl3) δ 146.4, 141.4, 139.6, 138.8, 129.2 (2), 128.1 (2), 126.1, 122.2, 115.9, 113.6, 88.9, 54.6, 53.4, 51.0, 44.4, 36.4, 31.7, 26.3, 21.6, 20.4, 17.0, 10.3; [α]20D = +9.9° (CHCl3, c 0.96); ESI-MS 362.2 (M+ + H); HRMS (ES+) calcd for C24H28NO2 (M+ + H) 362.2115; found 362.2114; Anal. Calcd for C24H27NO2•HCl•0.6H2O: C 70.52, H 7.20, N 3.43; found C 70.62, H 7.54, N 3.44.
(3R,6aS,11aS)-2-(((1R,2S)-2-phenylcyclopropyl)methyl)-1,3,4,5,6,11a-hexahydro-2H-3,6a-methanobenzofuro[2,3-c]azocin-10-ol ((-)-19): colorless syrup; yield 90.4%; Mp 193.3–198.3 °C (HBr salt); 1H NMR (400 MHz, CDCl3): δ 7.24 (m, 5H), 6.77 (t, J = 8.0 Hz, 1H), 6.72 (d, J = 8.0 Hz, 1H), 6.61 (d, J = 7.2 Hz, 1H), 4.21 (dd, J = 12.0, 5.2 Hz, 1H), 3.55 (dd, J = 10.0, 5.2 Hz, 1H), 3.23 (t, J = 11.6 Hz, 1H), 3.05 (s, 1H), 2.73 (dd, J = 12.8, 4.8 Hz, 1H), 2.16 (m, 2H), 2.03 (d, J = 12.0 Hz, 1H), 1.91 (m, 2H), 1.70 (m, 2H), 1.53 (m, 1H), 1.36 (m, 3H), 1.14 (m, 1H), 0.89 (m, 1H); 13C NMR (100 MHz, CDCl3) δ 146.4, 141.4, 139.7, 138.9, 129.2 (2), 128.1 (2), 126.0, 122.2, 115.8, 113.6, 89.2, 54.5, 53.3, 51.0, 44.5, 36.6, 31.8, 26.4, 21.7, 20.4, 17.1, 10.3; [α]20D = +10.5° (CHCl3, c 1.6); ESI-MS 362.2 (M+ + H); HRMS (ES+) calcd for C24H28NO2 (M+ + H) 362.2115; found 362.2115; the free was converted into HBr salt which was crystallized in EtOH and Et2O. Anal. Calcd for C24H27NO2•HBr•EtOH: C 63.93, H 7.02, N 2.87; found C 63.95, H 7.31, N 3.03.
General procedure for synthesis of 2-(E)-cinnamyl-10-methoxy-1,3,4,5,6,11a-hexahydro-2H-3,6a-methanobenzofuro[2,3-c]azocine (+)- and (-)-20. A mixture of (+)- or (-)-6 (80 mg, 0.33 mmol), K2CO3 (91 mg, 0.66 mmol), (E)-cinnamyl bromide (96 mg, 0.49 mmol) and DMF (10 mL) was stirred at rt overnight. The mixture was diluted with H2O (20 mL) and extracted with Et2O (3 × 20 mL). The combined extracts were washed with H2O and brined and dried over anhydrous Na2SO4. After filtration and evaporation, the crude product was purified by flash chromatography (10–30% EtOAc in hexane) to give 10-methoxy-2-phenethyl-1,3,4,5,6,11a-hexahydro-2H-3,6a-methanobenzofuro[2,3-c]-azocine (+)- or (-)-20 as clear oil.
(-)-20: clear oil; 88.2%; 1H NMR (400 MHz, CDCl3): δ 7.40 (d, J = 7.6 Hz, 2H), 7.33 (t, J = 7.6 Hz, 2H), 7.24 (t, J = 7.6 Hz, 1H), 6.90 (t, J = 8.0 Hz, 1H), 6.79 (d, J = 8.0 Hz, 1H), 6.75 (d, J = 7.2 Hz, 1H), 6.61 (d, J = 16 Hz, 1H), 6.31 (dt, J = 15.6, 6.8 Hz, 1H), 4.34 (m, 1H), 3.90 (s, 3H), 3.60 (dd, J = 13.6, 6.8 Hz, 1H), 3.50 (dd, J = 13.6, 6.4 Hz, 1H), 3.44 (m, 2H), 3.25 (s, 1H), 2.25 (d, J = 12.8 Hz, 1H), 2.15 (dd, J = 12.4, 1.6 Hz, 1H), 2.03 (dt, J = 12.0, 2.0 Hz, 1H), 1.84 (m, 2H), 1.66 (m, 1H), 1.47 (m, 2H); 13C NMR (100 MHz, CDCl3) δ 147.5, 145.2, 139.8, 137.1, 132.2, 128.6 (2), 128.0, 127.5, 126.4 (2), 121.9, 114.2, 111.3, 89.2, 57.1, 56.0, 52.5, 51.5, 44.6, 36.8, 32.0, 26.6, 21.9; [α]20D = −37.8° (CHCl3, c 1.2); ESI-MS 362.2 (M+ + H); HRMS (ES+) calcd for C24H28NO2 (M+ + H) 362.2115; found 362.2113.
(+)-20: clear oil; 83.3%; 1H NMR (400 MHz, CDCl3): δ 7.39 (d, J = 7.6 Hz, 2H), 7.32 (t, J = 7.6 Hz, 2H), 7.23 (t, J = 7.2 Hz, 1H), 6.89 (t, J = 7.6 Hz, 1H), 6.78 (d, J = 8.0 Hz, 1H), 6.74 (d, J = 7.2 Hz, 1H), 6.60 (d, J = 16 Hz, 1H), 6.30 (dt, J = 15.6, 6.8 Hz, 1H), 4.33 (m, 1H), 3.89 (s, 3H), 3.59 (dd, J = 13.6, 6.8 Hz, 1H), 3.49 (dd, J = 13.6, 6.4 Hz, 1H), 3.43 (m, 2H), 3.24 (s, 1H), 2.25 (d, J = 12.8 Hz, 1H), 2.15 (dd, J = 12.4, 1.6 Hz, 1H), 2.02 (dt, J = 12.4, 2.0 Hz, 1H), 1.86 (m, 2H), 1.66 (m, 1H), 1.44 (m, 2H); 13C NMR (100 MHz, CDCl3) δ 147.5, 145.2, 139.8, 137.1, 132.2, 128.7 (2), 128.0, 127.5, 126.4 (2), 121.9, 114.2, 111.3, 89.2, 57.1, 56.0, 52.6, 51.6, 44.6, 36.8, 32.0, 26.6, 21.9; [α]20D = +37.4° (CHCl3, c 1.3); ESI-MS 362.2 (M+ + H); HRMS (ES+) calcd for C24H28NO2 (M+ + H) 362.2115; found 362.2116.
Compounds (+)- and (-)- 21 were prepared through the same procedure as the synthesis of compounds 1619 via O-demethylation with BBr3:
(-)-21: white solid; 87.1%; Mp 199.0–202.9 °C (HCl salt); 1H NMR (400 MHz, CDCl3+CD3OD): δ 7.34 (d, J = 7.2 Hz, 2H), 7.26 (t, J = 7.6 Hz, 2H), 7.18 (t, J = 7.2 Hz, 1H), 6.72 (t, J = 8.0 Hz, 1H), 6.60 (d, J = 8.0 Hz, 1H), 6.58 (d, J = 6.8 Hz, 1H), 6.55 (d, J = 15.6 Hz, 1H), 6.25 (dt, J = 15.6, 6.8 Hz, 1H), 4.22 (m, 1H), 3.52 (dd, J = 13.6, 6.8 Hz, 1H), 3.43 (dd, J = 13.6, 6.8 Hz, 1H), 3.32 (m, 2H), 3.18 (s, 1H), 2.19 (d, J = 12.8 Hz, 1H), 2.09 (d, J = 11.6 Hz, 1H), 1.95 (d, J = 12.0Hz, 1H), 1.75 (m, 2H), 1.60 (m, 1H), 1.42 (m, 2H); 13C NMR (100 MHz, CDCl3+CD3OD) δ 146.2, 141.6, 139.6, 136.9, 132.8, 128.6 (2), 127.6, 127.1, 126.4 (2), 122.0, 115.6, 113.2, 88.8, 57.1, 52.7, 51.4, 44.5, 36.5, 31.7, 26.4, 21.7; [α]20D = −34.0° (CHCl3, c 0.99); ESI-MS 348.2 (M+ + H); HRMS (ES+) calcd for C23H26NO2 (M+ + H) 348.1958; found 348.1961; the free was converted into HCl salt which was crystallized in MeOH and Et2O. Anal. Calcd for C24H27NO2•HCl•0.8H2O: C 69.35, H 6.98, N 3.52; found C 69.49, H 7.28, N 3.55.
(+)-21: white foam; 88.5%; Mp 220–225 °C (HCl salt); 1H NMR (400 MHz, CDCl3+CD3OD): δ 7.34 (d, J = 7.6 Hz, 2H), 7.26 (t, J = 7.6 Hz, 2H), 7.18 (t, J = 7.2 Hz, 1H), 6.72 (t, J = 7.6 Hz, 1H), 6.66 (d, J = 8.0 Hz, 1H), 6.58 (d, J = 6.0 Hz, 1H), 6.50 (d, J = 15.2 Hz, 1H), 6.25 (dt, J = 16.0, 6.8 Hz, 1H), 4.22 (m, 1H), 3.52 (dd, J = 13.6, 6.8 Hz, 1H), 3.43 (dd, J = 13.6, 6.8 Hz, 1H), 3.33 (m, 2H), 3.19 (s, 1H), 2.20 (d, J = 13.6 Hz, 1H), 2.08 (d, J = 12.0 Hz, 1H), 1.96 (d, J = 12.4 Hz, 1H), 1.75 (m, 2H), 1.60 (m, 1H), 1.42 (m, 2H); 13C NMR (100 MHz, CDCl3+CD3OD) δ 146.2, 141.6, 139.5, 136.8, 132.8, 128.6 (2), 127.6, 127.0, 126.4 (2), 122.0, 115.6, 113.1, 88.7, 57.1, 52.7, 51.4, 44.4, 36.4, 31.7, 26.3, 21.6; [α]20D = +33.6° (CHCl3, c 1.2); ESI-MS 348.2 (M+ + H); HRMS (ES+) calcd for C23H26NO2 (M+ + H) 348.1958; found 348.1959; the free was converted into HCl salt. Anal. Calcd for C24H27NO2•HCl•H2O•0.4CH2Cl2: C 64.48, H 6.66, N 3.21; found C 64.35, H 6.81, N 3.17.
(-)-22: clear oil; 92.3%; 1H NMR (400 MHz, CDCl3): δ 7.37 (m, 2H), 7.28 (m, 3H), 6.88 (m, 1H), 6.71 (m, 3H), 6.10 (m, 1H), 5.12 (m, 1H), 4.41 (m, 1H), 3.95 (m, 1H), 3.85 (m, 3H), 3.58 (m, 1H), 2.05 (m, 2H), 1.84 (m, 1H), 1.61 (m, 3H), 1.45 (m, 1H), 1.29 (m, 1H); 13C NMR (100 MHz, CDCl3) δ 169.7, 169.6, 147.2, 146.9, 145.2, 145.1, 138.4, 135.8, 135.3, 133.2, 133.1, 128.7, 128.6, 128.4, 128.2, 124.1, 123.7, 122.5, 122.4, 114.2, 114.1, 111.6, 111.4, 87.5, 87.4, 56.1, 56.0, 51.6, 47.7, 46.0, 44.9, 44.6, 43.5, 36.0, 35.5, 32.0, 31.3, 29.6, 21.04, 20.98; [α]20D = −42.1° (CHCl3, c 1.2); ESI-MS 376.2 (M+ + H); HRMS (ES+) calcd for C24H26NO3 (M+ + H) 376.1907; found 376.1908.
(+)-22: clear oil; 85.7%; 1H NMR (400 MHz, CDCl3): δ 7.36 (m, 2H), 7.27 (m, 3H), 6.87 (m, 1H), 6.71 (m, 3H), 6.09 (m, 1H), 5.11 (m, 1H), 4.40 (m, 1H), 3.92 (m, 1H), 3.84 (m, 3H), 3.59 (m, 1H), 2.04 (m, 2H), 1.83 (m, 1H), 1.60 (m, 3H), 1.43 (m, 1H), 1.29 (m, 1H); 13C NMR (100 MHz, CDCl3) δ 169.6, 169.5, 147.2, 146.9, 145.2, 145.1, 138.42, 138.38, 135.8, 135.3, 133.2, 133.1, 128.64, 128.60, 128.57, 128.3, 128.1, 124.1, 123.7, 122.5, 122.3, 114.2, 114.0, 111.6, 111.4, 87.5, 87.3, 56.0, 55.9, 51.5, 47.6, 45.8, 44.9, 44.6, 43.5, 36.0, 35.5, 32.0, 31.3, 29.6, 21.0, 20.9; [α]20D = +42.4° (CHCl3, c 1.06); ESI-MS 376.2 (M+ + H); HRMS (ES+) calcd for C24H26NO3 (M+ + H) 376.1907; found 376.1908.
(-)-23: white amorphous solid; 92.3%; 1H NMR (400 MHz, CDCl3): δ 7.37 (m, 2H), 7.28 (m, 3H), 6.68 (m, 4H), 6.11 (d, J = 12.8 Hz, 1H), 5.68 and 5.46 (brs, 1H, -OH), 5.13 (m, 1H), 4.38 (m, 1H), 3.92 (m, 1H), 3.59 (m, 1H), 2.06 (m, 2H), 1.84 (m, 1H), 1.61 (m, 3H), 1.46 (m, 1H), 1.40 (m, 1H); 13C NMR (100 MHz, CDCl3) δ 169.9, 169.8, 145.8, 145.6, 141.4, 141.2, 138.4, 138.2, 135.8, 135.3, 133.42, 133.39, 128.83, 128.77, 128.74, 128.71, 128.4, 128.2, 124.1, 123.5, 122.7, 122.6, 115.8, 115.6, 113.8, 113.6, 87.7, 87.6, 51.7, 47.7, 46.0, 45.1, 44.9, 43.6, 36.1, 35.6, 32.0, 31.3, 29.6, 21.1, 21.0; [α]20D = −42.1° (CHCl3, c 1.2); ESI-MS 376.2 (M+ + H); HRMS (ES+) calcd for C24H26NO3 (M+ + H) 376.1907; found 376.1908.
(+)-23: white amorphous solid; 88.2%; 1H NMR (400 MHz, CDCl3): δ 7.36 (m, 2H), 7.28 (m, 3H), 6.68 (m, 4H), 6.10 (d, J = 12.8 Hz, 1H), 5.94 and 5.75 (brs, 1H, -OH), 5.13 (m, 1H), 4.38 (m, 1H), 3.91 (m, 1H), 3.59 (m, 1H), 2.07 (m, 2H), 1.82 (m, 1H), 1.65 (m, 3H), 1.40 (m, 2H); 13C NMR (100 MHz, CDCl3) δ 169.92, 169.88, 145.8, 145.7, 141.5, 141.3, 138.4, 138.2, 135.8, 135.3, 133.45, 133.42, 128.82, 128.76, 128.74, 128.70, 128.4, 128.2, 124.1, 123.5, 122.6, 122.6, 115.8, 115.7, 113.7, 113.5, 87.7, 87.6, 51.7, 47.8, 46.1, 45.1, 44.8, 43.6, 36.0, 35.6, 32.0, 31.3, 29.6, 21.1, 21.0; [α]20D = +39.7° (CHCl3, c 0.76); ESI-MS 362.2 (M+ + H); HRMS (ES+) calcd for C23H24NO3 (M+ + H) 362.1751; found 362.1750.
(-)-24: clear oil; 33.3%; Mp 167–171 °C (HCl salt); 1H NMR (400 MHz, CDCl3+CD3OD): δ 7.36 (t, J = 8.0 Hz, 2H), 7.26 (m, 3H), 6.77 (t, J = 8.0 Hz, 1H), 6.71 (d, J = 7.2 Hz, 1H), 6.62 (m, 2H), 5.87 (m, 1H), 4.28 (dd, J = 12.0, 5.6 Hz, 1H), 3.68 (m, 2H), 3.44 (dd, J = 10.0, 5.6 Hz, 1H), 3.34 (t, J = 11.6 Hz, 1H), 3.27 (s, 1H), 2.11 (d, J = 12.0 Hz, 1H), 2.00 (m, 2H), 1.74 (m, 2H), 1.55 (m, 1H), 1.40 (m, 2H); 13C NMR (100 MHz, CDCl3+CD3OD) δ 146.2, 141.6, 139.4, 136.9, 131.8, 128.9 (2), 128.4, 128.3 (2), 127.1, 122.2, 115.7, 113.2, 88.6, 52.9, 52.1, 51.5, 44.4, 36.3, 31.6, 26.2, 21.6; [α]20D = −14.9° (CHCl3, c 1.01); ESI-MS 376.2 (M+ + H); HRMS (ES+) calcd for C23H26NO2 (M+ + H) 348.1958; found 348.1959; the free was converted into HCl salt. Anal. Calcd for C23H25NO2•HCl•1.3H2O: C 67.82, H 7.08, N 3.44; found C 67.86, H 7.41, N 3.43.
(+)-24: light yellow oil; 25.8%; Mp 170–174.4 °C (HCl salt); 1H NMR (400 MHz, CDCl3): δ 7.36 (t, J = 8.0 Hz, 2H), 7.27 (m, 3H), 6.79 (t, J = 8.0 Hz, 1H), 6.73 (d, J = 8.0 Hz, 1H), 6.62 (m, 2H), 5.87 (m, 1H), 4.27 (dd, J = 12.0, 5.6 Hz, 1H), 3.66 (m, 2H), 3.45 (dd, J = 10.0, 5.6 Hz, 1H), 3.33 (t, J = 11.6 Hz, 1H), 3.25 (s, 1H), 2.10 (d, J = 12.0 Hz, 1H), 2.00 (m, 2H), 1.76 (m, 2H), 1.56 (m, 1H), 1.43 (m, 2H); 13C NMR (100 MHz, CDCl3) δ 146.3, 141.3, 139.6, 137.2, 131.5, 130.2, 129.0 (2), 128.3 (2), 127.1, 122.3, 115.7, 113.8, 89.4, 52.7, 52.2, 51.4, 44.6, 36.7, 31.8, 26.4, 21.8; [α]20D = +14.5° (CHCl3, c 0.9); ESI-MS 348.2 (M+ + H); HRMS (ES+) calcd for C23H26NO2 (M+ + H) 348.1958; found 348.1960; the free was converted into HCl salt. Anal. Calcd for C23H25NO2•HCl•0.25CH2Cl2: C 68.93, H 6.59, N 3.46; found C 68.81, H 6.52, N 3.63.
(+)-25: clear oil; 84.7%; Mp 161–163 °C (HCl salt); 1H NMR (400 MHz, CDCl3): δ 7.28 (t, J = 8.0 Hz, 2H), 7.18 (m, 3H), 6.79 (t, J = 7.6 Hz, 1H), 6.73 (d, J = 7.6 Hz, 1H), 6.64 (d, J = 7.2 Hz, 1H), 4.26 (dd, J = 12.0, 5.6 Hz, 1H), 3.41 (dd, J = 10.0, 5.6 Hz, 1H), 3.32 (t, J = 11.6 Hz, 1H), 3.17 (s, 1H), 2.74 (m, 2H), 2.66 (t, J = 7.6 Hz, 2H), 2.18 (d, J = 13.2 Hz, 1H), 2.11 (dd, J = 12.4, 1.2 Hz, 1H), 1.90 (m, 3H), 1.75 (m, 2H), 1.62 (m, 1H), 1.45 (m, 2H); 13C NMR (100 MHz, CDCl3) δ 146.4, 142.2, 141.3, 139.7, 128.6 (2), 128.5 (2), 125.9, 122.2, 115.8, 113.8, 89.4, 53.8, 52.7, 51.3, 44.6, 36.8, 33.7, 31.8, 29.5, 26.4, 21.8; [α]20D = +33.4° (CHCl3, c 0.94); ESI-MS 350.2 (M+ + H); HRMS (ES+) calcd for C23H28NO2 (M+ + H) 350.2115; found 350.2113; the free was converted into HCl salt. Anal. Calcd for C23H27NO2•HCl•0.7H2O: C 69.32, H 7.44, N 3.51; found C 69.41, H 7.57, N 3.42.
(-)-25: clear oil; 88.7%; Mp 163–166 °C (HCl salt); 1H NMR (400 MHz, CDCl3): δ 7.28 (t, J = 8.0 Hz, 2H), 7.19 (m, 3H), 6.77 (t, J = 8.0 Hz, 1H), 6.71 (d, J = 8.0 Hz, 1H), 6.62 (d, J = 7.2 Hz, 1H), 4.24 (dd, J = 12.0, 5.6 Hz, 1H), 3.44 (dd, J = 10.0, 5.6 Hz, 1H), 3.31 (t, J = 11.6 Hz, 1H), 3.19 (s, 1H), 2.76 (m, 2H), 2.66 (t, J = 8.0 Hz, 2H), 2.18 (d, J = 13.2 Hz, 1H), 2.10 (dd, J = 12.0, 1.2 Hz, 1H), 1.92 (m, 3H), 1.75 (m, 2H), 1.62 (m, 1H), 1.44 (m, 2H); 13C NMR (100 MHz, CDCl3) δ 146.4, 142.1, 141.4, 139.6, 128.5 (2), 128.4 (2), 125.9, 122.2, 116.1, 113.6, 89.1, 53.9, 52.6, 51.3, 44.5, 36.7, 33.8, 31.7, 29.3, 26.2, 21.8; [α]20D = +33.4° (CHCl3, c 0.94); ESI-MS 350.2 (M+ + H); HRMS (ES+) calcd for C23H28NO2 (M+ + H) 350.2115; found 350.2114; the free was converted into HCl salt. Anal. Calcd for C23H27NO2•HCl•0.7H2O: C 69.32, H 7.44, N 3.51; found C 69.40, H 7.51, N 3.51.

3.3. In Vitro Pharmacology

3.3.1. Opioid Receptor Binding Assays

Frozen whole rat brains excluding cerebellum were thawed on ice, homogenized in 50 mM Tris HCl, pH 7.5 using a Brinkman Polytron (setting 6 for 20 s), and centrifuged at 30,000× g for 10 min at 4 °C. The supernatant was discarded, and the pellet was re-suspended in a fresh buffer and spun at 30,000× g for 10 min. The supernatant was discarded, and the pellet was re-suspended to give 100 mg/mL original wet weight. Ligand binding experiments were conducted in polypropylene assay tubes containing 0.5 mL Tris HCl buffer for 60 min at room temperature. [3H]DADLE (final concentration 1 nM, PolyPeptide Laboratories, San Diego, CA, USA), [3H]DAMGO (final concentration 1 nM, PolyPeptide Laboratories, San Diego, CA, USA) or [3H]U69,593 (final concentration 1 nM, Perkin Elmer Life Sciences, Waltham, MA, USA) were used to determine binding at δ-, μ- and κ-opioid receptor sites, respectively. Unlabeled DAMGO (final concentration, 30 nM) was added to the delta assay tubes to block μ-receptor binding. All assay tubes contained 100 μL homogenate suspension. Nonspecific binding was determined in all assays using 0.01 mM naloxone. Incubations were terminated by rapid filtration through Whatman GF/B filters, presoaked in 0.1% polyethyleneimine, using a Brandel R48 filtering manifold (Brandel Instruments Gaithersburg, Maryland). The filters were washed twice with 5 mL cold buffer and transferred to scintillation vials. Cytoscint (MP Biologicals) (3.0 mL) was added, and the vials were counted the next day using a Perkin Elmer TriCarb liquid scintillation counter. Data were analyzed with GraphPad Prism software (San Diego, CA, USA).

3.3.2. Forskolin-Induced cAMP Accumulation Assays

Cell lines and cell culture: cAMP HunterTM Chinese hamster ovary cells (CHO-K1) that express human μ-opioid receptor (OPRM1), human κ-opioid receptor (OPRMK1), and human δ-receptor (OPRMD1) were purchased from Eurofins DiscoverX (Fremont, CA, USA). Cell culture was performed as previously described [18]. Briefly, cells were plated in a 384-well white tissue culture microplate at 10,000 cells/well density and incubated overnight at 37 °C in 5% CO2. Compounds were first dissolved in DMSO to form stock solutions (5 mM concentration), and then 9 doses of 100× solutions were prepared by serial dilution with DMSO. Then, 5× solutions were prepared by diluting 100× solutions with buffer consisting of Hank’s Buffered Salt Solution, HEPES, and forskolin. In the agonist assay, cells were treated with compounds (at 1× final concentration) and incubated at 37 °C for 30 min. In the antagonist assay [17], cells were pretreated with compounds for 15 min at 37 °C followed by 30 min incubation at 37 °C with selected agonists at their EC50 or EC90 dose. The HitHunter cAMP Assay for Small Molecules by Eurofins DiscoverX (Fremont, CA, USA) was then used according to manufacturer’s directions and the BioTek Synergy H1 hybrid plate reader (BioTek, Winooski, VT, USA) and Gen5 Software version 2.01 (BioTek, Winooski, VT, USA) were used to quantify luminescence [19].

3.4. Single-Crystal X-ray Diffraction Analysis of (R)-(-)-p-methylmandelate of (3S,6aR,11aR)-(-)-10-methoxy-1,3,4,5,6,11a-hexahydro-2H-3,6a-methano-benzofuro[2,3-c]azocine (-)-6

C24H31NO6, FW = 429.50, orthorhombic, P212121, a = 6.7324(6) Å, b = 9.4370(6) Å, c = 34.612(4) Å, α = 90°, β = 90°, γ = 90°, V = 2199.0(3) Å3, Z = 4, ρcalc (293K) = 1.297 Mg/m3, μ = 0.759 mm−1, F(000) = 920, R1 = 0.0466 for 4249 observed (I > 2σI) reflections and 0.0480 for all 4436 reflections, Goodness-of-fit = 1.091, 291 parameters.
A colorless plate crystal of dimensions 0.211 × 0.102 × 0.040 mm was mounted on a MiteGen MicroMesh using a small amount of Cargille Immersion Oil. Data were collected on a Bruker three-circle platform diffractometer equipped with a PHOTON II CPAD detector. The crystals were irradiated using a 1 μs microfocus CuKα source (λ = 1.54178) with Montel optics. Data were collected at room temperature (20 °C).
Data collection was performed and the unit cell was initially refined using the software APEX3 (v2015.52, Madison, WI, USA). Data reduction was performed using software SAINT (v8.34A, Madison, WI, USA) and XPREP (v2014/2, Madison, WI, USA). Corrections were applied for Lorentz, polarization, and absorption effects using the software SADABS (v2014/2, Madison, WI, USA). The structure was solved and refined with the aid of the program SHELXL-2014/7 (Madison, WI, USA). The full-matrix least-squares refinement on F2 included atomic coordinates and anisotropic thermal parameters for all non-H atoms. Hydrogen atoms were located from the difference electron-density maps and added using a riding model.
Crystal data and atomic coordinates can be found in the Supplementary Materials.

4. Conclusions

Enantiopure stereoisomers of N-substituted ortho-C oxide-bridged phenylmorphans, were synthesized. (3R,6aS,11aS)-10-Methoxy-1,3,4,5,6,11a-hexahydro-2H-3,6a-methano-benzofuro[2,3-c]azocine (+)-6 and its enantiomer, (3S, 6aR, 11aR)-(-)-6, respectively, were the common intermediates, and the absolute configuration of the R)-(-)-p-methylmandelate salt of (3S, 6aR, 11aR)-(-)-6 was determined by single-crystal X-ray analysis. The enantiomeric secondary amines were reacted with N-(2-phenylcyclopropyl)methyl derivatives, the 2-(E)-cinnamyl bromide, (Z)-3-phenylacrylic acid. These products led to all of the desired N-derivatives of the ortho-C oxide-bridged phenylmorphans. Of these 14 compounds, three were found to have MOR binding affinity <50 nM. In comparison with the MOR affinity of the N-phenethyl ortho-C oxide-bridged phenylmorphan (-)-1, the N-propyl isomer (-)-25 had 20-fold less affinity at MOR. Both were partial agonists with little efficacy in the cAMP assay. One compound, (+)17, the (3S,6aR,11aR)-2-(((1S,2S)-2-phenylcyclopropyl)methyl)-1,3,4,5,6,11a-hexahydro-2H-3,6a-methanobenzofuro[2,3-c]azocin-10-ol isomer was a little more potent than naltrexone at MOR as an antagonist. Pharmacokinetic analysis, however, indicated that it had inhibitory effects on P450 isozymes that may cause potential drug–drug interactions. Further structural modification of (+)-17 might eliminate those interactions.

Supplementary Materials

The following are available at https://www.mdpi.com/article/10.3390/molecules27248808/s1, 1H and 13C-NMR spectra of novel compounds, Tables S1–S7: X-ray crystal data for (-)-6.

Author Contributions

Conceptualization, F.L., A.E.J. and K.C.R.; data curation, J.L.K., D.L. and G.H.I.; formal analysis, T.E.P.; funding acquisition, J.L.K., T.E.P., G.H.I., J.R.D. and K.C.R.; investigation, F.L., T.A.K., D.L., G.H.I. and J.R.D.; methodology, F.L., T.A.K., D.L., T.E.P., J.R.D. and K.C.R.; project administration, G.H.I. and K.C.R.; resources, K.C.R.; supervision, J.L.K., T.E.P. and A.E.J.; writing—original draft, A.E.J.; writing—review and editing, J.L.K. and D.L. All authors have read and agreed to the published version of the manuscript.

Funding

The work of F.L., A.E.J. and K.C.R. was supported by the NIH Intramural Research Programs of the National Institute on Drug Abuse and the National Institute of Alcohol Abuse and Alcoholism. The work of T.A.K. and J.L.K. was supported by the NIH Intramural Research Programs of the National Institute on Drug Abuse. This work was supported in part by NIDA grant DA051377 (to T.E.P.) and the Kentucky Medical Services Foundation Endowed Chair in Pharmacy (T.E.P.). The X-ray crystallographic work was supported by NIDA, NIH, and DHHS, through an Interagency Agreement #Y1-DA1101 with the Naval Research Laboratory (NRL). G.H.I. thanks the Office of Naval Research (Award No. N00014-15-WX-0-0149).

Data Availability Statement

The publicly available Cambridge Structural Database was used to store the crystal structure for compound (-)-6.

Acknowledgments

We thank John Lloyd (Mass Spectrometry Facility, NIDDK) for the mass spectral data.

Conflicts of Interest

The authors declare no conflict of interest.

Abbreviations

MOR: mu-opioid receptor; DOR, delta-opioid receptor; KOR, kappa-opioid receptor; cAMP, cyclic adenosine monophosphate; DAMGO, [D-Ala2; N-Me-Phe4; Gly5-ol]-enkephalin.

References

  1. Machelska, H.; Celik, M.Ö. Advances in Achieving Opioid Analgesia without Side Effects. Front. Pharmacol. 2018, 9, 1388. [Google Scholar] [CrossRef] [PubMed]
  2. Günther, T.; Dasgupta, P.; Mann, A.; Miess, E.; Kliewer, A.; Fritzwanker, S.; Steinborn, R.; Schulz, S. Targeting multiple opioid receptors—Improved analgesics with reduced side effects? Br. J. Pharmacol. 2018, 175, 2857–2868. [Google Scholar] [CrossRef] [PubMed]
  3. Azevedo Neto, J.; Costanzini, A.; De Giorgio, R.; Lambert, D.G.; Ruzza, C.; Calò, G. Biased versus Partial Agonism in the Search for Safer Opioid Analgesics. Molecules 2020, 25, 3870. [Google Scholar] [CrossRef] [PubMed]
  4. Stahl, E.L.; Bohn, L.M. Low Intrinsic Efficacy Alone Cannot Explain the Improved Side Effect Profiles of New Opioid Agonists. Biochemistry 2022, 61, 1923–1935. [Google Scholar] [CrossRef] [PubMed]
  5. Burke, T.R., Jr.; Jacobson, A.E.; Rice, K.C.; Weissman, B.A.; Silverton, J.V. Probes for narcotic receptor mediated phenomena 3. Oxide bridged 5-phenylmorphans. In Problems of Drug Dependence 1983; Harris, L.S., Ed.; National Institute on Drug Abuse Research Monograph 49; DHHS ((ADM) 84-1316): Washington, DC, USA, 1984; Volume 49, pp. 109–113. [Google Scholar]
  6. Yamada, K.; Flippen-Anderson, J.L.; Jacobson, A.E.; Rice, K.C. Probes for Narcotic Receptor Mediated Phenomena; 29: Synthesis of rac-(4R,6aR,11bR)-3-Methyl 2,3,4,5,6,6a hexahydro-1H 4,11b-methanobenzofuro[3,2-d]azocin-10-ol, the para-a Oxide-bridged Phenylmorphan Isomer, and a New Route to rac-(4R,6aR,11bR)-3-Methyl-2,3,4,5,6,6a-hexahydro-1H-4,11b-methanobenzofuro[3,2-d]azocin-8-ol, the ortho-a oxide-bridged phenylmorphan isomer. Synth.-Stuttg. 2002, 2002, 2359–2364. [Google Scholar]
  7. Kurimura, M.; Liu, H.; Sulima, A.; Przybyl, A.K.; Ohshima, E.; Kodato, S.; Deschamps, J.R.; Dersch, C.; Rothman, R.B.; Lee, Y.S.; et al. Probes for narcotic receptor mediated phenomena. 37. Synthesis and opioid binding affinity of the final pair of oxide-bridged phenylmorphans, the ortho- and para-b isomers and their N-phenethyl analogues, and the synthesis of the N-phenethyl analogues of the ortho- and para-d isomers. J. Med. Chem. 2008, 51, 7866–7881. [Google Scholar] [PubMed]
  8. Tadic, D.; Linders, J.T.M.; Flippen-Anderson, J.L.; Jacobson, A.E.; Rice, K.C. Probes for narcotic receptor mediated phenomena. Part 31: Synthesis of rac-(3R,6aS,11aS)-2-methyl-1,3,4,5,6,11a-hexahydro-2H-3,6a-methanobenzofuro[2,3-c]azocine-10-ol, and azocine-8-ol, the ortho-c and the para-c oxide-bridged phenylmorphan isomers. Tetrahedron 2003, 59, 4603–4614. [Google Scholar] [CrossRef]
  9. Burke, T.R., Jr.; Jacobson, A.E.; Rice, K.C.; Weissman, B.A.; Huang, H.C.; Silverton, J.V. Probes for narcotic receptor mediated phenomena. 9. Synthesis of (±)-(3α,6aα,11aβ)-1,3,4,5,6,11a-hexahydro-2-methyl-2H-3,6a-methanobenzofuro[2,3-c]azocin-10-ol, an oxide-bridged 5-(m-hydroxyphenyl)morphan. J. Med. Chem. 1986, 29, 748–751. [Google Scholar] [CrossRef] [PubMed]
  10. Linders, J.T.M.; Mirsadeghi, S.; Flippen-Anderson, J.L.; George, C.; Jacobson, A.E.; Rice, K.C. Probes for narcotic receptor mediated phenomena. Part 30. Synthesis of rac-(3R,6aS,11aR)-2-methyl-1,3,4,5,6,11a-hexahydro-2H-3,6a-methanobenzofuro[2,3-c]azocin-8-ol, an epoxy isomer of 5-phenylmorphan. Helv. Chim. Acta 2003, 86, 484–493. [Google Scholar] [CrossRef]
  11. Zezula, J.; Singer, L.B.; Przybyl, A.K.; Hashimoto, A.; Dersch, C.M.; Rothman, R.B.; Deschamps, J.; Lee, Y.S.; Jacobson, A.E.; Rice, K.C. Synthesis and pharmacological effects of the enantiomers of the N-phenethyl analogues of the ortho and para e- and f-oxide-bridged phenylmorphans. Org. Biomol. Chem. 2008, 6, 2868–2883. [Google Scholar] [CrossRef] [PubMed]
  12. Hashimoto, A.; Przybyl, A.K.; Linders, J.T.M.; Kodato, S.; Tian, X.R.; Deschamps, J.R.; George, C.; Flippen-Anderson, J.L.; Jacobson, A.E.; Rice, K.C. Probes for narcotic receptor-mediated phenomena. 33. Construction of a strained trans-5,6-ring system by displacement of a nitro-activated aromatic fluorine. Synthesis of the penultimate oxide-bridged phenylmorphans. J. Org. Chem. 2004, 69, 5322–5327. [Google Scholar] [CrossRef] [PubMed]
  13. Kodato, S.; Linders, J.T.M.; Gu, X.-H.; Yamada, K.; Flippen-Anderson, J.L.; Deschamps, J.R.; Jacobson, A.E.; Rice, K.C. Synthesis of rac-(1R,4aR,9aR)-2-methyl-1,3,4,9a-tetrahydro-2H-1,4a-propanobenzofuro[2.3-c]pyridin-6-ol. An Unusual Double Rearrangement Leading to the ortho- and para–f Oxide-Bridged Phenylmorphan Isomers. Org. Biomolec. Chem. 2004, 2, 330–336. [Google Scholar] [CrossRef] [PubMed]
  14. Kim, J.H.; Deschamps, J.R.; Rothman, R.B.; Dersch, C.M.; Folk, J.E.; Cheng, K.; Jacobson, A.E.; Rice, K.C. Probes for narcotic receptor mediated phenomena. Part 42: Synthesis and in vitro pharmacological characterization of the N-methyl and N-phenethyl analogues of the racemic ortho-c and para-c oxide-bridged phenylmorphans. Bioorg. Med. Chem. 2011, 19, 3434–3443. [Google Scholar] [CrossRef] [PubMed]
  15. Cheng, K.; Kim, I.J.; Lee, M.J.; Adah, S.A.; Raymond, T.J.; Bilsky, E.J.; Aceto, M.D.; May, E.L.; Harris, L.S.; Coop, A.; et al. Opioid Ligands with Mixed Properties from Substituted Enantiomeric N-Phenethyl-5-phenylmorphans. Synthesis of a μ-Agonist δ-Antagonist and δ-Inverse Agonists. Org. Biomolec. Chem. 2007, 5, 1177–1190. [Google Scholar] [CrossRef] [PubMed]
  16. Cheng, K.; Lee, Y.S.; Rothman, R.B.; Dersch, C.M.; Bittman, R.W.; Jacobson, A.E.; Rice, K.C. Probes for Narcotic Receptor Mediated Phenomena. 41. Unusual Inverse μ-Agonists and Potent μ-Opioid Antagonists by Modification of the N-Substituent in Enantiomeric 5-(3-Hydroxyphenyl)morphans. J. Med. Chem. 2011, 54, 957–969. [Google Scholar] [CrossRef] [PubMed]
  17. Hedrick, S.L.; Luo, D.; Kaska, S.; Niloy, K.K.; Jackson, K.; Sarma, R.; Horn, J.; Baynard, C.; Leggas, M.; Eduardo, R.; et al. Design, synthesis, and preliminary evaluation of a potential synthetic opioid rescue agent. J. Biomed. Sci. 2021, 28, 62. [Google Scholar] [CrossRef] [PubMed]
  18. Crowley, R.S.; Riley, A.P.; Alder, A.F.; Anderson, R.J.; Luo, D.; Kaska, S.; Maynez, P.; Kivell, B.M.; Prisinzano, T.E. Synthetic Studies of Neoclerodane Diterpenes from Salvia divinorum: Design, Synthesis, and Evaluation of Analogues with Improved Potency and G-protein Activation Bias at the μ-Opioid Receptor. ACS Chemical. Neurosci. 2020, 11, 1781–1790. [Google Scholar] [CrossRef] [PubMed]
  19. Riley, A.P.; Groer, C.E.; Young, D.; Ewald, A.W.; Kivell, B.M.; Prisinzano, T.E. Synthesis and κ-Opioid Receptor Activity of Furan-Substituted Salvinorin A Analogues. J. Med. Chem. 2014, 57, 10464–10475. [Google Scholar] [CrossRef] [PubMed]
Figure 1. Structures of N-substituted ortho- and para-a through f oxide-bridged phenylmorphans and selected ortho-c oxide-bridged phenylmorphan and 5-phenylmorphan ligands.
Figure 1. Structures of N-substituted ortho- and para-a through f oxide-bridged phenylmorphans and selected ortho-c oxide-bridged phenylmorphan and 5-phenylmorphan ligands.
Molecules 27 08808 g001
Scheme 1. Synthesis and optical resolution of (3R*,6aS*,11aS*)-10-methoxy-1,3,4,5,6,11a-hexahydro-2H-3,6a-methanobenzo-furo[2,3-c]azocine (±)-6. Reagents and conditions: (i) MeI, K2CO3, DMF, rt, overnight, 87.7%; (ii) H2, 5% Pd/C, 50 °C, MeO/AcOH (10:1, v/v), overnight, 92.9%.
Scheme 1. Synthesis and optical resolution of (3R*,6aS*,11aS*)-10-methoxy-1,3,4,5,6,11a-hexahydro-2H-3,6a-methanobenzo-furo[2,3-c]azocine (±)-6. Reagents and conditions: (i) MeI, K2CO3, DMF, rt, overnight, 87.7%; (ii) H2, 5% Pd/C, 50 °C, MeO/AcOH (10:1, v/v), overnight, 92.9%.
Molecules 27 08808 sch001
Figure 2. X-ray crystal structure of the (R)-(-)-p-methylmandelate of (3S,6aR,11aR)-(-)-10-methoxy-1,3,4,5,6,11a-hexahydro-2H-3,6a-methano-benzofuro[2,3-c]azocine (-)-6. The ellipsoids are shown at the 50% probability level. Crystal data and atomic coordinates can be found in the Supplementary Materials.
Figure 2. X-ray crystal structure of the (R)-(-)-p-methylmandelate of (3S,6aR,11aR)-(-)-10-methoxy-1,3,4,5,6,11a-hexahydro-2H-3,6a-methano-benzofuro[2,3-c]azocine (-)-6. The ellipsoids are shown at the 50% probability level. Crystal data and atomic coordinates can be found in the Supplementary Materials.
Molecules 27 08808 g002
Scheme 2. Synthesis of (3S,6aR,11aR)-2-phenethyl-1,3,4,5,6,11a-hexahydro-2H-3,6a-methanobenzofuro[2,3-c]azocin-10-ol ((-)-1). Reagents and conditions: (i): PhCH2CH2Br, K2CO3, CH3CN, 80 °C, overnight, 84.9%; (ii): BBr3, CHCl3, −78 °C to rt, 1 h, 87.1%.
Scheme 2. Synthesis of (3S,6aR,11aR)-2-phenethyl-1,3,4,5,6,11a-hexahydro-2H-3,6a-methanobenzofuro[2,3-c]azocin-10-ol ((-)-1). Reagents and conditions: (i): PhCH2CH2Br, K2CO3, CH3CN, 80 °C, overnight, 84.9%; (ii): BBr3, CHCl3, −78 °C to rt, 1 h, 87.1%.
Molecules 27 08808 sch002
Scheme 3. Synthesis of the N-(2-phenylcyclopropyl)methyl enantiomers of (+)- and (-)-1,3,4,5,6,11a-hexahydro-2H-3,6a-methano-benzofuro[2,3-c]azocin-10-ol ((+)- and (-)-14 through 17). Reagents and conditions: (i) corresponding enantiomeric carboxylic acid, TBTU, Et3N, CHCl3, rt, 1 h; (ii) LiAlH4, THF, reflux, 3 h; (iii) BBr3, CHCl3, −78 °C to rt, 1 h.
Scheme 3. Synthesis of the N-(2-phenylcyclopropyl)methyl enantiomers of (+)- and (-)-1,3,4,5,6,11a-hexahydro-2H-3,6a-methano-benzofuro[2,3-c]azocin-10-ol ((+)- and (-)-14 through 17). Reagents and conditions: (i) corresponding enantiomeric carboxylic acid, TBTU, Et3N, CHCl3, rt, 1 h; (ii) LiAlH4, THF, reflux, 3 h; (iii) BBr3, CHCl3, −78 °C to rt, 1 h.
Molecules 27 08808 sch003
Scheme 4. Synthesis of (E)-cinnamyl enantiomers of (+)- and (-)-1,3,4,5,6,11a-hexahydro-2H-3,6a-methano-benzofuro[2,3-c]azocin-10-ol ((+)- and (-)-21). Reagents and conditions: (i) 2-(E)-cinnamyl bromide, K2CO3, DMF, rt, overnight; (ii) BBr3, CHCl3, −78 °C to rt, 1 h.
Scheme 4. Synthesis of (E)-cinnamyl enantiomers of (+)- and (-)-1,3,4,5,6,11a-hexahydro-2H-3,6a-methano-benzofuro[2,3-c]azocin-10-ol ((+)- and (-)-21). Reagents and conditions: (i) 2-(E)-cinnamyl bromide, K2CO3, DMF, rt, overnight; (ii) BBr3, CHCl3, −78 °C to rt, 1 h.
Molecules 27 08808 sch004
Scheme 5. Synthesis of 2-(Z)-3-phenylallyl enantiomers of (+)- and (-)-1,3,4,5,6,11a-hexahydro-2H-3,6a-methano-benzofuro[2,3-c]azocin-10-ol ((+)- and (-)-24). Reagents and conditions: (i) (Z)-3-phenylacrylic acid, TBTU, CHCl3, rt, 3 h; (ii) BBr3, CHCl3, −78 °C to rt, 1 h; (iii) LiAlH4 or Red-Al, THF, 0 °C to reflux.
Scheme 5. Synthesis of 2-(Z)-3-phenylallyl enantiomers of (+)- and (-)-1,3,4,5,6,11a-hexahydro-2H-3,6a-methano-benzofuro[2,3-c]azocin-10-ol ((+)- and (-)-24). Reagents and conditions: (i) (Z)-3-phenylacrylic acid, TBTU, CHCl3, rt, 3 h; (ii) BBr3, CHCl3, −78 °C to rt, 1 h; (iii) LiAlH4 or Red-Al, THF, 0 °C to reflux.
Molecules 27 08808 sch005
Scheme 6. Synthesis of enantiomers of (+)- and (-)-2-(3-phenylpropyl)-1,3,4,5,6,11a-hexahydro-2H-3,6a-methanobenzofuro[2,3-c]azocin-10-ol ((+)- and (-)-25). Reagents and conditions: (i) H2 (balloon), 5% Pd/C, MeOH, rt, overnight.
Scheme 6. Synthesis of enantiomers of (+)- and (-)-2-(3-phenylpropyl)-1,3,4,5,6,11a-hexahydro-2H-3,6a-methanobenzofuro[2,3-c]azocin-10-ol ((+)- and (-)-25). Reagents and conditions: (i) H2 (balloon), 5% Pd/C, MeOH, rt, overnight.
Molecules 27 08808 sch006
Table 1. Opioid receptor binding data for the enantiomeric ortho-C-phenylmorphans.
Table 1. Opioid receptor binding data for the enantiomeric ortho-C-phenylmorphans.
Receptor Binding (Ki ± SEM, nM) a
StructureMOR BindingDOR BindingKOR Binding
(-) FL 3-134
(-)-1
Molecules 27 08808 i0011.11 ± 0.1534.8 ± 4.413.0 ± 1.2
(+)-FL-3-137
(+)-16
Molecules 27 08808 i002NTNTNT
(-) FL 3-147
(-)-16
Molecules 27 08808 i003109 ± 5.5NTNT
(+) FL 3-138
(+)-17
Molecules 27 08808 i00411.9 ± 1.6 49.4 ± 5.1100 ± 10
(-)-FL-3-146
(-)-17
Molecules 27 08808 i005NTNTNT
(+)-FL-3-162
(+)-18
Molecules 27 08808 i006NTNTNT
(-) FL 3-169
(-)-18
Molecules 27 08808 i00741.8 ± 4.489.0 ± 13.4109 ± 16
(+) FL 3-163
(+)-19
Molecules 27 08808 i00852.4 ± 5.1NT67.3 ± 7.9
(-)-FL-3-166
(-)-19
Molecules 27 08808 i009NTNTNT
(+)-FL-3-174
(+)-21
Molecules 27 08808 i010NTNTNT
(-)-FL-3-172
(-)-21
Molecules 27 08808 i011NTNTNT
(+)-FL 3-178
(+)-24
Molecules 27 08808 i01289.3 ± 5.3NTNT
(-)-FL-3-153
(-)-24
Molecules 27 08808 i013NTNTNT
(+)-FL-3-181
(+)-25
Molecules 27 08808 i014NTNTNT
(-)-FL-3-182
(-)-25
Molecules 27 08808 i01521.8 ± 1.369.9 ± 9.5135 ± 10
a Binding assays were typically conducted in at least three independent experiments, each performed with triplicate observations using whole rat brains excluding cerebellum; Ki ± SEM (nM); NT = not tested—inactive (<50% activity at 100 nM concentration in exploratory binding assays (displaced less than half of radioligand). Compounds with low binding affinity (>50 nM) were not further examined in functional assays).
Table 2. Opioid receptor activity measured in the forskolin-induced cAMP accumulation assay a.
Table 2. Opioid receptor activity measured in the forskolin-induced cAMP accumulation assay a.
MORDORKOR
AgonistAntagonist bAgonistAntagonist cAgonistAntagonist d
NameStructureEC50 ± SEM (nM) (%Emax ± SEM)IC50 ± SEM (nM) (%Imax ± SEM)EC50 ± SEM (nM) (%Emax ± SEM)IC50 ± SEM (nM) (%Imax ± SEM)EC50 ± SEM (nM) (%Emax ± SEM)IC50 ± SEM (nM) (%Imax ± SEM)
(-)-FL 3-134
(-)-1
Molecules 27 08808 i0162.66 ± 0.47
(35.0 ± 5.8%)
4.67 ± 1.03
(66.9 ± 6.7%)
>10,000408.83 ± 138.24
(86.5 ± 6.4%)
>10,000102.03 ± 65.82
(109.3 ± 8.1%)
(+)-FL 3-138
(+)-17
Molecules 27 08808 i017>10,0006.92 ± 1.47
(153.4 ± 19.2%)
>10,000487.28 ± 157.43
(160.9 ± 4.0%)
>10,000206.20 ± 63.16
(106.1 ± 5.5%)
(-)-FL-3-182
(-)-25
Molecules 27 08808 i01821.62 ± 12.41
(22.5 ± 2.1%)
159.70 ± 65.87
(92.4 ± 0.3%)
>10,000>10,000>10,0001275.29 ± 340.44
(105.9 ± 4.6%)
Naltrexone2.14 ± 1.2
(29.6 ± 6.4%)
10.8 ± 1.0
(103.5 ± 0.6%)
>10,000295.1 ± 47.5
(99.4 ± 1.1%)
0.64 ± 0.32
(56.5 ± 7.2%)
5.53 ± 1.02
(41.3 ± 6.8%)
Morphine6.28 ± 0.43
(102.1 ± 0.2%)
a Inhibition of forskolin-induced cAMP accumulation; cAMP HunterTM Chinese hamster ovary cells (CHO-K1) that express human μ-opioid receptor (OPRM1), human κ-opioid receptor (OPRK1), and human δ-opioid receptor (OPRD1) were used for the forskolin-induced cAMP accumulation assay to determine potency and efficacy of the compounds following the previously established methods [17]. To determine % efficacy in forskolin-induced cAMP assays, data were blank subtracted with the vehicle control, followed by normalization to the forskolin control. Data were then analyzed in GraphPad Prism 8 (GraphPad, LaJolla, CA, USA) using nonlinear regression; values are expressed as the mean ± SEM of at least three independent experiments; b MOR antagonist potency (IC50) determined versus EC90 of fentanyl; degree of antagonism (Imax) normalized to naltrexone. c DOR antagonist potency (IC50) determined versus EC50 of SNC80; degree of antagonism (Imax) normalized to naltrexone. d KOR antagonist potency (IC50) determined versus EC90 of U50488H; degree of antagonism (Imax) normalized to nor-BNI.
Table 3. Effect of test compounds at 10 µM on P450 inhibition.
Table 3. Effect of test compounds at 10 µM on P450 inhibition.
Compound1A22C92C192D63A
%Inhibition%Inhibition%Inhibition%Inhibition%Inhibition
(+)-17
(+)-FL-3-138
6.8 36.6 46.6 66.8 24.7
Naltrexone1.0 0.0 0.0 36.7 0.0
Naloxone2.0 0.0 0.0 17.9 1.4
α-Naphthoflavone88.3
Sulfaphenazole 85.2
(+)-N-3-benzylnirvanol 83.4
Quinidine 94.2
Ketoconazole 98.8
Table 4. Microsomal metabolic stability study of test compounds with human and mouse liver microsomes.
Table 4. Microsomal metabolic stability study of test compounds with human and mouse liver microsomes.
CompoundHLM 0.5
R2 aT1/2 b
(min)
CLint(mic)
(μL/min/mg) c
CLint(liver)
(mL/min/kg) d
Remaining
(T = 60 min)
Remaining
(NCF = 60 min) e
(+)-17
(+)-FL-3-138
0.9976 20.1 68.9 62.0 13.0%98.5%
Naltrexone0.0812 >145<9.6<8.697.1%99.8%
Naloxone0.6305 >145<9.6<8.678.4%107.6%
Testosterone0.8887 12.9 107.1 96.4 3.9%86.7%
Diclofenac0.9986 7.7 180.4 162.4 0.4%95.1%
Propafenone0.9447 6.0 230.4 207.4 0.1%95.8%
CompoundMLM 0.5
R2 aT1/2 b
(min)
CLint(mic)
(μL/min/mg) c
CLint(liver)
(mL/min/kg) d
Remaining
(T = 60 min)
Remaining
(NCF = 60 min) e
(+)-17
(+)-FL-3-138
0.9456 6.9 202.2 800.8 0.2%94.4%
Naltrexone0.9970 57.4 24.1 95.5 48.1%84.3%
Naloxone0.9939 14.4 96.4 381.6 5.2%112.5%
Testosterone0.9989 3.2 435.2 1723.4 0.0%97.1%
Diclofenac0.9801 39.2 35.4 140.0 33.5%99.4%
Propafenone1.0000 1.8 788.6 3122.8 0.0%105.6%
a R2: correlation coefficient of the linear regression for the determination of kinetic constant. b T1/2: half-life. c CLint(mic): intrinsic clearance, CLint(mic) = 0.693/T1/2/mg microsome protein per mL. d CLint(liver) = CLint(mic) × mg microsomal protein/g liver weight× g liver weight/kg body weight. e NCF: no co-factor. No NADPH is added to NCF samples (replaced by buffer) during the 60-min incubation. If the NCF remaining is less than 60%, then possibly non-NADPH-dependent metabolism occurs.
Publisher’s Note: MDPI stays neutral with regard to jurisdictional claims in published maps and institutional affiliations.

Share and Cite

MDPI and ACS Style

Li, F.; Kopajtic, T.A.; Katz, J.L.; Luo, D.; Prisinzano, T.E.; Imler, G.H.; Deschamps, J.R.; Jacobson, A.E.; Rice, K.C. Synthesis and Pharmacological Evaluation of Enantiopure N-Substituted Ortho-c Oxide-Bridged 5-Phenylmorphans. Molecules 2022, 27, 8808. https://doi.org/10.3390/molecules27248808

AMA Style

Li F, Kopajtic TA, Katz JL, Luo D, Prisinzano TE, Imler GH, Deschamps JR, Jacobson AE, Rice KC. Synthesis and Pharmacological Evaluation of Enantiopure N-Substituted Ortho-c Oxide-Bridged 5-Phenylmorphans. Molecules. 2022; 27(24):8808. https://doi.org/10.3390/molecules27248808

Chicago/Turabian Style

Li, Fuying, Theresa A. Kopajtic, Jonathan L. Katz, Dan Luo, Thomas E. Prisinzano, Gregory H. Imler, Jeffrey R. Deschamps, Arthur E. Jacobson, and Kenner C. Rice. 2022. "Synthesis and Pharmacological Evaluation of Enantiopure N-Substituted Ortho-c Oxide-Bridged 5-Phenylmorphans" Molecules 27, no. 24: 8808. https://doi.org/10.3390/molecules27248808

APA Style

Li, F., Kopajtic, T. A., Katz, J. L., Luo, D., Prisinzano, T. E., Imler, G. H., Deschamps, J. R., Jacobson, A. E., & Rice, K. C. (2022). Synthesis and Pharmacological Evaluation of Enantiopure N-Substituted Ortho-c Oxide-Bridged 5-Phenylmorphans. Molecules, 27(24), 8808. https://doi.org/10.3390/molecules27248808

Article Metrics

Back to TopTop