Abstract
A general approach towards the synthesis of tetrahydro-4H-pyrazolo[1,5-a][1,4]diazepin-4-one, tetrahydro[1,4]diazepino[1,2-a]indol-1-one and tetrahydro-1H-benzo[4,5]imidazo[1,2-a][1,4]diazepin-1-one derivatives was introduced. A regioselective strategy was developed for synthesizing ethyl 1-(oxiran-2-ylmethyl)-1H-pyrazole-5-carboxylates from easily accessible 3(5)-aryl- or methyl-1H-pyrazole-5(3)-carboxylates. Obtained intermediates were further treated with amines resulting in oxirane ring-opening and direct cyclisation—yielding target pyrazolo[1,5-a][1,4]diazepin-4-ones. A straightforward two-step synthetic approach was applied to expand the current study and successfully functionalize ethyl 1H-indole- and ethyl 1H-benzo[d]imidazole-2-carboxylates. The structures of fused heterocyclic compounds were confirmed by 1H, 13C, and 15N-NMR spectroscopy and HRMS investigation.
1. Introduction
Nitrogen-based heterocyclic compounds are integrated into everyday life, including pharmaceuticals [1,2,3], agrochemicals [4,5], various plastics [6,7], dyes [8,9], and other functional materials [10,11,12,13]. When it comes to drug discovery, the development of effective and inexpensive active ingredients is one of the main goals of researchers in the field of medicinal chemistry. Over the years, great attention has been paid to fused heterocyclic derivatives, which are versatile molecules, exhibiting a wide variety of biological properties including antioxidant, antimicrobial, antiproliferative and other activities [14,15,16,17]. For example, fused pyrano[2,3-c]pyrazole derivatives I were designed, synthesized and have been identified as prospective COX-2 inhibitors (Figure 1) [18]. A more recent study by Wang et al. encompasses a discovery of novel pyrrolo[3,4-c]pyrazol-3-carboxamides, where lead compound II exhibited potent inhibition towards H+/K+-ATPase and in vivo histamine-stimulated gastric acid secretion [19]. In the field of indole-based chemistry, Feng et al. reported 9H-pyrimido[4,5-b]indol-4-amines III as promising non-toxic hematopoietic stem cells ex vivo expansion agents [20]. In the study of Purgatorio and co-workers, azepino[4,3-b]indole IV was found to be a useful and versatile scaffold for developing new small molecules inhibiting BChE, which is a promising drug target in severe Alzheimer’s disease [21]. Fused systems with two 1,4-distanced nitrogen atoms encompass a variety of biological activities. For instance, Conde-Ceide et al. reported series of 6,7-dihydropyrazolo[1,5-a]pyrazin-4-one derivatives, such as V, as mGlu5 receptor-positive allosteric modulators with efficacy in preclinical models of schizophrenia [22], whereas 2,3-dihydropyrazino[1,2-a]indole-1,4-dione derivatives VI were reported to act as dual EGFR/BRAFV600E inhibitors [23]. Among a variety of condensed systems, fusion of diazepine with selected heterocycles is important as it represents the most significant class of compounds in terms of clinical use [24]. Another notable example includes 5,6,7,8-tetrahydro-4H-pyrazolo[1,5-a][1,4]diazepine-2-carboxamide VII as a non-nucleoside inhibitor of the respiratory syncytial virus (RSV) polymerase complex [25] (Figure 1).
Figure 1.
Biologically relevant fused heterocyclic derivatives.
Combining the azaheterocycle scaffold into one structure with the diazepinone motif has been shown to result in biologically active compounds. However, to date examples of biologically active pyrazole-, pyrrole-, indole- and benzo[d]imidazole-fused diazepinone derivatives are limited. For example, tricyclic indole-diazepinones VIII inhibit induced myeloid leukaemia cell differentiation protein (Mcl-1) [26,27]. Chiral ferrocenylpyrazolo[1,5-a][1,4]diazepin-4-one IX was reported to suppress the growth of A549 lung cancer cells through cell cycle arrest, and H322 together with H1299 lung cancer cells by inducing apoptosis [28]. On the other hand, pyrrole or indole-fused diazepinones X–XII demonstrated inhibitory activity of various kinases, namely, extracellular signal-regulated kinase 2 (ERK2) [29], ribosomal S6 kinase (RSK) [30,31], cyclin-dependent kinase 1 (CDK1), and cyclin-dependent kinase 5 (CDK5) [32]. The abovementioned fused systems are not very widely investigated; therefore, it may be a promising entry in the field of synthetic and medicinal chemistry.
In our previous studies, we investigated the synthesis and biological activity of various annulated pyrazole systems such as substituted 2H-pyrazolo[4,3-c]pyridines [33,34,35], benzopyrano[2,3-c]pyrazol-4(2H)-ones [36], 2H-furo[2,3-c]pyrazole ring systems [37], and others. In continuation of our previous research on fused heterocycles, herein we report an efficient two-step synthesis of tetrahydro-4H-pyrazolo[1,5-a][1,4]diazepin-4-ones, tetrahydro[1,4]diazepino[1,2-a]indol-1-ones and tetrahydro-1H-benzo[4,5]imidazo[1,2-a][1,4]-diazepin-1-ones.
2. Results and Discussion
It is known that NH-pyrazoles usually exhibit annular N,N-prototropy [38,39]. N-Alkylation of asymmetrically ring-substituted 1H-pyrazoles generally results in the formation of a mixture of regioisomeric N-substituted products [40,41,42,43] and therefore regioselective N-alkylation requires optimization of reaction conditions [44]. Wright et al. has reported that alkylation of ethyl 1H-pyrazole-3(5)-carboxylate in the presence of K2CO3 was found to favor the formation of ethyl 1-substituted pyrazole-3-carboxylates while the formation of 1-substituted-1H-pyrazole-5-carboxylates could be sterically redirected by alkylating ethyl 3-(triphenylsilyl)-1H-pyrazole-5-carboxylate and removing the triphenylsilyl group with Bu4NF [45]. In another study implemented by Xu et al., regioselective N-alkylation of NH-pyrazoles was accessed by using MgBr2 and i-Pr2NEt or K2CO3 and leading to the formation of different regioisomers [46,47].
In this work, the formation of the desired 1-(oxiran-2-ylmethyl)-3-aryl-1H-pyrazole-5-carboxylates by alkylation of easily accessible NH-pyrazoles [48] with 2-(chloromethyl)oxirane was optimized using 1a as a model compound. As shown in Table 1, reaction outcome is highly dependent on the choice of the base and the solvent. First, application of different bases in solvent-free conditions was investigated. When ethyl 3-phenyl-1H-pyrazole-5-carboxylate 1a was treated with 2-(chloromethyl)oxirane in the presence of K2CO3 at 70 °C (Entry 1) [49], a full conversion of 1a was only achieved after 16 h affording regioisomer 2a in 24% yield. Reaction using Cs2CO3 as a base at lower temperature (Entry 2) [50] proceeded giving isomers 2a and 3a in 3:2 ratio. Interestingly, when reaction was conducted using NaH (Entry 3), it proved to proceed in high regioselectivity. However, as the major product the undesired 5-phenyl-1H-pyrazole-3-carboxylate 3a was obtained. Reaction with KOH in the presence of a catalytic amount of TBAB [51] also did not provide an increase in the yield of desired regioisomer 2a (Entry 4).
Table 1.
Optimization of reaction conditions to access 2a.
Subsequently, alkylation reaction conditions were investigated in the presence of solvent. To our satisfaction, both Cs2CO3 (Entry 5) [52] and NaH (Entry 6) in DMF [53] provided desired isomer 2a as the major product in high regioselectivity. An attempt to perform reaction in refluxing ACN using Cs2CO3 as a base [54] gave similar results (Entry 7). Interestingly, we noticed that alkylation using NaH proved to be highly regiospecific as the ratio of obtained products was drastically shifted by changing the reaction media. The use of DMF as a solvent in the presence of NaH was selected as the most suitable approach to synthesize ethyl 1-(oxiran-2-ylmethyl)-3-phenyl-1H-pyrazole-5-carboxylates 2a–h as it required overall reduced reaction time and temperature for full conversion of pyrazoles 1a–h (Scheme 1). Although the reactions exhibit high regioselectivity, obtained yields did not exceed 53–61% due to instability of products 2a–e during the purification process.
Scheme 1.
Synthesis of tetrahydro-4H-pyrazolo[1,5-a][1,4]diazepin-4-ones 4a–x via N-alkylation and subsequent cyclisation reactions.
Differentiation between major 2a and minor 3a isomers was implemented based on 1H,13C-HSQC, 1H,1H-NOESY, 1H,13C- and 1H,15N-HMBC experimental data. For example, 1H,13C-HMBC experiment of regioisomer 2a revealed 3-bond correlation between NCH2 protons at δ 4.83 ppm and C-5 of pyrazole ring at δ 134.3 ppm (Figure 2). In the 1H,15N-HMBC spectrum, the same NCH2 protons exhibited 2-bond correlation with N-1 pyrrole-like (δ −173.3 ppm) and 3-bond correlation with N-2 pyridine-like (δ −64.4 ppm) nitrogen atoms. The 1H,1H-NOESY spectrum indicated close-in-space proton interaction between phenyl ring 2′(6′)-protons (δ 7.81 ppm) and pyrazole 4-H proton at δ 7.15 ppm.
Figure 2.
Relevant 1H-13C-HSQC, 1H,13C-HMBC, 1H,1H-NOESY correlations and 1H NMR (red), 13C NMR (italic), 15N NMR (blue) chemical shifts of regioisomers 2a and 3a.
The structure of minor regioisomer 3a was elucidated in a similar manner. The 1H,13C-HMBC spectrum indicated that NCH2 protons correlate with pyrazole C-5 carbon at −146.2 ppm. Unambiguous distinction amongst both regioisomers can be determined using the 1H,1H-NOESY experiment. Close-in-space proton interaction was observed between phenyl ring 2′(6′)-H protons and pyrazole 4-H proton at δ 6.84 ppm, whereas regioisomer 3a additionally exhibited NOEs between aromatic phenyl ring 2′(6′)-protons and NCH2 protons at δ 4.26–4.47 ppm.
According to the synthetic strategy, ethyl 1-(oxiran-2-ylmethyl)-3-aryl-1H-pyrazole-5-carboxylates 2a–h were further used to obtain novel fused pyrazole-diazepinone systems via oxirane ring-opening. Due to high ring-strain, epoxides are prone to undergoing ring-opening reactions upon treatment with various nucleophiles [55] alone, or under the use of transition metal or organocatalysts [56,57,58]. On the other side, small heterocycles are also able to react with diverse electrophiles, affording a variety of functionalized molecules. Unlike the nucleophilic ring-opening reactions, the electrophilic ring-opening of small heterocycles cannot proceed by itself [59]. Methods reported in the literature for the epoxide ring-opening with amines are mainly focused on reactions mediated by a range of catalysts, activators, and promoters, in either solvent or solvent-free media [55,60,61,62,63]. In our study, intermediates 2a–h were treated with various primary amines or ammonia in methanol (Scheme 1). Reaction monitoring indicated that ring closure proceeds rapidly to form a 1,4-diazepinone ring fused to pyrazole as no intermediate or side products have been observed, as opposed to the study reported by Shen et al. [28]. Reactions with primary amines, such as 2-methoxyethyl-, allyl- and benzylamines, afforded pyrazole-diazepinones 4i–x in good to excellent yields (70–98%), while reactions with ammonia gave derivatives 4a–e in substantially lower yields of 34–56%. Interestingly, tetrahydro-4H-pyrazolo[1,5-a][1,4]diazepin-4-ones 4g,h bearing a methyl substituent in either 2- or 3-position as well as 2,3-unsubstituted pyrazole 4f were obtained in higher yields (70–91%) compared to their phenyl-substituted counterparts 4a–e.
A possible pyrazole-fused 1,4-diazepinone formation mechanism involves an amine-induced SN2 ring-opening at the less sterically hindered site of the oxirane ring [64]. Formed primary or secondary amine rapidly reacts with carbonyl carbon of an ester group, resulting in fused intermediate which further undergoes deprotonation and alkoxy group elimination to form final tetrahydro-4H-pyrazolo[1,5-a][1,4]diazepin-4-ones 4a–x.
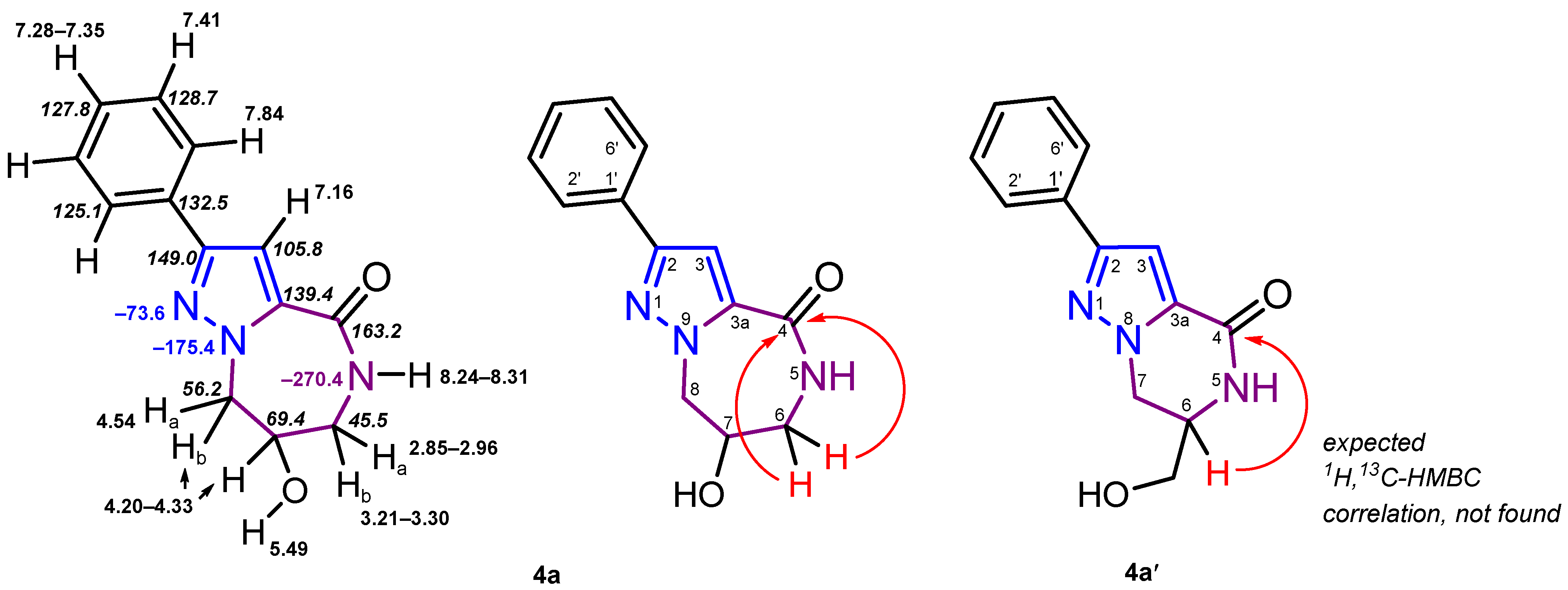
To substantiate the structures of novel compounds, an unambiguous assignment of chemical shifts was carried out by investigating combined NMR spectroscopic data, i.e., 1H,13C-HSQC, 1H,13C-HMBC, 1H,15N-HMBC and 1H,1H-NOESY. In principle, cyclisation of ethyl 1-(oxiran-2-ylmethyl)-1H-pyrazole-5-carboxylate 2a with ammonia could form two different isomers 4a and 4a′ (Figure 3). The 1H,13C-HMBC experiment revealed a three-bond correlation between NH proton at δ 8.24–8.31 ppm and C-3a carbon at δ 139.4 ppm. Moreover, the same NH proton exhibited strong three-bond connectivity with tertiary C-7 carbon at 69.4 ppm. Interactions between C-4 carbon and 3-H at δ 7.16 ppm as well as 6-HaHb protons were observed. Strong three-bond connectivity was observed in the 1H,15N-HMBC spectrum between 7-H proton and pyrrole-like nitrogen atom N-9 at δ −175.4 ppm. In case of putative isomer 4a′, the heteronuclear multiple bond correlations between NH proton and secondary aliphatic carbons should be observed. Furthermore, C-4 carbon would not exhibit three-bond correlation with aliphatic protons connected to a secondary carbon atom.
Figure 3.
Determination of possible isomeric structures 4a and 4a′. Relevant 1H,13C-HMBC correlations and 1H NMR, 13C NMR (italic), 15N NMR (in blue) chemical shifts of compound 4a.
A brief experiment was performed with minor regioisomer 3a in order to investigate if cyclisation reaction is possible when carboxylate and oxirane fragments are distanced via an additional nitrogen atom. Ethyl 1H-pyrazole-3-carboxylate 3a was treated with either ammonia or benzyl amine; however, analysis of LC/MS and NMR data indicated that both reactions resulted in the oxirane ring opening without subsequent cyclisation.
Subsequently, we sought to investigate the reactivity of ethyl 1H-indole-2-carboxylate 5a–e and benzo[d]imidazole-2-carboxylate 5f scaffolds and derive target tetrahydro[1,4]diazepino[1,2-a]indol-1-ones and tetrahydro-1H-benzo[4,5]imidazo[1,2-a][1,4]diazepin-1-one utilizing the same straightforward 2-step approach (Scheme 2). N-Alkylation of 5a with 2-(chloromethyl)oxirane using NaH in DMF at 40 °C provided ethyl 1-(oxiran-2-ylmethyl)-1H-indole-2-carboxylate 6a in 54% yield. To increase the yield of target intermediate, several attempts to optimize reaction conditions were undertaken (Table 2). Unfortunately, neither elevation of reaction temperature, nor change of base or solvent have significant impact on the reaction outcome (Entries 2–5). Finally, the use of KOH base in DMF resulted not only in higher reactivity of starting 1H-indole-2-carboxylate 5a (Entry 5) but also suppressed the formation of side products. Conditions utilizing the KOH-DMF system were applied to obtain ethyl 1-(oxiran-2-ylmethyl)-1H-indole-2-carboxylates 6a–e in 39–75% yields (Scheme 2).
Scheme 2.
Synthesis of 4-hydroxy-2,3,4,5-tetrahydro-1H-[1,4]diazepino[1,2-a]indol-1-ones 7a–f and 4-hydroxy-2,3,4,5-tetrahydro-1H-benzo[4,5]imidazo[1,2-a][1,4]diazepin-1-one 7g via 2-step approach. N-Alkylation conditions: (a) 2-(chloromethyl)oxirane, KOH, DMF, 40 °C, 1 h (for 5a–e); (b) 2-(chloromethyl)oxirane, NaH, DMF, 60 °C, 4 h (for 5f).
Table 2.
Optimization of reaction conditions between 5a and 2-(chloromethyl)oxirane.
Interestingly, in the case benzo[d]imidazole-2-carboxylate 5f, optimized conditions using KOH were not efficient as alkylation product was not obtained, suggesting lower reactivity of the NH group of this compound. Fortunately, N-alkylation of benzo[d]imidazole-2-carboxylate 5f was accomplished under primary optimized conditions utilizing NaH-DMF at 60 °C, giving rise to target intermediate 6f in 33% yield as other alkylation conditions did not provide a better result.
In the next step, applicability of direct ring opening-cyclisation reaction was investigated. Ethyl 1-(oxiran-2-ylmethyl)-1H-indole-2-carboxylates 6a–e and ethyl 1-(oxiran-2-ylmethyl)-1H-benzo[d]imidazole-2-carboxylate (6f) were treated with either ammonia or benzylamine in methanol. Reactions proceeded in the same manner as using pyrazole counterparts and yielded 4-hydroxy-2,3,4,5-tetrahydro-1H-[1,4]diazepino[1,2-a]indol-1-ones and 4-hydroxy-2,3,4,5-tetrahydro-1H-benzo[4,5]imidazo[1,2-a][1,4]diazepin-1-one 7a–f in fair to excellent (63–98%) yields, with an exception of 7g which was isolated in a mere 19% yield. In comparison, Putey et al. [32] assessed synthesis of 2,3,4,5-tetrahydro[1,4]diazepino[1,2-a]indol-1-ones in a 4-step procedure.
To expand the structural diversity and compound library of fused tetrahydro-4H-pyrazolo[1,5-a][1,4]diazepin-4-ones and tetrahydro[1,4]diazepino[1,2-a]indol-1-ones, 5-substituted 7-hydroxy-2-phenyl-5,6,7,8-tetrahydro-4H-pyrazolo[1,5-a][1,4]diazepin-4-ones 4i,n,t and 2-benzyl-4-hydroxy-2,3,4,5-tetrahydro-1H-[1,4]diazepino[1,2-a]indol-1-one 7f were further modified using methyl- and ethyl iodides as O-alkylating agents (Scheme 3). Reactions were carried out involving NaH as a base in DMF, where reaction temperature and time were substituent dependent, i.e., compounds bearing benzyl group at 5-position required longer reaction times and higher temperatures. Compounds 8a–f and 9a,b were obtained in 70–92% yields.
Scheme 3.
O-Alkylation of 5-substituted 7-hydroxy-2-phenyl-5,6,7,8-tetrahydro-4H-pyrazolo[1,5-a][1,4]diazepin-4-ones 4i,n,t and 2-benzyl-4-hydroxy-2,3,4,5-tetrahydro-1H-[1,4]diazepino[1,2-a]indol-1-one 7f using methyl and ethyl iodides.
3. Materials and Methods
3.1. General
The reagents and solvents were purchased from commercial suppliers and used without further purification unless otherwise indicated. Reaction progress was monitored by thin-layer chromatography (TLC) on pre-coated ALUGRAM®Xtra SIL G/UV254 plates (Macherey—Nagel™, Düren, Germany). The purification of the reaction mixtures was performed using flash chromatography on a glass column, stationary phase—silica gel (high-purity grade 9385, pore size 60 Å, particle size 230–400 mesh, Merck KGaA, Darmstadt, Germany). The 1H, 13C and 15N-NMR spectra were recorded in chloroform-D (CDCl3) or dimethyl sulfoxide-d6 (DMSO-d6) at 25 °C on either Jeol ECA-500 (500 MHz—1H NMR, 126 MHz—13C NMR) or Jeol EC2 400R (400 MHz—1H NMR, 101 MHz—13C NMR) spectrometer equipped with a 5 mm Royal probe (JEOL USA, Inc., Peabody, MA, USA), or Bruker Avance III 400 spectrometer (400 MHz—1H NMR, 101 MHz—13C NMR, 40 MHz—15N NMR) using a 5 mm directly detecting BBO probe (Bruker BioSpin AG, Fallanden, Switzerland). Residual solvent signals were used as internal standards, i.e., for DMSO-d6 δ1H = 2.50 and δ13C = 39.52, for CDCl3 δ1H = 7.26 and δ13C = 77.16. 15N chemical shifts were recalculated using a reference of neat external nitromethane standard (coaxial capillary). 19F NMR spectra (376 MHz) were obtained on a Bruker Avance III 400 instrument; here absolute referencing via δ ratio was used. The full and unambiguous assignments of the 1H, 13C, 15N-NMR resonances were achieved using a combination of standard NMR spectroscopic techniques. The following abbreviations are used in reporting NMR data: Ph, phenyl; Ox, oxirane. Melting points were determined using the apparatus DigiMelt MPA160 (Stanford Research Systems Inc., Sunnyvale, CA, USA) or Büchi B-540 (Büchi Labortechnik AG, Flawil, Switzerland) and are provided uncorrected. The IR spectra were recorded on a Bruker TENSOR 27 (Bruker Optik GmbH, Ettlingen, Germany) or Nicolet Impact 410 (SpectraLab Scientific Inc., Markham, ON, Canada) FTIR spectrometer using pressured KBr pellets. HRMS spectra were recorded on a micrOTOF-Q III Bruker (Bruker Daltonik GmbH, Bremen, Germany) or Agilent 6230 TOF LC/MS (Agilent Technologies Inc., Santa Clara, CA, United States) spectrometer in electrospray ionization (ESI) mode. 1H, 13C, 19F, and 1H,15N-HMBC NMR spectra, as well as HRMS data of new compounds, are provided in Figures S1–S229 of the Supplementary Materials.
3.2. Synthetic Procedures
3.2.1. General Procedure for Synthesis of Starting 3(5)-Aryl-1H-pyrazole-5(3)-carboxylates (1a–h) [48,65]
To a 0.5 M solution of sodium ethoxide (1.1 eq) in ethanol, appropriate acetophenone (1 eq) and diethyl oxalate (1 eq) were added, and the resulting mixture was stirred at room temperature for 16 h in an inert atmosphere. Upon completion, the reaction mixture was quenched with 1 M HCl solution until neutral pH and extracted with ethyl acetate. Organic layer was washed with brine, dried over anhydrous Na2SO4, filtered, and concentrated under reduced pressure. The residue was purified by column chromatography on silica gel (n-hexane/ethyl acetate 15/1, v/v). Obtained ketoester (1 eq) was dissolved in a mixture of ethanol and acetic acid (7/3, v/v, 0.2 M), 55% aqueous hydrazine hydrate solution (1.1 eq) was added, and the reaction mixture was stirred at room temperature for 16 h. Subsequently, solvents were evaporated, and residue was dissolved in ethyl acetate and washed with 10% aqueous NaHCO3 solution. Organic layer was washed again with brine, dried over anhydrous Na2SO4, filtered, and concentrated under reduced pressure. The residue was purified by column chromatography on silica gel (n-hexane/ethyl acetate/methanol gradient from 8/1/0.1 to 1/1/0.1, v/v/v) to give corresponding pyrazoles 1a–h in good yields (75–87%).
3.2.2. Synthesis of Ethyl 1-(oxiran-2-ylmethyl)-1H-pyrazole-3(5)-carboxylates (2a–h and 3a,f–h)
Appropriate pyrazole 1a–h (1 eq) was dissolved in dry dimethyl formamide (0.4 M) and NaH (1.5 eq; 60% dispersion in mineral oil) was added followed by 2-(chloromethyl)oxirane (1.5 eq). The reaction mixture was stirred at 40 °C for 1–5 h. Upon completion, the reaction mixture was concentrated to approximately 1/3 volume, diluted with ethyl acetate, and washed with brine. Organic layer was separated, dried over anhydrous Na2SO4, filtered, and concentrated under reduced pressure. The residue was purified by column chromatography.
Ethyl 1-(oxiran-2-ylmethyl)-3-phenyl-1H-pyrazole-5-carboxylate 2a
Purified by column chromatography on silica gel (n-hexane/ethyl acetate gradient from 10/1 to 8/1, v/v). White solid, mp 53–54 °C, 60% (3.13 g). Rf = 0.72 (n-hexane/ethyl acetate 7/3, v/v). IR (KBr) νmax, cm−1: 2981, 1721 (C=O), 1261, 1086, 1073, 764, 758, 693, 436. 1H NMR (400 MHz, CDCl3) δH ppm: 1.41 (t, J = 7.1 Hz, 3H, CH3), 2.58–2.63 (m, 1H, Ox CHaHb), 2.81 (t, J = 4.4 Hz, 1H, CHaHb), 3.40–3.47 (m, Ox 1H, CH), 4.38 (q, J = 7.1 Hz, 2H, CH2CH3), 4.83 (qd, J = 14.2, 4.6 Hz, 2H, NCH2), 7.15 (s, 1H, 4-H), 7.29–7.37 (m, 1H, Ph 4-H), 7.38–7.44 (m, 2H, Ph 3,5-H), 7.78–7.84 (m, 2H, Ph 2,6-H). 13C NMR (101 MHz, CDCl3) δC ppm: 14.4 (CH3), 45.8 (Ox CH2), 50.7 (Ox CH), 53.0 (NCH2), 61.4 (CH2CH3), 108.4 (C-4), 125.8 (Ph C-2,6), 128.3 (Ph C-4), 128.8 (Ph C-3,5), 132.5 (Ph C-1), 134.3 (C-5), 150.7 (C-3), 159.9 (C=O). 15N NMR (40 MHz, CDCl3) δN ppm: −175.6 (N-1), −66.2 (N-2). HRMS (ESI) for C15H16N2NaO3 ([M+Na]+): calcd m/z 295.1053, found m/z 295.1053.
Ethyl 3-(4-fluorophenyl)-1-(oxiran-2-ylmethyl)-1H-pyrazole-5-carboxylate 2b
Purified by column chromatography on silica gel (n-hexane/ethyl acetate 8/1, v/v). White solid, mp 98–99 °C, 59% (2.04 g). Rf = 0.56 (n-hexane/ethyl acetate 7/3, v/v). IR (KBr) νmax, cm−1: 3140, 3061, 2979, 1730 (C=O), 1445, 1263, 1214, 1086, 849, 761. 1H NMR (400 MHz, DMSO-d6) δH ppm: 1.33 (t, J = 7.1 Hz, 3H, CH3), 2.48–2.51 (m, 1H, Ox CHaHb), 2.72 (t, J = 4.5 Hz, 1H, Ox CHaHb), 3.36–3.42 (m, 1H, Ox CH), 4.33 (q, J = 7.1 Hz, 2H, CH2CH3), 4.60 (dd, J = 14.5, 5.5 Hz, 1H, NCHa), 4.85 (dd, J = 14.5, 3.6 Hz, 1H, NCHb), 7.21–7.29 (m, 2H, Ph 3,5-H), 7.38 (s, 1H, 4-H), 7.86–7.95 (m, 2H, Ph 2,6-H). 13C NMR (101 MHz, DMSO-d6) δC ppm: 14.0 (CH3), 44.8 (Ox CH2), 50.2 (Ox CH), 52.8 (NCH2), 61.1 (CH2CH3), 108.0 (C-4), 115.65 (d, 2JCF = 21.6 Hz, Ph C-3,5), 127.35 (d, 3JCF = 8.3 Hz, Ph C-2,6), 128.54 (d, 4JCF = 3.0 Hz, Ph C-1), 134.1 (C-5), 148.6 (C-3), 159.0 (C=O), 162.07 (d, JCF = 244.8 Hz, Ph C-4). 15N NMR (40 MHz, DMSO-d6) δN ppm: −173.3 (N-1), −65.1 (N-2). 19F NMR (376 MHz, DMSO-d6) δF ppm: −113.8 (Ph 6-F). HRMS (ESI) for C15H15FN2NaO3 ([M+Na]+): calcd m/z 313.0959, found m/z 313.0959.
Ethyl 3-(4-chlorophenyl)-1-(oxiran-2-ylmethyl)-1H-pyrazole-5-carboxylate 2c
Purified by column chromatography on silica gel (n-hexane/ethyl acetate gradient from 8/1 to 7/1, v/v). Pale yellow solid, mp 110–111 °C, 53% (551 mg). Rf = 0.57 (n-hexane/ethyl acetate 7/3, v/v). IR (KBr) νmax, cm−1: 3127, 2982, 2960, 1715 (C=O), 1460, 1266, 1123, 1088, 835, 766. 1H NMR (400 MHz, DMSO-d6) δH ppm: 1.34 (t, J = 7.1 Hz, 3H, CH3), 2.51–2.53 (m, 1H, Ox CHaCHb), 2.79 (t, J = 4.5 Hz, 1H, Ox CHaHb), 3.37–3.43 (m, 1H, Ox CH), 4.34 (q, J = 7.1 Hz, 2H, CH2CH3), 4.61 (dd, J = 14.5, 5.6 Hz, 1H, NCHa), 4.86 (dd, J = 14.4, 3.6 Hz, 1H, NCHb), 7.42 (s, 1H, 4-H), 7.45–7.51 (m, 2H, Ph 3,5-H), 7.86–7.93 (m, 2H, Ph 2,6-H). 13C NMR (101 MHz, DMSO-d6) δC ppm: 14.0 (CH3), 44.8 (Ox CH2), 50.1 (Ox CH), 52.9 (NCH2), 61.1 (CH2CH3), 108.3 (C-4), 127.0 (Ph C-2,6), 128.8 (Ph C-3,5), 130.8 (Ph C-1), 132.7 (Ph C-4), 134.2 (C-5), 148.3 (C-3), 159.0 (C=O). 15N NMR (40 MHz, DMSO-d6) δN ppm: −172.3 (N-1), −65.2 (N-2). HRMS (ESI) for C15H15ClN2NaO3 ([M+Na]+): calcd m/z 329.0663, found m/z 329.0663.
Ethyl 3-(4-bromophenyl)-1-(oxiran-2-ylmethyl)-1H-pyrazole-5-carboxylate 2d
Purified by column chromatography on silica gel (n-hexane/ethyl acetate gradient from 10/1 to 8/1, v/v). White solid, mp 120–121 °C, 58% (1.88 g). Rf = 0.60 (n-hexane/ethyl acetate 7/3, v/v). IR (KBr) νmax, cm−1: 3127, 2979, 1716 (C=O), 1459, 1436, 1267, 1123, 1092, 832, 766. 1H NMR (400 MHz, DMSO-d6) δH ppm: 1.33 (t, J = 7.1 Hz, 3H, CH3), 2.48–2.52 (m, 1H, Ox CHaHb), 2.78 (t, J = 4.5 Hz, 1H, Ox CHaHb), 3.37–3.42 (m, 1H, Ox CH), 4.33 (q, J = 7.1 Hz, 2H, CH2CH3), 4.60 (dd, J = 14.5, 5.6 Hz, 1H, NCHa), 4.86 (dd, J = 14.5, 3.6 Hz, 1H, NCHb), 7.43 (s, 1H, 4-H), 7.58–7.64 (m, 2H, Ph 3,5-H), 7.79–7.86 (m, 2H, Ph 2,6-H). 13C NMR (101 MHz, DMSO-d6) δC ppm: 14.0 (CH3), 44.8 (Ox CH2), 50.1 (Ox CH), 52.9 (NCH2), 61.1 (CH2CH3), 108.3 (C-4), 121.3 (Ph C-4), 127.3 (Ph C-2,6), 131.2 (Ph C-3,5), 131.7 (Ph C-1), 134.2 (C-5), 148.4 (C-3), 159.0 (C=O). 15N NMR (40 MHz, DMSO-d6) δN ppm: −172.3 (N-1), −64.8 (N-2). HRMS (ESI) for C15H15BrN2NaO3 ([M+Na]+): calcd m/z 373.0158, found m/z 373.0158 and 375.0136.
Ethyl 3-(4-methoxyphenyl)-1-(oxiran-2-ylmethyl)-1H-pyrazole-5-carboxylate 2e
Purified by column chromatography on silica gel (n-hexane/ethyl acetate 8/1, v/v). White solid, mp 75–76 °C, 61% (1.9 g). Rf = 0.49 (n-hexane/ethyl acetate 7/2 v/v). IR (KBr) νmax, cm−1: 3139, 2975, 2938, 2836, 1726 (C=O), 1447, 1086, 1029, 846, 758. 1H NMR (400 MHz, DMSO-d6) δH ppm: 1.33 (t, J = 7.1 Hz, 3H, CH3), 2.47–2.50 (m, 1H, Ox CHaCHb), 2.78 (t, J = 4.5 Hz, 1H, Ox CHaHb), 3.35–3.42 (m, 1H, Ox CH), 3.79 (s, 3H, OCH3), 4.33 (q, J = 7.1 Hz, 2H, CH2CH3), 4.59 (dd, J = 14.5, 5.5 Hz, 1H, NCHa), 4.84 (dd, J = 14.4, 3.5 Hz, 1H, NCHb), 6.93–7.02 (m, 2H, Ph 3,5-H), 7.30 (s, 1H, 4-H), 7.75–7.83 (m, 2H, Ph 2,6-H). 13C NMR (101 MHz, DMSO-d6) δC ppm: 14.1 (CH3), 44.8 (Ox CH2), 50.2 (Ox CH), 52.7 (NCH2), 55.2 (OCH3), 61.0 (CH2CH3), 107.5 (C-4), 114.2 (Ph C-3,5), 124.6 (Ph C-1), 126.6 (Ph C-2,6), 133.9 (C-5), 149.4 (C-3), 159.1 (C=O), 159.3 (Ph C-4). 15N NMR (40 MHz, DMSO-d6) δN ppm: −174.5 (N-1) −67.0 (N-2). HRMS (ESI) for C16H18N2NaO4 ([M+Na]+): calcd m/z 325.1159, found m/z 325.1159.
Ethyl 1-(oxiran-2-ylmethyl)-1H-pyrazole-5-carboxylate 2f
Purified by column chromatography on silica gel (n-hexane/ethyl acetate 4/1, v/v). Colorless liquid, 21% (30 mg). Rf = 0.57 (n-hexane/ethyl acetate 2/1, v/v). IR (KBr) νmax, cm−1: 2985, 1722 (C=O), 1518, 1312, 1254, 1121, 1105, 1039, 765. 1H NMR (400 MHz, CDCl3) δH ppm: 1.39 (t, J = 7.1 Hz, 3H, CH3), 2.54–2.56 (m, 1H, Ox CHaHb), 2.80 (t, J = 4.4 Hz, 1H, Ox CHaHb), 3.37–3.40 (m, 1H, Ox CH), 4.36 (q, J = 7.1 Hz, 2H, CH2CH3), 4,73 (dd, J = 14.2, 5.2 Hz, 1H, NCHaHb), 4.86 (dd, J = 14.2, 4.2 Hz, 1H, NCHaHb), 6.86 (d, J = 1.5 Hz, 1H, 4-H), 7.53 (d, J = 1.4 Hz, 1H, 3-H). 13C NMR (101 MHz, CDCl3) δC ppm: 14.3 (CH3), 45.8 (Ox CH2), 50.7 (Ox CH), 53.0 (NCH2), 61.3 (CH2CH3), 111.6 (C-4), 133.0 (C-5), 138.8 (C-3), 159.9 (COO). 15N NMR (40 MHz, CDCl3) δN ppm: –173.5 (N-1), –60.2 (N-2). HRMS (ESI) for C9H13N2O3 ([M+H]+): calcd m/z 197.0921, found m/z 197.0916.
Ethyl 4-methyl-1-(oxiran-2-ylmethyl)-1H-pyrazole-5-carboxylate 2g
Purified by column chromatography on silica gel (n-hexane/ethyl acetate 4/1, v/v). Colorless liquid, 26% (36 mg). Rf = 0.47 (n-hexane/ethyl acetate 2/1, v/v). IR (KBr) νmax, cm−1: 2983, 1716 (C=O), 1449, 1277, 1113, 1042. 1H NMR (400 MHz, CDCl3) δH ppm: 1.40 (t, J = 7.1 Hz, 3H, CH2CH3), 2.26 (s, 3H, 4-CH3), 2.52–2.54 (m, 1H, Ox CHaHb), 2.78 (t, J = 4.4 Hz, 1H, Ox CHaHb), 3.34–3.37 (m, 1H, Ox CH), 4.38 (q, J = 7.1 Hz, 2H, CH2CH3), 4.68 (dd, J = 14.3, 5.1 Hz, 1H, NCHaHb), 4.80 (dd, J = 14.3, 4.1 Hz, 1H, NCHaHb), 7.36 (s, 1H, 3-H). 13C NMR (101 MHz, CDCl3) δC ppm: 10.9 (4-CH3), 14.3 (CH2CH3), 45.7 (Ox CH2), 50.8 (Ox CH), 53.5 (NCH2), 61.0 (CH2CH3), 123.1 (C-4), 130.1 (C-5), 140.2 (C-3), 160.7 (COO). 15N NMR (40 MHz, CDCl3) δN ppm: –174.6 (N-1), –63.9 (N-2). HRMS (ESI) for C10H15N2O3 ([M+H]+): calcd m/z 211.1077, found m/z 211.1067.
Ethyl 3-methyl-1-(oxiran-2-ylmethyl)-1H-pyrazole-5-carboxylate 2h
Purified by column chromatography on silica gel (n-hexane/ethyl acetate 4/1, v/v). Colorless liquid, 24% (32 mg). Rf = 0.42 (n-hexane/ethyl acetate 2/1, v/v). IR (KBr) νmax, cm−1: 2962, 2909, 1722 (C=O), 1461, 1262, 1085, 767. 1H NMR (400 MHz, CDCl3) δH ppm: 1.37 (t, J = 7.1 Hz, 3H, CH2CH3), 2.28 (s, 3H, 3-CH3), 2.55–2.57 (m, 1H, Ox CHaHb), 2.79 (t, J = 4.4 Hz, 1H, Ox CHaHb), 3.34–3.38 (m, 1H, Ox CH), 4.33 (q, J = 7.1 Hz, 2H, CH2CH3), 4.63 (dd, J = 14.3, 5.2 Hz, 1H, NCHaHb), 4.78 (dd, J = 14.3, 4.1 Hz, 1H, NCHaHb), 6.64 (s, 1H, 4-H). 13C NMR (101 MHz, CDCl3) δC ppm: 13.5 (3-CH3), 14.4 (CH2CH3), 45.8 (Ox CH2), 50.8 (Ox CH), 52.7 (NCH2), 61.2 (CH2CH3), 111.0 (C-4), 133.4 (C-5), 148.0 (C-3), 160.0 (COO). 15N NMR (40 MHz, CDCl3) δN ppm: –178.6 (N-1), –64.1 (N-2). HRMS (ESI) for C10H15N2O3 ([M+H]+): calcd m/z 211.1077, found m/z 211.1075.
Ethyl 1-(oxiran-2-ylmethyl)-5-phenyl-1H-pyrazole-3-carboxylate 3a
Purified by column chromatography on silica gel (n-hexane/ethyl acetate gradient from 8/1 to 1/1, v/v). Colorless resin, 56% (20 mg). Rf = 0.37 (n-hexane/ethyl acetate 1/1, v/v). IR (KBr) νmax, cm−1: 2986, 1729 (C=O), 1214, 765, 701. 1H NMR (400 MHz, CDCl3) δH ppm: 1.41 (t, J = 7.1 Hz, 3H, CH3), 2.49–2.53 (m, 1H, Ox CHaHb), 2.81 (t, J = 4.3 Hz, 1H, Ox CHaHb), 3.40–3.45 (m, 1H, Ox CH), 4.26–4.47 (m, 4H, CH2CH3, NCH2), 6.84 (s, 1H, 4-H), 7.42–7.51 (m, 5H, Ph 2,3,4,5,6-H). 13C NMR (101 MHz, CDCl3) δC ppm: 14.6 (CH3), 46.0 (Ox CH2), 50.7 (Ox CH), 51.6 (NCH2), 61.2 (CH2CH3), 109.2 (C-4), 129.0 (Ph C-1,2,6), 129.4 (Ph C-4), 129.5 (Ph C-3,5), 143.7 (C-3), 146.2 (C-5), 162.5 (C=O). 15N NMR (40 MHz, CDCl3) δN ppm: −174.4 (N-1), −70.0 (N-2). HRMS (ESI) for C15H16N2NaO3 ([M+Na]+): calcd m/z 295.1053, found m/z 295.1051.
Ethyl 1-(oxiran-2-ylmethyl)-1H-pyrazole-3-carboxylate 3f
Purified by column chromatography on silica gel (n-hexane/ethyl acetate gradient from 4/1 to 2/1, v/v). Colorless liquid, 28% (39 mg). Rf = 0.49 (n-hexane/ethyl acetate 1/2, v/v). IR (KBr) νmax, cm−1: 2986, 1721 (C=O), 1375, 1237, 1173, 1154, 1027, 765. 1H NMR (400 MHz, CDCl3) δH ppm: 1.40 (t, J = 7.1, 3H, CH3), 2.49–2.51 (m, 1H, Ox CHaHb), 2.87 (t, J = 4.2 Hz, 1H, Ox CHaHb), 3.36–3.38 (m, 1H, Ox CH), 4.21 (dd, J = 14.7, 6.0 Hz, 1H, NCHaHb), 4.41 (q, J = 7.1 Hz, 2H, CH2CH3), 4.62 (dd, J = 14.7, 2.6 Hz, 1H, NCHaHb), 6.84 (d, J = 2.1 Hz, 1H, 4-H), 7.53 (d, J = 2.1 Hz, 1H, 5-H). 13C NMR (101 MHz, CDCl3) δC ppm: 14.5 (CH3), 45.5 (Ox CH2), 50.4 (Ox CH), 54.6 (NCH2), 61.2 (CH2CH3), 109.5 (C-4), 131.7 (C-5), 144.2 (C-3), 162.4 (COO). 15N NMR (40 MHz, CDCl3) δN ppm: –171.8 (N-1), –68.9 (N-2). HRMS (ESI) for C9H13N2O3 ([M+H]+): calcd m/z 197.0921, found m/z 197.0915.
Ethyl 4-methyl-1-(oxiran-2-ylmethyl)-1H-pyrazole-3-carboxylate 3g
Purified by column chromatography on silica gel (n-hexane/ethyl acetate gradient from 4/1 to 2/1, v/v). Colorless liquid, 35% (48 mg). Rf = 0.47 (n-hexane/ethyl acetate 1/2, v/v). IR (KBr) νmax, cm−1: 2983, 2932, 1716 (C=O), 1448, 1367, 1254, 1108. 1H NMR (400 MHz, CDCl3) δH ppm: 1.41 (t, J = 7.1 Hz, 3H, CH2CH3), 2.29 (s, 3H, 4-CH3), 2.49–2.51 (m, 1H, Ox CHaHb), 2.86 (t, J = 4.2 Hz, 1H, Ox CHaHb), 3.33–3.35 (m, 1H, Ox CH), 4.13 (dd, J = 14.7, 6.0 Hz, 1H, NCHaHb), 4.41 (q, J = 7.1 Hz, 2H, CH2CH3), 4.55 (dd, J = 14.7, 2.5 Hz, 1H, NCHaHb), 7.33 (s, 1H, 5-H). 13C NMR (101 MHz, CDCl3) δC ppm: 9.9 (4-CH3), 14.5 (CH2CH3), 45.4 (Ox CH2), 50.5 (Ox CH), 54.5 (NCH2), 60.8 (CH2CH3), 121.5 (C-4), 131.0 (C-5), 141.4 (C-3), 163.0 (COO). 15N NMR (40 MHz, CDCl3) δN ppm: –175.7 (N-1), –69.2 (N-2). HRMS (ESI) for C10H15N2O3 ([M+H]+): calcd m/z 211.1077, found m/z 211.1072.
Ethyl 5-methyl-1-(oxiran-2-ylmethyl)-1H-pyrazole-3-carboxylate 3h
Purified by column chromatography on silica gel (n-hexane/ethyl acetate gradient from 4/1 to 2/1, v/v). White solid, mp 31–33 °C, 29% (40 mg). Rf = 0.47 (n-hexane/ethyl acetate 1/2, v/v). IR (KBr) νmax, cm−1: 2985, 1721 (C=O), 1446, 1386, 1228, 1032, 780. 1H NMR (400 MHz, CDCl3) δH ppm: 1.39 (t, J = 7.1 Hz, 3H, CH2CH3), 2.34 (s, 3H, 5-CH3), 2.47–2.49 (m, 1H, Ox CHaHb), 2.82 (t, J = 4.3 Hz, 1H, Ox CHaHb), 3.33–3.37 (m, 1H, Ox CH), 4.21 (dd, J = 15.0, 5.2 Hz, 1H, NCHaHb), 4.39 (q, J = 7.1 Hz, 2H, CH2CH3) 4.53 (dd, J = 15.0, 2.4 Hz, 1H, NCHaHb), 6.57 (s, 1H, 4-H). 13C NMR (101 MHz, CDCl3) δC ppm: 11.4 (5-CH3), 14.5 (CH2CH3), 45.3 (Ox CH2), 50.9 (Ox CH), 51.4 (NCH2), 61.0 (CH2CH3), 108.6 (C-4), 141.3 (C-5), 143.1 (C-3), 162.6 (COO). 15N NMR (40 MHz, CDCl3) δN ppm: –173.3 (N-1), –70.8 (N-2). HRMS (ESI) for C10H15N2O3 ([M+H]+): calcd m/z 211.1077, found m/z 211.1070.
3.2.3. Synthesis of 7-Hydroxy-5,6,7,8-tetrahydro-4H-pyrazolo[1,5-a][1,4]diazepin-4-ones (4a–x)
Procedure a. Carboxylate 2a–h (1 eq) was dissolved in 2M ammonia (30 eq) solution in methanol, sealed in a pressure tube and stirred at 70 °C for 5–18 h. After completion, excess of ammonia in methanol was evaporated under reduced pressure. The residue was purified by column chromatography.
Procedure b. To a solution of carboxylate 2a–e (1 eq) in methanol (5 M), appropriate primary amine (3 eq) was added, the reaction mixture was sealed in a pressure tube and was stirred at 70 °C for 7 h. After completion, the reaction mixture was poured into water and extracted with ethyl acetate. Combined organic layers were washed with brine, dried over anhydrous Na2SO4, filtered, and concentrated under reduced pressure. The residue was purified by column chromatography.
7-Hydroxy-2-phenyl-5,6,7,8-tetrahydro-4H-pyrazolo[1,5-a][1,4]diazepin-4-one 4a
Purified by column chromatography on silica gel (gradient from n-hexane/ethyl acetate/methanol gradient from 1/9/0 to 1/15/0.5, v/v). White solid, decomp. 246 °C, procedure a −34% (27 mg). Rf = 0.40 (dichloromethane/methanol 100/5, v/v). IR (KBr) νmax, cm−1: 3270, 3196, 3074, 2925, 1681 (C=O), 1460, 1440, 771, 752, 685. 1H NMR (400 MHz, DMSO-d6) δH ppm: 2.85–2.96 (m, 1H, 6-Ha), 3.21–3.30 (m, 1H, 6-Hb), 4.20–4.33 (m, 2H, 7-H, 8-Ha), 4.54 (dd, J = 13.8, 4.8 Hz, 1H, 8-Hb), 5.49 (d, J = 3.8 Hz, 1H, OH), 7.16 (s, 1H, 3-H), 7.28–7.35 (m, 1H, Ph 4-H), 7.36–7.45 (m, 2H, Ph 3,5-H), 7.80–7.88 (m, 2H, Ph 2,6-H), 8.24–8.31 (m, 1H, NH). 13C NMR (101 MHz, DMSO-d6) δC ppm: 45.5 (C-6), 56.2 (C-8), 69.4 (C-7), 105.8 (C-3), 125.1 (Ph C-2,6), 127.8 (Ph C-4), 128.7 (Ph C-3,5), 132.5 (Ph C-1), 139.4 (C-3a), 149.0 (C-2), 163.2 (C-4). 15N NMR (40 MHz, DMSO-d6) δN ppm: −270.4 (N-5), −175.4 (N-9), −73.6 (N-1). HRMS (ESI) for C13H13N3NaO2 ([M+Na]+): calcd m/z 266.0900, found m/z 266.0900.
2-(4-Fluorophenyl)-7-hydroxy-5,6,7,8-tetrahydro-4H-pyrazolo[1,5-a][1,4]diazepin-4-one 4b
Purified by column chromatography on silica gel (n-hexane/ethyl acetate/methanol gradient from 1/9/0 to 1/15/0.5, v/v). Pale yellow solid, decomp. 216 °C, procedure a −56% (86 mg). Rf = 0.38 (dichloromethane/methanol 100/5, v/v). IR (KBr) νmax, cm−1: 3305, 3206, 3071, 2947, 2923, 1681, 1457, 1442, 841, 809. 1H NMR (400 MHz, DMSO-d6) δH ppm: 3.74 (dt, J = 12.2, 5.8 Hz, 1H, 6-Ha), 4.09 (dt, J = 14.5, 5.4 Hz, 1H, 6-Hb), 5.02–5.15 (m, 2H, 7-H, 8-Ha), 5.36 (dd, J = 13.9, 5.0 Hz, 1H, 8-Hb), 8.00 (s, 1H, 3-H), 8.04–8.11 (m, 2H, Ph 3,5-H), 8.67–8.75 (m, 2H, Ph 2,6-H), 9.12–9.18 (m, 1H, NH). 13C NMR (101 MHz, DMSO-d6) δC ppm: 45.5 (C-6), 56.2 (C-8), 69.3 (C-7), 105.8 (C-3), 115.59 (d, 2JCF = 21.5 Hz, Ph C-3,5), 127.12 (d, 3JCF = 8.2 Hz, Ph C-2,6), 129.10 (d, 4JCF = 3.0 Hz, Ph C-1), 139.6 (C-3a), 148.2 (C-2), 161.83 (d, JCF = 244.3 Hz, Ph C-4), 163.1 (C-4). 15N NMR (40 MHz, DMSO-d6) δN ppm: −270.5 (N-5), −175.3 (N-9), −73.8 (N-1). 19F NMR (376 MHz, DMSO-d6) δF ppm: −114.4 (Ph 6-F). HRMS (ESI) for C13H12FN3NaO2 ([M+Na]+): calcd m/z 284.0806, found m/z 284.0806.
2-(4-Chlorophenyl)-7-hydroxy-5,6,7,8-tetrahydro-4H-pyrazolo[1,5-a][1,4]diazepin-4-one 4c
Purified by column chromatography on silica gel (n-hexane/ethyl acetate/methanol gradient from 1/9/0 to 1/20/0.5, v/v). White solid, decomp. 249 °C, procedure a −48% (59 mg). Rf = 0.38 (dichloromethane/methanol 100/5, v/v). IR (KBr) νmax, cm−1: 3297, 3210, 3080, 2917, 1683 (C=O), 1451, 1435, 1089, 834, 809. 1H NMR (400 MHz, DMSO-d6) δH ppm: 2.86–2.95 (m, 1H, 6-Ha), 3.21–3.30 (m, 1H, 6-Hb), 4.19–4.31 (m, 2H, 7-H, 8-Ha), 4.54 (dd, J = 13.9, 4.9 Hz, 1H, 8-Hb), 5.53 (br s, 1H, OH), 7.20 (s, 1H, 3-H), 7.43–7.50 (m, 2H, Ph 3,5-H), 7.82–7.91 (m, 2H, Ph 2,6-H), 8.28–8.33 (m, 1H, NH). 13C NMR (101 MHz, DMSO-d6) δC ppm: 45.5 (C-6), 56.3 (C-8), 69.3 (C-7), 106.0 (C-3), 126.8 (Ph C-2,6), 128.8 (Ph C-3,5), 131.4 (Ph C-1), 132.3 (Ph C-4), 139.6 (C-3a), 147.9 (C-2), 163.0 (C-4). 15N NMR (40 MHz, DMSO-d6) δN ppm: −270.4 (N-5), −174.0 (N-9), −69.7 (N-1). HRMS (ESI) for C13H12ClN3NaO2 ([M+Na]+): calcd m/z 300.0510, found m/z 300.0510.
2-(4-Bromophenyl)-7-hydroxy-5,6,7,8-tetrahydro-4H-pyrazolo[1,5-a][1,4]diazepin-4-one 4d
Purified by column chromatography on silica gel (n-hexane/ethyl acetate/methanol gradient from 1/9/0 to 1/12/0.5, v/v). White solid, decomp. 230 °C, procedure a −51% (50 mg). Rf = 0.40 (dichloromethane/methanol 100/5, v/v). IR (KBr) νmax, cm−1: 3292, 3214, 3079, 1680 (C=O), 1455 and 1434 (doublet), 1071, 991, 922, 816 and 807 (doublet). 1H NMR (400 MHz, DMSO-d6) δH ppm: 2.90 (dt, J = 12.2, 5.8 Hz, 1H, 6-Ha), 3.26 (dt, J = 14.4, 5.3 Hz, 1H, 6-Hb), 4.19–4.33 (m, 2H, 7-H, 8-Ha), 4.54 (dd, J = 13.9, 4.9 Hz, 1H, 8-Hb), 5.49 (d, J = 41 Hz, 1H, OH), 7.20 (s, 1H, 3-H), 7.57–7.64 (m, 2H, Ph 3,5-H), 7.76–7.84 (m, 2H, Ph 2,6-H), 8.29 (t, J = 5.1 Hz, 1H, NH). 13C NMR (101 MHz, DMSO-d6) δC ppm: 45.5 (C-6), 56.3 (C-8), 69.3 (C-7), 106.0 (C-3), 120.8 (Ph C-4), 127.1 (Ph C-2,6), 131.7 (Ph C-3,5), 131.8 (Ph C-1), 139.6 (C-3a), 148.0 (C-2), 163.0 (C-4). 15N NMR (40 MHz, DMSO-d6) δN ppm: −173.4 (N-9), −72.7 (N-1). HRMS (ESI) for C13H12BrN3NaO2 ([M+Na]+): calcd m/z 344.0005, found m/z 344.0005 and 345.9983.
7-Hydroxy-2-(4-methoxyphenyl)-5,6,7,8-tetrahydro-4H-pyrazolo[1,5-a][1,4]diazepin-4-one 4e
Purified by column chromatography on silica gel (n-hexane/ethyl acetate/methanol gradient from 1/9/0 to 1/10/0.5, v/v). White solid, decomp. 239 °C, procedure a −40% (38 mg). Rf = 0.41 (dichloromethane/methanol 100/5, v/v). IR (KBr) νmax, cm−1: 3200, 3078, 2928, 1681 (C=O), 1463, 1447, 1251, 1176, 1027, 821. 1H NMR (400 MHz, DMSO-d6) δH ppm: 2.91 (dt, J = 11.9, 5.7 Hz, 1H, 6-Ha), 3.25 (dt, J = 14.6, 5.4 Hz, 1H, 6-Hb), 3.78 (s, 3H, OCH3), 4.18–4.32 (m, 2H, 7-H, 8-Ha), 4.51 (dd, J = 14.1, 5.1 Hz, 1H, 8-Hb), 5.48 (d, J = 4.2 Hz, 1H, OH), 6.94–7.00 (m, 2H, Ph 3,5-H), 7.07 (s, 1H, 3-H), 7.73–7.79 (m, 2H, Ph 2,6-H), 8.22–8.27 (m, 1H, NH). 13C NMR (101 MHz, DMSO-d6) δC ppm: 45.6 (C-6), 55.1 (CH3), 56.1 (C-8), 69.4 (C-7), 105.2 (C-3), 114.1 (Ph C-3,5), 125.2 (Ph C-1), 126.4 (Ph C-2,6), 139.3 (C-3a), 149.0 (C-3), 156.0 (Ph C-4), 163.2 (C-4). 15N NMR (40 MHz, DMSO-d6) δN ppm: −270.1 (N-5), −176.5 (N-9), −74.9 (N-1). HRMS (ESI) for C14H15N3NaO3 ([M+Na]+): calcd m/z 296.1006, found m/z 296.1006.
7-Hydroxy-5,6,7,8-tetrahydro-4H-pyrazolo[1,5-a][1,4]diazepin-4-one 4f
Purified by column chromatography on silica gel (dichloromethane/methanol 100/5, v/v). White solid, decomp. 195 °C, procedure a −89% (76 mg). Rf = 0.41 (dichloromethane/methanol 9/1, v/v). IR (KBr) νmax, cm−1: 3210, 3127, 3081, 2933, 1685 (C=O), 1387, 1351, 1182, 825. 1H NMR (400 MHz, DMSO-d6) δH ppm: 2.81–2.87 (m, 1H, 6-Ha), 3.16–3.22 (m, 1H, 6-Hb), 4.18 (dd, J = 14.0, 4.3 Hz, 1H, 8-Ha), 4.21–4.27 (m, 1H, 7-H), 4.48 (dd, J = 14.0, 5.1 Hz, 1H, 8-Hb), 5.44 (d, J = 4.0 Hz, 1H, OH), 6.66 (d, J = 0.7 Hz, 1H, 3-H), 7.47 (d, J = 0.6 Hz, 1H, 2-H), 8.22 (s, 1H, NH). 13C NMR (101 MHz, DMSO-d6) δC ppm: 45.6 (C-6), 55.9 (C-8), 69.4 (C-7), 108.8 (C-3), 137.79 (C-3a), 137.83 (C-2), 163.4 (C-4). 15N NMR (40 MHz, DMSO-d6) δN ppm: –271.1 (N-5), –173.3 (N-9), –66.0 (N-1). HRMS (ESI) for C7H10N3O2 ([M+H]+): calcd m/z 168.0768, found m/z 168.0763.
7-Hydroxy-3-methyl-5,6,7,8-tetrahydro-4H-pyrazolo[1,5-a][1,4]diazepin-4-one 4g
Purified by column chromatography on silica gel (dichloromethane/methanol 100/5, v/v). White solid, decomp. 213 °C, procedure a −77% (67 mg). Rf = 0.45 (dichloromethane/methanol 9/1, v/v). IR (KBr) νmax, cm−1: 3301, 3203, 3078, 2932, 1678 (C=O), 1382, 1320, 1247, 1099, 922. 1H NMR (400 MHz, DMSO-d6) δH ppm: 2.10 (s, 3H, CH3), 2.77–2.84 (m, 1H, 6-Ha), 3.12–3.19 (m, 1H, 6-Hb), 4.09 (dd, J = 14.2, 4.2 Hz, 1H, 8-Ha), 4.17–4.23 (m, 1H, 7-H), 4.40 (dd, J = 14.1, 5.4 Hz, 1H, 8-Hb), 5.39 (d, J = 4.1 Hz, 1H, OH), 7.29 (s, 1H, 2-H), 8.14 (s, 1H, NH). 13C NMR (101 MHz, DMSO-d6) δC ppm: 8.7 (CH3), 45.5 (C-6), 55.7 (C-8), 69.7 (C-7), 119.4 (C-3), 133.8 (C-3a), 138.4 (C-2), 164.0 (COO). 15N NMR (40 MHz, DMSO-d6) δN ppm: –270.3 (N-5), –176.2 (N-9), –69.1 (N-1). HRMS (ESI) for C8H12N3O2 ([M+H]+): calcd m/z 182.0924, found m/z 182.0923.
7-Hydroxy-2-methyl-5,6,7,8-tetrahydro-4H-pyrazolo[1,5-a][1,4]diazepin-4-one 4h
Purified by column chromatography on silica gel (dichloromethane/methanol 100/5, v/v). White solid, decomp. 232 °C, procedure a −90% (78 mg). Rf = 0.44 (dichloromethane/methanol 9/1, v/v). IR (KBr) νmax, cm−1: 3254, 3144, 2936, 1689 (C=O), 1635, 1464, 1453, 1135, 1054, 758. 1H NMR (400 MHz, DMSO-d6) δH ppm: 2.16 (s, 1H, CH3), 2.82–2.89 (m, 1H, 6-Ha), 3.15–3.21 (m, 1H, 6-Hb), 4.08 (dd, J = 14.2, 4.4 Hz, 1H, 8-Ha), 4.17–4.24 (m, 1H, 7-H), 4.38 (dd, J = 14.2, 5.4 Hz, 1H, 8-Hb), 5.40 (d, J = 4.1 Hz, 1H, OH), 6.43 (s, 1H, 3-H), 8.15 (s, 1H, NH). 13C NMR (101 MHz, DMSO-d6) δC ppm: 13.0 (CH3), 45.6 (C-6), 55.5 (C-8), 69.5 (C-7), 108.1 (C-3), 138.4 (C-3a), 146.1 (C-2), 163.4 (COO). 15N NMR (40 MHz, DMSO-d6) δN ppm: –271.6 (N-5), –178.8 (N-9), –68.9 (N-1). HRMS (ESI) for C8H12N3O2 ([M+H]+): calcd m/z 182.0924, found m/z 182.0923.
7-Hydroxy-5-(2-methoxyethyl)-2-phenyl-5,6,7,8-tetrahydro-4H-pyrazolo[1,5-a][1,4]diazepin-4-one 4i
Purified by column chromatography on silica gel (n-hexane/ethyl acetate 1/9, v/v). White solid, mp 134–135 °C, procedure b −81% (99 mg). Rf = 0.40 (ethyl acetate). IR (KBr) νmax, cm−1: 3274, 3135, 2932, 1651 (C=O), 1435, 1296, 1177, 1113, 764, 691. 1H NMR (400 MHz, DMSO-d6) δH ppm: 3.15 (dd, J = 15.0, 7.5 Hz, 1H, 5-CHa), 3.29 (s, 3H, CH3), 3.41–3.56 (m, 4H, 5-CHb, CH2O, 6-Ha), 3.89 (dt, J = 13.5, 5.2 Hz, 1H, 6-Hb), 4.24 (dd, J = 14.1, 3.2 Hz, 1H, 8-Ha), 4.35–4.42 (m, 1H, 7-H), 4.47 (dd, J = 14.1, 5.1 Hz, 1H, 8-Hb), 5.52 (d, J = 4.3 Hz, 1H, OH), 7.17 (s, 1H, 3-H), 7.28–7.34 (m, 1H, Ph 4-H), 7.37–7.45 (m, 2H, Ph 3,5-H), 7.81–7.86 (m, 2H, Ph 2,6-H). 13C NMR (101 MHz, DMSO-d6) δC ppm: 46.8 (C-6), 52.8 (5-CH2), 55.9 (C-8), 58.0 (CH3), 69.5 (C-7), 69.9 (CH2O), 105.4 (C-3), 125.1 (Ph C-2,6), 127.8 (Ph C-4), 128.7 (Ph C-3,5), 132.5 (Ph C-1), 139.3 (C-3a), 149.0 (C-2), 161.6 (C-4). 15N NMR (40 MHz, DMSO-d6) δN ppm: −264.8 (N-5), −175.6 (N-9), −73.7 (N-1). HRMS (ESI) for C16H19N3NaO3 ([M+Na]+): calcd m/z 324.1319, found m/z 324.1319.
2-(4-Fluorophenyl)-7-hydroxy-5-(2-methoxyethyl)-5,6,7,8-tetrahydro-4H-pyrazolo[1,5-a][1,4]diazepin-4-one 4j
Purified by column chromatography on silica gel (n-hexane/ethyl acetate gradient from 4/1 to 1/5, v/v). White solid, mp 133–134 °C, procedure b −84% (285 mg). Rf = 0.46 (ethyl acetate). IR (KBr) νmax, cm−1: 3299, 2941, 2903, 2819, 1620, 1471, 1215, 1113, 827, 806. 1H NMR (400 MHz, DMSO-d6) δH ppm: 3.14 (dd, J = 15.0, 7.5 Hz, 1H, 6-Ha), 3.28 (s, 3H, CH3), 3.39–3.57 (m, 4H, 5-CHa, 6-Hb, CH2O), 3.89 (dt, J = 10.6, 5.0 Hz, 1H, 5-CHb), 4.23 (dd, J = 14.1, 2.6 Hz, 1H, 8-Ha), 4.34–4.50 (m, 2H, 7-H, 8-Hb), 5.52 (d, J = 3.9 Hz, 1H, OH), 7.17 (s, 1H, 3-H), 7.20–7.28 (m, 2H, Ph 3,5-H), 7.84–7.92 (m, 5.9 Hz, 2H, Ph 2,6-H). 13C NMR (101 MHz, DMSO-d6) δC ppm: 46.8 (5-CH2), 52.8 (C-6), 55.9 (C-8), 58.0 (CH3), 69.5 (C-7), 69.9 (CH2O), 105.4 (C-3), 115.59 (d, 2JCF = 21.5 Hz, Ph C-3,5), 127.09 (d, 3JCF = 8.2 Hz, Ph C-2,6), 129.1 (d, 4JCF = 3.0 Hz, Ph C-1), 139.4 (C-3a), 148.1 (C-2), 161.5 (C-4), 161.82 (d, JCF = 244.3 Hz, Ph C-4). 15N NMR (40 MHz, DMSO-d6) δN ppm: −264.6 (N-5), −175.6 (N-9), −75.2 (N-1). 19F NMR (376 MHz, DMSO-d6) δF ppm: −114.4 (1F, m, Ph 6-F). HRMS (ESI) for C16H18FN3NaO3 ([M+Na]+): calcd m/z 342.1224, found m/z 342.1224.
2-(4-Chlorophenyl)-7-hydroxy-5-(2-methoxyethyl)-5,6,7,8-tetrahydro-4H-pyrazolo[1,5-a][1,4]diazepin-4-one 4k
Purified by column chromatography on silica gel (n-hexane/ethyl acetate gradient from 4/1 to 1/9, v/v). Pale pink solid, mp 148–149 °C, procedure b −98% (221 mg). Rf = 0.41 (ethyl acetate). IR (KBr) νmax, cm−1: 3300, 2941, 2877, 1623 (C=O), 1469, 1400, 1111, 1068, 826, 756. 1H NMR (400 MHz, DMSO-d6) δH ppm: 3.14 (dd, J = 14.9, 7.4 Hz, 1H, 6-Ha), 3.29 (s, 3H, CH3), 3.40–3.58 (m, 4H, 5-CHa, 6-Hb, CH2O), 3.84–3.94 (m, 1H, 5-CHb), 4.24 (dd, J = 14.1, 2.5 Hz, 1H, 8-Ha), 4.35–4.51 (m, 2H, 7-H, 8-Hb), 5.53 (d, J = 3.8 Hz, 1H, OH), 7.21 (s, 1H, 3-H), 7.37–7.54 (m, 2H, Ph 3,5-H), 7.77–7.95 (m, 2H, Ph 2,6-H). 13C NMR (101 MHz, DMSO-d6) δC ppm: 46.8 (5-CH2), 52.8 (C-6), 56.0 (C-8), 58.0 (CH3), 69.5 (C-7), 69.9 (CH2O), 105.7 (C-3), 126.8 (Ph C-2,6), 128.8 (Ph C-3,5), 131.4 (Ph C-1), 132.3 (Ph C-4), 139.5 (C-3a), 147.9 (C-2), 161.4 (C-4). 15N NMR (40 MHz, DMSO-d6) δN ppm: −264.3 (N-5), −174.7 (N-9), −74.3 (N-1). HRMS (ESI) for C16H18ClN3NaO3 ([M+Na]+): calcd m/z 358.0929, found m/z 358.0929.
2-(4-Bromophenyl)-7-hydroxy-5-(2-methoxyethyl)-5,6,7,8-tetrahydro-4H-pyrazolo[1,5-a][1,4]diazepin-4-one 4l
Purified by column chromatography on silica gel (n-hexane/ethyl acetate gradient from 3/1 to 1/9, v/v). White solid, mp 143–144 °C, procedure b −84% (339 mg). Rf = 0.43 (ethyl acetate). IR (KBr) νmax, cm−1: 3292, 2943, 2876, 1621 (C=O), 1545, 1467, 1107, 1070, 1007, 812. 1H NMR (400 MHz, DMSO-d6) δH ppm: 3.14 (dd, J = 15.0, 7.6 Hz, 1H, 6-Ha), 3.28 (s, 3H, CH3), 3.40–3.57 (m, 4H, 6-Hb, NCHa, CH2O), 3.89 (dt, J = 10.6, 5.1 Hz, 1H, NCHb), 4.23 (dd, J = 14.1, 2.9 Hz, 1H, 8-Ha), 4.35–4.42 (m, 1H, 7-H), 4.47 (dd, J = 14.1, 5.0 Hz, 1H, 8-Hb), 5.53 (d, J = 3.2 Hz, 1H, OH), 7.21 (s, 1H, 3-H), 7.56–7.63 (m, 2H, Ph 3,5-H), 7.76–7.83 (m, 2H, Ph 2,6-H). 13C NMR (101 MHz, DMSO-d6) δC ppm: 46.8 (NCH2), 52.8 (C-6), 56.0 (C-8), 58.0 (CH3), 69.5 (7-H), 69.9 (CH2O), 105.6 (C-3), 120.8 (Ph C-4), 127.1 (Ph C-2,6), 131.7 (Ph C-3,5), 131.8 (Ph C-1), 139.5 (C-3a), 147.9 (C-2), 161.4 (C-4). 15N NMR (40 MHz, DMSO-d6) δN ppm: −264.5 (N-5), –174.5 (N-9), −73.9 (N-1). HRMS (ESI) for C16H18BrN3NaO3 ([M+Na]+): calcd m/z 402.0424, found m/z 402.0424 and 404.0409.
7-Hydroxy-5-(2-methoxyethyl)-2-(4-methoxyphenyl)-5,6,7,8-tetrahydro-4H-pyrazolo[1,5-a][1,4]diazepin-4-one 4m
Purified by column chromatography on silica gel (n-hexane/ethyl acetate gradient from 3.5/1 to 1/9, v/v). White solid, mp 147–148 °C, procedure b −80% (274 mg). Rf = 0.38 (ethyl acetate). IR (KBr) νmax, cm−1: 3212, 2982, 2943, 2882, 2838, 1651 (C=O), 1448, 1249, 1020, 834. 1H NMR (400 MHz, DMSO-d6) δH ppm: 3.15 (dd, J = 15.0, 7.4 Hz, 1H, 6-Ha), 3.28 (s, 3H, OCH3), 3.39–3.57 (m, 4H, 5-CHa, CH2O, 6-Hb), 3.78 (s, 3H, Ph 4-OCH3), 3.89 (dt, J = 13.6, 5.2 Hz, 1H, 5-CHb), 4.21 (dd, J = 14.0, 3.1 Hz, 1H, 8-Ha), 4.34–4.47 (m, 2H, 7-H, 8-Hb), 5.52 (d, J = 4.2 Hz, 1H, OH), 6.93–6.99 (m, 2H, Ph 3,5-H), 7.07 (s, 1H, 3-H), 7.73–7.80 (m, 2H, Ph 2,6-H). 13C NMR (101 MHz, DMSO-d6) δC ppm: 46.8 (5-CH2), 52.9 (C-6), 55.1 (CH3), 55.8 (C-8), 58.1 (OCH3), 69.6 (C-7), 70.0 (CH2O), 104.9 (C-3), 114.1 (Ph C-3,5), 125.2 (Ph C-1), 126.4 (Ph C-2,6), 139.2 (C-3a), 148.9 (C-2), 159.0 (Ph C-4), 161.7 (C-4). 15N NMR (40 MHz, DMSO-d6) δN ppm: −264.5 (N-5), −176.2 (N-9), −77.0 (N-1). HRMS (ESI) for C17H21N3NaO4 ([M+Na]+): calcd m/z 354.1424, found m/z 354.1424.
5-Allyl-7-hydroxy-2-phenyl-5,6,7,8-tetrahydro-4H-pyrazolo[1,5-a][1,4]diazepin-4-one 4n
Purified by column chromatography on silica gel (n-hexane/ethyl acetate 1/9, v/v). White solid, mp 126–127 °C, procedure b −71% (231 mg). Rf = 0.42 (n-hexane/ethyl acetate 3/7, v/v). IR (KBr) νmax, cm−1: 3346, 2939, 1619 (C=O), 1470, 1431, 1286, 1055, 942, 749, 690. 1H NMR (400 MHz, DMSO-d6) δH ppm: 3.09 (dd, J = 15.0, 7.3 Hz, 1H, 6-Ha), 3.38 (dd, J = 15.0, 5.1 Hz, 1H, 6-Hb), 3.94 (dd, J = 15.1, 6.4 Hz, 1H, 5-CHa), 4.20–4.31 (m, 2H, 5-CHb, 8-Ha), 4.34–4.42 (m, 1H, 7-H), 4.55 (dd, J = 14.4, 5.4 Hz, 1H, 8-Hb), 5.18–5.29 (m, 2H, CH2-CH=CH2), 5.55 (d, J = 4.2 Hz, 1H, OH), 5.87 (ddd, J = 22.5, 10.8, 5.9 Hz, 1H, CH2-CH=CH2), 7.19 (s, 1H, 3-H), 7.29–7.35 (m, 1H, Ph 4-H), 7.37–7.44 (m, 2H, Ph 3,5-H), 7.81–7.88 (m, 2H, Ph 2,6-H). 13C NMR (101 MHz, DMSO-d6) δC ppm: 49.6 (5-CH2), 51.3 (C-6), 55.9 (C-8), 69.3 (C-7), 105.8 (C-3), 117.8 (CH2-CH=CH2), 125.1 (Ph C-2,6), 127.8 (Ph C-4), 128.7 (Ph C-3,5), 132.5 (Ph C-1), 133.5 (CH2-CH=CH2), 139.2 (C-3a), 149.0 (C-2), 161.3 (C-4). 15N NMR (40 MHz, DMSO-d6) δN ppm: −263.8 (N-5), −175.4 (N-9), −73.8 (N-1). HRMS (ESI) for C16H17N3NaO2 ([M+Na]+): calcd m/z 306.1213, found m/z 306.1213.
5-Allyl-2-(4-fluorophenyl)-7-hydroxy-5,6,7,8-tetrahydro-4H-pyrazolo[1,5-a][1,4]diazepin-4-one 4o
Purified by column chromatography on silica gel (n-hexane/ethyl acetate gradient from 7/2 to 1/9, v/v). White solid, mp 143–144 °C, procedure b −89% (175 mg). Rf = 0.39 (n-hexane/ethyl acetate 3/7, v/v). IR (KBr) νmax, cm−1: 3230, 2951, 2892, 1651, 1461, 1440, 933, 837, 816, 756. 1H NMR (400 MHz, DMSO-d6) δH ppm: 3.08 (dd, J = 15.0, 7.3 Hz, 1H, 6-Ha), 3.38 (dd, J = 15.0, 5.1 Hz, 1H, 6-Hb), 3.94 (dd, J = 15.2, 6.3 Hz, 1H, 5-CHa), 4.19–4.32 (m, 2H, 5-CHb, 8-Ha), 4.34–4.42 (m, 1H, 7-H), 4.54 (dd, J = 14.3, 5.3 Hz, 1H, 8-Hb), 5.18–5.28 (m, J = 14.0 Hz, 2H, CH2-CH=CH2), 5.55 (d, J = 4.1 Hz, 1H, OH), 5.87 (dq, J = 10.9, 5.8 Hz, 1H, CH2-CH=CH2), 7.20 (s, 1H, 3-H), 7.21–7.29 (m, 2H, Ph 3,5-H), 7.84–7.92 (m, 2H, Ph 2,6-H). 13C NMR (101 MHz, DMSO-d6) δC ppm: 49.6 (5-CH2), 51.3 (C-6), 55.9 (C-8), 69.3 (C-7), 105.7 (C-3), 115.59 (d, 2JCF = 21.5 Hz, Ph C-3,5), 117.8 (CH2-CH=CH2), 127.10 (d, 3JCF = 8.2 Hz, Ph C-2,6), 129.07 (d, 4JCF = 3.0 Hz, Ph C-1), 133.5 (CH2-CH=CH2), 139.2 (C-3a), 148.1 (C-2), 161.3 (C-4), 161.83 (d, JCF = 244.3 Hz, Ph C-4). 15N NMR (40 MHz, DMSO-d6) δN ppm: −264.0 (N-5), −175.1 (N-9), −74.3 (N-1). 19F NMR (376 MHz, DMSO-d6) δF ppm: −114.4 (Ph 6-F). HRMS (ESI) for C16H16FN3NaO2 ([M+Na]+): calcd m/z 324.1119, found m/z 324.1119.
5-Allyl-2-(4-chlorophenyl)-7-hydroxy-5,6,7,8-tetrahydro-4H-pyrazolo[1,5-a][1,4]diazepin-4-one 4p
Purified by column chromatography on silica gel (n-hexane/ethyl acetate gradient from 7/2 to 1/9, v/v). White solid, mp 179–180 °C, procedure b −92% (188 mg). Rf = 0.42 (n-hexane/ethyl acetate 3/7, v/v). IR (KBr) νmax, cm−1: 3363, 2939, 2891, 1620, 1470, 1091, 1053, 939, 812, 753. 1H NMR (400 MHz, DMSO-d6) δH ppm: 3.08 (dd, J = 15.0, 7.3 Hz, 1H, 6-Ha), 3.38 (dd, J = 15.0, 5.1 Hz, 1H, 6-Hb), 3.94 (dd, J = 15.1, 6.3 Hz, 1H, 5-Ha), 4.19–4.42 (m, 3H, 5-CHb, 7-H, 8-Ha), 4.55 (dd, J = 14.4, 5.4 Hz, 1H, 8-Hb), 5.19–5.29 (m, 2H, CH2-CH=CH2), 5.55 (d, J = 4.2 Hz, 1H, OH), 5.86 (ddd, J = 22.5, 10.8, 5.9 Hz, 1H, CH2-CH=CH2), 7.23 (s, 1H, 3-H), 7.43–7.51 (m, 2H, Ph 3,5-H), 7.83–7.91 (m, 2H, Ph 2,6-H). 13C NMR (101 MHz, DMSO-d6) δC ppm: 49.6 (5-CH2), 51.2 (C-6), 56.0 (C-8), 69.3 (C-7), 106.0 (C-3), 117.8 (CH2-CH=CH2), 126.8 (Ph C-2,6), 128.8 (Ph C-3,5), 131.4 (Ph C-1), 132.3 (Ph C-4), 133.4 (CH2-CH=CH2), 139.3 (C-3a), 147.9 (C-2), 161.2 (C-4). 15N NMR (40 MHz, DMSO-d6) δN ppm: −264.1 (N-5), −174.4 (N-9), −73.7 (N-1). HRMS (ESI) for C16H16ClN3NaO2 ([M+Na]+): calcd m/z 340.0823, found m/z 340.0823.
5-Allyl-2-(4-bromophenyl)-7-hydroxy-5,6,7,8-tetrahydro-4H-pyrazolo[1,5-a][1,4]diazepin-4-one 4r
Purified by column chromatography on silica gel (n-hexane/ethyl acetate gradient 1/9, v/v). White solid, mp 186–187 °C, procedure b −76% (277 mg). Rf = 0.43 (n-hexane/ethyl acetate 3/7, v/v). IR (KBr) νmax, cm−1: 3366, 2938, 1621 (C=O), 1469, 1434, 1052, 1006, 933, 811, 752. 1H NMR (400 MHz, DMSO-d6) δH ppm: 3.08 (dd, J = 14.9, 7.3 Hz, 1H, 6-Ha), 3.35–3.42 (m, 1H, 6-Hb), 3.94 (dd, J = 15.1, 6.2 Hz, 1H, 5-CHa), 4.19–4.32 (m, 2H, 5-CHb, 8-Ha), 4.34–4.41 (m, 1H, 7-H), 4.55 (dd, J = 14.3, 5.3 Hz, 1H, 8-Hb), 5.18–5.28 (m, 2H, CH2-CH=CH2), 5.56 (d, J = 4.0 Hz, 1H, OH), 5.81–5.92 (m, 1H, CH2-CH=CH2), 7.23 (s, 1H, 3-H), 7.57–7.63 (m, 2H, Ph 3,5-H), 7.78–7.84 (m, 2H, Ph 2,6-H). 13C NMR (101 MHz, DMSO-d6) δC ppm: 49.6 (5-CH2), 51.2 (C-6), 56.0 (C-8), 69.3 (C-7), 106.0 (C-3), 117.8 (CH2-CH=CH2), 120.9 (Ph C-4), 127.1 (Ph C-2,6), 131.67 (Ph C-3,5), 131.73 (Ph C-1), 133.4 (CH2-CH=CH2), 139.3 (C-3a), 147.9 (C-2), 161.2 (C-4). 15N NMR (40 MHz, DMSO-d6) δN ppm: −263.2 (N-5), −173.1 (N-9), −74.0 (N-1). HRMS (ESI) for C16H16BrN3NaO2 ([M+Na]+): calcd m/z 384.0318, found m/z 384.0318 and 386.0303.
5-Allyl-7-hydroxy-2-(4-methoxyphenyl)-5,6,7,8-tetrahydro-4H-pyrazolo[1,5-a][1,4]diazepin-4-one 4s
Purified by column chromatography on silica gel (n-hexane/ethyl acetate gradient from 4/1 to 1/9, v/v). White solid, mp 134–135 °C, procedure b −85% (301 mg). Rf = 0.35 (n-hexane/ethyl acetate 1.5/3.5, v/v). IR (KBr) νmax, cm−1: 3284, 2932, 2835, 1624 (C=O), 1467, 1285, 1061, 1026, 935, 828. 1H NMR (400 MHz, DMSO-d6) δH ppm: 3.08 (dd, J = 15.0, 7.2 Hz, 1H, 6-Ha), 3.37 (dd, J = 14.8, 4.9 Hz, 1H, 6-Hb), 3.78 (s, 3H, Ph 4-OCH3), 3.94 (dd, J = 15.1, 6.4 Hz, 1H, 5-CHa), 4.20 (dd, J = 14.3, 3.8 Hz, 1H, 8-Ha), 4.28 (dd, J = 15.1, 5.3 Hz, 1H, 5-CHb), 4.33–4.40 (m, 1H, 7-H), 4.51 (dd, J = 14.3, 5.4 Hz, 1H, 8-Hb), 5.17–5.28 (m, 2H, CH2-CH=CH2), 5.54 (d, J = 4.2 Hz, 1H, OH), 5.86 (ddd, J = 22.5, 10.3, 5.9 Hz, 1H, CH2-CH=CH2), 6.93–7.00 (m, 2H, Ph 3,5-H), 7.10 (s, 1H, 3-H), 7.72–7.80 (m, 2H, Ph 2,6-H). 13C NMR (101 MHz, DMSO-d6) δC ppm: 49.6 (5-CH2), 51.3 (C-6), 55.1 (Ph 4-OCH3), 55.8 (C-8), 69.4 (C-7), 105.2 (C-3), 114.1 (Ph C-3,5), 117.8 (CH2-CH=CH2), 125.2 (Ph C-1), 126.4 (Ph C-2,6), 133.5 (CH2-CH=CH2), 139.0 (C-3a), 148.9 (C-2), 159.0 (Ph C-4), 161.4 (C-4). 15N NMR (40 MHz, DMSO-d6) δN ppm: −176.8 (N-9), −75.9 (N-1). HRMS (ESI) for C17H19N3NaO3 ([M+Na]+): calcd m/z 336.1319, found m/z 336.1319.
5-Benzyl-7-hydroxy-2-phenyl-5,6,7,8-tetrahydro-4H-pyrazolo[1,5-a][1,4]diazepin-4-one 4t
Purified by column chromatography on silica gel (n-hexane/ethyl acetate 1/9, v/v). Pale yellow solid, mp 167–168 °C, procedure b −87% (138 mg). Rf = 0.55 (n-hexane/ethyl acetate 3/7, v/v). IR (KBr) νmax, cm−1: 3257, 3143, 2892, 1649 (C=O), 1451, 1235, 765 and 754 (doublet), 705 and 692 (doublet). 1H NMR (400 MHz, DMSO-d6) δH ppm: 3.08 (dd, J = 14.9, 7.5 Hz, 1H, 6-Ha), 3.37 (dd, J = 15.0, 5.2 Hz, 1H, 6-Hb), 4.12–4.19 (m, 1H, 7-H), 4.24 (dd, J = 14.4, 3.5 Hz, 1H, 8-Ha), 4.43–4.56 (m, 2H, 5-CHa, 8-Hb), 4.96 (d, J = 14.7 Hz, 1H, 5-CHb), 5.51 (d, J = 4.1 Hz, 1H, OH), 7.25 (s, 1H, 3-H), 7.29–7.35 (m, 2H, CPh 4-H, CH2Ph 4-H), 7.36–7.44 (m, 6H, CPh 3,5-H, CH2Ph 2,3,5,6-H), 7.82–7.88 (m, 2H, CPh 2,6-H). 13C NMR (101 MHz, DMSO-d6) δC ppm: 50.3 (5-CH2), 51.3 (C-6), 55.9 (C-8), 69.3 (C-7), 105.9 (C-3), 125.1 (CPh C-2,6), 127.5 (CH2Ph C-4), 127.8 (CPh C-4), 128.1 (CH2Ph C-2,6), 128.6 (CH2Ph C-3,5), 128.7 (CPh C-3,5), 132.5 (CPh C-1), 137.5 (CH2Ph C-1), 139.0 (C-3a), 149.0 (C-2), 161.7 (C-4). 15N NMR (40 MHz, DMSO-d6) δN ppm: −259.1 (N-5), −176.3 (N-9), −73.3 (N-1). HRMS (ESI) for C20H19N3NaO2 ([M+Na]+): calcd m/z 356.1369, found m/z 356.1370.
5-Benzyl-2-(4-fluorophenyl)-7-hydroxy-5,6,7,8-tetrahydro-4H-pyrazolo[1,5-a][1,4]diazepin-4-one 4u
Purified by column chromatography on silica gel (n-hexane/ethyl acetate gradient from 4/1 to 1/9, v/v). Pale yellow solid, mp 192–193 °C, procedure b −70% (301 mg). Rf = 0.52 (n-hexane/ethyl acetate 1.5/3.5, v/v). IR (KBr) νmax, cm−1: 3291, 3144, 2945, 1617 (C=O), 1470, 1442, 1230, 839, 701, 639. 1H NMR (400 MHz, DMSO-d6) δH ppm: 3.07 (dd, J = 14.9, 7.5 Hz, 1H, 6-Ha), 3.34–3.40 (m, 1H, 6-Hb), 4.11–4.26 (m, 2H, 7-H, 8-Ha), 4.43–4.55 (m, 2H, 5-CHa, 8-Hb), 4.96 (d, J = 14.7 Hz, 1H, 5-CHb), 5.50 (d, J = 4.0 Hz, 1H, OH), 7.20–7.41 (m, 8H, 3-H, CPh 3,5-H, CH2Ph 2,3,4,5,6-H), 7.85–7.93 (m, 2H, CPh 2,6-H). 13C NMR (101 MHz, DMSO-d6) δC ppm: 50.3 (5-CH2), 51.3 (C-6), 55.9 (C-8), 69.2 (C-7), 105.9 (C-3), 115.61 (d, 2JCF = 21.5 Hz, CPh C-3,5), 127.10 (d, 3JCF = 8.2 Hz, CPh C-2,6), 127.5 (CH2Ph C-4), 128.1 (CH2Ph C-2,6), 128.6 (CH2Ph C-3,5), 129.06 (d, 4JCF = 2.8 Hz, CPh C-1), 137.5 (CH2Ph C-1), 139.1 (C-3a), 148.2 (C-2), 161.6 (C-4), 161.84 (d, JCF = 244.3 Hz, CPh C-4). 15N NMR (40 MHz, DMSO-d6) δN ppm: −259.9 (N-5), −175.3 (N-9), −74.4 (N-1). 19F NMR (376 MHz, DMSO-d6) δF ppm: −114.3 (CPh 6-F). HRMS (ESI) for C20H18FN3NaO2 ([M+Na]+): calcd m/z 374.1275, found m/z 374.1275.
5-Benzyl-2-(4-chlorophenyl)-7-hydroxy-5,6,7,8-tetrahydro-4H-pyrazolo[1,5-a][1,4]diazepin-4-one 4v
Purified by column chromatography on silica gel (n-hexane/ethyl acetate gradient from 7/2 to 1/9, v/v). White solid, mp 181–182 °C, procedure b −96% (419 mg). Rf = 0.57 (n-hexane/ethyl acetate 3/7, v/v). IR (KBr) νmax, cm−1: 3246, 2939, 1619 (C=O), 1455, 1434, 1091, 830 and 819 (doublet), 757, 699. 1H NMR (400 MHz, DMSO-d6) δH ppm: 3.08 (dd, J = 14.9, 7.5 Hz, 1H, 6-Ha), 3.37 (dd, J = 15.0, 5.0 Hz, 1H, 6-Hb), 4.11–4.27 (m, 2H, 7-H, 8-Ha), 4.43–4.57 (m, 2H, 5-CHa, 8-Hb), 4.96 (d, J = 14.7 Hz, 1H, 5-CHb), 5.51 (d, J = 3.6 Hz, 1H, OH), 7.28–7.41 (m, 6H, 3-H, CH2Ph 2,3,4,5,6-H), 7.44–7.50 (m, 2H, CPh 3,5-H), 7.84–7.91 (m, 2H, CPh 2,6-H). 13C NMR (101 MHz, DMSO-d6) δC ppm: 50.3 (5-CH2), 51.3 (C-6), 56.0 (C-8), 69.2 (C-7), 106.1 (C-3), 126.8 (CPh C-2,6), 127.5 (CH2Ph C-4), 128.1 (CH2Ph C-2,6), 128.6 (CH2Ph C-3,5), 128.8 (CPh C-3,5), 131.4 (CPh C-1), 132.3 (CPh C-4), 137.5 (CH2Ph C-1), 139.2 (C-3a), 147.9 (C-2), 161.6 (C-4). 15N NMR (40 MHz, DMSO-d6) δN ppm: −259.6 (N-5), −174.8 (N-9), −73.4 (N-1). HRMS (ESI) for C20H18ClN3NaO2 ([M+Na]+): calcd m/z 390.0980, found m/z 390.0980.
5-Benzyl-2-(4-bromophenyl)-7-hydroxy-5,6,7,8-tetrahydro-4H-pyrazolo[1,5-a][1,4]diazepin-4-one 4w
Purified by column chromatography on silica gel (n-hexane/ethyl acetate 1/9, v/v). Pale yellow solid, mp 157–158 °C, procedure b −72% (287 mg). Rf = 0.57 (n-hexane/ethyl acetate 3/7, v/v). IR (KBr) νmax, cm−1: 3270, 1619 (C=O), 1460, 1429, 1247, 1068, 1009, 816, 756, 701. 1H NMR (400 MHz, DMSO-d6) δH ppm: 3.08 (dd, J = 14.9, 7.6 Hz, 1H, 6-Ha), 3.34–3.41 (m, 1H, 6-Hb), 4.12–4.18 (m, 1H, 7-H), 4.20–4.27 (m, 1H, 8-Ha), 4.46 (d, J = 14.7 Hz, 1H, 5-CHa), 4.52 (dd, J = 14.4, 5.3 Hz, 1H, 8-Hb), 4.96 (d, J = 14.7 Hz, 1H, 5-CHb), 5.51 (d, J = 4.1 Hz, 1H, OH), 7.28–7.34 (m, 2H, 3-H, CH2Ph 4-H), 7.35–7.39 (m, 4H, CH2Ph 2,3,5,6-H), 7.56–7.64 (m, 2H, CPh 3,5-H), 7.78–7.85 (m, 2H, CPh 2,6-H). 13C NMR (101 MHz, DMSO-d6) δC ppm: 50.4 (5-CH2), 51.3 (C-6), 56.0 (C-8), 69.2 (C-7), 106.1 (C-3), 120.9 (CPh C-4), 127.1 (CPh C-2,6), 127.5 (CH2Ph C-4), 128.2 (CH2Ph C-3,5), 128.6 (CH2Ph C-2,6), 131.68 (CPh C-3,5), 131.72 (CPh C-1), 137.5 (CH2Ph C-1), 139.2 (C-3a), 148.0 (C-2), 161.6 (C-4). 15N NMR (40 MHz, DMSO-d6) δN ppm: −259.5 (N-5), −174.5 (N-9), −73.7 (N-1). HRMS (ESI) for C20H18BrN3NaO2 ([M+Na]+): calcd m/z 434.0475, found m/z 434.0475 and 436.0445.
5-Benzyl-7-hydroxy-2-(4-methoxyphenyl)-5,6,7,8-tetrahydro-4H-pyrazolo[1,5-a][1,4]diazepin-4-one 4x
Purified by column chromatography on silica gel (n-hexane/ethyl acetate gradient from 3.5/1 to 1/9, v/v). White solid, mp 179–180 °C, procedure b −72% (313 mg). Rf = 0.46 (n-hexane/ethyl acetate 1.5/3.5, v/v). IR (KBr) νmax, cm−1: 3204, 1651 (C=O), 1462, 1436, 1250, 1180, 1029, 833, 753, 705. 1H NMR (400 MHz, DMSO-d6) δH ppm: 3.07 (dd, J = 14.9, 7.5 Hz, 1H, 6-Ha), 3.36–3.40 (m, 1H, 6-Hb), 3.78 (s, 3H, -OCH3), 4.11–4.24 (m, 2H, 7-H, 8-Ha), 4.42–4.53 (m, 2H, 5-CHa, 8-Hb), 4.96 (d, J = 14.7 Hz, 1H, 5-CHb), 5.50 (s, 1H, OH), 6.94–7.00 (m, 2H, CPh 3,5-H), 7.15 (s, 1H, 3-H), 7.28–7.34 (m, 1H, CH2Ph 4-H), 7.35–7.41 (m, 4H, CH2Ph 2,3,5,6-H), 7.74–7.81 (m, 2H, CPh 2,6-H). 13C NMR (101 MHz, DMSO-d6) δC ppm: 50.4 (5-CH2), 51.4 (C-6), 55.1 (OCH3), 55.8 (C-8), 69.3 (C-7), 105.3 (C-3), 114.1 (CPh C-3,5), 125.1 (CPh C-1), 126.4 (CPh C-2,6), 127.5 (CH2Ph C-4), 128.1 (CH2Ph C-2,6), 128.6 (CH2Ph C-3,5), 137.6 (CH2Ph C-1), 138.9 (C-3a), 149.0 (C-2), 159.0 (CPh C-4), 161.8 (C-4). 15N NMR (40 MHz, DMSO-d6) δN ppm: −258.9 (N-5), −176.9 (N-9), −75.4 (N-1). HRMS (ESI) for C21H21N3NaO3 ([M+Na]+): calcd m/z 386.1475, found m/z 386.1475.
3.2.4. Synthesis of Ethyl 1-(oxiran-2-ylmethyl)-1H-indole-2-carboxylates (6a–e) and Ethyl 1-(oxiran-2-ylmethyl)-1H-benzo[d]imidazole-2-carboxylate (6f)
Procedure a. Indole-2-carboxylate 5a–e (1 eq) was dissolved in dry dimethyl formamide (0.2 M) and KOH (3 eq; flakes) was added followed by 2-(chloromethyl)oxirane (1.5 eq). The reaction mixture was stirred at 40 °C for 1 h under argon atmosphere. Upon completion, the mixture was concentrated to approximately 1/3 volume, diluted with ethyl acetate, and washed with brine. Organic layer was separated, dried over anhydrous Na2SO4, filtered, and concentrated under reduced pressure. The residue was purified by column chromatography.
Procedure b. Benzimidazole-2-carboxylate 5f (1 eq) was dissolved in dry dimethyl formamide (0.3 M) and NaH (1.5 eq; 60% dispersion in mineral oil) was added followed by 2-(chloromethyl)oxirane (1.5 eq). The reaction mixture was stirred at 60 °C for 4 h. Upon completion, the reaction mixture was cooled to 0 °C, quenched with water and extracted with ethyl acetate. The combined organic phases were washed with brine, dried over anhydrous Na2SO4, filtered, and concentrated under reduced pressure. The residue was purified by column chromatography.
Ethyl 1-(oxiran-2-ylmethyl)-1H-indole-2-carboxylate 6a
Purified by column chromatography on silica gel (n-hexane/ethyl acetate 8/1, v/v). White solid, mp 47–49 °C, procedure a −73% (94 mg). Rf = 0.29 (n-hexane/ethyl acetate 6/1, v/v). IR (KBr) νmax, cm−1: 3064, 2974, 2928, 1713 (C=O), 1408, 1265, 1205, 1140, 1096, 744. 1H NMR (400 MHz, CDCl3) δH ppm: 1.41 (t, J = 7.1 Hz, 3H, CH3), 2.49–2.53 (m, 1H, Ox CHaHb), 2.77 (t, J = 4.2 Hz, 1H, Ox CHaHb), 3.33–3.39 (m, 1H, Ox CH), 4.38 (q, J = 7.1 Hz, 2H, CH2CH3), 4.56 (dd, J = 15.1, 5.0 Hz, 1H, NCHaHb), 5.03 (dd, J = 15.1, 2.4 Hz, 1H, NCHaHb), 7.14–7.18 (m, 1H, 5-H), 7.34–7.37 (m, 2H, 3-H, 6-H), 7.45–7.47 (m, 1H, 7-H), 7.66–7.68 (m, 1H, 4-H). 13C NMR (101 MHz, CDCl3) δC ppm: 14.5 (CH3), 45.5 (Ox CHaHb), 46.2 (NCHaHb), 51.6 (Ox CH), 60.8 (CH2CH3), 110.9 (C-7), 111.1 (C-3), 121.1 (C-5), 122.7 (C-4), 125.5 (C-6), 126.1 (C-3a), 127.7 (C-2), 140.0 (C-7a), 162.3 (COO). 15N NMR (40 MHz, CDCl3) δN ppm: –250.9 (N). HRMS (ESI) for C14H16NO3 ([M+H]+): calcd m/z 246.1125, found m/z 246.1119.
Ethyl 5-fluoro-1-(oxiran-2-ylmethyl)-1H-indole-2-carboxylate 6b
Purified by column chromatography on silica gel (n-hexane/ethyl acetate 8/1, v/v). White solid, mp 65–66 °C, procedure a −39% (50 mg). Rf = 0.19 (n-hexane/ethyl acetate 6/1, v/v). IR (KBr) νmax, cm−1: 2974, 2930, 1713 (C=O), 1527, 1266, 1246, 1177, 1091, 756. 1H NMR (400 MHz, CDCl3) δH ppm: 1.41 (t, J = 7.1 Hz, 3H, CH3), 2.45–2.53 (m, 1H, Ox CHaHb), 2.79 (t, J = 4.2 Hz, 1H, Ox CHaHb), 3.32–3.40 (m, 1H, Ox CH), 4.38 (q, J = 7.1 Hz, 2H, CH2CH3), 4.47 (dd, J = 15.2, 5.3 Hz, 1H, NCHaHb), 5.08 (dd, J = 15.2, 2.4 Hz, 1H, NCHaHb), 7.07–7.15 (m, 1H, 6-H), 7.24–7.33 (m, 2H, 3-H, 7-H), 7.38–7.45 (m, 1H, 4-H). 13C NMR (101 MHz, CDCl3) δH ppm: 14.5 (CH3), 45.3 (Ox CHaHb), 46.6 (NCHaHb), 51.7 (Ox CH), 61.0 (CH2CH3), 106.7 (d, J = 23.2 Hz, C-7), 110.7 (d, J = 5.1 Hz, C-3), 112.1 (d, J = 10.1 Hz, C-4), 114.6 (d, J = 27.3 Hz, C-6), 126.1 (d, J = 11.1 Hz, C-3a), 129.0 (C-2), 136.7 (C-7a), 158.4 (d, J = 238.4 Hz, C-5), 162.0 (COO). 15N NMR (40 MHz, CDCl3) δN ppm: –250.9 (N). 19F NMR (376 MHz, DMSO-d6) δF ppm: –127.7 (F). HRMS (ESI) for C14H15FNO3 ([M+H]+): calcd m/z 264.1030, found m/z 264.1031.
Ethyl 5-chloro-1-(oxiran-2-ylmethyl)-1H-indole-2-carboxylate 6c
Purified by column chromatography on silica gel (n-hexane/ethyl acetate 8/1, v/v). White solid, mp 79–80 °C, procedure a −69% (72 mg). Rf = 0.23 (n-hexane/ethyl acetate 6/1, v/v). IR (KBr) νmax, cm−1: 2984, 2928, 1703 (C=O), 1517, 1457, 1252, 1199, 763. 1H NMR (400 MHz, CDCl3) δH ppm: 1.42 (t, J = 7.1 Hz, 3H, CH3), 2.48 (dd, J = 4.4, 2.6 Hz, 1H, Ox CHaHb), 2.78 (t, J = 4.3 Hz, 1H, Ox CHaHb), 3.32–3.38 (m, 1H, Ox CH), 4.38 (q, J = 7.1 Hz, 2H, CH2CH3), 4.47 (dd, J = 15.2, 5.4 Hz, 1H, NCHaHb), 5.07 (dd, J = 15.2, 2.6 Hz, 1H, NCHaHb), 7.25–7.26 (m, 1H, 3-H), 7.28–7.30 (m, 1H, 6-H), 7.39–7.41 (m, 1H, 7-H), 7.62–7.63 (m, 1H, 4-H). 13C NMR (101 MHz, CDCl3) δC ppm: 14.5 (CH3), 45.3 (Ox CHaHb), 46.5 (NCHaHb), 51.6 (Ox CH), 61.1 (CH2CH3), 110.3 (C-3), 112.3 (C-7), 121.7 (C-4), 125.9 (C-6), 126.8 (C-5), 126.9 (C-3a), 128.8 (C-2), 138.3 (C-7a), 162.0 (COO). 15N NMR (40 MHz, CDCl3) δN ppm: –250.0 (N). HRMS (ESI) for C14H15ClNO3 ([M+H]+): calcd m/z 280.0735, found m/z 280.0733.
Ethyl 5-methyl-1-(oxiran-2-ylmethyl)-1H-indole-2-carboxylate 6d
Purified by column chromatography on silica gel (n-hexane/ethyl acetate 8/1, v/v). White solid, mp 72–74 °C, procedure a −75% (96 mg). Rf = 0.27 (n-hexane/ethyl acetate 6/1, v/v). IR (KBr) νmax, cm−1: 2976, 1706 (C=O), 1408, 1263, 1211, 1128, 1096, 763. 1H NMR (400 MHz, CDCl3) δH ppm: 1.41 (t, J = 7.1 Hz, 3H, CH2CH3), 2.44 (s, 3H, 5-CH3), 2.49 (dd, J = 4.4, 2.6 Hz, 1H, Ox CHaHb), 2.76 (t, J = 4.4 Hz, 1H, Ox CHaHb), 3.32–3.37 (m, 1H, Ox CH), 4.37 (q, J = 7.1 Hz, 2H, CH2CH3), 4.55 (dd, J = 15.1, 5.0 Hz, 1H, NCHaHb), 4.99 (dd, J = 15.1, 3.2 Hz, 1H, NCHaHb), 7.16–7.20 (m, 1H, 6-H), 7.22–7.27 (m, 1H, 3-H), 7.33–7.37 (m, 1H, 7-H), 7.42–7.48 (m, 1H, 4-H). 13C NMR (101 MHz, CDCl3) δH ppm: 14.5 (CH2CH3), 21.5 (5-CH3), 45.5 (Ox CHaHb), 46.2 (NCHaHb), 51.7 (Ox CH), 60.7 (CH2CH3), 110.59 (C-7), 110.62 (C-3), 121.9 (C-4), 126.3 (C-3a), 127.5 (C-6), 127.6 (C-2), 130.4 (C-5), 138.5 (C-7a), 162.3 (COO). 15N NMR (40 MHz, CDCl3) δN ppm: –251.8 (N). HRMS (ESI) for C15H18NO3 ([M+H]+): calcd m/z 260.1281, found m/z 260.1277.
Ethyl 3-methyl-1-(oxiran-2-ylmethyl)-1H-indole-2-carboxylate 6e
Purified by column chromatography on silica gel (petroleum ether/ethyl acetate gradient from 9/1 to 8/1, v/v). Colorless liquid, procedure a −47% (60 mg). Rf = 0.14 (petroleum ether/ethyl acetate 10/1, v/v). IR (KBr) νmax, cm−1: 1698 (C=O), 1273, 1250, 1208, 1129, 1111, 741. 1H NMR (500 MHz, CDCl3) δH ppm: 1.44 (t, J = 7.2 Hz, 3H, CH2CH3), 2.49 (dd, J = 4.9, 2.8 Hz, 1H, Ox CHaHb), 2.59 (s, 3H, 5-CH3), 2.74–2.77 (m, 1H, OxCHaHb), 3.33–3.37 (m, 1H, Ox CH), 4.42 (q, J = 7.1 Hz, 2H, CH2CH3), 4.50 (dd, J = 15.3, 5.2 Hz, 1H, NCHaHb), 4.94 (dd, J = 15.3, 3.4 Hz, NCHaHb), 7.13–7.17 (m, 1H, 5-H), 7.33–7.37 (m, 1H, 6-H), 7.39–7.43 (m, 1H, 7-H), 7.64–7.69 (m, 1H, 4-H). 13C NMR (125 MHz, CDCl3) δC ppm: 11.0 (3-CH3), 14.5 (CH2CH3),45.4 (Ox CHaHb), 46.4 (NCHaHb), 51.8 (Ox CH), 60.6 (CH2CH3), 110.6 (C-7), 120.2 (C-5), 120.8 (C-4), 121.5 (Cq), 124.6 (Cq), 125.7 (C-6), 127.4 (Cq), 139.1 (Cq), 163.2 (COO). 15N NMR (40 MHz, CDCl3) δN ppm: −254.7 (N). HRMS (ESI) for C15H18NO3 ([M+H]+): calcd m/z 260.1281, found m/z 260.1276.
Ethyl 1-(oxiran-2-ylmethyl)-1H-benzo[d]imidazole-2-carboxylate 6f
Purified by column chromatography on silica gel (petroleum ether/ethyl acetate gradient from 1/1 to 2/3, v/v). White solid, mp 49–52 °C, procedure b −33% (86 mg). Rf = 0.37 (petroleum ether/ethyl acetate 1/1, v/v). IR (KBr) νmax, cm−1: 2360, 2341, 1709 (C=O), 1494, 1457, 1410, 1338, 1283, 1202, 1138, 743. 1H NMR (500 MHz, DMSO-d6) δH ppm: 1.34 (t, J = 7.2 Hz, 3H, CH3), 2.42–2.45 (m, 1H, Ox CHaHb), 2.72 (t, J = 4.4 Hz, OxCHaHb), 3.33–3.38 m, 1H, Ox CH), 4.37 (q, J = 7.1 Hz, 2H, CH2CH3), 4.58 (dd, J = 15.1, 8.7 Hz, 1H, NCHaHb), 5.03 (dd, J = 15.3, 3.1 Hz, NCHaHb), 7.29–7.34 (m, 1H, 5-H), 7.37–7.42 (m, 1H, 6-H), 7.69–7.72 (m, 1H, 7-H), 7.74–7.78 (m, 1H, 4-H). 13C NMR (125 MHz, DMSO-d6) δC ppm: 14.5 (CH3), 45.2 (Ox CHaHb), 46.8 (NCHaHb), 50.9 (Ox CH), 62.2 (CH2CH3), 112.5 (C-7), 121.4 (C-4), 124.0 (C-5), 125.7 (C-6), 136.8 (Cq), 141.5 (Cq), 141.6 (Cq), 160.1 (COO). 15N NMR (40 MHz, DMSO-d6) δN ppm: −229.8 (N). HRMS (ESI) for C13H14N2O3 ([M+H]+): calcd m/z 247.1077, found m/z 247.1071.
3.2.5. Synthesis of 4-Hydroxy-2,3,4,5-tetrahydro-1H-[1,4]diazepino[1,2-a]indol-1-ones (7a–f) and 4-Hydroxy-2,3,4,5-tetrahydro-1H-benzo[4,5]imidazo[1,2-a][1,4]diazepin-1-one (7g)
Procedure a. Ethyl 1-(oxiran-2-ylmethyl)-1H-indole-2-carboxylate 6a–e or ethyl 1-(oxiran-2-ylmethyl)-1H-benzo[d]imidazole-2-carboxylate 6f (1 eq) was dissolved in 7M ammonia (100 eq) solution in methanol, sealed in a pressure tube and stirred at 70 °C for 18 h. After completion, the reaction mixture was cooled to 0 °C, quenched with water and extracted with ethyl acetate. The combined organic phases were washed with brine, dried over anhydrous Na2SO4, filtered, and concentrated under reduced pressure. The residue was purified by column chromatography.
Procedure b. To a solution of ethyl 1-(oxiran-2-ylmethyl)-1H-indole-2-carboxylate 7a (1eq) in methanol (5 M) benzylamine (3 eq) was added, the reaction mixture was sealed in a pressure tube and stirred at 70 °C for 18 h. After completion, the reaction mixture was poured into water and extracted with ethyl acetate. The combined organic phases were washed with brine, dried over anhydrous Na2SO4, filtered, and concentrated under reduced pressure. The residue was purified by column chromatography.
4-Hydroxy-2,3,4,5-tetrahydro-1H-[1,4]diazepino[1,2-a]indol-1-one 7a
Purified by column chromatography on silica gel (dichloromethane/methanol 100/5, v/v). White solid, decomp. 216 °C, procedure a −93% (82 mg). Rf = 0.45 (dichloromethane/methanol 9/1, v/v). IR (KBr) νmax, cm−1: 3318, 3194, 3049, 2895, 1660 (C=O), 1643 (C=O), 1549, 1461, 1407, 740. 1H NMR (400 MHz, DMSO-d6) δH ppm: 2.83 (dt, J = 12.0, 5.6 Hz, 1H, 3-Ha), 3.21 (dt, J = 11.3, 5.4 Hz, 1H, 3-Hb), 4.18–4.28 (m, 2H, 5-Ha, 4-H), 4.42 (dd, J = 13.9, 4.1 Hz, 1H, 5-Hb), 5.37 (d, J = 3.8 Hz, 1H, OH), 6.93 (s, 1H, 11-H), 7.06–7.10 (m, 1H, 9-H), 7.25–7.29 (m, 1H, 8-H), 7.55–7.57 (m, 1H, 7-H), 7.62–7.64 (m, 1H, 10-H), 8.08–8.10 (m, 1H, NH). 13C NMR (101 MHz, DMSO-d6) δC ppm: 45.6 (C-3), 48.2 (C-5), 69.5 (C-4), 105.3 (C-11), 110.5 (C-7), 119.9 (C-9), 121.6 (C-10), 123.5 (C-8), 126.0 (C-10a), 134.7 (C-11a), 137.5 (C-6a), 165.5 (C-1). 15N NMR (40 MHz, DMSO-d6) δN ppm: –272.6 (N-2), –249.8 (N-6). HRMS (ESI) for C12H13N2O2 ([M+H]+): calcd m/z 217.0972, found m/z 217.0969.
9-Fluoro-4-hydroxy-2,3,4,5-tetrahydro-1H-[1,4]diazepino[1,2-a]indol-1-one 7b
Purified by column chromatography on silica gel (dichloromethane/methanol 100/5, v/v). White solid, decomp. 220 °C, procedure a −63% (56 mg). Rf = 0.55 (dichloromethane/methanol 9/1, v/v). IR (KBr) νmax, cm−1: 3335, 3283, 3200, 3047, 1647 (C=O), 1548, 1408, 1203, 796. 1H NMR (400 MHz, DMSO-d6) δH ppm: 2.78–2.87 (m, 1H, 3-Ha), 3.16–3.26 (m, 1H, 3-Hb), 4.16–4.30 (m, 2H, 5-Ha, 4-H), 4.43 (dd, J = 14.0, 4.2 Hz, 1H, 5-Hb), 5.38 (d, J = 4.0 Hz, 1H, OH), 6.91 (s, 1H, 11-H), 7.08–7.19 (m, 1H, 8-H), 7.36–7.43 (m, 1H, 10-H), 7.56–7.63 (m, 1H, 7-H), 8.12–8.20 (m, 1H, NH). 13C NMR (101 MHz, DMSO-d6) δC ppm: 45.6 (C-3), 48.5 (C-5), 69.5 (C-4), 105.0 (d, 4JCF = 5.1 Hz, C-11), 105.8 (d, 2JCF = 23.3 Hz, C-10), 111.9 (d, 3JCF = 9.8 Hz, C-7), 112.1 (d, 2JCF = 26.6 Hz, C-8), 126.1 (d, 3JCF = 10.6 Hz, C-10a), 134.2 (C-6a), 136.3 (C-11a), 157.2 (d, JCF = 233.1 Hz, C-9), 165.2 (C-1). 15N NMR (40 MHz, DMSO-d6) δN ppm: –271.8 (N-2), –250.1 (N-6). HRMS (ESI) for C12H12FN2O2 ([M+H]+): calcd m/z 235.0877, found m/z 235.0876.
9-Chloro-4-hydroxy-2,3,4,5-tetrahydro-1H-[1,4]diazepino[1,2-a]indol-1-one 7c
Purified by column chromatography on silica gel (dichloromethane/methanol 100/5, v/v). White solid, decomp. 210 °C, procedure a −84% (75 mg). Rf = 0.52 (dichloromethane/methanol 9/1, v/v). IR (KBr) νmax, cm−1: 3325, 3275, 3191, 3046, 1660 (C=O), 1643 (C=O), 1545, 1408, 797. 1H NMR (400 MHz, DMSO-d6) δH ppm: 2.86–2.75 (m, 1H, 3-Ha), 3.27–3.14 (m, 1H, 3-Hb), 4.29–4.16 (m, 2H, 4-H, 5-Ha), 4.43 (dd, J = 13.8, 3.9 Hz, 1H, 5-Hb), 5.39 (d, J = 3.8 Hz, 1H, OH), 6.91 (s, 1H, 11-H), 7.24–7.31 (m, 1H, 8-H), 7.57–7.65 (m, 1H, 7-H), 7.68–7.73 (m, 1H, 10-H), 8.14–8.22 (m, 1H, NH). 13C NMR (101 MHz, DMSO-d6) δC ppm: 45.5 (C-3), 48.5 (C-5), 69.4 (C-4), 104.7 (C-11), 112.3 (7-C), 120.6 (C-10), 123.5 (C-8), 124.4 (C-9), 127.0 (C-10a), 135.9 (C-6a), 136.1 (C-11a), 165.1 (C-1). 15N NMR (40 MHz, DMSO-d6) δN ppm: –271.5 (N-2), –248.7 (N-6). HRMS (ESI) for C12H12ClN2O2 ([M+H]+): calcd m/z 251.0582, found m/z 251.0580.
4-Hydroxy-9-methyl-2,3,4,5-tetrahydro-1H-[1,4]diazepino[1,2-a]indol-1-one 7d
Purified by column chromatography on silica gel (dichloromethane/methanol 100/5, v/v). White solid, decomp. 225 °C, procedure a −86% (76 mg). Rf = 0.66 (dichloromethane/methanol 9/1, v/v). IR (KBr) νmax, cm−1: 3319, 3194, 3046, 1659 (C=O), 1640 (C=O), 1552, 1463, 1407, 790. 1H NMR (400 MHz, DMSO-d6) δH ppm: 2.38 (s, 3H, CH3), 2.78–2.87 (m, 1H, 3-Ha), 3.15–3.24 (m, 1H, 3-Hb), 4.16 (dd, J = 14.3, 4.3 Hz, 1H, 5-Ha), 4.20–4.27 (m, 1H, 4-H), 4.38 (dd, J = 14.2, 4.7 Hz, 1H, 5-Hb), 5.35 (d, J = 4.1 Hz, 1H, OH), 6.83 (s, 1H, 11-H), 7.06–7.14 (m, 1H, 8-H), 7.37–7.42 (m, 1H, 10-H), 7.41–7.47 (m, 1H, 7-H), 8.02–8.09 (m, 1H, NH). 13C NMR (101 MHz, DMSO-d6) δC ppm: 21.0 (CH3), 45.7 (C-3), 48.3 (C-5), 69.6 (C-4), 104.8 (C-11), 110.2 (C-7), 120.9 (C-10), 125.3 (C-8), 126.2 (C-9), 128.5 (C-10a), 134.6 (C-11a), 136.0 (C-6a), 165.6 (C-1). 15N NMR (40 MHz, DMSO-d6) δN ppm: –273.1 (N-2), –250.9 (N-6). 19F NMR (376 MHz, DMSO-d6) δF ppm: –123.9 (F). HRMS (ESI) for C13H15N2O2 ([M+H]+): calcd m/z 231.1128, found m/z 231.1124.
4-Hydroxy-11-methyl-2,3,4,5-tetrahydro-1H-[1,4]diazepino[1,2-a]indol-1-one 7e
Purified by column chromatography on silica gel (petroleum ether/ethyl acetate/methanol gradient from 1/3/0 to 5/20/1, v/v/v). White solid, decomp. 218 °C, procedure a −66% (66 mg). Rf = 0.42 (ethyl acetate/methanol 10/1, v/v). IR (KBr) νmax, cm−1: 3308, 1631 (C=O), 1556, 1461, 1418, 1383, 1362, 1341, 1329, 1259, 1066, 733. 1H NMR (500 MHz, DMSO-d6) δH ppm: 2.36 (s, 3H, CH3), 2.76 (dt, J = 14.4, 6.0 Hz, 1H, 3-Ha), 3.13 (dt, J = 14.4, 5.8 Hz, 1H, 3-Hb), 4.10 (dd, J = 14.2, 4.4 Hz, 1H, 5-Ha), 4.12–4.19 (m, 1H, 4-H), 4.32 (dd, J = 14.4, 4.9 Hz, 1H, 5-Hb), 5.30 (d, J = 4.0 Hz, 1H, OH), 7.02–7.10 (m, 1H, 9-H), 7.22–7.29 (m, 1H, 8-H), 7.47–7.52 (m, 1H, 7-H), 7.57–7.62 (m, 1H, 10-H), 7.97–8.02 (m, 1H, NH). 13C NMR (125 MHz, DMSO-d6) δC ppm: 9.6 (CH3), 46.1 (C-3), 48.6 (C-5), 69.4 (C-4), 110.6 (C-7), 115.5 (Cq), 119.6 (C-9), 120.3 (C-10), 124.3 (C-8), 127.4 (Cq), 130.3 (Cq), 137.0 (Cq), 166.3 (C-1). 15N NMR (40 MHz, DMSO-d6) δN ppm: −271.4 (N-2), −254.4 (N-6). HRMS (ESI) for C13H15N2O2 ([M+H]+): calcd m/z 231.1128, found m/z 231.1126.
2-Benzyl-4-hydroxy-2,3,4,5-tetrahydro-1H-[1,4]diazepino[1,2-a]indol-1-one 7f
Purified by column chromatography on silica gel (petroleum ether/ethyl acetate gradient from 7/1 to 1/6, v/v). White solid, mp 183–184 °C, procedure b −87% (142.1 mg). Rf = 0.53 (petroleum ether/ethyl acetate 3/1, v/v). IR (KBr) νmax, cm−1: 3313 (OH), 2360, 2341, 1610 (C=O), 1541, 1421, 1079, 740. 1H NMR (400 MHz, DMSO-d6) δH ppm: 3.01 (dd, J = 14.8, 7.4 Hz, 1H, 3-Ha), 3.31 (dd, J = 14.8, 5.2 Hz, 1H, 3-Hb), 4.06–4.14 (m, 1H, 4-H), 4.23 (dd, J = 14.6, 3.8 Hz, 1H, 5-Ha), 4.38 (dd, J = 14.6, 4.9 Hz, 1H, 5-Hb), 4.46 (d, J = 14.6 Hz, 1H, 2-CHa), 5.00 (d, J = 14.6 Hz, 1H, 2-CHb), 5.40 (d, J = 4.0 Hz, 1H, OH), 6.99–7.01 (m, 1H, 11-H), 7.05–7.11 (m, 1H, 9-H), 7.23–7.35 (m, 2H, 8-H, CH2Ph 4-H), 7.36–7.41 (m, 4H, CH2Ph 2,3,5,6-H), 7.50–7.57 (m, 1H, 7-H), 7.61–7.67 (m, 1H, 10-H). 13C NMR (101 MHz, DMSO-d6) δC ppm: 48.1 (C-5), 50.4 (CH2Ph), 51.4 (C-3), 69.1 (C-4), 105.5 (C-11), 110.4 (C-7), 120.0 (C-9), 121.6 (C-10), 123.6 (C-8), 126.0 (C-10a), 127.4 (CH2Ph C-4), 128.2 (CH2Ph C-3,5), 128.7 (CH2Ph C-2,6), 134.3 (C-11a), 137.3 (C-6a), 137.9 (CH2Ph C-1), 163.9 (C-1). 15N NMR (40 MHz, DMSO-d6) δN ppm: –255.0 (N-6), -265.7 (N-2). HRMS (ESI) for C19H19N2O2 ([M+H]+): calcd m/z 307.1441, found m/z 307.1388.
4-Hydroxy-2,3,4,5-tetrahydro-1H-benzo[4,5]imidazo[1,2-a][1,4]diazepin-1-one 7g
Purified by column chromatography on silica gel (petroleum ether/ethyl acetate/methanol gradient from 1/5/0 to 1/12/1, v/v/v). White solid, decomp. 190 °C, procedure a −19% (18 mg). Rf = 0.21 (ethyl acetate/methanol 9/1, v/v). IR (KBr) νmax, cm−1: 3379, 3220, 1676 (C=O), 1522, 1466, 1458, 1418, 1336, 1079, 741. 1H NMR (500 MHz, DMSO-d6) δH ppm: 2.75 (dt, J = 15.0 Hz, 6.1 Hz, 1H, 3-Ha), 3.21 (dt, J = 14.7 Hz, 5.8 Hz, 1H, 3-Hb), 4.22–4.31 (m, 2H, 5-Ha, 4-H), 4.49 (dd, J = 14.1 Hz, 4.3 Hz, 1H, 5-Hb), 5.35–5.55 (br s, 1H, OH), 7.23–7.28 (m, 1H, 9-H), 7.31–7.37 (m, 1H, 8-H), 7.63–7.73 (m, 2H, 7-H, 10-H), 8.56–8.63 (m, 1H, NH). 13C NMR (125 MHz, DMSO-d6) δC ppm: 45.4 (C-3), 48.2 (C-5), 69.9 (C-4), 111.5 (C-7), 120.7 (C-10), 123.1 (C-9), 124.6 (C-8), 135.2 (Cq), 142.0 (Cq), 147.4 (Cq), 163.2 (C-1). HRMS (ESI) for C11H12N3O2 ([M+H]+): calcd m/z 218.0924, found m/z 218.0918.
3.2.6. Synthesis of O-Alkylated 5-Substituted 7-Hydroxy-2-phenyl-5,6,7,8-tetrahydro-4H-pyrazolo[1,5-a][1,4]diazepin-4-ones (8a–f) and 2-Benzyl-4-hydroxy-2,3,4,5-tetrahydro-1H-[1,4]diazepino[1,2-a]indol-1-one (9a,b)
Pyrazolo-diazepinone 4i,n,t or indole-diazepinone 7f (1 eq) was dissolved in dimethyl formamide (0.1 M) and NaH (1.5 eq; 60% dispersion in mineral oil) was added followed by appropriate alkylating agent (1.5 eq). The reaction mixture was stirred at 25–50 °C for 5–8 h. Upon completion, the mixture was concentrated to approximately 1/3 volume, diluted with ethyl acetate, and washed with brine. Organic layer was dried over anhydrous Na2SO4, filtered, and concentrated under reduced pressure. The residue was purified by column chromatography.
7-Methoxy-5-(2-methoxyethyl)-2-phenyl-5,6,7,8-tetrahydro-4H-pyrazolo[1,5-a][1,4]diazepin-4-one 8a
Purified by column chromatography on silica gel (n-hexane/ethyl acetate 1/1, v/v). White solid, mp 88–89 °C, 77% (104 mg). Rf = 0.41 (n-hexane/ethyl acetate 1/4, v/v). IR (KBr) νmax, cm−1: 3120, 2933, 2890, 2828, 1638 (C=O), 1470, 1354, 1016, 771, 700. 1H NMR (400 MHz, DMSO-d6) δH ppm: 3.23 (dd, J = 15.2, 7.6 Hz, 1H, 5-CHa), 3.29 (s, 3H, CH2OCH3), 3.37 (s, 3H, 7-OCH3), 3.39–3.47 (m, 1H, 6-Ha), 3.51–3.62 (m, 3H, 5-CHb, CH2O), 3.90 (dt, J = 13.6, 5.2 Hz, 1H, 6-Hb), 4.05–4.12 (m, 1H, 7-H), 4.46 (qd, J = 14.7, 4.3 Hz, 2H, 8-HaHb), 7.18 (s, 1H, 3-H), 7.29–7.35 (m, 1H, Ph 4-H), 7.38–7.45 (m, 2H, Ph 3,5-H), 7.8 –7.87 (m, 2H, Ph 2,6-H). 13C NMR (101 MHz, DMSO-d6) δC ppm: 46.6 (C-6), 50.0 (5-CH2), 52.1 (C-8), 56.3 (7-OCH3), 58.0 (CH2OCH3), 69.8 (CH2O), 79.2 (C-7), 105.5 (C-3), 125.2 (Ph C-2,6), 127.8 (Ph C-4), 128.7 (Ph C-3,5), 132.4 (Ph C-1), 139.3 (C-3a), 149.1 (C-2), 161.6 (C-4). 15N NMR (40 MHz, DMSO-d6) δN ppm: −266.0 (N-5), −176.2 (N-9), −74.1 (N-1). HRMS (ESI) for C17H21N3NaO3 ([M+Na]+): calcd m/z 338.1475, found m/z 338.1475.
5-Allyl-7-methoxy-2-phenyl-5,6,7,8-tetrahydro-4H-pyrazolo[1,5-a][1,4]diazepin-4-one 8b
Purified by column chromatography on silica gel (n-hexane/ethyl acetate 3.5/1, v/v). White solid, mp 89–90 °C, 84% (78 mg). Rf = 0.47 (n-hexane/ethyl acetate 1/1, v/v). IR (KBr) νmax, cm−1: 2984, 2929, 2826, 1657 (C=O), 1461, 1243, 1206, 1089, 770, 697. 1H NMR (400 MHz, DMSO-d6) δH ppm: 3.19 (dd, J = 15.2, 6.9 Hz, 1H, 6-Ha), 3.36 (s, 3H, CH3), 3.46 (dd, J = 15.2, 5.0 Hz, 1H, 6-Hb), 3.97 (dd, J = 15.1, 6.2 Hz, 1H, 5-CHa), 4.09 (dt, J = 10.4, 5.1 Hz, 1H, 7-H), 4.23 (dd, J = 15.1, 5.5 Hz, 1H, 5-CHb), 4.40 (dd, J = 14.7, 4.0 Hz, 1H, 8-Ha), 4.58 (dd, J = 14.7, 5.4 Hz, 1H, 8-Hb), 5.18–5.31 (m, 2H, CH2-CH=CH2), 5.81–5.92 (m, 1H, CH2-CH=CH2), 7.20 (s, 1H, 3-H), 7.29–7.36 (m, 1H, Ph 4-H), 7.37–7.45 (m, 2H, Ph 3,5-H), 7.81–7.88 (m, 2H, Ph 2,6-H). 13C NMR (101 MHz, DMSO-d6) δC ppm: 48.4 (C-6), 49.6 (5-CH2), 52.3 (C-8), 56.3 (CH3), 78.9 (C-7), 105.8 (C-3), 117.9 (CH2-CH=CH2), 125.1 (Ph C-2,6), 127.9 (Ph C-4), 128.7 (Ph C-3,5), 132.4 (Ph C-1), 133.4 (CH2-CH=CH2), 139.1 (C-3a), 149.1 (C-2), 161.3 (C-4). 15N NMR (40 MHz, DMSO-d6) δN ppm: −176.0 (N-9), −73.9 (N-1). HRMS (ESI) for C17H19N3NaO2 ([M+Na]+): calcd m/z 320.1369, found m/z 320.1370.
5-Benzyl-7-methoxy-2-phenyl-5,6,7,8-tetrahydro-4H-pyrazolo[1,5-a][1,4]diazepin-4-one 8c
Purified by column chromatography on silica gel (n-hexane/ethyl acetate 7/2, v/v). Pale yellow solid, mp 176–177 °C, 70% (57 mg). Rf = 0.41 (n-hexane/ethyl acetate 3/2, v/v). IR (KBr) νmax, cm−1: 3146, 2988, 2928, 2871, 1651 (C=O), 1449, 1241, 1101, 764, 695. 1H NMR (400 MHz, DMSO-d6) δH ppm: 3.19 (dd, J = 15.2, 7.1 Hz, 1H, 6-Ha), 3.28 (s, 3H, CH3), 3.48 (dd, J = 15.2, 5.0 Hz, 1H, 6-Hb), 3.86–3.93 (m, 1H, 7-H), 4.42 (dd, J = 14.8, 3.8 Hz, 1H, 8-Ha), 4.48–4.59 (m, 2H, 8-Hb, 5-CHa), 4.88 (d, J = 14.7 Hz, 1H, 5-CHb), 7.26 (s, 1H, 3-H), 7.30–7.35 (m, 2H, CPh 4-H, CH2Ph 4-H), 7.36–7.44 (m, 6H, CPh 3,5-H, CH2Ph 2,3,5,6-H), 7.82–7.87 (m, 2H, CPh 2,6-H). 13C NMR (101 MHz, DMSO-d6) δC ppm: 48.6 (C-6), 50.4 (5-CH2), 52.3 (C-8), 56.3 (CH3), 78.8 (C-7), 106.0 (C-3), 125.1 (CPh C-2,6), 127.5 (CH2Ph C-4), 127.9 (CPh C-4), 128.1 (CH2Ph C-2,6), 128.6 (CH2Ph C-3,5), 128.7 (CPh C-3,5), 132.4 (CPh C-1), 137.4 (CH2Ph C-1), 139.0 (C-3a), 149.2 (C-2), 161.7 (C-4). 15N NMR (40 MHz, DMSO-d6) δN ppm: −261.2 (N-5), −176.7 (N-9), −74.1 (N-1). HRMS (ESI) for C21H21N3NaO2 ([M+Na]+): calcd m/z 370.1526, found m/z 370.1526.
7-Ethoxy-5-(2-methoxyethyl)-2-phenyl-5,6,7,8-tetrahydro-4H-pyrazolo[1,5-a][1,4]diazepin-4-one 8d
Purified by column chromatography on silica gel (n-hexane/ethyl acetate/methanol 1/1/0.05, v/v). Yellowish resin, 75% (118 mg). Rf = 0.54 (n-hexane/ethyl acetate 1/4, v/v). IR (KBr) νmax, cm−1: 2977, 2931, 2893, 1647 (C=O), 1461, 1440, 1104, 1077, 769, 695. 1H NMR (400 MHz, DMSO-d6) δH ppm: 1.14 (t, J = 7.0 Hz, 3H, 7-OCH2CH3), 3.24 (dd, J = 15.3, 7.4 Hz, 1H, 5-CHa), 3.29 (s, 3H, CH2OCH3), 3.41–3.49 (m, 1H, 6-Ha), 3.51–3.68 (m, 5H, 5-CHb, CH2OCH3, 7-OCH2), 3.88 (dt, J = 13.5, 5.0 Hz, 1H, 6-Hb), 4.15–4.22 (m, 1H, 7-H), 4.44 (ddd, J = 18.2, 14.6, 4.4 Hz, 2H, 8-HaHb), 7.18 (s, 1H, 3-H), 7.29–7.36 (m, 1H, Ph 4-H), 7.38–7.45 (m, 2H, Ph 3,5-H), 7.81–7.87 (m, 2H, Ph 2,6-H). 13C NMR (101 MHz, DMSO-d6) δC ppm: 15.3 (7-OCH2CH3), 46.6 (C-6), 50.4 (5-CH2), 52.7 (C-8), 58.0 (CH2OCH3), 63.9 (7-OCH2), 69.8 (CH2OCH3), 77.4 (C-7), 105.5 (C-3), 125.1 (Ph C-2,6), 127.8 (Ph C-4), 128.7 (Ph C-3,5), 132.4 (Ph C-1), 139.3 (C-3a), 149.1 (C-2), 161.5 (C-4). 15N NMR (40 MHz, DMSO-d6) δN ppm: −265.2 (N-5), −175.8 (N-9), −74.2 (N-1). HRMS (ESI) for C18H23N3NaO3 ([M+Na]+): calcd m/z 352.1632, found m/z 352.1632.
5-Allyl-7-ethoxy-2-phenyl-5,6,7,8-tetrahydro-4H-pyrazolo[1,5-a][1,4]diazepin-4-one 8e
Purified by column chromatography on silica gel (n-hexane/ethyl acetate 7/2, v/v). Pale yellow solid, mp 113–144 °C, 77% (116 mg). Rf = 0.59 (n-hexane/ethyl acetate 1/1, v/v). IR (KBr) νmax, cm−1: 3118, 2980, 1645 (C=O), 1460, 1438, 1396, 1248, 1101, 770, 696. 1H NMR (400 MHz, DMSO-d6) δH ppm: 1.13 (t, J = 6.9 Hz, 3H, CH3), 3.20 (dd, J = 15.1, 6.8 Hz, 1H, 6-Ha), 3.44 (dd, J = 15.1, 4.7 Hz, 1H, 6-Hb), 3.50–3.65 (m, 2H, OCH2), 3.98 (dd, J = 15.1, 6.0 Hz, 1H, 5-CHa), 4.15–4.27 (m, 2H, 5-CHb, 7-H), 4.37 (dd, J = 14.6, 3.8 Hz, 1H, 8-Ha), 4.58 (dd, J = 14.6, 5.4 Hz, 1H, 8-Hb), 5.18–5.31 (m, 2H, CH2-CH=CH2), 5.81–5.93 (m, 1H, CH2-CH=CH2), 7.20 (s, 1H, 3-H), 7.29–7.36 (m, 1H, Ph 4-H), 7.38–7.45 (m, 2H, Ph 3,5-H), 7.81–7.87 (m, 2H, Ph 2,6-H). 13C NMR (101 MHz, DMSO-d6) δC ppm: 15.3 (CH3), 48.8 (C-6), 49.6 (5-CH2), 52.9 (C-8), 63.9 (OCH2), 77.1 (C-7), 105.8 (C-3), 117.8 (CH2-CH=CH2), 125.1 (Ph C-2,6), 127.9 (Ph C-4), 128.7 (Ph C-3,5), 132.4 (Ph C-1), 133.4 (CH2-CH=CH2), 139.1 (C-3a), 149.1 (C-2), 161.3 (C-4). 15N NMR (40 MHz, DMSO-d6) δN ppm: −265.6 (N-5), −176.4 (N-9), −73.9 (N-1). HRMS (ESI) for C18H21N3NaO2 ([M+Na]+): calcd m/z 334.1526, found m/z 334.1526.
5-Benzyl-7-ethoxy-2-phenyl-5,6,7,8-tetrahydro-4H-pyrazolo[1,5-a][1,4]diazepin-4-one 8f
Purified by column chromatography on silica gel (n-hexane/ethyl acetate 3.5/1, v/v). Pale yellow solid, mp 115–116 °C, 72% (92 mg). Rf = 0.55 (n-hexane/ethyl acetate 3/2, v/v). IR (KBr) νmax, cm−1: 3121, 2982, 2871, 1658 (C=O), 1460 and 1440 (doublet), 1239, 1105, 771, 693. 1H NMR (400 MHz, DMSO-d6) δH ppm: 1.06 (t, J = 7.0 Hz, 3H, CH3), 3.20 (dd, J = 15.2, 7.1 Hz, 1H, 6-Ha), 3.39–3.58 (m, 3H, 6-Hb, OCH2), 3.95–4.02 (m, 1H, 7-H), 4.38 (dd, J = 14.7, 3.8 Hz, 1H, 8-Ha), 4.48–4.59 (m, 2H, 8-Hb, 5-CHa), 4.88 (d, J = 14.7 Hz, 1H, 5-CHb), 7.26 (s, 1H, 3-H), 7.29–7.35 (m, 2H, CPh 4-H, CH2Ph 4-H), 7.36–7.44 (m, 6H, CPh 3,5-H, CH2Ph 2,3,5,6-H), 7.81–7.88 (m, 2H, CPh 2,6-H). 13C NMR (101 MHz, DMSO-d6) δC ppm: 15.2 (CH3), 49.0 (C-6), 50.4 (5-CH2), 52.9 (C-8), 63.8 (OCH2), 77.0 (C-7), 106.0 (C-3), 125.1 (CPh C-2,6), 127.4 (CH2Ph C-4), 127.9 (CPh C-4), 128.1 (CH2Ph C-2,6), 128.6 (CH2Ph C-3,5), 128.7 (CPh C-3,5), 132.4 (CPh C-1), 137.4 (CH2Ph C-1), 149.2 (C-2), 161.7 (C-4). 15N NMR (40 MHz, DMSO-d6) δN ppm: −261.6 (N-5), −176.1 (N-9), −73.5 (N-1). HRMS (ESI) for C22H23N3NaO2 ([M+Na]+): calcd m/z 384.1682, found m/z 384.1682.
2-Benzyl-4-methoxy-2,3,4,5-tetrahydro-1H-[1,4]diazepino[1,2-a]indol-1-one 9a
Purified by column chromatography on silica gel (petroleum ether/ethyl acetate gradient from 5/1 to 2/1, v/v). White solid, mp 97–98 °C, 92% (50 mg). Rf = 0.63 (petroleum ether/ethyl acetate 2/1, v/v). IR (KBr) νmax, cm−1: 1642 (C=O), 1541, 1457, 1421, 1099, 741. 1H NMR (400 MHz, CDCl3) δH ppm: 3.31–3.37 (m, 5H, CH3, 3-HaHb), 3.68 (p, J = 5.2 Hz, 1H, 4-H), 4.27 (dd, J = 14.7, 5.2 Hz, 1H, 5-Ha), 4.33–4.41 (m, 2H, 2-CHa, 5-Hb), 5.26 (d, J = 14.6 Hz, 1H, 2-CHb), 7.11–7.16 (m, 1H, 9-H), 7.19 (s, 1H, 11-H), 7.28–7.41 (m, 7H, 7-H, 8-H, CH2Ph 2,3,4,5,6-H), 7.66–7.71 (m, 1H, 10-H). 13C NMR (101 MHz, CDCl3) δC ppm: 45.1 (C-5), 48.5 (C-3), 51.5 (2-CH2), 57.0 (CH3), 79.7 (C-4), 107.5 (C-11), 109.4 (C-7), 120.5 (C-9), 122.5 (C-10), 124.4 (C-8), 126.9 (C-10a), 127.9 (CH2Ph C-4), 128.7 (CH2Ph C-3,5), 128.9 (CH2Ph C-2,6), 134.0 (C-11a), 137.4 (C-6a), 137.6 (CH2Ph C-1), 165.0 (C=O). 15N NMR (40 MHz, CDCl3): δN ppm: −259.5 (N-6), −267.8 (N-2). HRMS (ESI) for C20H21N2O2 ([M+H]+): calcd m/z 321.1598, found m/z 321.1596.
2-Benzyl-4-ethoxy-2,3,4,5-tetrahydro-1H-[1,4]diazepino[1,2-a]indol-1-one 9b
Purified by column chromatography on silica gel (petroleum ether/ethyl acetate gradient from 5/1 to 4/1, v/v). Colorless resin, 73% (45 mg). Rf = 0.57 (petroleum ether/ethyl acetate 2/1, v/v). IR (KBr) νmax, cm−1: 2360, 2341, 1641 (C=O), 1540, 1417, 1100, 741. 1H NMR (400 MHz, CDCl3) δH ppm: 1.14–1.20 (m, 3H, CH3), 3.29–3.35 (m, 2H, 3-HaHb), 3.43–3.59 (m, 2H, OCH2), 3.73– 3.81 (m, 1H, 4-H), 4.23–4.31 (m, 1H, 5-Ha), 4.33–4.42 (m, 2H, 2-CHa, 5-Hb), 5.22–5.30 (m, 1H, 2-CHb), 7.10–7.21 (m, 2H, 9-H, 11-H), 7.27–7.41 (m, 7H, 7-H, 8-H, CH2Ph 2,3,4,5,6-H), 7.66–7.72 (m, 1H, 10-H). 13C NMR (101 MHz, CDCl3) δC ppm: 15.5 (CH3). 45.5 (C-5), 49.0 (C-3), 51.5 (2-CH2), 64.8 (OCH2), 77.9 (C-4), 107.4 (C-11), 109.4 (C-7), 120.4 (C-9), 122.5 (C-10), 124.3 (C-8), 126.9 (C-10a), 127.90 (CH2Ph C-4), 128.7 (CH2Ph C-3,5), 128.9 (CH2Ph C-2,6), 134.1 (C-11a), 137.5 (C-6a), 137.6 (CH2Ph C-1), 165.1 (C-1). 15N NMR (40 MHz, CDCl3): δN ppm: −259.8 (N-6), −268.6 (N-2). HRMS (ESI) for C21H23N2O2 ([M+H]+): calcd m/z 335,1781, found m/z 335.1798.
4. Conclusions
To summarize, a regioselective strategy was developed for synthesizing ethyl 1-(oxiran-2-ylmethyl)-3-aryl-1H-pyrazole-5-carboxylates from easily accessible 3(5)-aryl-1H-pyrazole-5(3)-carboxylates. Regioselective alkylation was achieved via optimization using different bases, reaction media and temperatures. Established conditions were applied to the synthesis of novel pyrazolo[1,5-a][1,4]diazepin-4-one compound series via ring-opening of the oxirane with amines, and direct cyclisation sequence. Furthermore, the synthetic strategy was further applied to investigate the reactivity of ethyl 1H-indole-2-carboxylate and ethyl benzo[d]imidazole-2-carboxylate scaffolds which led to the formation of additional fused tetrahydro[1,4]diazepino[1,2-a]indol-1-one and tetrahydro-1H-benzo[4,5]imidazo[1,2-a][1,4]diazepin-1-one derivatives. The structures of all synthesized compounds were confirmed by detailed NMR spectroscopy and HRMS investigations.
Supplementary Materials
The following supporting information, containing 1H, 13C, 1H-15N-HMBC, 19F NMR and HRMS data, can be downloaded at: https://www.mdpi.com/article/10.3390/molecules27248666/s1.
Author Contributions
Conceptualization, A.Š., A.Ž. and E.A.; Data curation, G.R., A.Ž. and E.A.; Formal analysis, K.D., M.V. and V.M. (Vít Morávek); Funding acquisition, E.A.; Investigation, K.D., M.V., V.M. (Vít Morávek) and V.M. (Vida Malinauskienė); Methodology, A.Ž.; Resources, A.Ž. and E.A.; Supervision, A.Ž. and E.A.; Validation, A.Ž. and E.A.; Writing—original draft, K.D.; Writing—review and editing, A.Š., A.Ž. and E.A. All authors have read and agreed to the published version of the manuscript.
Funding
This work was supported by the Research Council of Lithuania (agreement No. S-MIP-20-60) and by the Internal Grant Agency of Palacký University (IGA_PrF_2022_012).
Institutional Review Board Statement
Not applicable.
Informed Consent Statement
Not applicable.
Data Availability Statement
The data that support the findings of this study are available upon request.
Conflicts of Interest
The authors declare no conflict of interest. The funders had no role in the design of the study; in the collection, analyses, or interpretation of data; in the writing of the manuscript, or in the decision to publish the results.
Sample Availability
Not available.
References
- Taylor, R.D.; MacCoss, M.; Lawson, A.D.G. Rings in Drugs. J. Med. Chem. 2014, 57, 5845–5859. [Google Scholar] [CrossRef] [PubMed]
- Vitaku, E.; Smith, D.T.; Njardarson, J.T. Analysis of the Structural Diversity, Substitution Patterns, and Frequency of Nitrogen Heterocycles among U.S. FDA Approved Pharmaceuticals. J. Med. Chem. 2014, 57, 10257–10274. [Google Scholar] [CrossRef] [PubMed]
- McGrath, N.A.; Brichacek, M.; Njardarson, J.T. A Graphical Journey of Innovative Organic Architectures That Have Improved Our Lives. J. Chem Educ 2010, 87, 1348–1349. [Google Scholar] [CrossRef]
- Liu, X.-H.; Yu, W.; Min, L.-J.; Wedge, D.E.; Tan, C.-X.; Weng, J.-Q.; Wu, H.-K.; Cantrell, C.L.; Bajsa-Hirschel, J.; Hua, X.-W.; et al. Synthesis and Pesticidal Activities of New Quinoxalines. J. Agric. Food Chem 2020, 68, 7324–7332. [Google Scholar] [CrossRef]
- Schilling, W.; Zhang, Y.; Riemer, D.; Das, S. Visible-Light-Mediated Dearomatisation of Indoles and Pyrroles to Pharmaceuticals and Pesticides. Chem.A Eur. J. 2020, 26, 390–395. [Google Scholar] [CrossRef]
- Qi, Y.; Wang, J.; Kou, Y.; Pang, H.; Zhang, S.; Li, N.; Liu, C.; Weng, Z.; Jian, X. Synthesis of an Aromatic N-Heterocycle Derived from Biomass and Its Use as a Polymer Feedstock. Nat. Commun. 2019, 10, 2107. [Google Scholar] [CrossRef]
- Allard, N.; Aïch, R.B.; Gendron, D.; Boudreault, P.-L.T.; Tessier, C.; Alem, S.; Tse, S.-C.; Tao, Y.; Leclerc, M. Germafluorenes: New Heterocycles for Plastic Electronics. Macromolecules 2010, 43, 2328–2333. [Google Scholar] [CrossRef]
- Al-Etaibi, A.; El-Apasery, M.; Ibrahim, M.; Al-Awadi, N. A Facile Synthesis of New Monoazo Disperse Dyes Derived from 4-Hydroxyphenylazopyrazole-5-Amines: Evaluation of Microwave Assisted Dyeing Behavior. Molecules 2012, 17, 13891–13909. [Google Scholar] [CrossRef]
- Shams, H.Z.; Mohareb, R.M.; Helal, M.H.; Mahmoud, A.E.S. Design and Synthesis of Novel Antimicrobial Acyclic and Heterocyclic Dyes and Their Precursors for Dyeing and/or Textile Finishing Based on 2-n-Acylamino-4,5,6,7-Tetrahydrobenzo[b]Thiophene Systems. Molecules 2011, 16, 6271–6305. [Google Scholar] [CrossRef]
- Mindt, M.; Beyraghdar Kashkooli, A.; Suarez-Diez, M.; Ferrer, L.; Jilg, T.; Bosch, D.; Martins dos Santos, V.; Wendisch, V.F.; Cankar, K. Production of Indole by Corynebacterium Glutamicum Microbial Cell Factories for Flavor and Fragrance Applications. Microb. Cell Fact. 2022, 21, 45. [Google Scholar] [CrossRef]
- Yun, B.-S.; Kim, S.-Y.; Kim, J.-H.; Choi, S.; Lee, S.; Son, H.-J.; Kang, S.O. Synthesis and Characterization of Blue Phosphorescent NHC-Ir(III) Complexes with Annulated Heterocyclic 1,2,4-Triazolophenanthridine Derivatives for Highly Efficient PhOLEDs. ACS Appl Electron. Mater. 2022, 4, 2699–2710. [Google Scholar] [CrossRef]
- Elie, M.; Renaud, J.-L.; Gaillard, S. N -Heterocyclic Carbene Transition Metal Complexes in Light Emitting Devices. Polyhedron 2018, 140, 158–168. [Google Scholar] [CrossRef]
- Kerru, N.; Gummidi, L.; Maddila, S.; Gangu, K.K.; Jonnalagadda, S.B. A Review on Recent Advances in Nitrogen-Containing Molecules and Their Biological Applications. Molecules 2020, 25, 1909. [Google Scholar] [CrossRef]
- Costa, R.F.; Turones, L.C.; Cavalcante, K.V.N.; Rosa Júnior, I.A.; Xavier, C.H.; Rosseto, L.P.; Napolitano, H.B.; da Castro, P.F.S.; Neto, M.L.F.; Galvão, G.M.; et al. Heterocyclic Compounds: Pharmacology of Pyrazole Analogs from Rational Structural Considerations. Front. Pharm. 2021, 12, 666725. [Google Scholar] [CrossRef]
- Karrouchi, K.; Radi, S.; Ramli, Y.; Taoufik, J.; Mabkhot, Y.; Al-aizari, F.; Ansar, M. Synthesis and Pharmacological Activities of Pyrazole Derivatives: A Review. Molecules 2018, 23, 134. [Google Scholar] [CrossRef]
- George, N.; Jawaid Akhtar, M.; Al Balushi, K.A.; Alam Khan, S. Rational Drug Design Strategies for the Development of Promising Multi-Target Directed Indole Hybrids as Anti-Alzheimer Agents. Bioorg. Chem. 2022, 127, 105941. [Google Scholar] [CrossRef]
- Dhuguru, J.; Skouta, R. Role of Indole Scaffolds as Pharmacophores in the Development of Anti-Lung Cancer Agents. Molecules 2020, 25, 1615. [Google Scholar] [CrossRef]
- Murahari, M.; Mahajan, V.; Neeladri, S.; Kumar, M.S.; Mayur, Y.C. Ligand Based Design and Synthesis of Pyrazole Based Derivatives as Selective COX-2 Inhibitors. Bioorg. Chem. 2019, 86, 583–597. [Google Scholar] [CrossRef]
- Wang, X.; Xu, Y.; Zong, Z.; Cai, J.; Chen, C.; Zhang, Q.; Sun, X.; Li, J. Design, Synthesis and Biological Evaluation of Novel 5-Methyl-2,4,5,6-Tetrahydropyrrolo[3,4-c]Pyrazole Derivatives as Potent Potassium-Competitive Acid Blockers. Bioorg. Med. Chem. 2022, 64, 116765. [Google Scholar] [CrossRef]
- Feng, Y.; Xie, X.-Y.; Yang, Y.-Q.; Sun, Y.-T.; Ma, W.-H.; Zhou, P.-J.; Li, Z.-Y.; Liu, H.-Q.; Wang, Y.-F.; Huang, Y.-S. Synthesis and Evaluation of Pyrimidoindole Analogs in Umbilical Cord Blood Ex Vivo Expansion. Eur. J. Med. Chem. 2019, 174, 181–197. [Google Scholar] [CrossRef]
- Purgatorio, R.; de Candia, M.; Catto, M.; Carrieri, A.; Pisani, L.; De Palma, A.; Toma, M.; Ivanova, O.A.; Voskressensky, L.G.; Altomare, C.D. Investigating 1,2,3,4,5,6-Hexahydroazepino[4,3-b]Indole as Scaffold of Butyrylcholinesterase-Selective Inhibitors with Additional Neuroprotective Activities for Alzheimer’s Disease. Eur. J. Med. Chem. 2019, 177, 414–424. [Google Scholar] [CrossRef] [PubMed]
- Conde-Ceide, S.; Alcázar, J.; Alonso de Diego, S.A.; López, S.; Martín-Martín, M.L.; Martínez-Viturro, C.M.; Pena, M.-A.; Tong, H.M.; Lavreysen, H.; Mackie, C.; et al. Preliminary Investigation of 6,7-Dihydropyrazolo[1,5-a]Pyrazin-4-One Derivatives as a Novel Series of MGlu 5 Receptor Positive Allosteric Modulators with Efficacy in Preclinical Models of Schizophrenia. Bioorg. Med. Chem. Lett. 2016, 26, 429–434. [Google Scholar] [CrossRef] [PubMed]
- Al-Wahaibi, L.H.; Gouda, A.M.; Abou-Ghadir, O.F.; Salem, O.I.A.; Ali, A.T.; Farghaly, H.S.; Abdelrahman, M.H.; Trembleau, L.; Abdu-Allah, H.H.M.; Youssif, B.G.M. Design and Synthesis of Novel 2,3-Dihydropyrazino[1,2-a]Indole-1,4-Dione Derivatives as Antiproliferative EGFR and BRAFV600E Dual Inhibitors. Bioorg. Chem. 2020, 104, 104260. [Google Scholar] [CrossRef] [PubMed]
- Rashid, M.A.; Ashraf, A.; Rehman, S.S.; Shahid, S.A.; Mahmood, A.; Faruq, M. 1,4-Diazepines: A Review on Synthesis, Reactions and Biological Significance. Curr. Org. Synth. 2019, 16, 709–729. [Google Scholar] [CrossRef] [PubMed]
- Jiménez-Somarribas, A.; Mao, S.; Yoon, J.-J.; Weisshaar, M.; Cox, R.M.; Marengo, J.R.; Mitchell, D.G.; Morehouse, Z.P.; Yan, D.; Solis, I.; et al. Identification of Non-Nucleoside Inhibitors of the Respiratory Syncytial Virus Polymerase Complex. J. Med. Chem. 2017, 60, 2305–2325. [Google Scholar] [CrossRef]
- Shaw, S.; Bian, Z.; Zhao, B.; Tarr, J.C.; Veerasamy, N.; Jeon, K.O.; Belmar, J.; Arnold, A.L.; Fogarty, S.A.; Perry, E.; et al. Optimization of Potent and Selective Tricyclic Indole Diazepinone Myeloid Cell Leukemia-1 Inhibitors Using Structure-Based Design. J. Med. Chem. 2018, 61, 2410–2421. [Google Scholar] [CrossRef]
- Lee, T.; Christov, P.P.; Shaw, S.; Tarr, J.C.; Zhao, B.; Veerasamy, N.; Jeon, K.O.; Mills, J.J.; Bian, Z.; Sensintaffar, J.L.; et al. Discovery of Potent Myeloid Cell Leukemia-1 (Mcl-1) Inhibitors That Demonstrate in Vivo Activity in Mouse Xenograft Models of Human Cancer. J. Med. Chem. 2019, 62, 3971–3988. [Google Scholar] [CrossRef]
- Shen, S.L.; Shao, J.H.; Luo, J.Z.; Liu, J.T.; Miao, J.Y.; Zhao, B.X. Novel Chiral Ferrocenylpyrazolo[1,5-a][1,4]Diazepin-4-One Derivatives-Synthesis, Characterization and Inhibition against Lung Cancer Cells. Eur. J. Med. Chem. 2013, 63, 256–268. [Google Scholar] [CrossRef]
- Bagdanoff, J.T.; Jain, R.; Han, W.; Zhu, S.; Madiera, A.M.; Lee, P.S.; Ma, X.; Poon, D. Tetrahydropyrrolo-Diazepenones as Inhibitors of ERK2 Kinase. Bioorg. Med. Chem. Lett. 2015, 25, 3788–3792. [Google Scholar] [CrossRef]
- Boyer, S.J.; Burke, J.; Guo, X.; Kirrane, T.M.; Snow, R.J.; Zhang, Y.; Sarko, C.; Soleymanzadeh, L.; Swinamer, A.; Westbrook, J.; et al. Indole RSK Inhibitors. Part 1: Discovery and Initial SAR. Bioorg. Med. Chem. Lett. 2012, 22, 733–737. [Google Scholar] [CrossRef]
- Kirrane, T.M.; Boyer, S.J.; Burke, J.; Guo, X.; Snow, R.J.; Soleymanzadeh, L.; Swinamer, A.; Zhang, Y.; Madwed, J.B.; Kashem, M.; et al. Indole RSK Inhibitors. Part 2: Optimization of Cell Potency and Kinase Selectivity. Bioorg. Med. Chem. Lett. 2012, 22, 738–742. [Google Scholar] [CrossRef]
- Putey, A.; Fournet, G.; Lozach, O.; Perrin, L.; Meijer, L.; Joseph, B. Synthesis and Biological Evaluation of Tetrahydro[1,4]Diazepino[1,2-a] Indol-1-Ones as Cyclin-Dependent Kinase Inhibitors. Eur. J. Med. Chem. 2014, 83, 617–629. [Google Scholar] [CrossRef]
- Razmienė, B.; Řezníčková, E.; Dambrauskienė, V.; Ostruszka, R.; Kubala, M.; Žukauskaitė, A.; Kryštof, V.; Šačkus, A.; Arbačiauskienė, E. Synthesis and Antiproliferative Activity of 2,4,6,7-Tetrasubstituted-2H-Pyrazolo[4,3-c]Pyridines. Molecules 2021, 26, 6747. [Google Scholar] [CrossRef]
- Milišiūnaitė, V.; Arbačiauskienė, E.; Řezníčková, E.; Jorda, R.; Malínková, V.; Žukauskaitė, A.; Holzer, W.; Šačkus, A.; Kryštof, V. Synthesis and Anti-Mitotic Activity of 2,4- or 2,6-Disubstituted- and 2,4,6-Trisubstituted-2H-Pyrazolo[4,3-c]Pyridines. Eur. J. Med. Chem. 2018, 150, 908–919. [Google Scholar] [CrossRef]
- Razmienė, B.; Vojáčková, V.; Řezníčková, E.; Malina, L.; Dambrauskienė, V.; Kubala, M.; Bajgar, R.; Kolářová, H.; Žukauskaitė, A.; Arbačiauskienė, E.; et al. Synthesis of N-Aryl-2,6-Diphenyl-2H-Pyrazolo[4,3-c]Pyridin-7-Amines and Their Photodynamic Properties in the Human Skin Melanoma Cell Line G361. Bioorg. Chem. 2022, 119, 105570. [Google Scholar] [CrossRef]
- Milišiūnaitė, V.; Kadlecová, A.; Žukauskaitė, A.; Doležal, K.; Strnad, M.; Voller, J.; Arbačiauskienė, E.; Holzer, W.; Šačkus, A. Synthesis and Anthelmintic Activity of Benzopyrano[2,3-c]Pyrazol-4(2H)-One Derivatives. Mol. Divers. 2020, 24, 1025–1042. [Google Scholar] [CrossRef]
- Milišiūnaitė, V.; Paulavičiūtė, R.; Arbačiauskienė, E.; Martynaitis, V.; Holzer, W.; Šačkus, A. Synthesis of 2H-Furo[2,3-c]Pyrazole Ring Systems through Silver(I) Ion-Mediated Ring-Closure Reaction. Beilstein J. Org. Chem. 2019, 15, 679–684. [Google Scholar] [CrossRef]
- Secrieru, A.; O’Neill, P.M.; Cristiano, M.L.S. Revisiting the Structure and Chemistry of 3(5)-Substituted Pyrazoles. Molecules 2020, 25, 42. [Google Scholar] [CrossRef]
- Kusakiewicz-Dawid, A.; Porada, M.; Dziuk, B.; Siodłak, D. Annular Tautomerism of 3(5)-Disubstituted-1H-Pyrazoles with Ester and Amide Groups. Molecules 2019, 24, 2632. [Google Scholar] [CrossRef]
- Lin, R.; Chiu, G.; Yu, Y.; Connolly, P.J.; Li, S.; Lu, Y.; Adams, M.; Fuentes-Pesquera, A.R.; Emanuel, S.L.; Greenberger, L.M. Design, Synthesis, and Evaluation of 3,4-Disubstituted Pyrazole Analogues as Anti-Tumor CDK Inhibitors. Bioorg. Med. Chem. Lett. 2007, 17, 4557–4561. [Google Scholar] [CrossRef]
- Guerrero, M.; Pérez, J.; Ros, J.; Branchadell, V.; Pellicer, E.; Sort, J.; Pons, J. Design of New N-Polyether Pyrazole Derived Ligands: Synthesis, Characterization and Regioselectivity. Curr. Org. Synth. 2013, 11, 149–155. [Google Scholar] [CrossRef]
- Iškauskienė, M.; Ragaitė, G.; Sløk, F.A.; Šačkus, A. Facile Synthesis of Novel Amino Acid-like Building Blocks by N-Alkylation of Heterocyclic Carboxylates with N-Boc-3-Iodoazetidine. Mol. Divers. 2020, 24, 1235–1251. [Google Scholar] [CrossRef] [PubMed]
- Matulevičiūtė, G.; Arbačiauskienė, E.; Kleizienė, N.; Kederienė, V.; Ragaitė, G.; Dagilienė, M.; Bieliauskas, A.; Milišiūnaitė, V.; Sløk, F.A.; Šačkus, A. Synthesis and Characterization of Novel Methyl (3)5-(N-Boc-Piperidinyl)-1H-Pyrazole-4-Carboxylates. Molecules 2021, 26, 3808. [Google Scholar] [CrossRef]
- Huang, A.; Wo, K.; Lee, S.Y.C.; Kneitschel, N.; Chang, J.; Zhu, K.; Mello, T.; Bancroft, L.; Norman, N.J.; Zheng, S.L. Regioselective Synthesis, NMR, and Crystallographic Analysis of N1-Substituted Pyrazoles. J. Org. Chem. 2017, 82, 8864–8872. [Google Scholar] [CrossRef] [PubMed]
- Wright, S.W.; Arnold, E.P.; Yang, X. Steric Redirection of Alkylation in 1H-Pyrazole-3-Carboxylate Esters. Tetrahedron. Lett. 2018, 59, 402–405. [Google Scholar] [CrossRef]
- Xu, D.; Frank, L.; Nguyen, T.; Stumpf, A.; Russell, D.; Angelaud, R.; Gosselin, F. Magnesium-Catalyzed N2-Regioselective Alkylation of 3-Substi- Tuted Pyrazoles. Synlett 2020, 31, 595–599. [Google Scholar] [CrossRef]
- Shen, S.L.; Zhu, J.; Li, M.; Zhao, B.X.; Miao, J.Y. Synthesis of Ferrocenyl Pyrazole-Containing Chiral Aminoethanol Derivatives and Their Inhibition against A549 and H322 Lung Cancer Cells. Eur. J. Med. Chem. 2012, 54, 287–294. [Google Scholar] [CrossRef]
- Xiong, B.; Chen, S.; Zhu, P.; Huang, M.; Gao, W.; Zhu, R.; Qian, J.; Peng, Y.; Zhang, Y.; Dai, H.; et al. Design, Synthesis, and Biological Evaluation of Novel Thiazolyl Substituted Bis-Pyrazole Oxime Derivatives with Potent Antitumor Activities by Selectively Inducing Apoptosis and ROS in Cancer Cells. Med. Chem. 2019, 15, 743–754. [Google Scholar] [CrossRef]
- Hafez, H.N.; El-Gazzar, A.R.B.A. Synthesis and Biological Evaluation of N- Pyrazolyl Derivatives and Pyrazolopyrimidine Bearing a Biologically Active Sulfonamide Moiety as Potential Antimicrobial Agent. Molecules 2016, 21, 1156. [Google Scholar] [CrossRef]
- Thurmond, R.L.; Beavers, M.P.; Cai, H.; Meduna, S.P.; Gustin, D.J.; Sun, S.; Almond, H.J.; Karlsson, L.; Edwards, J.P. Nonpeptidic, Noncovalent Inhibitors of the Cysteine Protease Cathepsin S. J. Med. Chem. 2004, 47, 4799–4801. [Google Scholar] [CrossRef]
- Schwarzkopf, J.; Sundermann, T.; Arnsmann, M.; Hanekamp, W.; Fabian, J.; Heidemann, J.; Pott, A.F.; Bettenworth, D.; Lehr, M. Inhibitors of Cytosolic Phospholipase A2α with Carbamate Structure: Synthesis, Biological Activity, Metabolic Stability, and Bioavailability. Med. Chem. Res. 2014, 23, 5250–5262. [Google Scholar] [CrossRef]
- Sundermann, T.; Arnsmann, M.; Schwarzkopf, J.; Hanekamp, W.; Lehr, M. Convergent and Enantioselective Syntheses of Cytosolic Phospholipase A 2α Inhibiting N-(1-Indazol-1-Ylpropan-2-Yl)Carbamates. Org. Biomol. Chem. 2014, 12, 4021–4030. [Google Scholar] [CrossRef]
- Kimura, T.; Hosokawa-Muto, J.; Asami, K.; Murai, T.; Kuwata, K. Synthesis of 9-Substituted 2,3,4,9-Tetrahydro-1H-Carbazole Derivatives and Evaluation of Their Anti-Prion Activity in TSE-Infected Cells. Eur. J. Med. Chem. 2011, 46, 5675–5679. [Google Scholar] [CrossRef]
- Althaus, J.; Hake, T.; Hanekamp, W.; Lehr, M. 1-(5-Carboxyindazol-1-Yl)Propan-2-Ones as Dual Inhibitors of Cytosolic Phospholipase A2α and Fatty Acid Amide Hydrolase: Bioisosteric Replacement of the Carboxylic Acid Moiety. J. Enzym. Inhib. Med. Chem 2016, 31, 131–140. [Google Scholar] [CrossRef][Green Version]
- Saddique, F.A.; Zahoor, A.F.; Faiz, S.; Naqvi, S.A.R.; Usman, M.; Ahmad, M. Recent Trends in Ring Opening of Epoxides by Amines as Nucleophiles. Synth. Commun. 2016, 46, 831–868. [Google Scholar] [CrossRef]
- Meninno, S.; Lattanzi, A. Epoxides: Small Rings to Play with under Asymmetric Organocatalysis. ACS Org. Inorg. Au 2022, 2, 289–305. [Google Scholar] [CrossRef]
- Wang, C.; Luo, L.; Yamamoto, H. Metal-Catalyzed Directed Regio- and Enantioselective Ring-Opening of Epoxides. Acc. Chem. Res. 2016, 49, 193–204. [Google Scholar] [CrossRef]
- Meninno, S.; Lattanzi, A. Organocatalytic Asymmetric Reactions of Epoxides: Recent Progress. Chem.-A Eur. J. 2016, 22, 3632–3642. [Google Scholar] [CrossRef]
- Wang, C. Electrophilic Ring Opening of Small Heterocycles. Synthesis 2017, 49, 5307–5319. [Google Scholar] [CrossRef]
- Li, D.; Wang, J.; Yu, S.; Ye, S.; Zou, W.; Zhang, H.; Chen, J. Highly Regioselective Ring-Opening of Epoxides with Amines: A Metal- A Nd Solvent-Free Protocol for the Synthesis of β-Amino Alcohols. Chem. Commun. 2020, 56, 2256–2259. [Google Scholar] [CrossRef]
- Tan, N.; Yin, S.; Li, Y.; Qiu, R.; Meng, Z.; Song, X.; Luo, S.; Au, C.-T.; Wong, W.-Y. Synthesis and Structure of an Air-Stable Organobismuth Triflate Complex and Its Use as a High-Efficiency Catalyst for the Ring Opening of Epoxides in Aqueous Media with Aromatic Amines. J. Organomet. Chem. 2011, 696, 1579–1583. [Google Scholar] [CrossRef]
- Hattori, G.; Yoshida, A.; Miyake, Y.; Nishibayashi, Y. Enantioselective Ring-Opening Reactions of Racemic Ethynyl Epoxides via Copper−Allenylidene Intermediates: Efficient Approach to Chiral β-Amino Alcohols. J. Org. Chem. 2009, 74, 7603–7607. [Google Scholar] [CrossRef] [PubMed]
- Malhotra, S.V.; Andal, R.P.; Kumar, V. Aminolysis of Epoxides in Ionic Liquid 1-Ethylpyridinium Trifluoroacetate as Green and Efficient Reaction Medium. Synth. Commun. 2008, 38, 4160–4169. [Google Scholar] [CrossRef]
- Hansen, T.; Vermeeren, P.; Haim, A.; van Dorp, M.J.H.; Codée, J.D.C.; Bickelhaupt, F.M.; Hamlin, T.A. Regioselectivity of Epoxide Ring-Openings via S N 2 Reactions Under Basic and Acidic Conditions. Eur. J. Org. Chem 2020, 2020, 3822–3828. [Google Scholar] [CrossRef]
- Wu, Y.; Tang, C.; Rui, R.; Yang, L.; Ding, W.; Wang, J.; Li, Y.; Lai, C.C.; Wang, Y.; Luo, R.; et al. Synthesis and Biological Evaluation of a Series of 2-(((5-Akly/Aryl-1H-Pyrazol-3-Yl)Methyl)Thio)-5-Alkyl-6-(Cyclohexylmethyl)-Pyrimidin-4(3H)-Ones as Potential HIV-1 Inhibitors. Acta Pharm Sin. B 2020, 10, 512–528. [Google Scholar] [CrossRef]
Publisher’s Note: MDPI stays neutral with regard to jurisdictional claims in published maps and institutional affiliations. |
© 2022 by the authors. Licensee MDPI, Basel, Switzerland. This article is an open access article distributed under the terms and conditions of the Creative Commons Attribution (CC BY) license (https://creativecommons.org/licenses/by/4.0/).







