Metabolite Profiling of Alocasia gigantea Leaf Extract and Its Potential Anticancer Effect through Autophagy in Hepatocellular Carcinoma
Abstract
1. Introduction
2. Results and Discussion
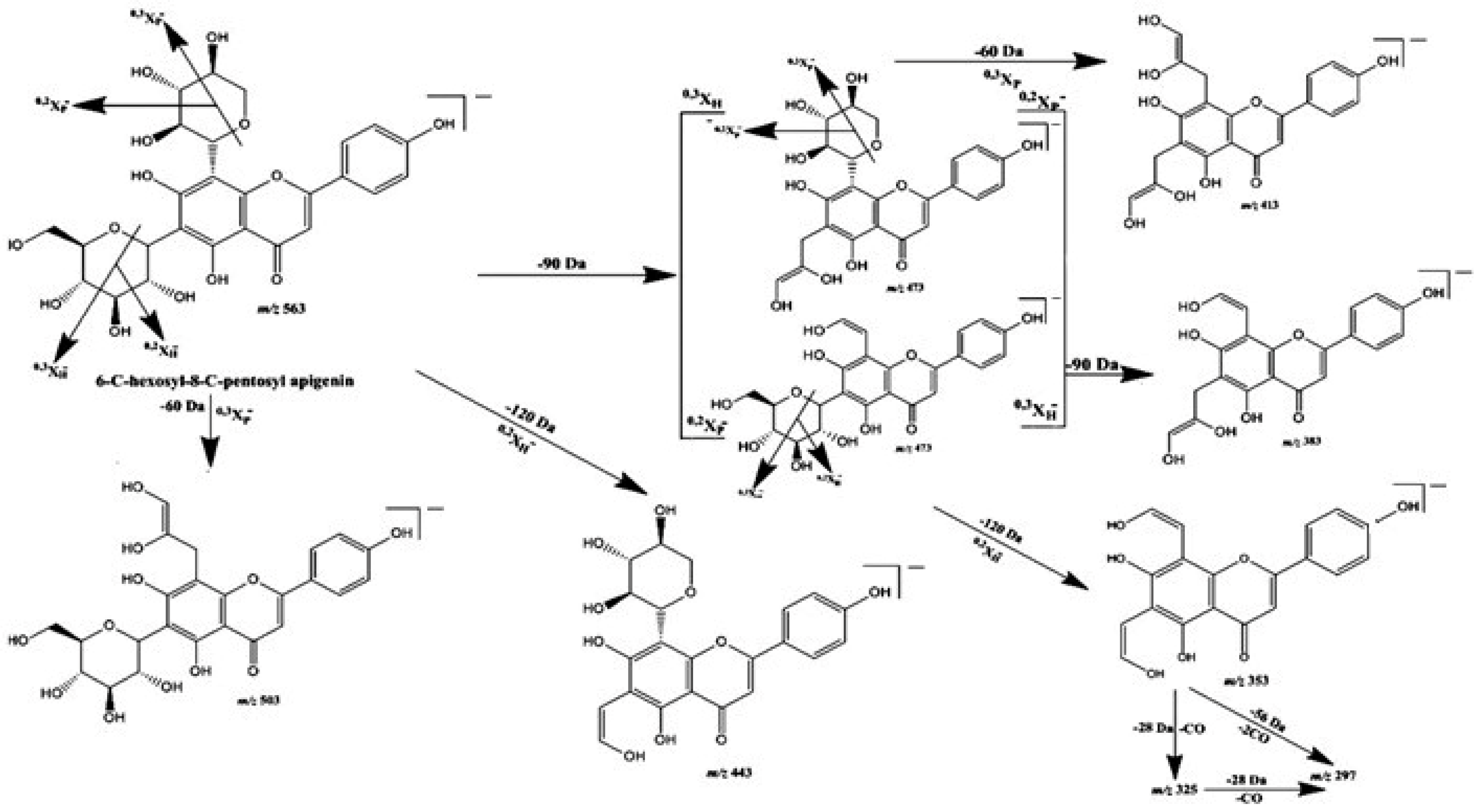
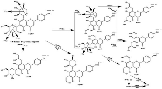
2.1. Phenolic Profile of A. gigantea Defatted Methanolic Extract
2.2. Anticancer Potential of A. gigantea Leaf Defatted Methanolic Extract
2.2.1. In Vitro Cytotoxic Activity on HCC Cell Line
2.2.2. In Vivo Acute Toxicity
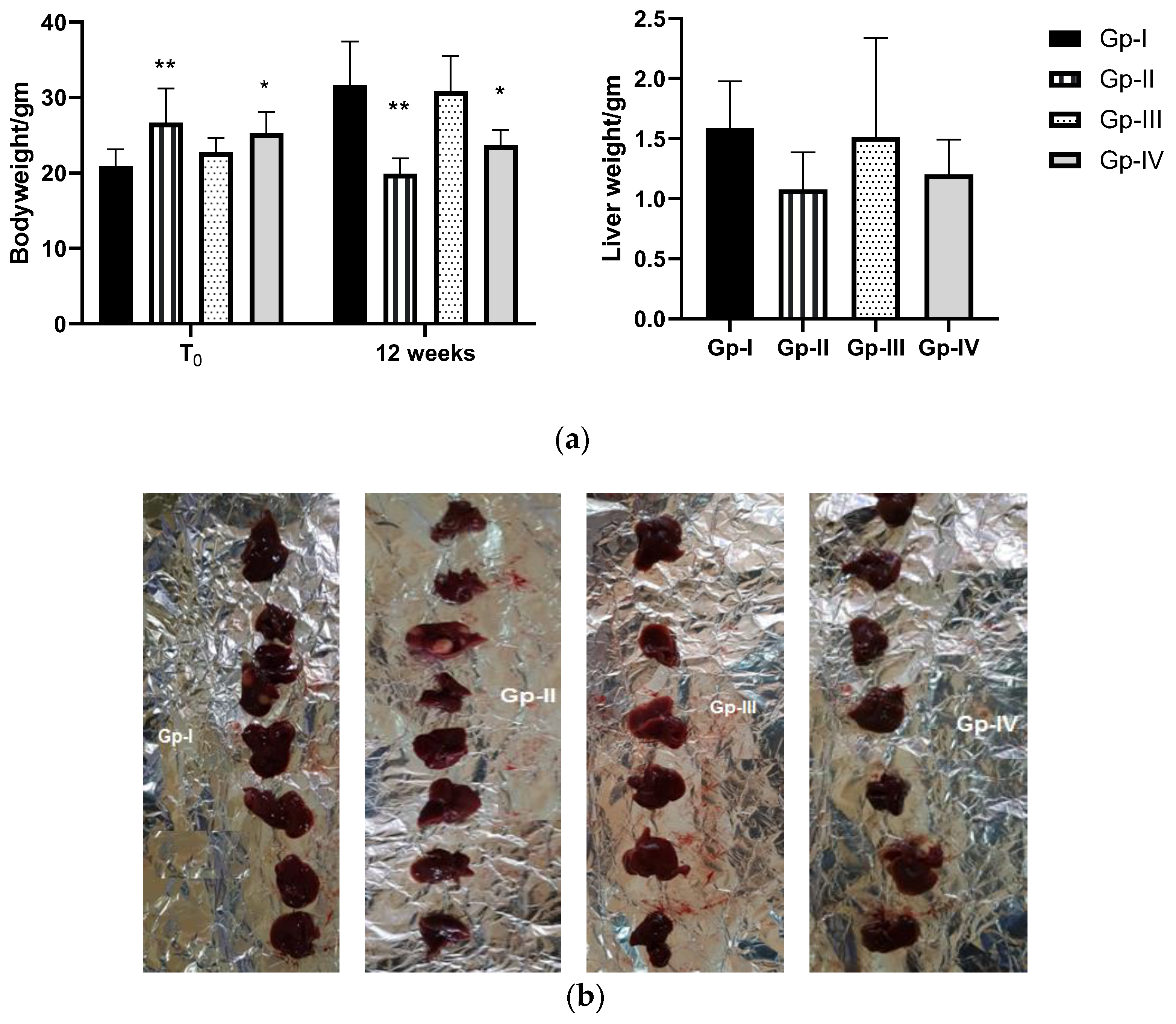
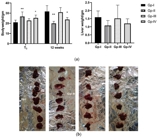
2.2.3. In Vivo Body and Liver Weight and Biochemical Parameters
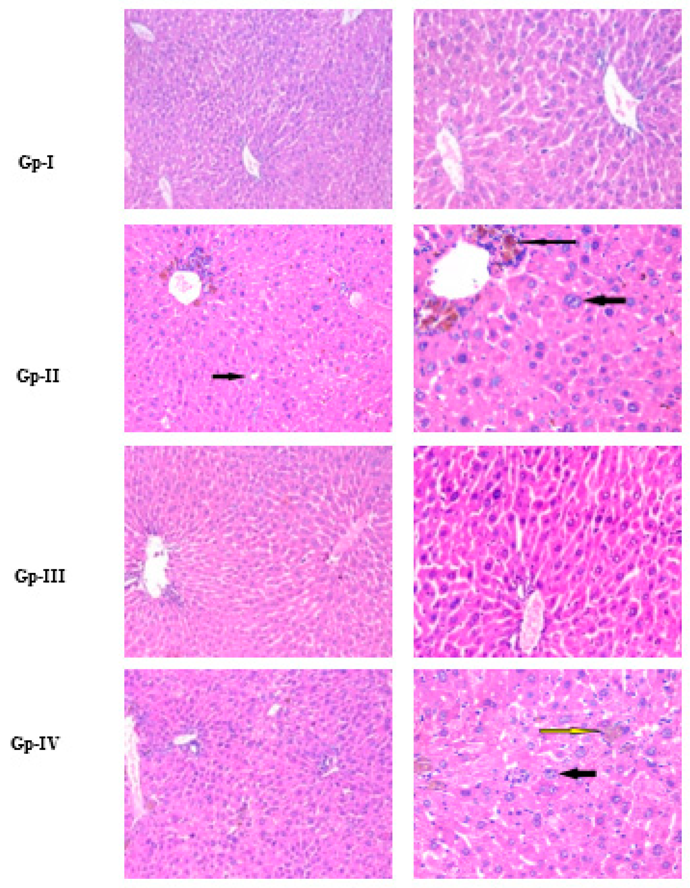
2.2.4. Histopathological Examinations
2.2.5. In Vivo Antitumoral Effects through Induction of Autophagy
3. Materials and Methods
3.1. Plant Material
3.2. Extraction and Defatting
3.3. Determination of Total Phenolic Content (TPC)
3.4. UHPLC–DAD–ESI–MS/MS Analysis
3.5. In-Vitro Study on HCC Cell Line
3.6. Animals
3.7. Assessment of A. gigantea Acute Toxicity
3.8. In Vivo Experimental Design
3.9. Body and Liver Weight and Biochemical Parameters
3.10. Histopathological Examinations
3.11. Inflammatory, Tumoral, and Autophagy Markers
3.12. Statistical Analysis
4. Conclusions
Supplementary Materials
Author Contributions
Funding
Institutional Review Board Statement
Informed Consent Statement
Data Availability Statement
Conflicts of Interest
Sample Availability
References
- Samant, H.; Amiri, H.S.; Zibari, G.B. Addressing the Worldwide Hepatocellular Carcinoma: Epidemiology, Prevention and Management. J. Gastrointest. Oncol. 2021, 12, S361–S373. [Google Scholar] [CrossRef] [PubMed]
- Okasha, H. Interferon and P53 Tumor Suppressor Marker in Hepatocellular Carcinoma. Int. J. Pharm. Res. 2020, 12, 11–14. [Google Scholar] [CrossRef]
- Mulcahy Levy, J.M.; Thorburn, A. Autophagy in Cancer: Moving from Understanding Mechanism to Improving Therapy Responses in Patients. Cell Death Differ. 2020, 27, 843–857. [Google Scholar] [CrossRef] [PubMed]
- Rao, S.; Tortola, L.; Perlot, T.; Wirnsberger, G.; Novatchkova, M.; Nitsch, R.; Sykacek, P.; Frank, L.; Schramek, D.; Komnenovic, V.; et al. A Dual Role for Autophagy in a Murine Model of Lung Cancer. Nat. Commun. 2014, 5, 3056. [Google Scholar] [CrossRef] [PubMed]
- White, E. Deconvoluting the Context-Dependent Role for Autophagy in Cancer. Nat. Rev. Cancer 2012, 12, 401–410. [Google Scholar] [CrossRef]
- Amaravadi, R.; Kimmelman, A.C.; White, E. Recent Insights into the Function of Autophagy in Cancer. Genes Dev. 2016, 30, 913–930. [Google Scholar] [CrossRef]
- Yao, D.; Wang, P.; Zhang, J.; Fu, L.; Ouyang, L.; Wang, J. Deconvoluting the Relationships between Autophagy and Metastasis for Potential Cancer Therapy. Apoptosis 2016, 21, 683–698. [Google Scholar] [CrossRef]
- Sayed, A.M.; El-Hawary, S.S.; Abdelmohsen, U.R.; Ghareeb, M.A. Antiproliferative potential of Physalis peruviana-derived magnolin against pancreatic cancer: A comprehensive in vitro and in silico study. Food Funct. 2022, 13, 733–11743. [Google Scholar] [CrossRef]
- Moon, J.M.; Lee, B.K.; Chun, B.J. Toxicities of Raw Alocasia odora. Hum. Exp. Toxicol. 2011, 30, 1720–1723. [Google Scholar] [CrossRef]
- Ongpoy, R.C., Jr. The Medicinal Properties of the Alocasia Genus: A Systematic Review. JAASP Res. Pap. 2017, 6, 25–33. [Google Scholar]
- Wei, P.; Zhiyu, C.; Xu, T.; Xiangwei, Z. Antitumor Effect and Apoptosis Induction of Alocasia cucullata (Lour.) G. Don in Human Gastric Cancer Cells In Vitro and In Vivo. BMC Complement. Altern. Med. 2015, 15, 33. [Google Scholar] [CrossRef] [PubMed]
- Fang, S.; Lin, C.; Zhang, Q.; Wang, L.; Lin, P.; Zhang, J.; Wang, X. Anticancer Potential of Aqueous Extract of Alocasia macrorrhiza against Hepatic Cancer In Vitro and In Vivo. J. Ethnopharmacol. 2012, 141, 947–956. [Google Scholar] [CrossRef] [PubMed]
- Fang, M.; Zhu, D.; Luo, C.; Li, C.; Zhu, C.; Ou, J.; Li, H.; Zhou, Y.; Huo, C.; Liu, W.; et al. In Vitro and in Vivo Anti-Malignant Melanoma Activity of Alocasia cucullata via Modulation of the Phosphatase and Tensin Homolog/Phosphoinositide 3-Kinase/AKT Pathway. J. Ethnopharmacol. 2018, 213, 359–365. [Google Scholar] [CrossRef] [PubMed]
- Alocasia gigantea, Giant Elephant Ear in GardenTags Plant Encyclopedia. Available online: https://www.gardentags.com/plant-encyclopedia/Alocasia-gigantea/35606 (accessed on 25 October 2022).
- Li, S.S.; Wu, J.; Chen, L.G.; Du, H.; Xu, Y.J.; Wang, L.J.; Zhang, H.J.; Zheng, X.C.; Wang, L.S. Biogenesis of C-Glycosyl Flavones and Profiling of Flavonoid Glycosides in Lotus (Nelumbo nucifera). PLoS ONE 2014, 9, e108860. [Google Scholar] [CrossRef]
- Kachlicki, P.; Piasecka, A.; Stobiecki, M.; Marczak, Ł. Structural Characterization of Flavonoid Glycoconjugates and Their Derivatives with Mass Spectrometric Techniques. Molecules 2016, 21, 1494. [Google Scholar] [CrossRef]
- Ferreres, F.; Gonçalves, R.F.; Gil-Izquierdo, A.; Valentão, P.; Silva, A.M.S.; Silva, J.B.; Santos, D.; Andrade, P.B. Further Knowledge on the Phenolic Profile of Colocasia esculenta (L.) Shott. J. Agric. Food Chem. 2012, 60, 7005–7015. [Google Scholar] [CrossRef]
- Cao, J.; Yin, C.; Qin, Y.; Cheng, Z.; Chen, D. Approach to the Study of Flavone Di-C-Glycosides by High Performance Liquid Chromatography-Tandem Ion Trap Mass Spectrometry and Its Application to Characterization of Flavonoid Composition in Viola Yedoensis. J. Mass Spectrom. 2014, 49, 7005–7015. [Google Scholar] [CrossRef]
- Morsi, E.A.; Ahmed, H.O.; Abdel-Hady, H.; El-Sayed, M.; Shemis, M.A. GC-Analysis, and Antioxidant, Anti-Inflammatory, and Anticancer Activities of Some Extracts and Fractions of Linum usitatissimum. Curr. Bioact. Compd. 2020, 16, 1306–1318. [Google Scholar] [CrossRef]
- Ibrahim, M.B.; Sowemimo, A.A.; Sofidiya, M.O.; Badmos, K.B.; Fageyinbo, M.S.; Abdulkareem, F.B.; Odukoya, O.A. Sub-Acute and Chronic Toxicity Profiles of Markhamia tomentosa Ethanolic Leaf Extract in Rats. J. Ethnopharmacol. 2016, 193, 68–75. [Google Scholar] [CrossRef]
- Test No. 425: Acute Oral Toxicity: Up-and-Down Procedure; OECD Guidelines for the Testing of Chemicals, Section 4; OECD: Paris, France, 2022; ISBN 9789264071049.
- Zhang, H.E.; Henderson, J.M.; Gorrell, M.D. Animal Models for Hepatocellular Carcinoma. Biochim. Biophys. Acta-Mol. Basis Dis. 2019, 1865, 993–1002. [Google Scholar] [CrossRef]
- Tolba, R.; Kraus, T.; Liedtke, C.; Schwarz, M.; Weiskirchen, R. Diethylnitrosamine (DEN)-Induced Carcinogenic Liver Injury in Mice. Lab. Anim. 2015, 49, 59–69. [Google Scholar] [CrossRef] [PubMed]
- Schulien, I.; Hasselblatt, P. Diethylnitrosamine-Induced Liver Tumorigenesis in Mice. Methods Cell Biol. 2021, 163, 137–152. [Google Scholar] [CrossRef] [PubMed]
- Ramakrishnan, G.; Raghavendran, H.R.B.; Vinodhkumar, R.; Devaki, T. Suppression of N-Nitrosodiethylamine Induced Hepatocarcinogenesis by Silymarin in Rats. Chem. Biol. Interact. 2006, 161, 104–114. [Google Scholar] [CrossRef]
- Singh, B.N.; Singh, B.R.; Sarma, B.K.; Singh, H.B. Potential Chemoprevention of N-Nitrosodiethylamine-Induced Hepatocarcinogenesis by Polyphenolics from Acacia nilotica Bark. Chem. Biol. Interact. 2009, 181, 20–28. [Google Scholar] [CrossRef] [PubMed]
- Jadon, A.; Bhadauria, M.; Shukla, S. Protective Effect of Terminalia belerica Roxb. and Gallic Acid against Carbon Tetrachloride Induced Damage in Albino Rats. J. Ethnopharmacol. 2007, 109, 214–218. [Google Scholar] [CrossRef] [PubMed]
- Mulla, W.A.; Salunkhe, V.R.; Bhise, S.B. Hepatoprotective Activity of Hydroalcoholic Extract of Leaves of Alocasia indica (Linn.). Indian J. Exp. Biol. 2009, 47, 816–821. [Google Scholar] [PubMed]
- Pal, S.; Bhattacharjee, A.; Mukherjee, S.; Bhattacharya, K.; Mukherjee, S.; Khowala, S. Effect of Alocasia indica Tuber Extract on Reducing Hepatotoxicity and Liver Apoptosis in Alcohol Intoxicated Rats. BioMed Res. Int. 2014, 2014, 349074. [Google Scholar] [CrossRef]
- Zimmermann, A. Immunohistochemistry of Hepatocellular Carcinoma. In Tumors and Tumor-like Lesions of the Hepatobiliary Tract; Springer: Cham, Switzerland, 2016; pp. 1–27. [Google Scholar] [CrossRef]
- Zimmermann, A. Tumors and Tumor-Like Lesions of the Hepatobiliary Tract. In Tumors and Tumor-like Lesions of the Hepatobiliary Tract; Springer: Cham, Switzerland, 2016. [Google Scholar] [CrossRef]
- Wong, R.S.Y. Apoptosis in Cancer: From Pathogenesis to Treatment. J. Exp. Clin. Cancer Res. 2011, 30, 87. [Google Scholar] [CrossRef]
- Abrahams, V.M.; Kamsteeg, M.; Mor, G. The Fas/Fas Ligand System and Cancer: Immune Privilege and Apoptosis. Mol. Biotechnol. 2003, 25, 19–30. [Google Scholar] [CrossRef]
- Olsson, M.; Zhivotovsky, B. Caspases and Cancer. Cell Death Differ. 2011, 18, 1441. [Google Scholar] [CrossRef]
- Elrabat, A.; Eletreby, S.; Zaid, A.M.A.; Zaghloul, M.H.E. Tumor Necrosis Factor-Alpha and Alpha-Fetoprotein as Biomarkers for Diagnosis and Follow-up of Hepatocellular Carcinoma before and after Interventional Therapy. Egypt. J. Intern. Med. 2019, 31, 840–848. [Google Scholar] [CrossRef]
- Lee, Y.J.; Jang, B.K. The Role of Autophagy in Hepatocellular Carcinoma. Int. J. Mol. Sci. 2015, 16, 26629–26643. [Google Scholar] [CrossRef] [PubMed]
- Kiruthiga, C.; Devi, K.P.; Nabavi, S.M.; Bishayee, A. Autophagy: A Potential Therapeutic Target of Polyphenols in Hepatocellular Carcinoma. Cancers 2020, 12, 562. [Google Scholar] [CrossRef] [PubMed]
- Yan, X.; Qi, M.; Li, P.; Zhan, Y.; Shao, H. Apigenin in Cancer Therapy: Anti-Cancer Effects and Mechanisms of Action. Cell Biosci. 2017, 7, 50. [Google Scholar] [CrossRef] [PubMed]
- Qin, Y.; Zhao, D.; Zhou, H.; Wang, X.-H.; Zhong, W.; Chen, S.; Gu, W.; Wang, W.; Zhang, C.-H.; Liu, Y.-R.; et al. Apigenin Inhibits NF-ΚB and Snail Signaling, EMT and Metastasis in Human Hepatocellular Carcinoma. Oncotarget 2016, 7, 41421–41431. [Google Scholar] [CrossRef]
- Ghareeb, M.A.; Sobeh, M.; El-Maadawy, W.H.; Mohammed, H.S.; Khalil, H.; Botros, S.; Wink, M. Chemical Profiling of Polyphenolics in Eucalyptus globulus and Evaluation of Its Hepato-Renal Protective Potential against Cyclophosphamide Induced Toxicity in Mice. Antioxidants 2019, 8, 415. [Google Scholar] [CrossRef]
- Mohammed, H.S.; Ghareeb, M.A.; Aboushousha, T.; Heikal, E.A.; Abu El wafa, S.A. An appraisal of Luffa aegyptiaca extract and its isolated triterpenoidal saponins in Trichinella spiralis murine models. Arab. J. Chem. 2022, 15, 104258. [Google Scholar] [CrossRef]
- Prior, R.L.; Wu, X.; Schaich, K. Standardized Methods for the Determination of Antioxidant Capacity and Phenolics in Foods and Dietary Supplements. J. Agric. Food Chem. 2005, 53, 4290–4302. [Google Scholar] [CrossRef]
- Afonso, A.F.; Pereira, O.R.; Neto, R.T.; Silva, A.M.S.; Cardoso, S.M. Health-Promoting Effects of Thymus herba-barona, Thymus pseudolanuginosus, and Thymus caespititius Decoctions. Int. J. Mol. Sci. 2017, 18, 1879. [Google Scholar] [CrossRef]
- Abid, R.; Mahmood, R. Acute and Sub-Acute Oral Toxicity of Ethanol Extract of Cassia fistula Fruit in Male Rats. Avicenna J. Phytomed. 2019, 9, 117–125. [Google Scholar]
- Anisuzzman, M.; Hasan, M.M.; Acharzo, A.K.; Das, A.K.; Rahman, S. In Vivo and in Vitro Evaluation of Pharmacological Potentials of Secondary Bioactive Metabolites of Dalbergia candenatensis Leaves. Evid.-Based Complement. Altern. Med. 2017, 2017, 5034827. [Google Scholar] [CrossRef] [PubMed]
- Shirakami, Y.; Gottesman, M.E.; Blaner, W.S. Diethylnitrosamine-Induced Hepatocarcinogenesis Is Suppressed in Lecithin:Retinol Acyltransferase-Deficient Mice Primarily through Retinoid Actions Immediately after Carcinogen Administration. Carcinogenesis 2012, 33, 268. [Google Scholar] [CrossRef] [PubMed]
- Baek, J.M.; Kwak, S.C.; Kim, J.Y.; Ahn, S.J.; Jun, H.Y.; Yoon, K.H.; Lee, M.S.; Oh, J. Evaluation of a Novel Technique for Intraperitoneal Injections in Mice. Lab Anim. 2015, 44, 440–444. [Google Scholar] [CrossRef] [PubMed]
- Lei, Y.; Wang, S.; Ren, B.; Wang, J.; Chen, J.; Lu, J.; Zhan, S.; Fu, Y.; Huang, L.; Tan, J. CHOP Favors Endoplasmic Reticulum Stress-Induced Apoptosis in Hepatocellular Carcinoma Cells via Inhibition of Autophagy. PLoS ONE 2017, 12, e0183680. [Google Scholar] [CrossRef]
- Xu, H.; Gao, Y.; Shu, Y.; Wang, Y.; Shi, Q. EPHA3 Enhances Macrophage Autophagy and Apoptosis by Disrupting the MTOR Signaling Pathway in Mice with Endometriosis. Biosci. Rep. 2019, 39, BSR20182274. [Google Scholar] [CrossRef]
- Zhang, H.; Shang, C.; Tian, Z.; Amin, H.K.; Kassab, R.B.; Abdel Moneim, A.E.; Zhang, Y. Diallyl Disulfide Suppresses Inflammatory and Oxidative Machineries Following Carrageenan Injection-Induced Paw Edema in Mice. Mediat. Inflamm. 2020, 2020, 8508906. [Google Scholar] [CrossRef]





| Peak | RT (min) | λmax (nm) | m/z | ESI–MS2 | Compound |
|---|---|---|---|---|---|
| 1 | 9.4 | 271, 348 | 579 | 561, 519, 489, 459, 399, 369 | 6-C-hexosyl-8-C-pentosyl luteolin (isom 1) |
| 2 | 9.7 | 271, 346 | 579 | 561, 519, 489, 459, 399, 369 | 6-C-hexosyl-8-C-pentosyl luteolin (isom 2) |
| 3 | 10.1 | 271, 333 | 563 | 545, 503, 473, 443, 413, 383 353 | 6-C-hexosyl-8-C-pentosyl apigenin (isom 1) |
| 4 | 10.4 | 271, 333 | 563 | 545, 503, 473, 443, 383, 353 | 8-C-hexosyl-6-C-pentosyl apigenin (isom 1) |
| 5 | 10.7 | 271, 333 | 563 | 545, 503, 473, 443, 383, 353 | 6-C-hexosyl-8-C-pentosyl apigenin (isom 2) |
| 6 | 11.0 | 271, 333 | 563 | 545, 503, 473, 443, 383, 353 | 8-C-hexosyl-6-C-pentosyl apigenin (isom 2) |
| 7 | 10.4 | 271, 333 | 563 | 545, 503, 473, 443, 383, 353 | 6-C-hexosyl-8-C-pentosyl apigenin (isom 3) |
| 8 | 11.9 | 271, 333 | 563 | 545, 503, 473, 443, 383, 353 | 8-C-hexosyl-6-C-pentosyl apigenin (isom 3) |
| Liver Markers | Gp-I | Gp-II | Gp-III | Gp-IV |
|---|---|---|---|---|
| TBILR | 0.22 ± 0.18 | 1.27 ± 0.12 c | 0.16 ± 0.07 | 0.60 ± 0.14 b |
| ALP | 8.95 ± 1.75 | 24.99 ± 2.4 c | 12.39 ± 2.1 c | 14.66 ± 1.22 c |
| ALT | 7.45 ± 1.86 | 35.83 ± 3.7 c | 10.25 ± 1.8 a | 21.88 ± 5.89 c |
| AST | 112.51 ± 8.1 | 148.62 ± 5.4 c | 93.99 ± 22.59 a | 116.52 ± 27.25 |
| Serum Markers | Gp-I | Gp-II | Gp-III | Gp-IV |
|---|---|---|---|---|
| TNF-α | 0.068 ± 0.024 | 322.24 ± 11.2 c | 4.25 ± 2.1 c | 194.54 ± 15.92 c |
| AFP | 0.98 ± 0.299 | 4.48 ± 1.15 c | 0.65 ± 0.25 a | 2.9 ± 0.97 c |
| Gene | Primer Sequence | Reference |
|---|---|---|
| β-actin | Sense: GGGAATGGGTCAGAAGGACT | [48] |
| Antisense: CTTCTCCATGTCGTCCCAGT | ||
| BCl-2 | Sense: ATGCCTTTGTGGAACTATATGGC | [49] |
| Antisense: GGTATGCACCCAGAGTGATGC | ||
| mTOR | Sense: GGCCAAAAGGCAGGTGGCT | This study |
| Antisense: ATGTTCACTTTGTGCTTGTA | ||
| AMPK | Sense: GGAGAATAATGAATGAAGCC | This study |
| Antisense: CACCTTGGTGTTTGGATTTC | ||
| Beclin-1 | Sense: GAGAGACCCAGGAGGAAG | This study |
| Antisense: GGCCCGACATGATGTCAA | ||
| LC-3 | Sense: CCCGGTGATCATCGAGCGCT | This study |
| Antisense: GAAGGCCTGCGTGGGGTT | ||
| AFP | Sense: CTACATTTCGCTGCGTCCAA | This study |
| Antisense: CAGCCAACACATCGCTAGTC | ||
| TNF-α | Forward: ACCCTCACACTCACAAACCA | [50] |
| Reverse: GGCAGAGAGGAGGTTGACTT |
Publisher’s Note: MDPI stays neutral with regard to jurisdictional claims in published maps and institutional affiliations. |
© 2022 by the authors. Licensee MDPI, Basel, Switzerland. This article is an open access article distributed under the terms and conditions of the Creative Commons Attribution (CC BY) license (https://creativecommons.org/licenses/by/4.0/).
Share and Cite
Okasha, H.; Aboushousha, T.; Coimbra, M.A.; Cardoso, S.M.; Ghareeb, M.A. Metabolite Profiling of Alocasia gigantea Leaf Extract and Its Potential Anticancer Effect through Autophagy in Hepatocellular Carcinoma. Molecules 2022, 27, 8504. https://doi.org/10.3390/molecules27238504
Okasha H, Aboushousha T, Coimbra MA, Cardoso SM, Ghareeb MA. Metabolite Profiling of Alocasia gigantea Leaf Extract and Its Potential Anticancer Effect through Autophagy in Hepatocellular Carcinoma. Molecules. 2022; 27(23):8504. https://doi.org/10.3390/molecules27238504
Chicago/Turabian StyleOkasha, Hend, Tarek Aboushousha, Manuel A. Coimbra, Susana M. Cardoso, and Mosad A. Ghareeb. 2022. "Metabolite Profiling of Alocasia gigantea Leaf Extract and Its Potential Anticancer Effect through Autophagy in Hepatocellular Carcinoma" Molecules 27, no. 23: 8504. https://doi.org/10.3390/molecules27238504
APA StyleOkasha, H., Aboushousha, T., Coimbra, M. A., Cardoso, S. M., & Ghareeb, M. A. (2022). Metabolite Profiling of Alocasia gigantea Leaf Extract and Its Potential Anticancer Effect through Autophagy in Hepatocellular Carcinoma. Molecules, 27(23), 8504. https://doi.org/10.3390/molecules27238504

