Synthesis, Photochromic and Luminescent Properties of Ammonium Salts of Spiropyrans
Abstract
1. Introduction
2. Results and Discussion
2.1. Chemistry
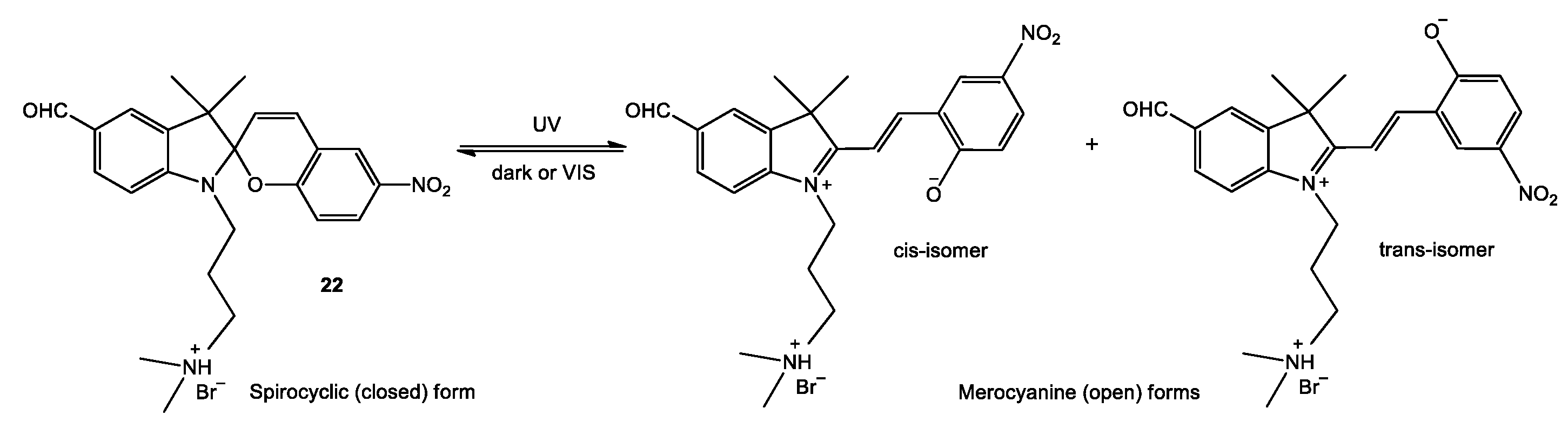
2.2. UV–Vis and Luminescent Studies
3. Materials and Methods
4. Conclusions
Supplementary Materials
Author Contributions
Funding
Institutional Review Board Statement
Informed Consent Statement
Data Availability Statement
Acknowledgments
Conflicts of Interest
Sample Availability
References
- Phillips, J.P.; Mueller, A.; Przystal, F. Photochromic Chelating Agents. J. Am. Chem. Soc. 1965, 87, 4020. [Google Scholar] [CrossRef]
- Kimura, K. Photocontrol of ionic conduction by photochromic crown ethers. Coord. Chem. Rev. 1996, 148, 41–61. [Google Scholar] [CrossRef]
- Willner, I. Photoswitchable Biomaterials: En Route to Optobioelectronic Systems. Acc. Chem. Res. 1997, 30, 347–356. [Google Scholar] [CrossRef]
- Evans, L.; Collins, G.E.; Shaffer, R.E.; Mechelet, V.; Winkler, J.D. Selective Metals Determination with a Photoreversible Spirobenzopyran. Anal. Chem. 1999, 71, 5322. [Google Scholar] [CrossRef] [PubMed]
- Minkin, V.I. Photo-, Thermo-, Solvato-, and Electrochromic Spiroheterocyclic Compounds. Chem. Rev. 2004, 104, 2751–2776. [Google Scholar] [CrossRef]
- Krayushkin, M.M.; Bogacheva, A.M.; Levchenko, K.S.; Kobeleva, O.I.; Valova, T.M.; Barachevskii, V.A.; Pozzo, J.-L.; Struchkova, M.I.; Shmelin, P.S.; Kalik, M.A.; et al. Synthesis of photochromic 6-aryl-substituted bis(benzothiophenyl)- perfluorocyclopentenes by the Suzuki–Miyaura cross-coupling. Mendeleev Commun. 2013, 23, 78–80. [Google Scholar] [CrossRef]
- Tomasulo, M.; Yildiz, I.; Raymo, F.M. Nanoparticle-induced transition from positive to negative photochromism. Inorg. Chim. Acta 2007, 360, 938–944. [Google Scholar] [CrossRef]
- Ramos-Garcia, R.; Delgado-Macuil, R.; Iturbe-Castillo, D.; de los Santos, E.G.; Corral, F.S. Polarization dependence on the holographic recording in spiropyran-doped polymers. Opt. Quantum Electron. 2003, 35, 641–650. [Google Scholar] [CrossRef]
- Bouas-Laurent, H.; Dürr, H. Organic photochromism (IUPAC Technical Report). Pure Appl. Chem. 2001, 73, 639–665. [Google Scholar] [CrossRef]
- Orgiu, E.; Samori, P. 25th Anniversary Article: Organic Electronics Marries Photochromism: Generation of Multifunctional Interfaces, Materials, and Devices. Adv. Mater. 2014, 26, 1827–1845. [Google Scholar] [CrossRef]
- Barachevsky, V.A.; Lashkov, G.I.; Tsekhomsky, V.A. Photochromism and Its Uses; Chemistry: Moscow, Russia, 1977; p. 280. [Google Scholar]
- Traven, V.F.; Miroshnikov, V.S.; Chibisova, T.A.; Barachevsky, V.A.; Venediktova, O.V.; Strokach, Y.P. Synthesis and structure of indoline spiropyrans of the coumarin series. Rus. Chem. Bull. 2005, 54, 2417–2424. [Google Scholar] [CrossRef]
- Bertelson, R.C. Photochromic processes involving heterocyclic cleavage. In Photochromism; Wiley-Interscience: New York, NY, USA, 1971; Chapter 3; p. 45. [Google Scholar]
- Dolotov, S.M.; Miroshnikov, V.S.; Chibisova, T.A.; Su-Lan, S.; Venidiktova, O.V.; Valova, T.M.; Dunaev, A.A.; Strokach, Y.P.; Barachevsky, V.A.; Traven, V.F. Photochromism of indoline spiropyrans of the coumarin series in polymeric matrices. Rus. Chem. Bull. 2007, 56, 904–909. [Google Scholar] [CrossRef]
- Benedetto, A.; Ballone, P. Room-Temperature Ionic Liquids and Biomembranes: Setting the Stage for Applications in Pharmacology, Biomedicine, and Bionanotechnology. Langmuir 2018, 34, 9579–9597. [Google Scholar] [CrossRef] [PubMed]
- Kumari, P.; Pillai, V.V.S.; Benedetto, A. Mechanisms of action of ionic liquids on living cells: The state of the art. Biophys. Rev. 2020, 12, 1187–1215. [Google Scholar] [CrossRef] [PubMed]
- Dzhemileva, L.U.; D’yakonov, V.A.; Seitkalieva, M.M.; Kulikovskaya, N.S.; Egorova, K.S.; Ananikov, V.P. A large-scale study of ionic liquids employed in chemistry and energy research to reveal cytotoxicity mechanisms and to develop a safe design guide. Green Chem. 2021, 23, 6414–6430. [Google Scholar] [CrossRef]
- Nilsson, J.R.; Li, S.; Önfelt, B.; Andréasson, J. Light-induced cytotoxicity of a photochromic spiropyran. Chem. Commun. 2011, 47, 11020–11022. [Google Scholar] [CrossRef]
- Galimov, D.I.; Tuktarov, A.R.; Sabirov, D.S.; Khuzin, A.A.; Dzhemilev, U.M. Reversible luminescence switching of a photochromic fullerene[60]-containing spiropyran. J. Photochem. Photobiol. A Chem. 2019, 375, 64–70. [Google Scholar] [CrossRef]
- Hammarson, M.; Andersson, J.; Li, S.; Lincoln, P.; Andréasson, J. Molecular AND-logic for dually controlled activation of a DNA-binding spiropyran. Chem. Commun. 2010, 46, 7130–7132. [Google Scholar] [CrossRef]
- Feeney, M.J.; Thomas, S.W. Tuning the Negative Photochromism of Water-Soluble Spiropyran Polymers. Macromolecules 2018, 51, 8027–8037. [Google Scholar] [CrossRef]
- Bahr, J.L.; Kodis, G.; de la Garza, L.; Lin, S.; Moore, A.L.; Moore, T.A.; Gust, D. Photoswitched Singlet Energy Transfer in a Porphyrin-Spiropyran Dyad. J. Am. Chem. Soc. 2001, 123, 7124–7133. [Google Scholar] [CrossRef]
- Song, X.; Zhou, J.; Li, Y.; Tang, Y. Correlations between solvatochromism, Lewis acid-base equilibrium and photochromism of an indoline spiropyran. J. Photochem. Photobiol. A Chem. 1995, 92, 99–103. [Google Scholar] [CrossRef]
- Yagi, S.; Nakamura, S.; Watanabe, D.; Nakazumi, H. Colorimetric sensing of metal ions by bis(spiropyran) podands: Towards naked-eye detection of alkaline earth metal ions. Dyes Pigment. 2009, 80, 98–105. [Google Scholar] [CrossRef]
- Darwish, T.A.; Evans, R.A.; James, M.; Malic, N.; Triani, G.; Hanley, T.L. CO2 Triggering and Controlling Orthogonally Multiresponsive Photochromic Systems. J. Am. Chem. Soc. 2010, 132, 10748–10755. [Google Scholar] [CrossRef] [PubMed]
- Darwish, T.A.; Evans, R.A.; James, M.; Hanley, T.L. Spiropyran–Amidine: A Molecular Canary for Visual Detection of Carbon Dioxide Gas. Chem. Eur. J. 2011, 17, 11399–11404. [Google Scholar] [CrossRef]
- Wojtyk, J.T.C.; Wasey, A.; Xiao, N.-N.; Kazmaier, P.M.; Hoz, S.; Yu, C.; Lemieux, R.P.; Buncel, E. Elucidating the Mechanisms of Acidochromic Spiropyran-Merocyanine Interconversion. J. Phys. Chem. A 2007, 111, 2511–2516. [Google Scholar] [CrossRef]
- Davis, D.A.; Hamilton, A.; Yang, J.; Cremar, L.D.; Van Gough, D.; Potisek, S.L.; Ong, M.T.; Braun, P.V.; Martinez, T.J.; White, S.R.; et al. Force-induced activation of covalent bonds in mechanoresponsive polymeric materials. Nature 2009, 459, 68–72. [Google Scholar] [CrossRef] [PubMed]
- Shiraishi, Y.; Itoh, M.; Hirai, T. Thermal isomerization of spiropyran to merocyanine in aqueous media and its application to colorimetric temperature indication. Phys. Chem. Chem. Phys. 2010, 12, 13737–13745. [Google Scholar] [CrossRef]







| Compound | Form | λabs (nm) 1 (ε, M−1·cm−1) | k1 (s−1) 2 | k2 (s−1) 3 | τ1/2 (s) 4 | S (rel.u.) 5 |
|---|---|---|---|---|---|---|
| 22 | SP | 267 (23,000), 324 (38,500) | 0.028 | 0.031 | 64 | 1.3 |
| MC | 374 (19,400), 602 (49,800) | |||||
| 23 | SP | 266 (13,760), 325 (23,140) | 0.031 | 0.036 | 205 | 1.4 |
| MC | 375 (15,340), 599 (33,170) | |||||
| 24 | SP | 267 (9150), 326 (17,800) | 0.022 | 0.034 | 147 | 1.8 |
| MC | 377 (15,340), 600 (31,160) | |||||
| 25 | SP | 266 (11,400), 327 (20,900) | 0.031 | 0.041 | 196 | 1.6 |
| MC | 377 (14,410), 602 (33,980) | |||||
| 26 | SP | 266 (14,800), 327 (26,800) | 0.034 | 0.037 | 69 | 1.1 |
| MC | 377 (13,600), 604 (28,800) |
Publisher’s Note: MDPI stays neutral with regard to jurisdictional claims in published maps and institutional affiliations. |
© 2022 by the authors. Licensee MDPI, Basel, Switzerland. This article is an open access article distributed under the terms and conditions of the Creative Commons Attribution (CC BY) license (https://creativecommons.org/licenses/by/4.0/).
Share and Cite
Khuzin, A.A.; Galimov, D.I.; Tulyabaev, A.R.; Khuzina, L.L. Synthesis, Photochromic and Luminescent Properties of Ammonium Salts of Spiropyrans. Molecules 2022, 27, 8492. https://doi.org/10.3390/molecules27238492
Khuzin AA, Galimov DI, Tulyabaev AR, Khuzina LL. Synthesis, Photochromic and Luminescent Properties of Ammonium Salts of Spiropyrans. Molecules. 2022; 27(23):8492. https://doi.org/10.3390/molecules27238492
Chicago/Turabian StyleKhuzin, Artur A., Dim I. Galimov, Artur R. Tulyabaev, and Liliya L. Khuzina. 2022. "Synthesis, Photochromic and Luminescent Properties of Ammonium Salts of Spiropyrans" Molecules 27, no. 23: 8492. https://doi.org/10.3390/molecules27238492
APA StyleKhuzin, A. A., Galimov, D. I., Tulyabaev, A. R., & Khuzina, L. L. (2022). Synthesis, Photochromic and Luminescent Properties of Ammonium Salts of Spiropyrans. Molecules, 27(23), 8492. https://doi.org/10.3390/molecules27238492

