Juniperus horizontalis Moench: Chemical Composition, Herbicidal and Insecticidal Activities of Its Essential Oil and of Its Main Component, Sabinene
Abstract
1. Introduction
2. Results
2.1. Identification of J. horizontalis Essential Oil Constituents
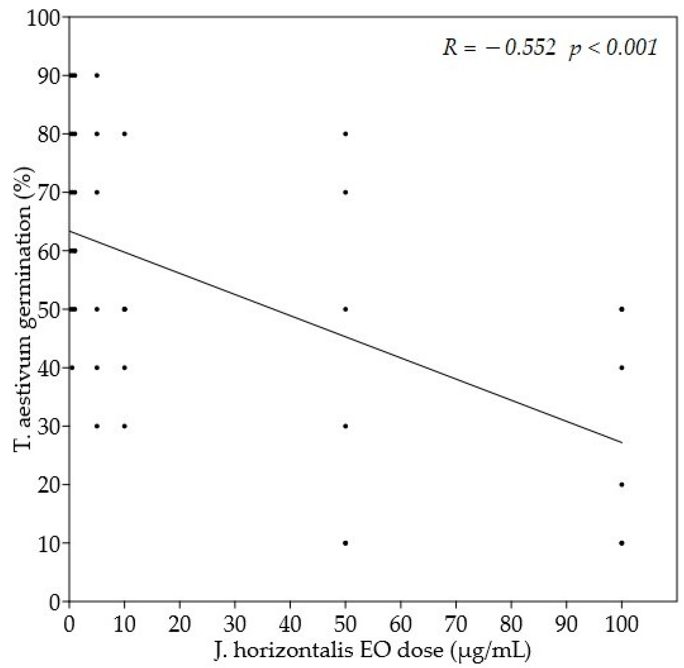
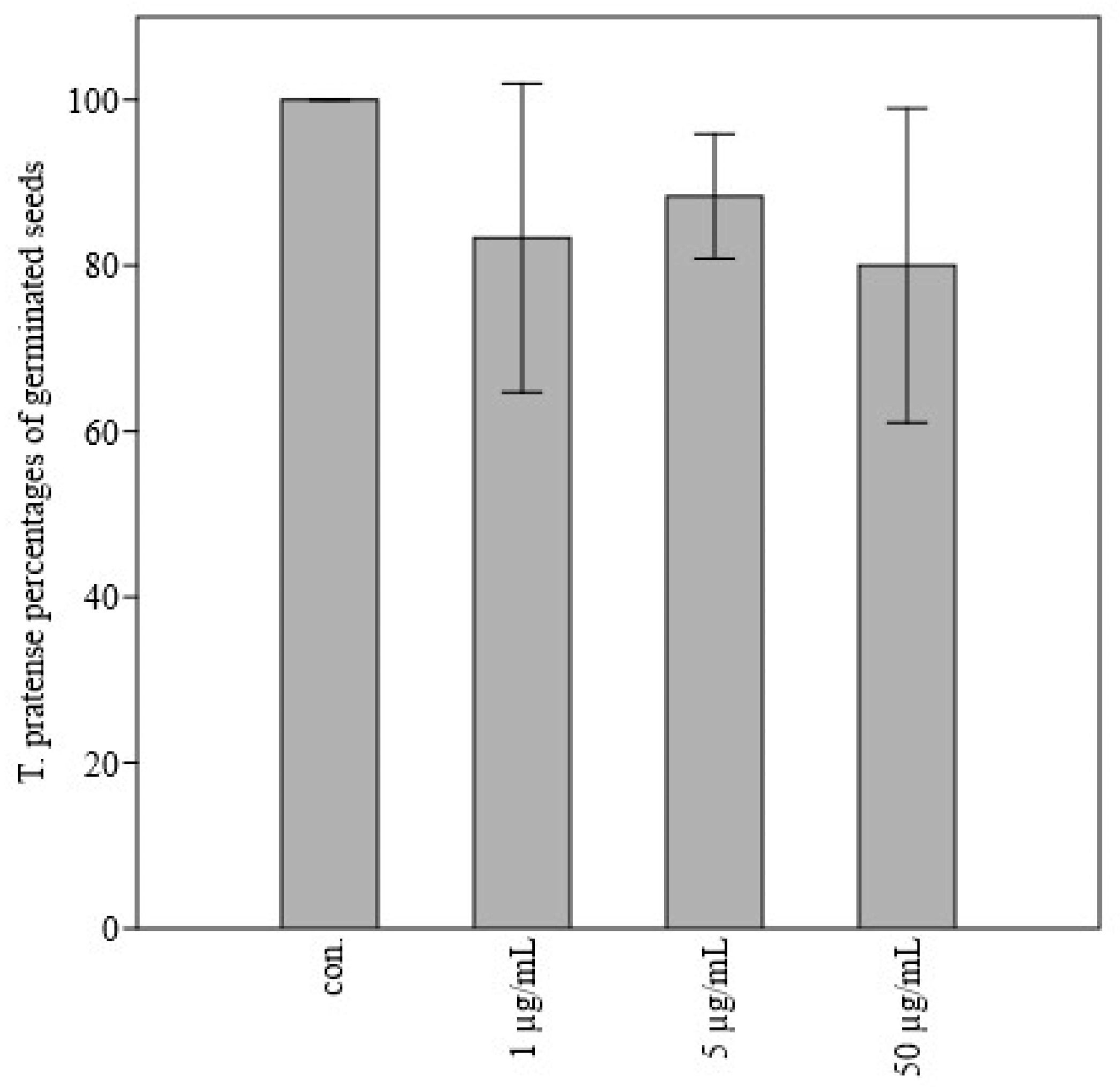
2.2. Influence of J. horizontalis Essential Oil on Seed Germination and on Root Length
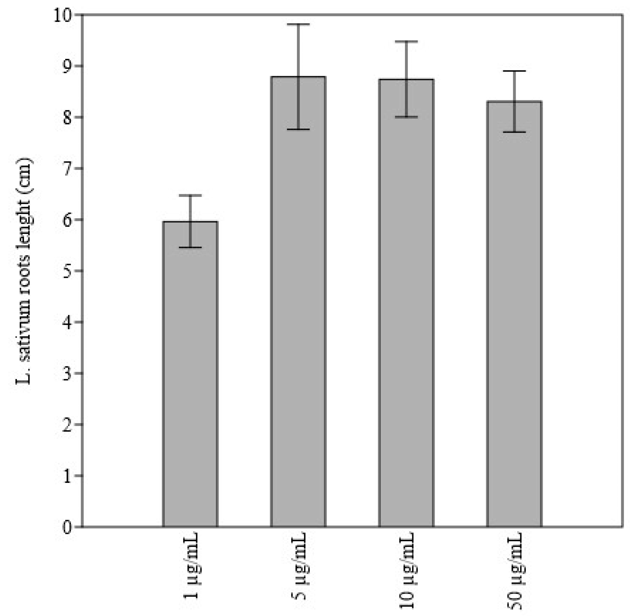
2.3. Influence of Sabinene on Seed Germination and on Root Length
2.4. Larvicidal Activity and Toxicity of J. horizontalis and of Sabinene
3. Discussion
3.1. Constituents of J. horizontalis Essential Oil
3.2. Effect of the EO and of Sabinene on Seed Germination and on Root Length
3.3. Larvicidal Activity and Toxicity of J. horizontalis and of Sabinene
4. Materials and Methods
4.1. Volatile Oil
4.2. GC-MS Analyses and Identification of Constituents
4.3. Herbicidal Activity
4.4. Insecticidal Activity
4.5. Toxicity
4.6. Statistics
5. Conclusions
Author Contributions
Funding
Institutional Review Board Statement
Informed Consent Statement
Data Availability Statement
Conflicts of Interest
Sample Availability
References
- Elshafie, H.S.; Caputo, L.; De Martino, L.; Gruľová, D.; Zheljazkov, V.D.; De Feo, V.; Camele, I. Biological investigations of essential oils extracted from three Juniperus species and evaluation of their antimicrobial, antioxidant, and cytotoxic activities. J. Appl. Microbiol. 2020, 129, 1261–1271. [Google Scholar] [CrossRef]
- Adams, R.P.; Demeke, T. Systematic Relationships in Juniperus Based on Random Amplified Polymorphic DNAs (RAPDs). Taxon 1993, 42, 553–571. [Google Scholar] [CrossRef]
- Huang, X.F.; Gao, H.W.; Lee, S.C.; Chang, K.F.; Tang, L.T.; Tsai, N.M. Juniperus indica Bertol. Extract synergized with cisplatin against melanoma cells via the suppression of AKT/mTOR and MAPK signaling and induction of cell apoptosis. Int. J. Med. Sci. 2021, 18, 157–168. [Google Scholar] [CrossRef] [PubMed]
- Zheljazkov, V.D.; Astatkie, T.E.; Jeliazkova, A.; Heidel, B.; Ciampa, L. Essential oil content, composition and bioactivity of Juniper species in Wyoming, United States. Nat. Prod. Comm. 2017, 12, 201–204. [Google Scholar] [CrossRef]
- Couchman, F.M.; von Rudloff, E. Gas-Liquid Chromatography of Terpenes. Part XIII. The volatile oil of the leaves of Juniperus horizontalis Moench. Can. J. Chem. 1965, 43, 1017–1021. [Google Scholar] [CrossRef]
- Fretz, T.A. Identification of Juniperus horizontalis Moench cultivars by foliage monoterpenes. Sci. Hortic. 1977, 6, 143–148. [Google Scholar] [CrossRef]
- Darwish, R.S.; Hammoda, H.M.; Ghareeb, D.A.; Abdelhamid, A.S.A.; El Moataz Bellah, E.N.; Fathallah, M.H.; Shawky, E. Efficacy-directed discrimination of the essential oils of three Juniperus species based on their in-vitro antimicrobial and anti-inflammatory activities. J. Ethnopharmacol. 2020, 259, 112971. [Google Scholar] [CrossRef] [PubMed]
- Mirmostafaee, S.; Azizi, M.; Fujii, Y. Study of allelopathic interaction of essential oils from medicinal and aromatic plants on seed germination and seedling growth of lettuce. Agronomy 2020, 10, 163. [Google Scholar] [CrossRef]
- Fernandez, A.C.; Monnier, Y.; Ormeño, E.; Baldy, V.; Greff, S.; Pasqualini, V.; Mévy, J.P.; Bousquet-Mélou, A. Variations in allelochemical composition of leachates of different organs and maturity stages of Pinus halepensis. J. Chem. Ecol. 2009, 35, 970–979. [Google Scholar] [CrossRef] [PubMed]
- Chou, C.H. Roles of allelopathy in plant biodiversity and sustainable agriculture. Plant Sci. 1999, 18, 609–636. [Google Scholar] [CrossRef]
- Shawky, E.; El Newehy, N.M.; Beltagy, A.M.; Abd-Alhaseeb, M.M.; Omran, G.A.; Harraz, F.M. Fingerprint profile and efficacy-associated markers of Nigella sativa oil for geographical origin determination using targeted and untargeted HPTLC-multivariate analysis. J. Chromatogr. B 2018, 1087–1088, 108–117. [Google Scholar] [CrossRef] [PubMed]
- Dayan, F.E.; Cantrell, C.L.; Duke, S.O. Natural products in crop protection. Bioorg. Med. Chem. 2009, 17, 4022–4034. [Google Scholar] [CrossRef]
- Macías, F.A.; Mejías, F.J.R.; Molinillo, J.M.G. Recent advances in allelopathy for weed control: From knowledge to applications. Pest Manag. Sci. 2019, 75, 2413–2436. [Google Scholar] [CrossRef] [PubMed]
- Duke, S.O. Why have no new herbicide modes of action appeared in recent years? Pest Manag. Sci. 2012, 68, 505–512. [Google Scholar] [CrossRef]
- Rüegg, W.T.; Quadranti, M.; Zoschke, A. Herbicide research and development: Challenges and opportunities. Weed Res. 2007, 47, 271–275. [Google Scholar] [CrossRef]
- Maccioni, A.; Santo, A.; Falconieri, D.; Piras, A.; Farris, E.; Maxia, A.; Bacchetta, G. Phytotoxic effects of Salvia rosmarinus essential oil on Acacia saligna seedling growth. Flora 2020, 269, 151639. [Google Scholar] [CrossRef]
- Lawal, O.A.; Ogunwande, I.A.; Mzimela, H.M.M.; Opoku, A.R.; Oyedeji, A.O. Senecio pterophorus DC. (Asteraceae) Essential Oils: Antibacterial, Antioxidant, Cytotoxic and Larvicidal Activities. Brit. J. Pharm. Res. 2016, 12, BJPR.25250. [Google Scholar] [CrossRef]
- Costa, J.G.M.; Rodrigues, F.F.G.; Silva, M.R.; Campos, A.R.; Lemos, T.L.G.; Lima, S.G. Chemical Composition, Antibacterial and Larvicidal Activities of Zanthoxylum rhoifolium Lam Fruits Essential Oil. J. Essent. Oil Bear. Plants 2008, 11, 571–576. [Google Scholar] [CrossRef]
- Zhang, J.J.; Huang, T.; Zhang, J.; Shi, Z.P.; He, Z.B. Chemical Composition of Leaf Essential Oils of Four Cinnamomum Species and Their Larvicidal Activity Against Anophelus sinensis (Diptera: Culicidae). J. Essent. Oil Bear. Plants 2018, 21, 1284–1294. [Google Scholar] [CrossRef]
- Plata-Rueda, A.; Zanuncio, J.C.; Serrão, J.E.; Martínez, L.C. Origanum vulgare Essential Oil against Tenebrio molitor (Coleoptera: Tenebrionidae): Composition, Insecticidal Activity, and Behavioral Response. Plants 2021, 10, 2513. [Google Scholar] [CrossRef]
- Narasimhachari, N.; von Rudloff, E. The chemical composition of the wood and bark extractives of Juniperus horizontalis Moench. Can. J. Chem. 1961, 39, 2572–2581. [Google Scholar] [CrossRef]
- Jurová, J.; Matoušková, M.; Wajs-Bonikowska, A.; Kalemba, D.; Renčo, M.; Sedlák, V.; Gogal’ová, Z.; Poráčová, J.; Šalamún, P.; Grul’ová, D. Potential phytotoxic effect of essential oil of non-native species Impatiens parviflora DC. Plants 2019, 8, 241. [Google Scholar] [CrossRef]
- Cao, Y.; Zhang, H.; Liu, H.; Liu, W.; Zhang, R.; Xian, M.; Liu, H. Biosynthesis and production of sabinene: Current state and perspectives. Appl. Microbiol. Biotechnol. 2018, 102, 1535–1544. [Google Scholar] [CrossRef] [PubMed]
- Hakola, H.; Tarvainen, V.; Laurila, T.; Hiltunen, V.; Hellén, H.; Keronen, P. Seasonal variation of VOC doses above a boreal coniferous forest. Atmos. Environ. 2003, 37, 1623–1634. [Google Scholar] [CrossRef]
- Rossi, P.G.; Berti, L.; Panighi, J.; Luciani, A.; Maury, J.; Muselli, A.; Serra, D.R.; Gonny, M.; Bolla, J.M. Antibacterial action of essential oils from Corsica. J. Essent. Oil Res. 2007, 19, 176–182. [Google Scholar] [CrossRef]
- Asili, J.; Emami, S.A.; Rahimizadeh, M.; Fazly-Bazzaz, B.S.; Hassanzadeh, M.K. Chemical and antimicrobial studies of Juniperus sabina L. and Juniperus foetidissima Willd. essential oils. J. Essent. Oil Bear. Plants 2010, 13, 25–36. [Google Scholar] [CrossRef]
- Semerdjieva, I.; Atanasova, D.; Maneva, V.; Zheljazkov, V.; Radoukova, T.; Astatkie, T.; Dincheva, I. Allelopathic effects of Juniper essential oils on seed germination and seedling growth of some weed seeds. Ind. Crops Prod. 2022, 180, 114768. [Google Scholar] [CrossRef]
- Rolim de Almeida, L.F.; Frei, F.; Mancini, E.; De Martino, L.; De Feo, V. Phytotoxic Activities of Mediterranean Essential Oils. Molecules 2010, 15, 4309–4323. [Google Scholar] [CrossRef]
- Znati, M.; Filali, I.; Jabrane, A.; Casanova, J.; Bouajila, J.; Ben Jannet, H. Chemical composition and in vitro evaluation of antimicrobial, antioxidant and antigerminative properties of the seed oil from the Tunisian endemic Ferula tunetana Pomel ex Batt. Chem. Biodivers. 2017, 14, e1600116. [Google Scholar] [CrossRef]
- Zhou, S.; Wei, C.; Zhang, C.; Han, C.; Kuchkarova, N.; Shao, H. Chemical composition, phytotoxic, antimicrobial and insecticidal activity of the essential oils of Dracocephalum integrifolium. Toxins 2019, 11, 598. [Google Scholar] [CrossRef]
- Verdeguer, M.; Torres-Pagan, N.; Muñoz, M.; Jouini, A.; García-Plasencia, S.; Chinchilla, P.; Berbegal, M.; Salamone, A.; Agnello, S.; Carrubba, A.; et al. Herbicidal activity of Thymbra capitata (L.) Cav. essential oil. Molecules 2020, 25, 2832. [Google Scholar] [CrossRef] [PubMed]
- Ulukanli, Z.; Çenet, M.; Öztürk, B.; Bozok, F.; Karabörklü, S.; Demirci, S.C. Chemical characterization, phytotoxic, antimicrobial and insecticidal activities of Vitex agnus-castus’ essential oil from East Mediterranean Region. J. Essent. Oil Bear. Plants 2015, 18, 1500–1507. [Google Scholar] [CrossRef]
- Bozok, F. Herbicidal Activity of Nepeta flavida Essential Oil. J. Essent. Oil Bear. Plants 2018, 21, 1687–1693. [Google Scholar] [CrossRef]
- De Martino, L.; Mancini, E.; Rolim De Almeida, L.F.; De Feo, V. The antigerminative activity of twenty-seven monoterpenes. Molecules 2010, 15, 6630–6637. [Google Scholar] [CrossRef] [PubMed]
- Muller, W.H.; Lorber, P.; Haley, B.; Johnson, K. Volatile growth inhibitors produced by Salvia leucophylla: Effect on oxygen uptake by mitochondrial suspensions. Bull. Torrey Bot. Club 1969, 96, 89–96. [Google Scholar] [CrossRef]
- Abd-ElGawad, A.M.; El Gendy, A.E.-N.G.; Assaeed, A.M.; Al-Rowaily, S.L.; Alharthi, A.S.; Mohamed, T.A.; Nassar, M.I.; Dewir, Y.H.; Elshamy, A.I. Phytotoxic Effects of Plant Essential Oils: A Systematic Review and Structure-Activity Relationship Based on Chemometric Analyses. Plants 2021, 10, 36. [Google Scholar] [CrossRef]
- Matoušková, M.; Jurová, J.; Grul’ová, D.; Wajs-Bonikowska, D.; Renčo, M.; Sedlák, V.; Poráčová, J.; Gogal’ová, Z.; Kalemba, D. Phytotoxic effect of invasive Heracleum mantegazzianum essential oil on dicot and monocot species. Molecules 2019, 24, 425. [Google Scholar] [CrossRef]
- Wei, C.; Zhou, S.; Shi, K.; Zhang, C.; Shao, H. Chemical profile and phytotoxic action of Onopordum acanthium essential oil. Sci. Rep. 2020, 10, 13568. [Google Scholar] [CrossRef]
- Martínez, L.C.; Plata-Rueda, A.; Colares, H.C.; Campos, J.M.; Dos Santos, M.H.; Fernandes, F.L.; Serrão, J.E.; Zanuncio, J.C. Toxic effects of two essential oils and their constituents on the mealworm beetle, Tenebrio molitor. Bull. Entomol. Res. 2018, 108, 716–725. [Google Scholar] [CrossRef] [PubMed]
- Plata-Rueda, A.; Martínez, L.C.; Santos, M.H.D.; Fernandes, F.L.; Wilcken, C.F.; Soares, M.A.; Serrão, J.E.; Zanuncio, J.C. Insecticidal activity of garlic essential oil and their constituents against the mealworm beetle, Tenebrio molitor Linnaeus (Coleoptera: Tenebrionidae). Sci. Rep. 2017, 7, 46406. [Google Scholar] [CrossRef]
- Davies, N.W. Gas chromatographic retention indices of monoterpenes and sesquiterpenes on methyl silicon and Carbowax 20M phases. J. Chromatogr. A 1990, 503, 1–24. [Google Scholar] [CrossRef]
- Jennings, W.; Shibamoto, T. Qualitative Analysis of Flavor and Fragrance Volatiles by Glass Capillary Gas Chromatography; Academic Press: New York, NY, USA, 1980; 480p. [Google Scholar]
- Adams, R.P. Identification of Essential Oil Components by Gas Chromatography/Mass Spectrometry, 4th ed.; Allured Publishing Corporation: Carol Stream, IL, USA, 2007; pp. 1–811. [Google Scholar]
- Goodner, K.L. Practical retention index models of OV-101, DB-1, DB-5, and DB-Wax for flavor and fragrance compounds. LWT—Food Sci. Technol. 2008, 41, 951–958. [Google Scholar] [CrossRef]
- Mancini, E.; Camele, I.; Elshafie, H.S.; De Martino, L.; Pellegrino, C.; Grul’ova, D.; De Feo, V. Chemical composition and biological activity of the essential oil of Origanum vulgare ssp. hirtum from different areas in the Southern Apennines (Italy). Chem. Biodivers. 2014, 11, 639–651. [Google Scholar] [CrossRef] [PubMed]
- Tichý, M.; Rucki, M.; Hanzlíková, I.; Roth, Z. The Tubifex tubifex assay for the determination of acute toxicity. ATLA 2007, 35, 229–237. [Google Scholar] [CrossRef] [PubMed]
- Brito, L.C.F.; Dias, L.M.F.; Pereira, G.S.S.; Alves, N.B.; Rocha, M.; de Sousa, J.F., Jr.; Barros, V.C.; Muratori, M.C.S. Analysis of the chemical composition, antifungal activity and larvicidal action against Aedes aegypti larvae of the essential oil Cymbopogon nardus. Res. Soc. Dev. 2021, 10, e543101321452. [Google Scholar] [CrossRef]
- Hammer, O.; Harper, D.A.T.; Ryan, P.D. PAST: Paleontological statistics software package for education and data analysis. Palaeontol. Electron. 2001, 4, 1–9. [Google Scholar]
- Mekapogu, A.R. Finney’s probit analysis spreadsheet calculator (Version 2021) based on the Finney, D.J. Probit Analysis (2nd Ed). J. Inst. Actuar. 1952, 78, 388–390. Available online: https://probitanalysis.wordpress.com/author/alpharajm/ (accessed on 11 September 2022).







| Compound | % ± SD | RI a | RI b | Identification c |
|---|---|---|---|---|
| α-Thujene | 5.3 ± 0.2 | 932 | 931 | KI, MS |
| α-Pinene | 10.0 ± 0.9 | 936 | 939 | Co-I, KI, MS |
| Sabinene | 38.7 ± 2.0 | 973 | 976 | KI, MS |
| β-Pinene | tr d | 978 | 978 | Co-I, KI, MS |
| Myrcene | tr | 987 | 991 | Co-I, KI, MS |
| α-Terpinene | 0.9 ± 0.2 | 1013 | 1018 | Co-I, KI, MS |
| Limonene | 7.8 ± 0.5 | 1025 | 1031 | KI, MS |
| γ-Terpinene | 8.3 ± 0.6 | 1051 | 1062 | Co-I, KI, MS |
| cis-β-Terpineol | 0.2 ± 0.0 | 1141 | 1144 | KI, MS |
| 1-Terpinen-4-ol | 4.4 ± 0.1 | 1164 | 1163 | KI, MS |
| α-Terpineol | 0.3 ± 0.0 | 1176 | 1189 | Co-I, KI, MS |
| Bornyl acetate | 0.2 ± 0.0 | 1270 | 1285 | Co-I, KI, MS |
| β-Elemene | 0.8 ± 0.0 | 1389 | 1391 | KI, MS |
| γ-Elemene | 0.2 ± 0.0 | 1429 | 1433 | KI, MS |
| β-Caryophyllene | 0.6 ± 0.1 | 1467 | 1467 | KI, MS |
| γ-Gurjunene | 0.1 ± 0.0 | 1473 | 1473 | KI, MS |
| γ-Muurolene | 0.1 ± 0.0 | 1474 | 1477 | KI, MS |
| Germacrene D | 0.2 ± 0.0 | 1479 | 1480 | KI, MS |
| epi-Bicyclosesquiphellandrene | 0.1 ± 0.0 | 1487 | KI, MS | |
| Valencene | 0.2 ± 0.0 | 1494 | 1491 | KI, MS |
| α-Muurolene | 0.3 ± 0.1 | 1496 | 1499 | KI, MS |
| γ-Cadinene | 0.7 ± 0.1 | 1507 | 1513 | KI, MS |
| δ-Cadinene | 1.2 ± 0.1 | 1520 | 1524 | KI, MS |
| Elemol | 8.6 ± 0.6 | 1541 | 1549 | KI, MS |
| Spathulenol | 0.2 ± 0.0 | 1572 | 1576 | KI, MS |
| γ-Eudesmol | 0.9 ± 0.1 | 1618 | 1630 | KI, MS |
| Cubenol | 0.6 ± 0.0 | 1630 | 1642 | KI, MS |
| t-Cadinol | 0.2 ± 0.0 | 1633 | 1642 | KI, MS |
| t-Muurolol | 2.3 ± 0.0 | 1633 | 1645 | KI, MS |
| TOTAL | 93.40 | |||
| Monoterpene hydrocarbons | 71.00 | |||
| Oxygenated monoterpenes | 5.1 | |||
| Sesquiterpene hydrocarbons | 4.5 | |||
| Oxygenated sesquiterpenes | 12.8 |
| Model Plants | Mean Percentage of Germination by Influence of J. horizontalis EO | |||||||
|---|---|---|---|---|---|---|---|---|
| Doses (µg/mL) | ||||||||
| 100 | 50 | 10 | 5 | 1 | 0.5 | Control | ||
| crops | Sinapis alba (Brassicaceae) | 91.7 ± 4.1 | 93.3 ± 8.2 | 95.0 ± 5.5 | 96.7 ± 5.2 | 95.0 ± 5.5 | 98.3 ± 4.1 | 91.7 ± 13.3 |
| Lepidium sativum (Brassicaceae) | 95.0 ± 12.2 | 98.3 ± 4.1 | 100.0 ± 0.0 | 98.3 ± 4.1 | 100.0 ± 0.0 | 100.0 ± 0.0 | 96.7 ± 5.2 | |
| Triticum aestivum (Poaceae) | 30.0 ± 19.90 ** | 41.7 ± 29.9 | 50.0 ± 16.7 | 60.0 ± 23.7 | 68.3 ± 14.7 | 65.0 ± 18.7 | 68.3 ± 14.7 | |
| Hordeum vulgare (Poaceae) | 91.7 ± 7.5 | 95.0 ± 5.5 | 93.3 ± 10.3 | 86.7 ± 13.7 | 93.3 ± 8.2 | 93.3 ± 8.2 | 90.0 ± 8.9 | |
| weeds | Lolium perenne (Poaceae) | 80.0 ± 20.0 | 86.7 ± 15.0 | 75.0 ± 12.2 ** | 85.0 ± 13.8 | 91.7 ± 9.8 | 78.3 ± 21.3 | 96.7 ± 5.2 |
| Portulaca oleracea (Portulacaceae) | 96.7 ± 5.2 | 98.3 ± 4.1 | 100.0 ± 0.0 | 96.7 ± 5.2 | 100.0 ± 0.0 | 98.3 ± 4.1 | 100.0 ± 0.0 | |
| Barbarea vulgaris (Brassicaceae) | 95.0 ± 5.5 * | 96.7 ± 5.2 | 96.7 ± 8.2 | 96.7 ± 5.2 | 98.3 ± 4.08 | 100.0 ± 0.0 | 100.0 ± 0.0 | |
| Trifolium pratense (Fabaceae) | 91.7 ± 11.7 | 80.0 ± 19.0 | 86.7 ± 19.7 | 88.3 ± 7.5 ** | 83.3 ± 18.6 * | 93.3 ± 8.7 | 100.0 ± 0.0 | |
| Model Plants | Root Lenght by Influence of J. horizontalis EO [cm] | |||||||
|---|---|---|---|---|---|---|---|---|
| Doses [µg/mL] | ||||||||
| 100 | 50 | 10 | 5 | 1 | 0.5 | Control | ||
| crops | Sinapis alba (Brassicaceae) | 1.5 ± 0.5 *** | 2.2 ± 0.7 *** | 2.5 ± 1.2 * | 1.8 ± 0.9 ** | 2.6 ± 0.5 * | 2.5 ± 0.9 * | 4.5 ± 1.2 |
| Lepidium sativum (Brassicaceae) | 2.4 ± 0.5 *** | 4.4 ± 2.5 | 3.8 ± 0.9 ** | 2.8 ± 0.6 *** | 3.9 ± 1.8 * | 3.7 ± 1.7 ** | 6.1 ± 1.1 | |
| Triticum aestivum (Poaceae) | 0.8 ± 0.4 ** | 1.6 ± 1.0 ** | 1.0 ± 0.4 ** | 1.5 ± 0.6 ** | 1.4 ± 0.6 ** | 1.4 ± 0.4 ** | 3.2 ± 0.7 | |
| Hordeum vulgare (Poaceae) | 2.7 ± 0.3 ** | 3.1 ± 0.4 ** | 3.2 ± 0.3 ** | 3.1 ± 0.6 ** | 3.0 ± 0.6 ** | 3.4 ± 0.3 ** | 4.3 ± 0.4 | |
| weeds | Lolium perenne (Poaceae) | 1.4 ± 0.2 ** | 1.8 ± 0.2 ** | 1.7 ± 0.3 ** | 1.9 ± 0.3 ** | 1.8 ± 0.5 ** | 1.7 ± 0.5 ** | 2.5 ± 0.2 |
| Portulaca oleracea (Portulacaceae) | 1.8 ± 0.2 * | 2.2 ± 0.3 ** | 2.1 ± 0.1 *** | 1.8 ± 0.3 * | 1.0 ± 0.1 *** | 1.6 ± 0.2 | 1.5 ± 0.2 | |
| Barbarea vulgaris (Brassicaceae) | 0.8 ± 0.1 * | 1.0 ± 0.1 | 1.1 ± 0.1 | 0.9 ± 0.2 | 0.8 ± 0.2 * | 0.9 ± 0.1 | 1.2 ± 0.4 | |
| Trifolium pratense (Fabaceae) | 1.7± | 2.9 ± * | 1.9± | 2.3 ± ** | 1.7± | 2.1 ± * | 1.3± | |
| Model Plants | Mean Percentage of Germination by Influence of Sabinene [%] | |||||||
|---|---|---|---|---|---|---|---|---|
| Doses [µg/mL] | ||||||||
| 100 | 50 | 10 | 5 | 1 | 0.5 | Control | ||
| crops | Sinapis alba (Brassicaceae) | 83.3 ± 5.8 | 96.7 ± 5.8 | 93.3 ± 11.5 | 100.0 ± 0.0 | 93.3 ± 5.8 | 86.7 ± 15.3 | 91.7 ± 13.3 |
| Lepidium sativum (Brassicaceae) | 96.7 ± 5.8 | 100.0 ± 0.00 | 100.0 ± 0.0 | 100.0 ± 0.0 | 100.0 ± 0.0 | 100.0 ± 0.0 | 100.0 ± 0.0 | |
| Triticum aestivum (Poaceae) | 90.0 ± 17.3 | 93.3 ± 5.8 * | 96.7 ± 5.8 * | 90.0 ± 0.0 * | 80.0 ± 17.3 | 83.3 ± 11.6 | 68.3 ± 14.7 | |
| Hordeum vulgare (Poaceae) | 86.7 ± 15.3 * | 100.0 ± 0.0 | 96.7 ± 5.8 | 93.3 ± 5.8 * | 96.7 ± 5.8 | 96.7 ± 5.8 | 100.0 ± 0.0 | |
| weeds | Lolium perenne (Poaceae) | 70.0 ± 10.0 *** | 96.7 ± 5.8 | 90.0 ± 17.3 | 73.3 ± 25.2 * | 90.0 ± 0.0 | 86.7 ± 5.8 * | 96.7 ± 5.2 |
| Portulaca oleracea (Portulacaceae) | 100.0 ± 0.0 | 93.3 ± 5.8 | 96.6 ± 5.8 | 96.7 ± 5.8 | 96.7 ± 5.8 | 100.0 ± 0.0 | 96.7 ± 5.2 | |
| Barbarea vulgaris (Brassicaceae) | 93.3 ± 5.8 | 100.0 ± 0.0 | 93.3 ± 5.8 | 100.0 ± 0.0 | 96.7 ± 5.8 | 100.0 ± 0.0 | 96.7 ± 5.2 | |
| Trifolium pratense (Fabaceae) | 73.3 ± 11.5 | 86.7 ± 15.3 | 76.7 ± 20.8 | 70.0 ± 20.0 | 90.0 ± 17.3 | 56.7 ± 23.1 | 80.0 ± 20.0 | |
| Model Plants | Root Lenght by Influence of Sabinene [cm] | |||||||
|---|---|---|---|---|---|---|---|---|
| Doses [µg/mL] | ||||||||
| 100 | 50 | 10 | 5 | 1 | 0.5 | Cont. | ||
| crops | Sinapis alba (Brassicaceae) | 2.3 ± 0.8 | 4.5 ± 1.6 | 4.8 ± 1.6 | 4.2 ± 0.6 | 3.5 ± 1.0 | 2.8 ± 1.8 | 4.5 ± 1.2 |
| Lepidium sativum (Brassicaceae) | 5.8 ± 1.7 | 8.3 ± 0.6 ** | 8.7 ± 0.7 ** | 8.8 ± 0.6 ** | 6.0 ± 1.0 | 7.0 ± 0.5 | 6.1 ± 1.1 | |
| Triticum aestivum (Poaceae) | 2.5 ± 0.4 | 3.0 ± 0.4 | 3.2 ± 0.2 | 3.7 ± 0.3 | 4.0 ± 0.5 | 4.6 ± 0.2 * | 3.2 ± 0.7 | |
| Hordeum vulgare (Poaceae) | 3.7 ± 1.5 | 4.3 ± 1.2 | 4.5 ± 1.9 | 3.7 ± 0.5 | 4.3 ± 0.5 | 9.0 ± 6.0 | 3.9 ± 0.7 | |
| weeds | Lolium perenne (Poaceae) | 1.3 ± 0.2 *** | 1.6 ± 0.2 *** | 2.0 ± 0.3 * | 2.0 ± 0.3 * | 1.8 ± 0.5 * | 2.3 ± 0.2 | 2.5 ± 0.2 |
| Portulaca oleracea (Portulacaceae) | 1.8 ± 0.3 | 1.9 ± 0.0 ** | 2.0 ± 0.1 ** | 1.9 ± 0.3 * | 2.1 ± 0.2 *** | 2.2 ± 0.1 *** | 1.5 ± 0.1 | |
| Barbarea vulgaris (Brassicaceae) | 0.8 ± 0.1 | 0.8 ± 0.1 | 1.1 ± 0.2 | 1.0 ± 0.0 | 1.0 ± 0.2 | 1.3 ± 0.2 | 1.3 ± 0.4 | |
| Trifolium pratense (Fabaceae) | 1.9 ± 0.0 | 2.2 ± 0.2 * | 2.2 ± 0.9 | 1.6 ± 0.3 | 2.0 ± 0.2 | 2.0 ± 1.1 | 1.6 ± 0.4 | |
| EO Dose in µg Insect−1 | Average Mortality in % ± SD |
|---|---|
| 1740 | 93.70 ± 5.94% |
| 870 | 57.98 ± 11.88% |
| 652.5 | 14.07 ± 10.44% |
| 435 | 12.82 ± 6.25% |
Publisher’s Note: MDPI stays neutral with regard to jurisdictional claims in published maps and institutional affiliations. |
© 2022 by the authors. Licensee MDPI, Basel, Switzerland. This article is an open access article distributed under the terms and conditions of the Creative Commons Attribution (CC BY) license (https://creativecommons.org/licenses/by/4.0/).
Share and Cite
Gruľová, D.; Baranová, B.; Sedlák, V.; De Martino, L.; Zheljazkov, V.D.; Konečná, M.; Poráčová, J.; Caputo, L.; De Feo, V. Juniperus horizontalis Moench: Chemical Composition, Herbicidal and Insecticidal Activities of Its Essential Oil and of Its Main Component, Sabinene. Molecules 2022, 27, 8408. https://doi.org/10.3390/molecules27238408
Gruľová D, Baranová B, Sedlák V, De Martino L, Zheljazkov VD, Konečná M, Poráčová J, Caputo L, De Feo V. Juniperus horizontalis Moench: Chemical Composition, Herbicidal and Insecticidal Activities of Its Essential Oil and of Its Main Component, Sabinene. Molecules. 2022; 27(23):8408. https://doi.org/10.3390/molecules27238408
Chicago/Turabian StyleGruľová, Daniela, Beáta Baranová, Vincent Sedlák, Laura De Martino, Valtcho D. Zheljazkov, Mária Konečná, Janka Poráčová, Lucia Caputo, and Vincenzo De Feo. 2022. "Juniperus horizontalis Moench: Chemical Composition, Herbicidal and Insecticidal Activities of Its Essential Oil and of Its Main Component, Sabinene" Molecules 27, no. 23: 8408. https://doi.org/10.3390/molecules27238408
APA StyleGruľová, D., Baranová, B., Sedlák, V., De Martino, L., Zheljazkov, V. D., Konečná, M., Poráčová, J., Caputo, L., & De Feo, V. (2022). Juniperus horizontalis Moench: Chemical Composition, Herbicidal and Insecticidal Activities of Its Essential Oil and of Its Main Component, Sabinene. Molecules, 27(23), 8408. https://doi.org/10.3390/molecules27238408

