Abstract
In the present work, a high-throughput field sample preparation method was reported for the simultaneous determination of 5-hydroxymethylfurfural and phenolic compounds in honey. Combining a simple and green homogenous liquid–liquid extraction, matrix-induced sugaring-out, with the use of a 96-deepwell plate and multichannel pipette, the proposed method showed its merits in instrument-free and high-throughput preparation. Due to the high-throughput property, the parameters of the method were rapidly and systematically studied using a constructed 4 × 2 × 4 × 3 array (sample amount × ratio of ACN:H2O × standing time × replicates) in a 96-deepwell plate. Analytical performance was fully validated, and the limits of detection and limits of quantification were in the range of 0.17–1.35 μg/g and 0.51–4.14 μg/g, respectively. Recoveries were between 83.98 and 117.11%, and all the precisions were <5%. Furthermore, the developed method was successfully applied in the outdoor preparation of commercial honey samples and the in-field preparation of raw honey samples in apiary. The current work presented a simple, rapid, and high-throughput method for the field sample preparation of honey and provides a valuable strategy for the design of field and on-site sample preparation.
1. Introduction
Honey, the natural sweet food produced by honeybees, has been long consumed by humans due to its special flavor and nutritional benefits [1]. Fructose and glucose are the major components of honey, with total content >60% (w/w) [2]. However, honey is more than a simple concentrated sweet substance given its diverse constituents from both plant and honeybee. These constituents including flavor compounds, organic acids, vitamins, proteins and amino acids, phenolic compounds, lipids, minerals, and other specific phytochemicals of botanic origin [3,4,5,6,7,8]. Since the honey matrix is complex, a sample preparation procedure prior to analysis is often required to reduce interferences and enrich analytes for this challenging analytical sample [9].
Homogenous liquid–liquid extraction (HLLE) is a widely used sample preparation technique based on the traditional liquid–liquid extraction (LLE) [10,11]. In HLLE, water miscible organic solvent is mixed with water to form a homogenous solution for extracting analytes. Subsequently, phase-separation agents or conditions are introduced to trigger the partition of organic solvent from its aqueous solution. After phase separation, multiple analytes with a wide range of polarities can be rapidly and efficiently extracted into the separated organic phase [12,13,14,15]. Moreover, the phase separation also makes high-polarity matrix compounds e.g., proteins [16] and sugars [17] mostly stay at the aqueous phase, which significantly reduces the interference. In addition, the obtained extractive solution is compatible with dispersive solid-phase extraction (d-SPE) [18,19], disposable pipette extraction (DPX) [20], matrix solid-phase dispersion [21], and dispersive liquid–liquid micro-extraction (DLLME) [22,23,24,25] for further clean-up or enrichment. Furthermore, the emerging solvents ionic liquids and deep eutectic solvent have been successfully used in HLLE and extended the applications of HLLE in micro-extraction [26,27].
Recently, we developed a novel HLLE method named matrix-induced sugaring-out (MISO) for the determination of neonicotinoid pesticides in honey [28]. The proposed MISO method takes advantage of constituents in sample matrix, the high contents of sugars in honey, to induce the phase separation of acetonitrile–water homogenous solution. Therefore, the general step of introducing a phase-separation agent in conventional HLLE is eliminated, which makes MISO a simple, fast, and low-cost HLLE method. This idea of matrix-induced HLLE has found application in another food matrix [29]. In the present work, MISO is further developed into a high-throughput field HLLE method for the simultaneous determination of HMF and phenolic compounds, which are the indicator of freshness [30,31] and the important functional constituents [6] in honey, respectively. The proposed method provides a simple and instrument-free strategy for the rapid field preparation of honey sample.
2. Results and Discussion
2.1. High-Throughput Field Matrix-Induced Sugaring-Out
The strategy of high-throughput field matrix-induced sugaring-out (HT-F-MISO) is shown in Figure 1. The 96-deepwell plate and multichannel pipette were selected to make the sample preparation very simple and suitable for high-throughput field operation. In the HT-F-MISO, honey samples were weighed in the 96-deepwell plate with a portable balance, then water and acetonitrile (ACN) were added and mixed sequentially. After standing, the mixture was separated into two phases due to the MISO. The multiple analytes were extracted into the upper ACN phase, and the field sample preparation was completed after collecting the ACN phase for HPLC analysis.
Figure 1.
Schematic presentation of high-throughput field matrix-induced sugaring-out.
The present method provides the advantages of simple and rapid preparation and the low consumption of samples and solvents. After optimization, 96 samples can be prepared within 60 min in one well-plate. Thus, the average consumption time for each sample is as low as only 40 s. In addition, the preparation method also exhibits the characteristics of miniaturization. The amount of sample is 0.3 g, which effectively reduces the generation of waste, and the preparation of one sample only requires 0.7 mL of ACN, which also effectively reduces the consumption of organic solvents in the protocol.
2.2. High-Throughput Optimization of Method Parameters
Since the high-throughput property, parameters of the HT-F-MISO was rapidly optimized using the sample array in a 96-deepwell plate.
Honey sample was mixed with H2O and ACN sequentially using multichannel pipette. In the original MISO method [28], ACN-H2O mixture was added to the honey sample, then homogenized by vortex device was carried out, whereas in field preparation, the use of electrical instruments should be avoided; thus, the multichannel pipette was used to perform homogenization in the HT-F-MISO. Because of the high viscosity, honey sample was mixed with H2O and ACN sequentially rather than mixed with ACN-H2O mixture for better homogenization. After adding water, honey sample could be well homogenized in 2 min. Then ACN was added and mixed with the aqueous honey solution with 1 min for completing homogenization.
Our previous study indicated that a high concentration of ACN in an ACN-H2O mixture was critical to obtain high extraction yields for polar compounds [13]. Therefore, ACN and H2O with volume ratios of 6:4 and 7:3 were investigated in the array optimization. Under these two concentrations, the amount of honey sample plays a crucial role in the phase separation: when sample mass was larger than 0.2 g, phase separation could be clearly observed. However, as the sample mass increased to greater than 0.6 g, insoluble substances in the lower phase emerged. Thus, the amount of sample was studied in the range between 0.2–0.5 g with increment of 0.1 g.
Additionally, standing for a certain time after homogenization was necessary for achieving stable phase separation. Clear two-phase solution could be observed after standing for 5 min, and thus, the effects of standing time on the recovery were investigated at 5, 15, 25, and 35 min.
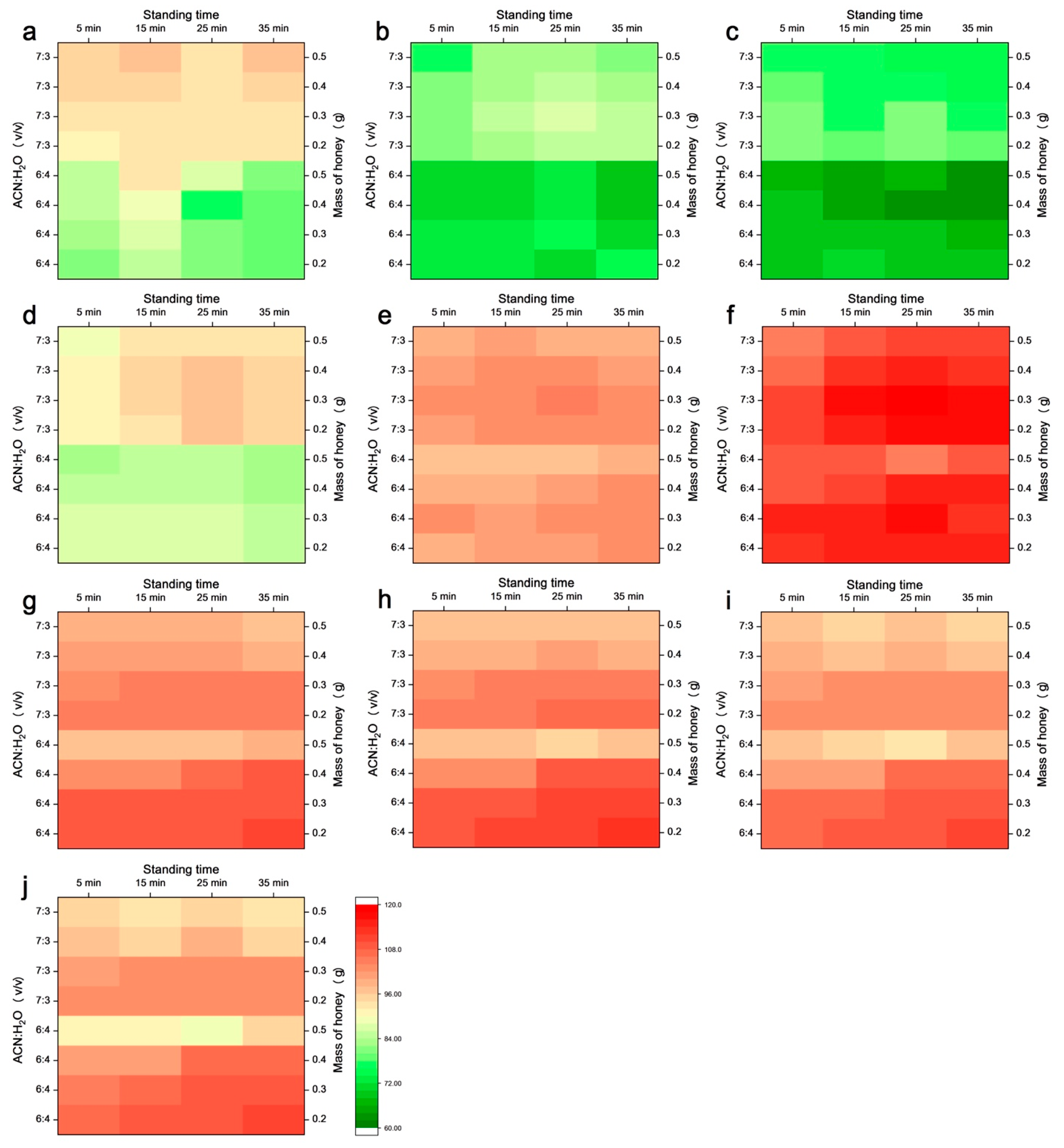
Based on the above considerations, we constructed a 4 × 2 × 4 × 3 array (sample amount × ratio of ACN:H2O × standing time × replicates), with a total of 96 samples in a 96-deepwell plate to perform the high-throughput optimization of the preparation parameters. Calculated recoveries of the HMF and the nine phenolic compounds under different conditions are summarized in Figure 2.
Figure 2.
Effects of the ratio of ACN-H2O (6:4 and 7:3, v/v), mass of honey sample (0.2, 0.3, 0.4, and 0.5 g), and standing time (5, 15, 25, and 35 min) on the calculated recovery (%) of analytes. (a) 5-hydroxymethylfurfural; (b) protocatechuic acid; (c) pinocembrin; (d) caffeic acid; (e) 3,4-dimethoxycinnamic acid; (f) quercetin; (g) apigenin; (h) kaempferol; (i) chrysin; (j) galangin.
It can be seen from Figure 2 that when the ratio of ACN:H2O is 7:3 (v/v), recoveries of the analytes with lower retention time (Figure 2a–e) are higher than that at the ratio of 6:4 (v/v). This result is consistent with our previous research finding that increasing the concentration of ACN in ACN-H2O mixture results in the improvement of extraction yield, especially for compounds with high polarity [13]. For less-polar compounds (Figure 2f–j), high recovery was achieved at both 7:3 and 6:4 (v/v).
Additionally, prolonging the standing time is beneficial to the improvement of recovery. Results indicated that recoveries increased and reached the plateau in 25 min, which indicated that stable phase separation of HT-F-MISO could be achieved in 25 min without the assist of centrifugation instrument.
The sample amount of honey plays an important role in the HT-F-MISO. As shown in Figure 2, recoveries of most analytes reach the highest value at the mass of 0.3 g. With further increases in sample amount, the recoveries reduced slightly. This may be due to the low water content in the ACN-H2O mixture, which leads to the limitation of dissolvability for honey sample. This speculation could be supported by the observation that with further increasing the sample mass to be larger than 0.6 g, insoluble solid matter in the lower phase appeared after standing. Therefore, 0.3 g of honey sample was suitable for the HT-F-MISO to obtain a stable and high recovery.
In short, based on the above results obtained from the constructed array, the optimal protocol could be determined as 0.3 g of honey sample mixed with 0.3 mL of H2O for 2 min followed by mixing with 0.7 mL of ACN for another 1 min, then standing for 25 min for phase separation.
2.3. Analytical Performance
Reversed-phase HPLC separation was modified based on the literature [32]. Coumarin was used as the internal standard for quantification, which had proved to be suitable for the simultaneous measurement of multiple phenolic compounds in HLLE [33]. It can be seen from Figure 3 that all ten target analytes and the internal standard are well separated. The linearity range and the linear equation of calibration curves are shown in Table 1. Good linearity was obtained with coefficients (r2) all larger than 0.9989. The limits of detection (LODs, S/N = 3) and limits of quantification (LOQs, S/N = 10) in honey sample were in the ranges of 0.17–1.35 μg/g and 0.51–4.14 μg/g, respectively. The accuracy and precision were evaluated by recovery using a 3 × 6 array (3 spiked levels × 6 replicates) in a 96-deepwell plate. As summarized in Table 2, the obtained recoveries in intra-day and inter-day experiments were between 83.98 and 117.11%. Additionally, the precisions were all <5%. These results indicated that this simple, rapid, and high-throughput field sample preparation method could provide satisfactory analytical performance.
Figure 3.
Representative chromatogram of (a) standards and (b) extractive solution from spiked honey sample. Peak 1, 5-hydroxymethylfurfural; 2, protocatechuic acid; 3, pinocembrin; 4, caffeic acid; 5, 3,4-dimethoxycinnamic acid; 6, quercetin; 7, apigenin; 8, kaempferol; 9, chrysin; 10, galangin; internal standard (IS), coumarin.
Table 1.
Linearity, LOD, and LOQ of the ten analytes.
Table 2.
Accuracy and precision in spiked honey sample at three spiked levels.
2.4. Real Samples Analysis
The validated HT-F-MISO method was applied in commercial and raw honey samples (Table 3). Twelve commercial samples (C1-C12) were purchased from market and prepared using a 12 × 3 array (samples × replicates) in outdoor environment to simulate field condition. Raw honey samples (R1-R6) were collected in six honeybee colonies in an apiary. The collected raw honey samples were in-field prepared in the apiary using a 6 × 3 array (samples × replicates). The obtained extractive solutions after preparing outdoor and in-field were brought to laboratory for HPLC analysis. Results shown that the detected contents of HMF were ranged from 1.85 μg/g to 85.88 μg/g in the commercial samples, in which three samples were found over the regulated level (40 μg/g) [2]. In contrast, the detected contents of HMF in the raw samples were all below LOQ. It is valuable to point out that the formation of HMF comes from the thermal dehydration of sugars [34], and the concentration of HMF in honey increases gradually along with the processing and storage [35,36,37]. Results obtained from the real samples indicated that HMF in the fresh honey was at very low level, whereas in commercial samples, heat treatment and long-term storage could lead to significant increases in HMF concentration. More importantly, since the phase separation of HLLE dramatically decreases the residual content of sugars in the extractive [17], this field sample preparation may reduce the impact of the sample transport process on the promotion of HMF production. In addition, four phenolic compounds were also detected in the samples, including protocatechuic acid, caffeic acid, and kaempferol in three commercial samples and 3,4-dimethoxycinnamic acid in four raw samples.
Table 3.
Results of detected compounds in the real honey samples.
3. Materials and Methods
3.1. Chemicals and Materials
HPLC grade acetonitrile (ACN) and methanol were obtained from Merck (Darmstadt, Germany). Formic acid was purchased from Sinopharm Chemical Reagent Co., Ltd. (Shanghai, China). Standards of 5-hydroxymethylfurfural (HMF), protocatechuic acid, pinocembrin, caffeic acid, 3,4-dimethoxycinnamic acid, quercetin, apigenin, kaempferol, chrysin, galangin, and coumarin (internal standard, IS) were from Aladdin (Shanghai, China). Ultrapure water (18.2 MΩ·cm) was used through this article. Honey sample used in the method development was collected in Putian, China. Commercial honey samples in the method application were purchased from local market. The raw honey samples for field preparation were collected and performed in an apiary located in Jiufeng Moutain, Fuzhou, China. Stock solution of standards were prepared in methanol with concentration of 200 μg/mL. Working standard solutions were prepared by further dilution with methanol. All standard solutions were stored at 4 °C until used. Data were processed using Origin software (OriginLab, Northampton, MA, USA).
3.2. Optimization of High-Throughput Field Matrix-Induced Sugaring-Out
A 4 × 2 × 4 × 3 array (sample amount × ratio of ACN:H2O × standing time × replicates) was used for the optimization of parameters. Honey samples (0.2, 0.3, 0.4, and 0.5 g) were weighed in 96-deepwell plate and fortified with standards (1.6 μg for HMF, 12 μg for protocatechuic acid, 4 μg for pinocembrin, caffeic acid, and 3,4-dimethoxycinnamic acid, and 8 μg for other phenolic compounds and IS). Then, different volumes of H2O (300, 400, 500, and 600 μL) were added. After mixing for 2 min by aspirating in-out using multichannel pipette, different volumes of ACN (700, 600, 500, and 400 μL) were added and mixed again for 1 min. After standing for different times (5, 15, 25, and 35 min) for phase separation, the extractive solution in the upper phase was collected for HPLC analysis.
3.3. Optimal Protocol of High-Throughput Field Matrix-Induced Sugaring-Out
Honey samples (0.3 g) were weighted in 96-deepwell plate, and 10 μL of IS (1 mg/mL) was added. Then, 300 μL of H2O was introduced. After mixing for 2 min by aspirating in-out using multichannel pipette, 700 μL of ACN was added and mixed for 1 min. Then, the mixture stood with 25 min for phase separation. Finally, the extractive solution in the upper phase was collected for HPLC analysis.
3.4. HPLC Analysis
HPLC analysis was performed on Shimadzu (Kyoto, Japan) LC-20AT pump, with SIL-20AC autosampler, CTO-20AC column oven, and SPD-M20A photodiode array detector. An Intersil ODS-3 (GL Sciences, Kyoto, Japan) C18 column (5 μm, 4.6 mm × 250 mm) was used for the separation. The mobile phase was water with 0.1% (v/v) formic acid (solvent A) and ACN with 0.1% (v/v) formic acid (solvent B). The gradient elution was as follows: 10% B at 0–5 min, 10% to 26% B at 5–10 min, 26% to 50% B at 10–57 min, 50% to 100% B at 57–58 min, 100% to 10% at 58–60 min, and stayed at 10% for 10 min. The flow rate was 1 mL/min, the injection volume was 5 μL, the column temperature was 30 °C, and the detection wavelength was set at 280 nm.
3.5. Method Validation
Validation was carried out according to ICH guideline [38]. Quantifications of analytes were based on calibrations of internal standards. Five-level calibration curves were constructed by the ratio of peak area (analyte/IS) versus the ratio of weight (analyte/IS). The y-intercept was set to 0, and linear fitting was performed to evaluate the linearity. Limits of detection (LODs) and limits of quantification (LOQs) were estimated in spiked honey sample. Accuracy and precision were investigated in the recovery experiment with three fortification levels using 3 × 6 array (levels × replicates) in 96-deepwell plate. The relative standard deviation (RSD) in repeatability (intra-day precision, n = 6) and intermediate precision (inter-day precision, three consecutive days, n = 18) were calculated.
3.6. Real Samples Analysis
For commercial honey samples, a 12 × 3 array (samples × replicates) in 96-deepwell plate was prepared as described in Section 3.3. Samples were weighed using a portable balance and prepared outdoors. For in-field honey samples, six colonies in the apiary were investigated. About 2 g of honey were directly collected from beehives using a syringe for each colony. Then samples were weighed using a portable balance and prepared in-field using a 6 × 3 array (samples × replicates) in 96-deepwell plate as described in Section 3.3.
4. Conclusions
In summary, a simple and fast high-throughput field MISO method was developed for the simultaneous determination of multiple analytes in honey, including the HMF and nine phenolic compounds. The optimization of the method parameters was systematically and rapidly investigated by constructing sample array in 96-deepwell plate. The proposed method was successfully applied for the outdoor preparation of commercial honey samples and the field preparation of raw honey samples in apiary. The present study provides a simple, rapid, and instrument-free field preparation method for honey sample. This proposed method would be valuable for the quality control of honey and for the design of field and on-site sample preparation.
Author Contributions
Conceptualization, W.C.; data curation, X.T. and F.Y.; funding acquisition, X.T. and W.C.; investigation, X.T., F.Y. and Q.J.; methodology, X.T. and W.C.; project administration, W.C.; resources, X.T. and W.C.; supervision, W.C.; validation, Q.J. and C.D.; writing—original draft, X.T. and W.C.; writing—review & editing, J.C., J.Y., Y.H., S.H. and W.C. All authors have read and agreed to the published version of the manuscript.
Funding
This research was funded by Natural Science Foundation of Fujian Province, grant number 2020J01535 and 2019J01409, and National Natural Science Foundation of China, grant number 32072799.
Institutional Review Board Statement
Not applicable.
Informed Consent Statement
Not applicable.
Data Availability Statement
Data are contained within the article.
Acknowledgments
We thank Yijie Chen for assistance with collecting samples in apiary, Xinyi You for providing the photo of apiary in the graphical abstract, and Wenchao Yang for discussion.
Conflicts of Interest
The authors declare no conflict of interest.
Sample Availability
Not available.
References
- Bogdanov, S.; Jurendic, T.; Sieber, R.; Gallmann, P. Honey for nutrition and health: A review. J. Am. Coll. Nutr. 2008, 27, 677–689. [Google Scholar] [CrossRef] [PubMed]
- Pita-Calvo, C.; Guerra-Rodríguez, M.E.; Vázquez, M. Analytical methods used in the quality control of honey. J. Agric. Food Chem. 2017, 65, 690–703. [Google Scholar] [CrossRef] [PubMed]
- Valverde, S.; Ares, A.M.; Stephen Elmore, J.; Bernal, J. Recent trends in the analysis of honey constituents. Food Chem. 2022, 387, 132920. [Google Scholar] [CrossRef] [PubMed]
- Serra Bonvehí, J.; Ventura Coll, F. Flavour index and aroma profiles of fresh and processed honeys: Flavour index and aroma profiles of honeys. J. Sci. Food Agric. 2003, 83, 275–282. [Google Scholar] [CrossRef]
- Zhu, M.; Sun, J.; Zhao, H.; Wu, F.; Xue, X.; Wu, L.; Cao, W. Volatile compounds of five types of unifloral honey in northwest China: Correlation with aroma and floral origin based on HS-SPME/GC–MS combined with chemometrics. Food Chem. 2022, 384, 132461. [Google Scholar] [CrossRef]
- Ciulu, M.; Spano, N.; Pilo, M.; Sanna, G. Recent advances in the analysis of phenolic compounds in unifloral honeys. Molecules 2016, 21, 451. [Google Scholar] [CrossRef]
- Zhao, L.; Ren, C.; Xue, X.; Lu, H.; Wang, K.; Wu, L. Safflomin A: A novel chemical marker for Carthamus tinctorius L. (safflower) monofloral honey. Food Chem. 2022, 366, 130584. [Google Scholar] [CrossRef]
- Zhao, T.; Zhao, L.; Wang, M.; Qi, S.; Xue, X.; Wu, L.; Li, Q. Identification of characteristic markers for monofloral honey of Astragalus membranaceus var. mongholicus Hsiao: A combined untargeted and targeted MS-based study. Food Chem. 2023, 404, 134312. [Google Scholar] [CrossRef] [PubMed]
- Kujawski, M.W.; Namieśnik, J. Challenges in preparing honey samples for chromatographic determination of contaminants and trace residues. Trends Anal. Chem. 2008, 27, 785–793. [Google Scholar] [CrossRef]
- Hammad, S.F.; Abdallah, I.A.; Bedair, A.; Mansour, F.R. Homogeneous liquid–liquid extraction as an alternative sample preparation technique for biomedical analysis. J. Sep. Sci. 2022, 45, 185–209. [Google Scholar] [CrossRef]
- Dmitrienko, S.G.; Apyari, V.V.; Gorbunova, M.V.; Tolmacheva, V.V.; Zolotov, Y.A. Homogeneous Liquid–Liquid Microextraction of Organic Compounds. J. Anal. Chem. 2020, 75, 1371–1383. [Google Scholar] [CrossRef]
- Valente, I.M.; Moreira, M.M.; Neves, P.; da Fé, T.; Gonçalves, L.M.; Almeida, P.J.; Rodrigues, J.A. An insight on salting-out assisted liquid-liquid extraction for phytoanalysis. Phytochem. Anal. 2017, 28, 297–304. [Google Scholar] [CrossRef] [PubMed]
- Chen, W.; Tu, X.; Wu, D.; Gao, Z.; Wu, S.; Huang, S. Comparison of the partition efficiencies of multiple phenolic compounds contained in propolis in different modes of acetonitrile–water-based homogenous liquid–liquid extraction. Molecules 2019, 24, 442. [Google Scholar] [CrossRef] [PubMed]
- Abdallah, I.A.; Hammad, S.F.; Bedair, A.; Mansour, F.R. Sugaring-out induced homogeneous liquid-liquid microextraction as an alternative mode for biological sample preparation: A comparative study. J. Sep. Sci. 2021, 44, 3117–3125. [Google Scholar] [CrossRef] [PubMed]
- Abdallah, I.A.; Hammad, S.F.; Bedair, A.; Elshafeey, A.H.; Mansour, F.R. Determination of favipiravir in human plasma using homogeneous liquid-liquid microextraction followed by HPLC/UV. Bioanalysis 2022, 14, 205–216. [Google Scholar] [CrossRef] [PubMed]
- Tu, X.; Sun, F.; Wu, S.; Liu, W.; Gao, Z.; Huang, S.; Chen, W. Comparison of salting-out and sugaring-out liquid–liquid extraction methods for the partition of 10-hydroxy-2-decenoic acid in royal jelly and their co-extracted protein content. J. Chromatogr. B 2018, 1073, 90–95. [Google Scholar] [CrossRef] [PubMed]
- Chen, W.; Wu, S.; Zhang, J.; Yu, F.; Miao, X.; Tu, X. Salting-out-assisted liquid–liquid extraction of 5-hydroxymethylfurfural from honey and the determination of 5-hydroxymethylfurfural by high-performance liquid chromatography. Anal. Methods 2019, 11, 4835–4841. [Google Scholar] [CrossRef]
- Anastassiades, M.; Lehotay, S.J.; Štajnbaher, D.; Schenck, F.J. Fast and easy multiresidue method employing acetonitrile extraction/partitioning and “dispersive solid-phase extraction” for the determination of pesticide residues in produce. J. AOAC Int. 2003, 86, 412–431. [Google Scholar] [CrossRef]
- González-Curbelo, M.Á.; Socas-Rodríguez, B.; Herrera-Herrera, A.V.; González-Sálamo, J.; Hernández-Borges, J.; Rodríguez-Delgado, M.Á. Evolution and applications of the QuEChERS method. Trends Anal. Chem. 2015, 71, 169–185. [Google Scholar] [CrossRef]
- Tu, X.; Chen, W. Miniaturized salting-out assisted liquid-liquid extraction combined with disposable pipette extraction for fast sample preparation of neonicotinoid pesticides in bee pollen. Molecules 2020, 25, 5703. [Google Scholar] [CrossRef]
- Zhang, J.; Yu, F.; Tao, Y.; Du, C.; Yang, W.; Chen, W.; Tu, X. Micro salting-out assisted matrix solid-phase dispersion: A simple and fast sample preparation method for the analysis of bisphenol contaminants in bee pollen. Molecules 2021, 26, 2350. [Google Scholar] [CrossRef]
- Farajzadeh, M.A.; Feriduni, B.; Afshar Mogaddam, M.R. Development of a new extraction method based on counter current salting-out homogenous liquid–liquid extraction followed by dispersive liquid–liquid microextraction: Application for the extraction and preconcentration of widely used pesticides from fruit juices. Talanta 2016, 146, 772–779. [Google Scholar] [PubMed]
- Fan, Y.; Hu, S.; Liu, S. Salting-out assisted liquid-liquid extraction coupled to dispersive liquid-liquid microextraction for the determination of chlorophenols in wine by high-performance liquid chromatography: Sample preparation. J. Sep. Sci. 2014, 37, 3662–3668. [Google Scholar] [CrossRef] [PubMed]
- Wang, D.; Wang, X.; Hu, Q.; Zhang, C.; Li, F.; Wang, F.; Feng, Q. Salting-out assisted liquid-liquid extraction coupled to dispersive liquid-liquid microextraction for the determination of bisphenol a and six analogs (B, E, F, S, BADGE, BFDGE) in canned coffee drinks by ultra-performance liquid chromatography-tandem mass spectrometry. Food Anal. Methods 2021, 14, 441–452. [Google Scholar]
- Tabaraki, R.; Heidarizadi, E. Spectrophotometric determination of phenol and chlorophenols by salting out assisted liquid-liquid extraction combined with dispersive liquid-liquid microextraction. Spectrochim. Acta Part A 2019, 215, 405–409. [Google Scholar] [CrossRef] [PubMed]
- Ramezani, A.M.; Ahmadi, R.; Yamini, Y. Homogeneous liquid-liquid microextraction based on deep eutectic solvents. Trends Anal. Chem. 2022, 149, 116566. [Google Scholar] [CrossRef]
- Musarurwa, H.; Tavengwa, N.T. Homogenous liquid-liquid micro-extraction of pollutants in complex matrices. Microchem. J. 2021, 170, 106750. [Google Scholar] [CrossRef]
- Chen, W.; Wu, S.; Zhang, J.; Yu, F.; Hou, J.; Miao, X.; Tu, X. Matrix-Induced Sugaring-Out: A simple and rapid sample preparation method for the determination of neonicotinoid pesticides in honey. Molecules 2019, 24, 2761. [Google Scholar] [CrossRef]
- Alkan, C.; Çabuk, H. Matrix-induced sugaring-out liquid-liquid microextraction coupled with high-performance liquid chromatography for the determination of organophosphorus pesticides in fruit jams. Sep. Sci. Plus 2022, 5, 416–423. [Google Scholar] [CrossRef]
- Bogdanov, S.; Ruoff, K.; Persano Oddo, L. Physico-chemical methods for the characterisation of unifloral honeys: A review. Apidologie 2004, 35, S4–S17. [Google Scholar] [CrossRef]
- Shapla, U.M.; Solayman, M.d.; Alam, N.; Khalil, M.I.; Gan, S.H. 5-Hydroxymethylfurfural (HMF) levels in honey and other food products: Effects on bees and human health. Chem. Cent. J. 2018, 12, 35. [Google Scholar] [CrossRef] [PubMed]
- Mao, W.; Schuler, M.A.; Berenbaum, M.R. Honey constituents up-regulate detoxification and immunity genes in the western honey bee Apis mellifera. Proc. Natl. Acad. Sci. USA 2013, 110, 8842–8846. [Google Scholar] [CrossRef] [PubMed]
- Yu, F.; Zhang, J.; Tao, Y.; Du, C.; Yang, W.; Chen, W.; Tu, X. High-throughput subzero-temperature assisted homogenous liquid-liquid extraction for the fast sample preparation of multiple phenolic compounds in propolis. J. Chromatogr. B 2021, 1179, 122823. [Google Scholar] [CrossRef]
- Kuster, B.F.M. 5-Hydroxymethylfurfural (HMF). A review focussing on its manufacture. Starch 1990, 42, 314–321. [Google Scholar] [CrossRef]
- Subramanian, R.; Umesh Hebbar, H.; Rastogi, N.K. Processing of honey: A review. Int. J. Food Prop. 2007, 10, 127–143. [Google Scholar] [CrossRef]
- Turkut, G.M.; Degirmenci, A.; Yildiz, O.; Can, Z.; Cavrar, S.; Yaylaci Karahalil, F.; Kolayli, S. Investigating 5-hydroxymethylfurfural formation kinetic and antioxidant activity in heat treated honey from different floral sources. J. Food Meas. Charact. 2018, 12, 2358–2365. [Google Scholar] [CrossRef]
- Khalil, M.I.; Sulaiman, S.A.; Gan, S.H. High 5-hydroxymethylfurfural concentrations are found in malaysian honey samples stored for more than one year. Food Chem. Toxicol. 2010, 48, 2388–2392. [Google Scholar] [CrossRef]
- ICH Q2(R1). Validation of Analytical Procedures: Text and Methodology. 2005. Available online: https://database.ich.org/sites/default/files/Q2%28R1%29%20Guideline.pdf (accessed on 14 November 2022).
Publisher’s Note: MDPI stays neutral with regard to jurisdictional claims in published maps and institutional affiliations. |
© 2022 by the authors. Licensee MDPI, Basel, Switzerland. This article is an open access article distributed under the terms and conditions of the Creative Commons Attribution (CC BY) license (https://creativecommons.org/licenses/by/4.0/).


