Abstract
3-formyl-2-quinolones have attracted the scientific community’s attention because they are used as versatile building blocks in the synthesis of more complex compounds showing different and attractive biological activities. Using copper-catalyzed Chan–Lam coupling, we synthesized 32 new N-aryl-3-formyl-2-quinolone derivatives at 80 °C, in air and using inexpensive phenylboronic acids as arylating agents. 3-formyl-2-quinolones and substituted 3-formyl-2-quinolones can act as substrates, and among the products, the p-methyl derivative 9a was used as a substrate to obtain different derivatives such as alcohol, amine, nitrile, and chalcone.
1. Introduction
The N-arylation of N-heterocyclic compounds has made a great impact on the advance of organic chemistry. This coupling reaction has simplified the generation of new derivatives with a wide range of applications due to their biological [1,2,3], agrochemical, photophysical [4,5,6], and catalytic [7] properties, among others. In this regard, since the last century, the Ullman–Goldberg and Buchwald–Hartwig cross-coupling reactions have played relevant roles using aryl halides for the Nheterocycle–Caryl bond formation [8]. However, these synthetic methods have several drawbacks, such as the use of expensive metal catalysts, toxic solvents, ligands that are not commercially available, or harsh reaction conditions, and, for this reason, new alternatives have been emerging [9,10].
In this sense, the Chan–Lam cross-coupling reaction offers a viable alternative for generating Caryl-heteroatom bonds, especially in the arylation of N-heterocyclic compounds [11]. This protocol consists of the substitution of an aryl boronic acid with different nucleophiles (especially N-H, O-H, S-H, and P-H) in the presence of a copper catalyst under mild reaction conditions (e.g., under air, at room temperature) [12]. Thanks to these characteristics, the N-arylation of heterocyclic compounds employing this methodology has become more frequent in the last decade. In particular, the N-arylation of pyrroles [13], purines [14] and triazoles [15] is noteworthy and, most recently, the derivatization of a natural product with the N-arylation of the quinolizidine alkaloid cytisine has been shown [16].
The N-arylation of quinolines, and specifically their 2-oxo derivatives (2-quinolones) 1, is an emerging area; these N-heterocycles are important structural constituents of numerous naturally occurring compounds [17], and represent relevant synthetic scaffolds for the generation of compounds with interesting or useful biological properties, such as as anticancer [18], antimycobacterial [19], insecticidal [20], antibacterial [21], antifungal [22], antiparasitic agents [23], antiviral [24], antimalarial [25], antioxidant [26], and anti-inflammatory properties [27], among others [28,29,30]. Likewise, N-arylated 2-quinolones are a common motif in diverse bioactive molecules such as antimicrobials [31], anti-inflammatory drugs [32], sodium channel inhibitors [33], kinase inhibitors [34,35], and HIV inhibitors [36]. Furthermore, the introduction of different substituents through N-arylation allows modulation of the electronic and solubility properties of the molecules, which are relevant aspects in the activity of bioactive compounds [35].
The direct N-arylation of 2-quinolones through Chan–Lam cross-coupling using phenylboronic acids includes quinolones substituted with -Me, -COOEt, and -OAc groups at positions 4-, 3-, 6, or 7 (Scheme 1). In 1999, an article first presented the N-arylation of 4,7-dimethyl-2-quinolone (Scheme 1, 2) [37], and later reports describe the N-arylation of 3-methoxycarbonyl-2-quinolone 1 using a wide range of substituted phenylboronic acids to form important precursors, such as 3, to obtain c-Met kinase inhibitors [38]. A synthetic strategy to produce various N-aryl-2-quinolones 4 from 2-quinolones in moderate-to-good yields has also been published [36].
Scheme 1.
Reported methodologies for N-arylation of 2-quinolones through copper-catalyzed Chan–Lam cross-coupling.
In addition to Chan–Lam cross-coupling, a few reports present the direct N-arylation of 2-quinolones, including ligand-coupling reactions through organobismuth (V) reagents [39,40] or the use of copper with diverse arylating agents such as aryllead triacetate [41], aryl bromide [42], and substituted diaryliodonium salts [43]. However, the most common methodology for the synthesis of N-aryl-quinolones is through intramolecular cyclization, including palladium-catalyzed cross-coupling [44], aromatic nucleophilic substitution (SNAr) [45], and radical pathway reactions such as direct oxidative C-H amidation through visible-light induction [17], and via intramolecular C(sp2)-H Knoevenagel products [36].
The presence of a substituent at positions 3-, 4-, 6- or 7- in 2-quinolones provides a wide range of possibilities for their functionalization, especially at positions 4- and 3-. In this regard, 3-formyl-2-quinolones have attracted the scientific community’s attention since they are synthetic precursors of great importance for the generation of new compounds with biological properties such as anti-tuberculosis drugs [46], antioxidants [47], anti-cancer [48], antimalarial [49], insecticidal [50] and antibacterial substances [51], and others with possible activity as potentiators of the muscarinic acetylcholine receptor M4 related to neurological and psychiatric disorders [52]. They can also be used to produce compounds with luminescent properties [53] and for bioimaging in living cells [54].
Even though the N-arylation of 3-formylquinolones has not been widely explored, derivatives of N-aryl-3-formylquinolones through CHO functionalization have been subjected to biological testing, such as for antimicrobial [55], antiviral [56], molluscicidal and larvicidal activities [57]; and this allows us to glimpse a future of their potential biological activities. Therefore, due to the synthetic versatility of 3-formylquinolones and the lack of reports on the N-arylation of this nucleus, we present here a convenient route for their N-arylation through the copper-catalyzed Chan–Lam cross-coupling, using different substituted phenylboronic acids and further elaborating some of the products to produce new more complex chemical entities (Scheme 1).
2. Results and Discussion
The preparation of 3-formylquinolones was carried out according to the methodology reported by Meth-Cohn et al. [58] (Scheme 2). The first step consisted of the acetylation of the commercial anilines 4a–e with acetic anhydride to obtain the respective acetanilides, 5a–e. Cyclization and hydroformylation (in situ) were carried out using the Vilsmeier–Haack reagent, producing the 2-chloro-3-formylquinolines 6a–e. The final step corresponded to acid hydrolysis mediated by 70% acetic acid, which lead to 3-formyl-2-quinolone 7a–e precursors in moderate-to-good yields.
Scheme 2.
Methodology for 3-formylquinolone formation.
Our research began with optimization of the synthetic process; we used 3-formylquinolone 7a as the substrate, 4-methylphenylboronic acid 8a as the arylating agent, 10 mmol % Cu(OA)2 as the catalyst, a 3Å molecular sieve, triethylamine (TEA) as the base, and acetonitrile as the solvent. The entire system was heated at 80 °C for 24 h, but no product formation was observed (Table 1, entry 1). The reason for starting with reagent 8a, due to the presence of methyl in the para (p) position, is the generation of an activation in the aromatic ring (electron donor by inductive effect) which can give better performance; this has been evidenced in early reports by the Chan and Lam groups that demonstrated the N-arylation of a wide range of N-heterocyclic substrates using p-methylphenylboronic acid [59]. Furthermore, Janíková et al. reported this acid as a standardization material for Chan–Lam-type N-arylation when N-heterocyclic systems with carbonyl groups adjacent to an -NH group are involved [60]. On the other hand, the low solubility of the compound 7a in CH2Cl2 led us to start the standardization with acetonitrile at 80 °C. In turn, the copper salt was not used in stoichiometric amounts since the purpose of this research was to find a protocol where copper is used in catalytic amounts. Lastly, TEA was used as the base, as it is inexpensive, readily available, and according to previous reports, has proved to be exceptionally effective for Chan–Lam coupling between quinolones and phenylboronic acids [61]. However, due to our initial results, we decided to change the base to pyridine, even though at first no arylation product was observed (Table 1, entry 2). Because the low solubility of 7a in acetonitrile was thought to affect the reaction, the solvent was changed to DMSO, with TEA as the base. Unfortunately, no conversion of the starting material was observed (Table 1, entry 3). For this reason, we tried pyridine again, and obtained the N-arylated product 9a in a modest 15% yield (Table 1, entry 4).
Table 1.
Optimization of the reaction conditions a.
To improve the yield, we changed the solvent to DMF to increase 7a solubility. TEA was used again, and the yield of the N-arylated quinolone 9a rose to 58% (Table 1, entry 5). Motivated by this result, we began to analyze the base’s effect in this protocol; therefore, different base substances commonly used in Chan–Lam cross-couplings were tried, but the results were similar or even worse than those seen for TEA (Table 1, entries 6–13). Nevertheless, when pyridine was used as the base and DMF as the solvent, the yield rose to 60% (Table 1, entry 14). In addition, using 3Å molecular sieves, we obtained the best yield to the N-arylated product 9a, 64% (Table 1, entry 15). This indicates that, in our system, the presence of water led to a possible competition with the Chan–Lam C-O bond formation [62]. In order to improve the yield of product 9a, the same reaction conditions mentioned above were explored (Table 1, entry 15), and the reaction time extended up to 48 h; however, the yield of product 9a did not exceed 64% (Table 1, entry 16). Therefore, it was decided to increase the amount of catalyst to 20 mol%; however, the yield of compound 9a decreased to 47% (Table 1, test 17). Furthermore, Bipy and TMDA were included as copper ligands (Table 1, entries 18 and 19), but there was no benefit whatsoever. Finally, different Cu(II) salts (Cu (OTf)2, CuBr2 and CuCl2) were used in the hope that they would improve the quality of the proposed protocol (Table 1, entries 20–22); unfortunately, they were less effective.
It should be noted that 3-formylquinolone systems are tautomerizable heterocycles [63], and because of this, there is the possibility that the Chan–Lam reaction forms O-aryl or N-aryl bonds, as has been reported with other methodologies [64]. To demonstrate N-Caryl bond formation, 9a was crystallized by slow diffusion at room temperature in a mixture of dichloromethane-ethyl acetate (10:1), and the crystal structure was analyzed using single-crystal X-ray diffraction [CCDC 2205662]. This technique confirmed the structure of the compound, proving that the proposed protocol is selective towards the generation of N-aryl-3-formylquinolones (Figure 1).
Figure 1.
Crystal structure of 9a determined by single-crystal X-ray diffraction.
Using the optimized conditions, we decided to explore the scope of our protocol employing different meta- and para-substituted phenylboronic acids. Nineteen derivatives were obtained (9a–s) on a 1 mmol scale, with yields from 15 to 64%. The para- and meta-methylphenylboronic acids provided compounds 9a (64%) and 9c (30%), the former presenting the highest yield of the synthesized series. Unsubstituted phenylboronic acid led to product 9b in moderate yield (46%); likewise, m-tert-butylphenylboronicl and p-tert-butylphenylboronic acids produced 9d (37%) and 9i (41%), followed by m-methoxyphenylboronic and p-methoxyphenylboronic acids that generated 9e (27%) and 9j (44%).
Subsequently, different halogenated phenylboronic acids replaced at the meta- and para-positions were used. Starting from the meta-F, Cl, Br and CF3-substituted precursors, the fluoro-derivative 9f (15%) was obtained with a yield higher than 10%; unfortunately, meta-substituted derivatives with Cl, Br, I, CF3 and OCF3 did not appear in yields greater than 10%. To improve the yields of 9g–k, we opted to analyze the reaction mixtures and found that the main side products were the homocoupled phenylboronic acids. Taking this into account, we decided to add the base and the corresponding phenylboronic acids in portions (0.4 equivalents of each), separated by 90 min over a reaction time of 24 h. Using this methodology for the least satisfactory cases, the yields of the products 9g, 9h, and 9j rose to 45, 41 and 34%, respectively.
On the other hand, the para-substituted series provided yields that ranged between 18–35%, the derivative 9q being the one with the highest transformation (36%) and those with the least, 9s and 9t (both 18%), being, now, the analogs 9p, 9r and 9u and reflected yields of 35%, 30% and 20%, respectively. The decrease in yield on changing from para- to meta-halo derivatives was attributed to the slight increase in acidity and the electronic effect caused by halogens at the meta position of the phenylboronic acids, leading to side reactions [65].
In the same context, considering both substitution positions, the yields decreased when changing from fluoro to iodo, CF3 and OCF3, as a result of the electronic effects of these atoms on the acidity of the phenylboronic acid, which leads to byproducts generated by prodeboronation [16,62]. Furthermore, N-phenyl derivatives could be obtained with electron-withdrawing groups on the phenyl ring at the meta- and para-substitutions: methoxycarbonyl gave the meta-substitution product 9l (19%) and the para-substituted 9v (23%), while the formyl group at the meta or para substitution generated 9m (24%) and 9w (22%), respectively. Finally, with 2-naphthylboronic acid, 9x was obtained in 23% yield.
The reaction yields shown in Table 2 apparently depend on the electronic properties and the position of substituents on the aromatic ring of the phenylboronic acid. When there is an electron-donating group in the aromatic system, the reaction yield is higher, in accordance with other Chan–Lam cross-coupling derivatization reports [62,66]. In the same way, the position of the substituent is of great importance. In this case, the para-substituted fenilboronic acids give a better conversion towards the N-arylated derivative than the meta-substituted isomers. This is attributed to the slight increase in acidity presented by the meta-substituted phenylboronic acids, since, through the mesomeric and inductive effects exerted by the substituents, the hydroxyborate anion (electrophile) is stabilized in comparison with the para-substituted acids [67]. As a consequence, the increased acidity can lead to the formation of undesired products such as phenols, and the oxidation of the aromatic system can lead to quinones [68,69,70] and protodeboronations [71].
Table 2.
Scope of the N-arylation of 3-formylquinolone a.
It is worth mentioning that N-arylation of 3-formylquinolones with heteroaryl boronic acids or with o-substituted phenylboronic acids was not achieved (see Supplementary Information). The N-arylated derivatives were not detected and, on the contrary, mixtures of byproducts or decomposition products were obtained. This could be related to the fact that heteroaryl boronic acids are prone to protodeboronations [71], and o-substituted phenylboronic acids can undergo intramolecular reactions leading to the formation of hydrogen donor–acceptor bonds that are decisive for the reaction [16,65,72].
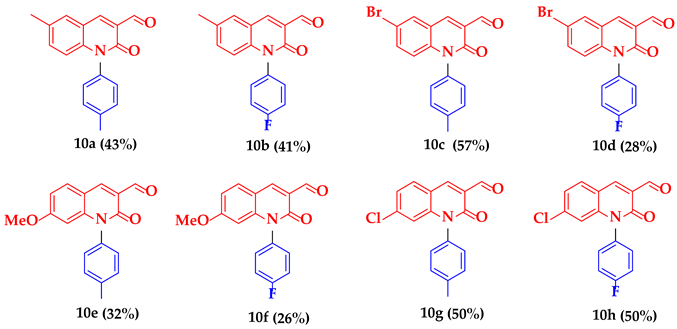
To examine the versatility of this methodology, the N-arylation of various other 3-formylquinolones (Table 3) was carried out employing phenylboronic acids with a methyl group or a fluorine atom at the para-substitution. The series consisted of four substituted 3-formylquinolones bearing a methyl group (7b) or a bromine atom (7c) at position 6-, and a methoxyl group (7d) or a chlorine atom (7e) at position 7-. With 6-methyl-3-formylquinolone and p-methylphenylboronic acid, 10a was obtained in a 43% yield, and with p-fluorophenylboronic acid, 10b was produced in a 41% yield. On changing the methyl group to bromine at position 6-, the corresponding N-p-methylphenyl derivative 10c was obtained in a higher yield (57%). In contrast, the N-p-fluorophenyl derivative, 10d, was acquired in a lower yield (28%) compared with 10b. According to these results, it is clear that an electron-donating or electron-withdrawing group at position 6- in 3-formylquinolones affects the yield of Chan–Lam cross-couplings. Thus, ongoing from methyl (7b) to bromo (7c), the N-arylation with p-methylphenyl boronic acid increases, while it decreases with para-fluorophenylboronic acid. These results could be related to the quinolone’s basicity, which drops when electron-withdrawing groups are contained in its structure.
Table 3.
N-arylation of different substituted 3-formylquinolones a.
Subsequently, 7-methoxy-3-formylquinolone, 7d, gave 10e (32%) and 10f (26%) with p-methoxy- or p-fluorophenylboronic acids, respectively. Meanwhile, higher conversions were evidenced from 7-chloro-3-formylquinolone with the aforementioned acids, where the corresponding N-p-methylphenyl (10g) and N-p-fluorophenyl derivatives (10h), respectively, were obtained in 50% yield. It is important to highlight that upon exchanging an electron-donating group (at the 6- or 7-position) for a halogen, the yields of N-p-methylphenyl derivatives rise. Still, the location of this halogen, together with its electronic nature, could increase or decrease the conversion to the N-p-fluorophenyl derivatives.
With these results, it is clear that varying the electronic nature of the substituent at either the 6- or the 7- position of the 3-formylquinolone affects its basicity [73,74], and therefore has a direct repercussion on the conversion during the Chan–Lam cross-coupling. Notwithstanding, a clear trend is not yet discernible; for that purpose, further experiments should be assessed varying the substituents on the quinolone core.
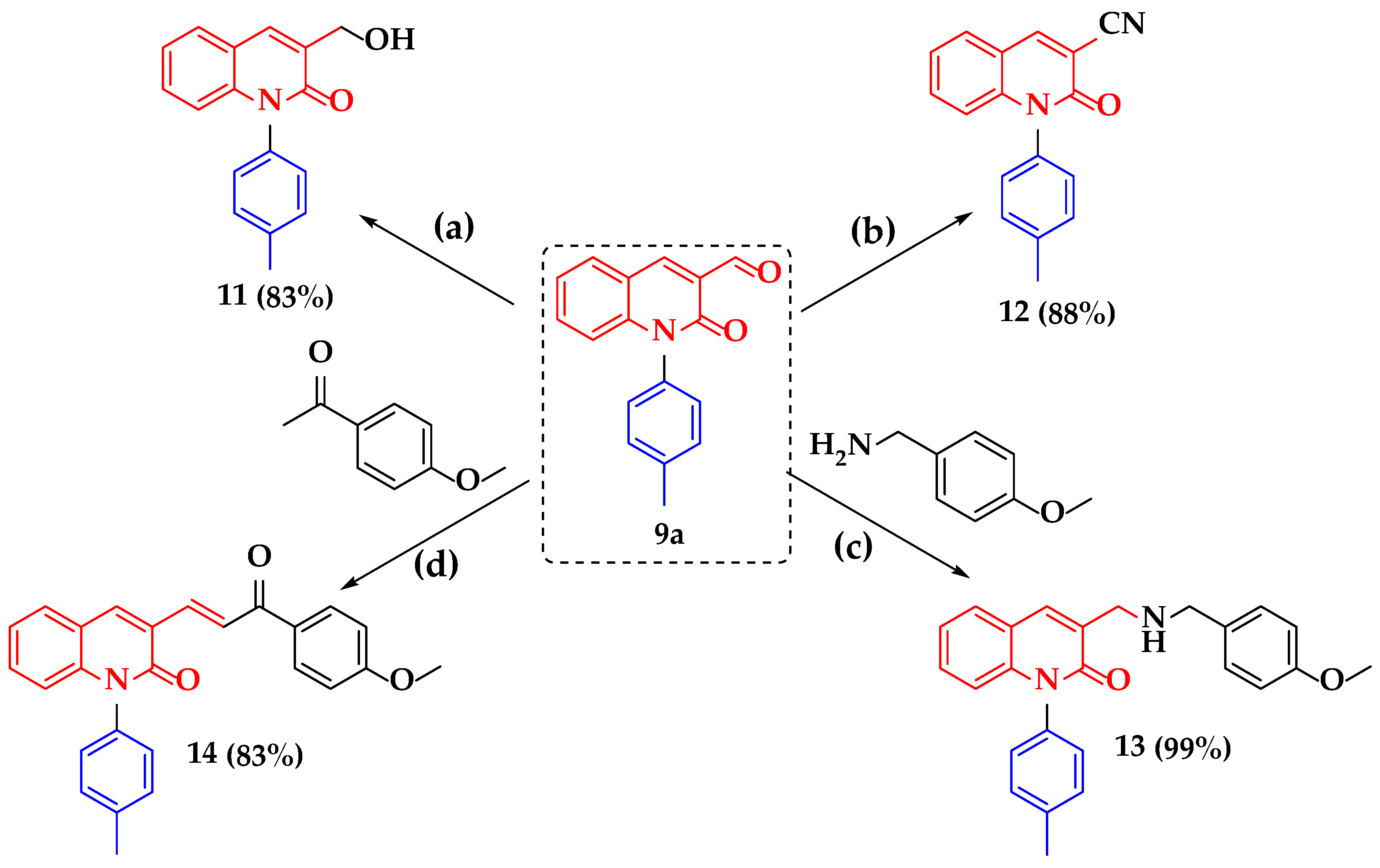
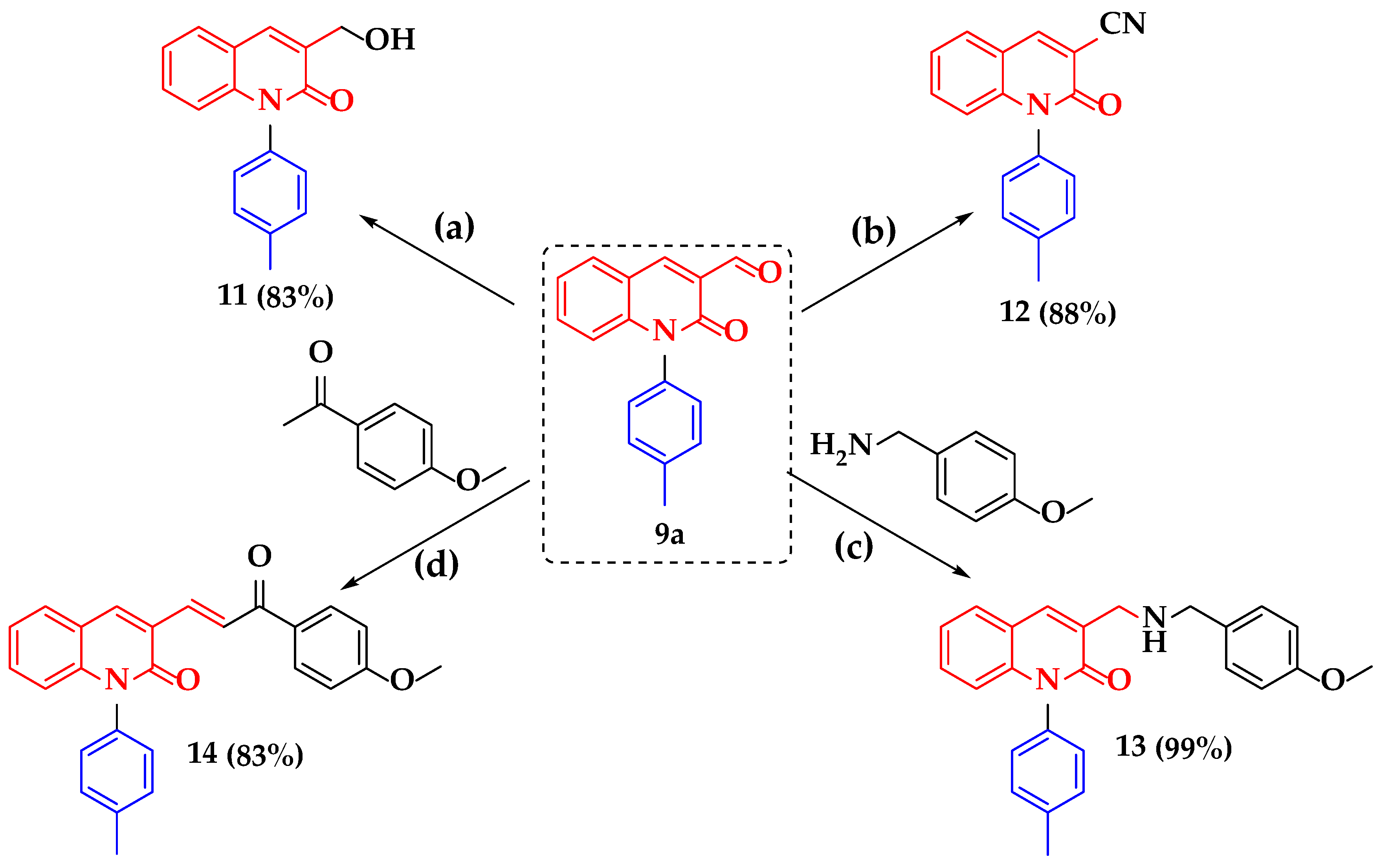
Thanks to the abovementioned success, we proceeded to demonstrate the chemical reactivity of the coupling products. Therefore, Scheme 3 shows different chemical transformations of the aldehyde group at position 3- in 9a. To establish the versatility of this approach for later derivatizations, we began with a reduction of the aldehyde with NaBH4 in MeOH to obtain 11 in 83% yield. Then, the respective nitrile 12 was obtained in 88% yield under fast-heating conditions through a one-pot methodology mediated by “activated” DMSO [75] with hydroxylammonium chloride in DMSO. Additionally, reductive amination of 9a at room temperature with p-methoxybenzylamine in MeOH was carried out to obtain product 13 in 99% yield. Finally, a Claisen–Schmidt type condensation at room temperature between 9a and 4-methoxyacetophenone, using NaOH (10% w/v, 0.3 mL) in MeOH as a solvent; this produced chalcone 14 in 83% yield.
Scheme 3.
Derivatization of N-p-methylphenyl-3-formylquinolone. Conditions (a) 9a (0.3 mmol), MeOH (4.5 mL), NaBH4 (0.9 mmol). (b) 9a (0.3 mmol), hydroxylammonium chloride (0.36 mmol) and DMSO (2.5 mL), 110 °C, 90 min. in mono-wave reactor. (c) 9a (0.3 mmol), p-methoxybenzylamine (0.32 mmol) in MeOH (1.2 mL), 4 h, rt. 2. NaBH4 (0.48 mmol), 20 min. (d) 9a (0.3 mmol), 4-methoxyacetophenone (0.3 mmol), NaOH (sol. 10% w/v, 0.3 mL) in MeOH (1.5 mL), 24 h r.t.
3. Materials and Methods
3.1. General Information
All solvents, including deuterated solvents, were purchased from Merck. Other reagents were from Aldrich, Merck or AK Scientific. Column chromatography was performed on silica gel (Merck, type 60, 0.063–0.2 mm). Melting points were determined on a Reichert Galen III hot plate microscope apparatus and were uncorrected. NMR spectra were recorded on a Bruker Avance 400 MHz spectrometer. All chemical shifts in NMR experiments were reported as ppm downfield from TMS. The following calibrations were used: CDCl3 δ = 7.26 and 77.0 ppm for 1H NMR and 13C NMR, respectively, and DMSO-d6 δ = 2.50 ppm for 1H NMR. Monowave-promoted reactions were performed in a Monowave 50 reactor (Anton Paar, Graz, Austria). HPLC-HR-MS experiments were carried out on an Exactive Plus Orbitrap MS instrument (Thermo Scientific, Waltham, MA, USA). The accurate mass measurements were performed at a resolution of 140,000.
3.2. General Procedures and Characterization Data of Compounds
3.2.1. Synthesis of 2-Chloroquinoline-3-carbaldehydes (6a–e)
These compounds were prepared by following the Meth–Cohn method [58]. DMF (11.6 mL, 150 mmol), in a round-bottom flask was cooled in an ice-water bath to 0.0–2.5 °C and phosphoryl chloride (32.2 mL, 350 mmol) was added dropwise with stirring. To this solution, the corresponding acetanilide (50 mmol) was added and the temperature of the reaction mixture was raised to 80 °C during 20 h. Finally, the mixture was poured into ice-water (300 mL) for 30 min. The precipitate formed was filtered off, washed with cold water and recrystallized from acetonitrile.
Synthesis of 2-Oxo-1,2-dihydroquinoline-3-carbaldehyde (3-formyl-2-quinolones 7a–e)
3-Formyl-2-quinolones were synthesized according to the reported procedure [76]. 2-chloroquinoline-3-carbaldehyde (26 mmol) was placed in a 500 mL round-bottom flask followed by 250 mL of 70% AcOH, and the solution was refluxed for 4 h. Finally, Na2CO3 was added until the mixture reached pH 9. The mixture was filtered and washed with water. The yellow solid was obtained in 80–93% yield.
2-Oxo-1,2-dihydroquinoline-3-carbaldehyde (7a)
Pale yellow solid. 1H NMR (200 MHz, DMSO) δ 12.21 (s, 1H), 10.24 (s, 1H), 8.50 (s, 1H), 7.91 (dd, J = 7.9, 1.5 Hz, 1H), 7.66 (ddd, J = 8.5, 7.1, 1.5 Hz, 1H), 7.36 (d, J = 8.3 Hz, 1H), 7.25 (ddd, J = 8.2, 7.1, 1.1 Hz, 1H).
6-Methyl-2-oxo-1,2-dihydroquinoline-3-carbaldehyde (7b)
Orange solid. 1H NMR (200 MHz, DMSO) δ 12.06 (s, 1H), 10.17 (s, 1H), 8.43 (s, 1H), 7.83 (d, J = 8.8 Hz, 1H), 6.96–6.77 (m, 2H), 3.86 (s, 3H).
6-Bromo-2-oxo-1,2-dihydroquinoline-3-carbaldehyde (7c)
Orange solid. 1H NMR (200 MHz, DMSO) δ 12.33 (s, 1H), 10.22 (s, 1H), 8.46 (s, 1H), 8.18 (d, J = 2.3 Hz, 1H), 7.78 (dd, J = 8.9, 2.3 Hz, 1H), 7.29 (d, J = 8.8 Hz, 1H).
7-Chloro-2-oxo-1,2-dihydroquinoline-3-carbaldehyde (7d)
Beige solid. 1H NMR (200 MHz, DMSO) δ 12.27 (s, 1H), 10.21 (s, 1H), 8.51 (s, 1H), 7.95 (d, J = 8.5 Hz, 1H), 7.46–7.23 (m, 2H).
7-Methoxy-2-oxo-1,2-dihydroquinoline-3-carbaldehyde (7e)
Pale yellow solid. 1H NMR (200 MHz, DMSO) δ 12.06 (s, 1H), 10.17 (s, 1H), 8.43 (s, 1H), 7.83 (d, J = 8.8 Hz, 1H), 6.96–6.77 (m, 2H), 3.86 (s, 3H).
3.2.2. Synthesis of N-Aryl-3-formylquinolone Derivatives (9a–x, 10a–h)
3-Formyl-2-quinolone (1.0 mmol), substituted-phenyl boronic acid (2 mmol), Cu(OAc)2 (18.2 mg, 0.1 mmol), DMF (10 mL), 3 Å molecular sieves (300 mg, 2.5% w/v) and pyridine (161 µL, 2.0 mmol) were added in a 25 mL round-bottom flask. The final mixture was stirred and heated (open flask) at 80 °C for 24 h. After that, the solvent was removed under a high vacuum and the residue was purified by column chromatography (silica gel, DMC:EtOAc 15:1) to provide the corresponding products in yields going from 15 to 64%.
2-Oxo-1-(p-tolyl)-1,2-dihydroquinoline-3-carbaldehyde (9a)
Pale yellow solid; mp: 257–255 °C. 1H NMR (400 MHz, CDCl3) δ 10.5 (s, 1H), 8.5 (s, 1H), 7.8 (dd, J = 7.9, 1.5 Hz, 1H), 7.5–7.4 (m, 3H), 7.3–7.3 (m, 1H), 7.2–7.2 (m, 2H), 6.8 (d, J = 8.6 Hz, 1H), 2.5 (s, 3H). 13C NMR (101 MHz, CDCl3) δ 190.1, 162.1, 143.4, 141.8, 139.4, 134.1, 133.3, 131.3, 131.1, 128.3, 125.8, 123.2, 119.1, 116.4, 21.3. HRMS: m/z [M+H]+ Calcd. for C17H13NO2 + H+: 264.1024. Found: 264.1040.
2-Oxo-1-phenyl-1,2-dihydroquinoline-3-carbaldehyde (9b)
Pale yellow solid; mp: 218–220 °C. 1H NMR (400 MHz, CDCl3) δ 10.37 (s, 1H), 8.41 (s, 1H), 7.69 (dd, J = 7.9, 1.5 Hz, 1H), 7.55 (t, J = 7.4 Hz, 2H), 7.48 (t, J = 7.4 Hz, 1H), 7.38 (ddd, J = 8.7, 7.2, 1.5 Hz, 1H), 7.26–7.14 (m, 3H), 6.62 (d, J = 8.6 Hz, 1H). 13C NMR (101 MHz, CDCl3) δ 189.7, 161.7, 143.0, 141.6, 136.6, 133.2, 131.1, 130.2, 129.1, 128.4, 125.5, 123.0, 118.9, 116.1. HRMS: m/z [M+H]+ Calcd. for C16H11NO2 + H+: 250.0868. Found: 250.0871.
2-Oxo-1-(m-tolyl)-1,2-dihydroquinoline-3-carbaldehyde (9c)
Pale orange solid; mp: 158–159 °C; 1H NMR (400 MHz, CDCl3) δ 10.43 (s, 1H), 8.49 (s, 1H), 7.79 (d, J = 8.0 Hz, 1H), 7.58–7.44 (m, 2H), 7.37 (d, J = 7.4 Hz, 1H), 7.28 (t, J = 7.4 Hz, 1H), 7.11 (d, J = 10.7 Hz, 2H), 6.74 (t, J = 7.6 Hz, 1H), 2.45 (s, 3H). 13C NMR (101 MHz, CDCl3) δ 189.6, 161.6, 143.0, 141.7, 140.3, 136.5, 133.2, 131.1, 129.9, 128.7, 125.3, 125.2, 123.0, 118.8, 116.1, 21.1. HRMS: m/z [M+H]+ Calcd. for C17H13NO2 + H+: 264.1024. Found: 264.1032.
1-(3-(tert-Butyl)phenyl)-2-oxo-1,2-dihydroquinoline-3-carbaldehyde (9d)
Pale beige solid; mp: 118–119 °C; 1H NMR (400 MHz, CDCl3) δ 10.43 (s, 1H), 8.46 (s, 1H), 7.73 (dd, J = 7.9, 1.5 Hz, 1H), 7.59–7.48 (m, 2H), 7.43 (ddd, J = 8.6, 7.2, 1.6 Hz, 1H), 7.28–7.18 (m, 2H), 7.08 (dt, J = 7.2, 1.8 Hz, 1H), 6.66 (d, J = 8.5 Hz, 1H), 1.33 (s, 9H). 13C NMR (101 MHz, CDCl3) δ 190.0, 162.0, 153.9, 143.5, 141.8, 136.6, 133.4, 131.3, 130.0, 126.4, 125.8, 125.5, 125.4, 123.2, 119.1, 116.4, 35.0, 31.3. HRMS: m/z [M+H]+ Calcd. for C20H19NO2 + H+: 301.1494. Found: 301.1507.
1-(3-Methoxyphenyl)-2-oxo-1,2-dihydroquinoline-3-carbaldehyde (9e)
Pale beige solid; mp: 199–201 °C. 1H NMR (400 MHz, CDCl3) δ 10.42 (s, 1H), 8.45 (s, 1H), 7.73 (dd, J = 7.9, 1.5 Hz, 1H), 7.54–7.40 (m, 2H), 7.27–7.19 (m, 1H), 7.10–7.02 (m, 1H), 6.85 (d, J = 7.7 Hz, 1H), 6.79 (t, J = 2.2 Hz, 1H), 6.72 (d, J = 8.6 Hz, 1H), 3.80 (s, 3H). 13C NMR (101 MHz, CDCl3) δ 190.0, 161.9, 161.3, 143.2, 141.9, 137.9, 133.4, 131.3, 131.2, 125.8, 123.3, 120.6, 119.1, 116.4, 115.4, 114.0, 55.5. HRMS: m/z [M+H]+ Calcd. for C17H13NO3 + H+: 280.0973. Found: 280.0981.
1-(3-Fluorophenyl)-2-oxo-1,2-dihydroquinoline-3-carbaldehyde (9f)
Brown solid; mp: 216–217 °C. 1H NMR (400 MHz, CDCl3) δ 10.44 (s, 1H), 8.50 (s, 1H), 7.79 (dd, J = 7.8, 1.6 Hz, 1H), 7.62 (td, J = 8.1, 6.0 Hz, 1H), 7.50 (ddd, J = 8.7, 7.2, 1.5 Hz, 1H), 7.34–7.25 (m, 2H), 7.15–7.11 (m, 1H), 7.07 (dt, J = 8.8, 2.2 Hz, 1H), 6.72 (d, J = 8.6 Hz, 1H). 13C NMR (101 MHz, CDCl3) δ 189.64, 164.88, 162.40, 161.72, 142.84, 142.10, 138.14 (d, J = 9.6 Hz), 133.58, 131.66 (d, J = 9.0 Hz), 124.59 (d, J = 3.4 Hz), 116.70 (d, J = 20.4 Hz). 19F NMR (376 MHz, CDCl3) δ-109.65. HRMS: m/z [M+H]+ Calcd. for C16H10FNO2 + H+: 268.0774. Found: 268.0785.
1-(3-Chlorophenyl)-2-oxo-1,2-dihydroquinoline-3-carbaldehyde (9g)
Beige solid; mp: 189–190 °C. 1H NMR (400 MHz, CDCl3) δ 10.44 (s, 1H), 8.50 (d, J = 0.7 Hz, 1H), 7.79 (dd, J = 7.8, 1.6 Hz, 1H), 7.61–7.47 (m, 3H), 7.35 (td, J = 1.9, 0.6 Hz, 1H), 7.30 (ddd, J = 8.0, 7.3, 1.0 Hz, 1H), 7.23 (dt, J = 7.0, 2.0 Hz, 1H), 6.71 (dt, J = 8.6, 0.8 Hz, 1H). 13C NMR (101 MHz, CDCl3) δ 189.6, 161.7, 142.8, 142.1, 137.9, 136.0, 133.6, 131.5, 131.4, 129.8, 129.2, 127.1, 125.7, 123.5, 119.1, 116.1. HRMS: m/z [M+H]+ Calcd. for C16H10ClNO2 + H+: 284.0478. Found: 284.0491.
1-(3-Bromophenyl)-2-oxo-1,2-dihydroquinoline-3-carbaldehyde (9h)
Beige solid; mp: 199–200 °C. 1H NMR (400 MHz, CDCl3) δ 10.44 (s, 1H), 8.50 (s, 1H), 7.79 (dd, J = 7.8, 1.5 Hz, 1H), 7.71 (ddd, J = 8.1, 1.9, 1.0 Hz, 1H), 7.56–7.46 (m, 3H), 7.34–7.24 (m, 2H), 6.71 (d, J = 8.6 Hz, 1H).. 13C NMR (101 MHz, CDCl3) δ 189.6, 161.8, 142.8, 142.1, 138.0, 133.6, 132.7, 132.0, 131.6, 131.5, 127.6, 125.7, 123.7, 123.6, 119.1, 116.1. HRMS: m/z [M+H]+ Calcd. for C16H10BrNO2 + H+: 327.9973. Found: 327.9984.
1-(3-Iodophenyl)-2-oxo-1,2-dihydroquinoline-3-carbaldehyde (9i)
Pale green solid; mp: 214–215 °C. 1H NMR (400 MHz, CDCl3) δ 10.44 (s, 1H), 8.49 (d, J = 0.7 Hz, 1H), 7.91 (dt, J = 7.8, 1.4 Hz, 1H), 7.78 (dd, J = 7.8, 1.5 Hz, 1H), 7.68 (t, J = 1.8 Hz, 1H), 7.51 (ddd, J = 8.7, 7.2, 1.5 Hz, 1H), 7.38 (t, J = 7.9 Hz, 1H), 7.33–7.27 (m, 2H), 6.71 (dd, J = 8.6, 0.9 Hz, 1H). 13C NMR (101 MHz, CDCl3) δ 189.6, 161.7, 142.8, 142.1, 138.6, 137.9, 137.6, 133.6, 131.7, 131.5, 128.2, 125.7, 123.5, 119.1, 116.1, 94.9. HRMS: m/z [M+H]+ Calcd. for C16H10INO2 + H+: 375.9834. Found: 375.9847.
2-Oxo-1-(3-(trifluoromethyl)phenyl)-1,2-dihydroquinoline-3-carbaldehyde (9j)
Orange solid; mp: 170–172 °C. 1H NMR (400 MHz, CDCl3) δ 10.44 (s, 1H), 8.52 (s, 1H), 7.88–7.73 (m, 3H), 7.62 (d, J = 1.9 Hz, 1H), 7.58–7.47 (m, 2H), 7.31 (ddd, J = 8.1, 7.3, 1.0 Hz, 1H), 6.65 (d, J = 8.5 Hz, 1H). 13C NMR (101 MHz, CDCl3) δ 189.5, 161.8, 142.8, 142.3, 137.4, 133.7, 133.1 (d, J = 33.2 Hz), 132.5, 131.7, 131.1, 126.4 (d, J = 3.7 Hz), 126.0 (d, J = 3.9 Hz), 125.7, 123.7, 119.2. 19F NMR (376 MHz, CDCl3) δ-62.6. HRMS: m/z [M+H]+ Calcd. for C17H10F3NO2 + H+: 318.0742. Found: 318.0758.
2-Oxo-1-(3-(trifluoromethoxy)phenyl)-1,2-dihydroquinoline-3-carbaldehyde (9k)
Orange solid; mp: 142–144 °C. 1H NMR (400 MHz, CDCl3) δ 10.4 (s, 1H), 8.5 (s, 1H), 7.8 (d, J = 7.8 Hz, 1H), 7.7 (t, J = 8.2 Hz, 1H), 7.5 (d, J = 8.0 Hz, 1H), 7.4 (d, J = 8.4 Hz, 1H), 7.3 (dt, J = 9.0, 6.5 Hz, 3H), 6.7 (d, J = 8.6 Hz, 1H). 13C NMR (101 MHz, CDCl3) δ 189.5, 161.7, 150.5 (d, J = 2.1 Hz), 142.8, 142.2, 138.1, 133.6, 131.6 (d, J = 4.0 Hz), 127.3, 125.7, 123.6, 121.7, 119.2, 115.9. 19F NMR (376 MHz, CDCl3) δ-57.9. HRMS: m/z [M+H]+ Calcd. for C17H10F3NO3 + H+: 334.0691. Found: 334.0703.
Methyl 3-(3-formyl-2-oxoquinolin-1(2H)-yl)benzoate (9l)
Pale green solid; mp: 224–225 °C. 1H NMR (400 MHz, CDCl3) δ 10.4 (s, 1H), 8.4 (s, 1H), 8.2 (d, J = 7.9 Hz, 1H), 7.9 (t, J = 1.9 Hz, 1H), 7.7–7.7 (m, 1H), 7.6 (t, J = 7.9 Hz, 1H), 7.5–7.3 (m, 2H), 7.2 (t, J = 6.8 Hz, 1H), 6.6 (d, J = 8.6 Hz, 1H), 3.8 (s, 3H). 13C NMR (101 MHz, CDCl3) δ 189.6, 165.8, 161.8, 142.9, 142.1, 137.0, 133.6, 133.3, 132.7, 131.6, 130.6, 130.5, 130.1, 125.7, 123.5, 119.2, 116.1, 52.4. HRMS: m/z [M+H]+ Calcd. for C18H13NO4 + H+: 308.0923. Found: 308.0934.
1-(3-Formylphenyl)-2-oxo-1,2-dihydroquinoline-3-carbaldehyde (9m)
Pale yellow solid; mp: 158–160 °C. 1H NMR (400 MHz, CDCl3) δ 10.4 (s, 1H), 10.1 (s, 1H), 8.5 (s, 1H), 8.1–8.1 (m, 1H), 7.9–7.8 (m, 3H), 7.6 (ddd, J = 7.9, 2.1, 1.2 Hz, 1H), 7.5 (ddd, J = 8.7, 7.2, 1.6 Hz, 1H), 7.4–7.3 (m, 1H), 6.7 (d, J = 8.6 Hz, 1H). 13C NMR (101 MHz, CDCl3) δ 190.8, 189.5, 161.8, 142.7, 142.3, 138.5, 137.8, 134.8, 133.7, 131.7, 131.2, 130.5, 129.9, 125.6, 123.7, 119.2, 115.9. HRMS: m/z [M+H]+ Calcd. for C17H11NO3 + H+: 278.0817. Found: 278.0829.
1-(4-(tert-Butyl)phenyl)-2-oxo-1,2-dihydroquinoline-3-carbaldehyde (9n)
Pale yellow solid; mp: 209–210 °C. 1H NMR (400 MHz, CDCl3) δ 10.5 (s, 1H), 8.5 (s, 1H), 7.8 (dd, J = 7.8, 1.5 Hz, 1H), 7.7–7.6 (m, 2H), 7.5–7.4 (m, 1H), 7.3–7.3 (m, 1H), 7.2–7.2 (m, 2H), 6.8 (d, J = 8.3 Hz, 1H), 1.4 (s, 9H). 13C NMR (101 MHz, CDCl3) δ 190.1, 162.1, 152.4, 143.4, 141.7, 134.0, 133.3, 131.3, 127.9, 127.4, 125.7, 123.2, 119.1, 116.5, 34.9, 31.4. HRMS: m/z [M+H]+ Calcd. for C20H19NO2 + H+: 306.1494. Found: 306.1510.
1-(4-Methoxyphenyl)-2-oxo-1,2-dihydroquinoline-3-carbaldehyde (9o)
Yellow-greenish solid; mp: 250–251 °C. 1H NMR (400 MHz, CDCl3) δ 10.46 (s, 1H), 8.48 (s, 1H), 7.76 (dd, J = 7.9, 1.5 Hz, 1H), 7.47 (ddd, J = 8.7, 7.2, 1.6 Hz, 1H), 7.30–7.17 (m, 3H), 7.15–7.11 (m, 2H), 6.78 (d, J = 8.6 Hz, 1H), 3.90 (s, 3H). 13C NMR (101 MHz, CDCl3) δ 190.1, 162.2, 160.0, 143.6, 141.7, 133.4, 131.3, 129.6, 129.2, 125.8, 123.2, 119.1, 116.4, 115.6, 55.6. HRMS: m/z [M+H]+ Calcd. for C17H13NO3 + H+: 280.0973. Found: 280.0984.
1-(4-Fluorophenyl)-2-oxo-1,2-dihydroquinoline-3-carbaldehyde (9p)
Pale green solid; mp: 244–245 °C. 1H NMR (400 MHz, CDCl3) δ 10.4 (s, 1H), 8.4 (s, 1H), 7.7 (dd, J = 7.8, 1.5 Hz, 1H), 7.4 (ddd, J = 8.7, 7.2, 1.6 Hz, 1H), 7.3–7.2 (m, 5H), 6.6 (d, J = 8.6 Hz, 1H). 13C NMR (101 MHz, CDCl3) δ 189.7, 164.1, 162.0, 161.6, 143.2, 142.0, 133.5, 132.6 (d, J = 3.5 Hz), 131.5, 130.5 (d, J = 8.7 Hz), 125.7, 123.4, 119.2, 117.5 (d, J = 23.0 Hz), 116.1. 19F NMR (376 MHz, CDCl3) δ -111.4. HRMS: m/z [M+H]+ Calcd. for C16H10FNO2 + H+: 268.0774. Found: 268.0791.
1-(4-Chlorophenyl)-2-oxo-1,2-dihydroquinoline-3-carbaldehyde (9q)
Pale green solid; mp: 235–237 °C. 1H NMR (400 MHz, CDCl3) δ 10.4 (s, 1H), 8.5 (s, 1H), 7.8 (dd, J = 7.8, 1.5 Hz, 1H), 7.6–7.6 (m, 2H), 7.5 (ddd, J = 8.7, 7.2, 1.5 Hz, 1H), 7.3–7.2 (m, 3H), 6.7 (d, J = 8.5 Hz, 1H). 13C NMR (101 MHz, CDCl3) δ 189.6, 161.8, 143.0, 142.1, 135.4, 135.3, 133.6, 131.6, 130.7, 130.1, 125.7, 123.5, 119.2, 116.1. HRMS: m/z [M+H]+ Calcd. for C16H10ClNO2 + H+: 284.0478. Found: 284.0491.
1-(4-Bromophenyl)-2-oxo-1,2-dihydroquinoline-3-carbaldehyde (9r)
Pale green solid; mp: 250–253 °C. 1H NMR (400 MHz, CDCl3) δ 10.4 (s, 1H), 8.5 (d, J = 0.7 Hz, 1H), 7.8–7.7 (m, 3H), 7.5 (ddd, J = 8.7, 7.2, 1.5 Hz, 1H), 7.3–7.3 (m, 1H), 7.2–7.2 (m, 2H), 6.7 (dd, J = 8.6, 0.9 Hz, 1H). 13C NMR (101 MHz, CDCl3) δ 189.7, 161.8, 142.9, 142.1, 135.8, 133.7, 133.6, 131.6, 130.5, 125.7, 123.5, 123.5, 119.2, 116.1. HRMS: m/z [M+H]+ Calcd. for C16H10BrNO2 + H+: 327.9997. Found: 328.0011.
1-(4-Iodophenyl)-2-oxo-1,2-dihydroquinoline-3-carbaldehyde (9s)
Pale green solid; mp: 264–265 °C. 1H NMR (400 MHz, CDCl3) δ 10.4 (s, 1H), 8.5 (s, 1H), 8.0–7.9 (m, 2H), 7.8 (dd, J = 7.8, 1.5 Hz, 1H), 7.5–7.4 (m, 1H), 7.3–7.2 (m, 1H), 7.1–7.0 (m, 2H), 6.7 (d, J = 8.6 Hz, 1H). 13C NMR (101 MHz, CDCl3) δ 189.7, 161.7, 142.8, 142.0, 139.7, 136.5, 133.5, 131.5, 130.6, 125.7, 123.5, 119.1, 116.1, 95.1. HRMS: m/z [M+H]+ Calcd. for C16H10INO2 + H+: 376.9834. Found: 376.9844.
2-Oxo-1-(4-(trifluoromethyl)phenyl)-1,2-dihydroquinoline-3-carbaldehyde (9t)
Pale orange solid; mp: 258–260 °C. 1H NMR (400 MHz, DMSO) δ 10.3 (d, J = 2.2 Hz, 1H), 8.7 (d, J = 16.8 Hz, 1H), 8.2–7.9 (m, 3H), 7.7–7.5 (m, 3H), 7.4–7.3 (m, 1H), 6.6 (d, J = 8.5 Hz, 1H). 13C NMR (101 MHz, CDCl3) δ 188.8, 161.0, 142.2 (d, J = 9.5 Hz), 140.0, 133.4, 130.6 (d, J = 32.5 Hz), 129.5, 127.1 (q, J = 3.8 Hz), 124.9 (d, J = 30.1 Hz), 123.3, 118.7, 115.4. 19F NMR (376 MHz, CDCl3) δ -62.7. HRMS: m/z [M+H]+ Calcd. for C17H10F3NO2 + H+: 318.0742. Found: 3108.07452.
2-Oxo-1-(4-(trifluoromethoxy)phenyl)-1,2-dihydroquinoline-3-carbaldehyde (9u)
Pale brown solid; mp: 219–221 °C. 1H NMR (400 MHz, CDCl3) δ 10.3 (s, 1H), 8.3 (s, 1H), 7.6 (dd, J = 7.8, 1.5 Hz, 1H), 7.4–7.3 (m, 3H), 7.2–7.2 (m, 2H), 7.2–7.1 (m, 1H), 6.6 (d, J = 8.6 Hz, 1H). 13C NMR (101 MHz, CDCl3) δ 189.6, 161.9, 149.6 (d, J = 2.0 Hz), 142.9, 142.1, 135.1, 133.6, 131.6, 130.4, 125.7, 123.6, 122.7, 119.2, 116.0. 19F NMR (376 MHz, CDCl3) δ -57.8. HRMS: m/z [M+H]+ Calcd. for C17H10F3NO3 + H+: 334.0691. Found: 334.0705.
Methyl 4-(3-Formyl-2-oxoquinolin-1(2H)-yl)benzoate (9v)
Greenish-yellow solid; mp: 217–219 °C. 1H NMR (400 MHz, CDCl3) δ 10.42 (s, OH), 8.50 (s, 1H), 8.31 (d, J = 7.1 Hz, 1H), 7.80 (d, J = 7.9 Hz, 1H), 7.53–7.41 (m, 1H), 7.45–7.38 (m, 2H), 7.34–7.26 (m, 1H), 6.68 (d, J = 8.6 Hz, 1H), 3.99 (s, 1H). 13C NMR (101 MHz, CDCl3) δ 189.5, 166.0, 161.6, 142.7, 142.2, 140.9, 133.6, 131.7, 131.6, 131.2, 129.0, 125.6, 123.5, 119.1, 116.0, 52.5. HRMS: m/z [M+H]+ Calcd. for C18H13NO4 + H+: 308.0923. Found: 308.0933.
1-(4-Formylphenyl)-2-oxo-1,2-dihydroquinoline-3-carbaldehyde (9w)
Pale green solid; mp: 233–235 °C. 1H NMR (400 MHz, CDCl3) δ 10.43 (s, 1H), 10.16 (s, 1H), 8.52 (s, 1H), 8.22–8.13 (m, 2H), 7.82 (dd, J = 7.9, 1.5 Hz, 1H), 7.57–7.46 (m, 3H), 7.36–7.28 (m, 1H), 6.68 (dd, J = 8.6, 1.0 Hz, 1H). 13C NMR (101 MHz, CDCl3) δ 191.0, 189.4, 161.6, 142.5, 142.3, 142.2, 136.9, 133.7, 131.7, 131.6, 129.8, 125.7, 123.7, 119.2, 115.9. HRMS: m/z [M+H]+ Calcd. for C17H11NO3 + H+: 278.0817. Found: 278.0834.
1-(Naphthalen-2-yl)-2-oxo-1,2-dihydroquinoline-3-carbaldehyde (9x)
Pale green solid; mp: 256–257 °C. 1H NMR (400 MHz, CDCl3) δ 10.48 (s, 1H), 8.53 (s, 1H), 8.10 (d, J = 8.6 Hz, 1H), 7.97 (d, J = 7.9 Hz, 1H), 7.89 (d, J = 7.7 Hz, 1H), 7.84 (d, J = 2.1 Hz, 1H), 7.79 (dd, J = 7.9, 1.6 Hz, 1H), 7.69–7.52 (m, 2H), 7.43 (ddd, J = 8.7, 7.2, 1.6 Hz, 1H), 7.37 (dd, J = 8.6, 2.1 Hz, 1H), 7.27 (t, J = 6.1 Hz, 1H), 6.74 (d, J = 8.6 Hz, 1H). 13C NMR (101 MHz, CDCl3) δ 190.0, 162.2, 143.4, 141.9, 134.2, 134.0, 133.4, 133.4, 131.4, 130.6, 128.2, 128.0, 127.8, 127.3, 127.0, 125.9, 125.8, 123.3, 119.2, 116.5. HRMS: m/z [M+H]+ Calcd. for C20H13NO2 + H+: 300.1024. Found: 300.1035.
6-Methyl-2-oxo-1-(p-tolyl)-1,2-dihydroquinoline-3-carbaldehyde (10a)
Greenish-yellow solid; mp: 268–269 °C. 1H NMR (400 MHz, CDCl3) δ 10.37 (s, 1H), 8.34 (s, 1H), 7.48–7.43 (m, 1H), 7.34 (d, J = 8.0 Hz, 2H), 7.23–7.16 (m, 1H), 7.13–7.05 (m, 2H), 6.57 (d, J = 8.7 Hz, 1H), 2.40 (s, 3H), 2.33 (s, 3H). 13C NMR (101 MHz, CDCl3) δ 190.2, 162.0, 141.6, 141.5, 139.3, 134.8, 134.3, 132.9, 131.0, 130.8, 128.3, 125.7, 119.1, 116.3, 21.3, 20.5. HRMS: m/z [M+H]+ Calcd. for C18H15NO2 + H+: 278.1181. Found: 278.1199.
1-(4-Fluorophenyl)-6-methyl-2-oxo-1,2-dihydroquinoline-3-carbaldehyde (10b)
Green solid; mp: 277–278 °C. 1H NMR (400 MHz, CDCl3) δ 10.44 (s, 1H), 8.43 (s, 1H), 7.58–7.53 (m, 1H), 7.35–7.27 (m, 5H), 6.61 (d, J = 8.7 Hz, 1H), 2.42 (s, 3H). 13C NMR (101 MHz, CDCl3) δ 189.9, 164.0, 162.0, 161.5, 141.8, 141.3, 135.0, 133.2, 132.7 (d, J = 3.3 Hz), 131.0, 130.5 (d, J = 8.8 Hz), 125.6, 119.1, 117.4 (d, J = 23.0 Hz), 116.0, 20.5. 19F NMR (376 MHz, CDCl3) δ-111.6. HRMS: m/z [M+H]+ Calcd. for C17H12FNO2 + H+: 282.0930. Found: 282.0941.
6-Bromo-2-oxo-1-(p-tolyl)-1,2-dihydroquinoline-3-carbaldehyde (10c)
Brown solid; mp: 265–266 °C. 1H NMR (400 MHz, CDCl3) δ 10.34 (s, 1H), 8.28 (s, 1H), 7.79 (d, J = 2.2 Hz, 1H), 7.42 (dd, J = 9.1, 2.3 Hz, 1H), 7.34 (d, J = 7.6 Hz, 2H), 7.07 (d, J = 8.2 Hz, 2H), 6.56 (d, J = 9.0 Hz, 1H), 2.39 (s, 3H). 13C NMR (101 MHz, CDCl3) δ 189.6, 161.6, 142.2, 140.3, 139.7, 135.9, 133.7, 133.0, 131.2, 128.1, 126.5, 120.4, 118.1, 115.9, 21.3. HRMS: m/z [M+H]+ Calcd. for C17H12BrNO2 + H+: 342.0129. Found: 342.0144.
6-Bromo-1-(4-fluorophenyl)-2-oxo-1,2-dihydroquinoline-3-carbaldehyde (10d)
Orange solid; mp: 271–272 °C. 1H NMR (400 MHz, CDCl3) δ 10.42 (s, 1H), 8.38 (s, 1H), 7.90 (d, J = 2.3 Hz, 1H), 7.55 (dd, J = 9.1, 2.2 Hz, 1H), 7.34–7.24 (m, 4H), 6.61 (d, J = 9.0 Hz, 1H). 13C NMR (101 MHz, CDCl3) δ 189.33, 164.17, 161.69, 161.53, 142.00, 140.56, 136.11, 133.23, 132.18 (d, J = 3.5 Hz), 130.41 (d, J = 8.8 Hz), 126.53, 120.49, 117.68 (d, J = 23.1 Hz), 116.18. 19F NMR (376 MHz, CDCl3) δ-110.9. HRMS: m/z [M+H]+ Calcd. for C16H9BrFNO2 + H+: 345.9879. Found: 345.9891.
7-Methoxy-2-oxo-1-(p-tolyl)-1,2-dihydroquinoline-3-carbaldehyde (10e)
Pale beige solid; mp: 187–188 °C. 1H NMR (400 MHz, CDCl3) δ 10.37 (s, 1H), 8.39 (s, 1H), 7.64 (d, J = 8.7 Hz, 1H), 7.43–7.37 (m, 2H), 7.20–7.12 (m, 2H), 6.83 (dd, J = 8.8, 2.4 Hz, 1H), 6.13 (d, J = 2.3 Hz, 1H), 3.69 (s, 3H), 2.46 (s, 3H). 13C NMR (101 MHz, CDCl3) δ 189.9, 164.1, 162.6, 145.7, 141.6, 139.3, 134.3, 133.1, 131.1, 128.2, 122.9, 113.5, 111.8, 100.2, 55.6, 21.3. HRMS: m/z [M+H]+ Calcd. for C18H15NO3 + H+: 294.1052. Found: 294.1066.
1-(4-Fluorophenyl)-7-methoxy-2-oxo-1,2-dihydroquinoline-3-carbaldehyde (10f)
Pale brown solid; mp: 213–214 °C. 1H NMR (400 MHz, CDCl3) δ 10.29 (s, 1H), 8.35 (s, 1H), 7.62 (d, J = 8.8 Hz, 1H), 7.24 (dd, J = 6.5, 2.0 Hz, 4H), 6.80 (dd, J = 8.8, 2.4 Hz, 1H), 6.03 (d, J = 2.3 Hz, 1H), 3.66 (s, 3H). 13C NMR (101 MHz, CDCl3) δ 189.6, 164.3, 164.0, 162.5, 161.5, 145.4, 141.9, 133.4, 132.8 (d, J = 3.4 Hz), 130.5 (d, J = 8.8 Hz), 122.8, 117.5 (d, J = 22.9 Hz), 113.5, 111.8, 100.1, 55.6. 19F NMR (376 MHz, CDCl3) δ -111.4. HRMS: m/z [M+H]+ Calcd. for C17H12FNO3 + H+: 298.0879. Found: 298.0888.
7-Chloro-2-oxo-1-(p-tolyl)-1,2-dihydroquinoline-3-carbaldehyde (10g)
Pale beige solid; mp: 251–253 °C. 1H NMR (400 MHz, CDCl3) δ 10.41 (s, 1H), 8.42 (s, 1H), 7.68 (d, J = 8.3 Hz, 1H), 7.44 (d, J = 8.0 Hz, 2H), 7.25–7.18 (m, 1H), 7.21–7.12 (m, 2H), 6.73 (d, J = 1.8 Hz, 1H), 2.49 (s, 3H). 13C NMR (101 MHz, CDCl3) δ 189.6, 161.8, 144.0, 141.0, 140.0, 139.8, 133.5, 132.4, 131.3, 128.1, 125.6, 123.9, 117.5, 116.2, 21.4. HRMS: m/z [M+H]+ Calcd. for C17H12ClNO2 + H+: 298.0635. Found: 298.0649.
7-Chloro-1-(4-fluorophenyl)-2-oxo-1,2-dihydroquinoline-3-carbaldehyde (10h)
Greenish-orange solid; mp: 268–269 °C. 1H NMR (400 MHz, CDCl3) δ 10.40 (s, 1H), 8.44 (s, 1H), 7.71 (d, J = 8.4 Hz, 1H), 7.38–7.24 (m, 5H), 6.70 (d, J = 1.9 Hz, 1H). 13C NMR (101 MHz, CDCl3) δ 189.3, 164.2, 161.7, 161.7, 143.8, 141.2, 140.2, 132.6, 132.0 (d, J = 3.4 Hz), 130.4 (d, J = 8.8 Hz), 125.6, 124.1, 117.8 (d, J = 23.0 Hz), 116.0. 19F NMR (376 MHz, CDCl3) δ-110.7. HRMS: m/z [M+H]+ Calcd. for C16H9ClFNO2 + H+: 302.0384. Found: 302.0399.
3.2.3. Synthesis of 3-(Hydroxymethyl)-1-(p-tolyl)quinolin-2(1H)-one (11)
Compound 11 was synthetized according to the reported procedure [77], 9a (0.3 mmol) was added to a vial containing MeOH (4.5 mL), and NaBH4 (0.9 mmol) was added in small portions. After complete disappearance of the starting material (monitored by TLC), the solution was stirred for another 10 min. Finally, the solvent was removed in a vacuum, and the solid washed with cold water (5 mL) and filtered, giving a brown solid (83% yield).
Brown solid; mp: 169–171 °C. 1H NMR (400 MHz, CDCl3) δ 7.78 (s, 1H), 7.58 (d, J = 7.7 Hz, 1H), 7.42–7.28 (m, 3H), 7.24–7.11 (m, 3H), 6.72 (d, J = 8.5 Hz, 1H), 4.67 (s, 2H), 3.74 (s, 1H), 2.45 (s, 3H). 13C NMR (101 MHz, CDCl3) δ 162.6, 140.4, 139.1, 135.7, 134.6, 132.0, 130.9, 129.8, 128.4, 128.4, 122.7, 120.2, 116.0, 62.5, 21.3. HRMS: m/z [M+H]+ Calcd. for C17H15NO2 + H+: 266.1181. Found: 266.1193.
3.2.4. Synthesis of 2-Oxo-1-(p-tolyl)-1,2-dihydroquinoline-3-carbonitrile (12)
A G10 reaction vial was charged with 9a (0.3 mmol), hydroxylammonium chloride (0.36 mmol) and DMSO (2.5 mL). The vial was capped, placed in the Mono-Wave reactor and heated at 110 °C for 1 h and 30 min. Then, water (5 mL) was added, the precipitate was filtered and washed with abundant water. The solid was purified by column chromatography to give a beige solid (88% yield).
Beige solid; mp: 228–229 °C. 1H NMR (400 MHz, CDCl3) δ 8.33 (s, 1H), 7.68 (dd, J = 7.8, 1.5 Hz, 1H), 7.48 (ddd, J = 8.7, 7.2, 1.6 Hz, 1H), 7.40 (d, J = 7.8 Hz, 2H), 7.33–7.24 (m, 1H), 7.14 (d, J = 8.3 Hz, 2H), 6.75 (d, J = 8.6 Hz, 1H), 2.46 (s, 3H). 13C NMR (101 MHz, CDCl3) δ 158.6, 148.2, 142.5, 139.7, 133.7, 133.7, 131.1, 129.8, 128.1, 123.4, 118.6, 116.6, 115.1, 107.6, 21.3. HRMS: m/z [M+H]+ Calcd. for C17H12N2O+H+: 261.1028. Found: 261.1041.
3.2.5. Synthesis of 3-(((4-Methoxybenzyl)amino)methyl)-1-(p-tolyl)quinolin-2(1H)-one (13)
Compound 13 was synthetized according to the reported procedure [78]. A mixture of quinoline-3-carbaldehyde 9a (0.3 mmol) and 4-methoxybenzylamine (0.32 mmol) in MeOH (1.2 mL) was stirred for 4 h at room temperature. Subsequently, solid NaBH4 was added (0.48 mmol) portion-wise and the stirring was continued at ambient temperature for 20 min. After the reaction was complete, the mixture was poured into water (30 mL) and extracted with EtOAc (50 mL × 2). The combined organic layer-phases were dried over anhydrous Na2SO4, (5 mL × 3 times), filtered and concentrated in vacuo. After removal the solvent, the crude was purified by column chromatography (EtOAc:MeOH 4:1) to give a brown solid (99% yield).
Waxy brown solid. 1H NMR (400 MHz, CDCl3) δ 7.80 (s, 1H), 7.58 (dd, J = 7.8, 1.5 Hz, 1H), 7.39 (d, J = 8.5 Hz, 2H), 7.34–7.24 (m, 3H), 7.23–7.10 (m, 3H), 6.89–6.83 (m, 2H), 6.70 (dd, J = 8.5, 1.0 Hz, 1H), 3.83 (d, J = 6.1 Hz, 4H), 3.78 (s, 3H), 2.46 (s, 3H). 13C NMR (101 MHz, CDCl3) δ 162.5, 158.7, 140.5, 138.8, 136.9, 135.0, 131.9, 131.3, 130.8, 129.6, 129.5, 128.4, 128.1, 122.4, 120.3, 115.9, 113.9, 55.3, 52.8, 49.5, 21.3. HRMS: m/z [M+H]+ Calcd. for C25H24N2O2+H+: 385.1916. Found: 385.1922.
3.2.6. Synthesis of (E)-3-(3-(4-Methoxyphenyl)-3-oxoprop-1-en-1-yl)-1-(p-tolyl)quinolin-2(1H)-one (14)
Compound 14 was synthetized according to the reported procedure [79,80,81]. 9a (0.3 mmol), and 4-methoxyacetophenone (0.3 mmol) were added to a vial containing MeOH (1.5 mL), the solution was stirred and NaOH (sol. 10% w/v, 0.3 mL) was added dropwise. The final solution was stirred for 24 h, and the solid was filtered, washed with cold MeOH and dried in a vacuum to give a pale green solid (83% yield).
Pale green solid; mp 217–219 °C. 1H NMR (400 MHz, CDCl3) δ 8.64 (d, J = 15.3 Hz, 1H), 8.32–8.06 (m, 2H), 8.03 (s, 1H), 7.74 (d, J = 15.3 Hz, 1H), 7.64 (dd, J = 7.9, 1.5 Hz, 1H), 7.43 (d, J = 8.0 Hz, 2H), 7.39–7.30 (m, 1H), 7.24–7.14 (m, 3H), 6.92–6.87 (m, 2H), 6.69 (d, J = 8.5 Hz, 1H), 3.83 (s, 3H), 2.47 (s, 3H). 13C NMR (101 MHz, CDCl3) δ 189.2, 163.5, 161.3, 143.1, 140.9, 139.1, 139.1, 135.0, 131.4, 131.1, 131.1, 131.1, 129.1, 128.4, 126.5, 126.2, 122.7, 120.1, 116.0, 113.7, 55.5, 21.3. HRMS: m/z [M+H]+ Calcd. for C26H21NO3 + H+: 396.1599. Found: 396.1611.
4. Conclusions
In conclusion, a versatile and selective copper-catalyzed Chan–Lam protocol for the N-arylation of several 3-formylquinolones has been developed. The protocol includes catalytic amounts of copper(II) with inexpensive phenylboronic acids in open flasks. Electron-donating or electron-withdrawing groups and halogens at the para- and meta-positions of the phenylboronic acids were tolerated. The protocol was suitable for N-arylation of four 3-formylquinolones substituted at positions 6- and 7-. Finally, diversification of N-p-methylphenyl derivative 9a through aldehyde modification at position 3- of the quinolone core was possible, demonstrating the potential of the new compound for synthetic transformations. Therefore, this protocol is a viable synthetic tool to obtain N-arylated derivatives that can be used to generate compounds with biological, luminescent, and catalytic properties, among others.
Supplementary Materials
The following supporting information can be downloaded at: https://www.mdpi.com/article/10.3390/molecules27238345/s1, NMR spectrums of new compounds.
Author Contributions
J.V. and O.A.S.-V. contributed equally to investigation, data curation, formal analysis, writing—original draft, and writing, review and editing; J.S.-O., investigation, data curation; P.H.-I., review; E.G.P. and D.I., conceptualization, formal analysis, investigation, resources, data curation, writing—original draft, writing—review and editing, supervision, project administration. All authors have read and agreed to the published version of the manuscript.
Funding
This research was funded by Fondecyt, grant number: 1210751 (EGP) and the Basal project, grant number: AFB180001 (PH-I).
Institutional Review Board Statement
Not applicable.
Informed Consent Statement
Not applicable.
Data Availability Statement
Not applicable.
Acknowledgments
The authors thank Universidad del Norte, Pontificia Universidad Católica de Chile, Fondecyt and MINCIENCIAS for financial support.
Conflicts of Interest
The authors declare no conflict of interest.
Sample Availability
Samples of the new compounds are available from the authors.
References
- Shobeiri, N.; Rashedi, M.; Mosaffa, F.; Zarghi, A.; Ghandadi, M.; Ghasemi, A.; Ghodsi, R. Synthesis and Biological Evaluation of Quinoline Analogues of Flavones as Potential Anticancer Agents and Tubulin Polymerization Inhibitors. Eur. J. Med. Chem. 2016, 114, 14–23. [Google Scholar] [CrossRef]
- Brown, C.E.; McNulty, J.; Bordón, C.; Yolken, R.; Jones-Brando, L. Enol Ethers as Carbonyl Surrogates in a Modification of the Povarov Synthesis of 3-Aryl Quinolines and Their Anti-Toxoplasma Activity. Org. Biomol. Chem. 2016, 14, 5951–5955. [Google Scholar] [CrossRef] [PubMed]
- Kappenberg, Y.G.; Ketzer, A.; Stefanello, F.S.; Salbego, P.R.S.; Acunha, T.V.; Abbadi, B.L.; Bizarro, C.V.; Basso, L.A.; Machado, P.; Martins, M.A.P.; et al. Synthesis and Photophysical, Thermal and Antimycobacterial Properties of Novel 6-Amino-2-Alkyl(Aryl/Heteroaryl)-4-(Trifluoromethyl) Quinolines. New J. Chem. 2019, 43, 12375–12384. [Google Scholar] [CrossRef]
- dos Santos, G.C.; de Andrade Bartolomeu, A.; Ximenes, V.F.; da Silva-Filho, L.C. Facile Synthesis and Photophysical Characterization of New Quinoline Dyes. J. Fluoresc. 2017, 27, 271–280. [Google Scholar] [CrossRef] [PubMed]
- Bonacorso, H.G.; Rodrigues, M.B.; Iglesias, B.A.; da Silveira, C.H.; Feitosa, S.C.; Rosa, W.C.; Martins, M.A.P.; Frizzo, C.P.; Zanatta, N. New 2-(Aryl/Heteroaryl)-6-(Morpholin-4-Yl/Pyrrolidin-1-Yl)-(4-Trifluoromethyl)Quinolines: Synthesis via Buchwald–Hartwig Amination, Photophysics, and Biomolecular Binding Properties. New J. Chem. 2018, 42, 10024–10035. [Google Scholar] [CrossRef]
- Sukpattanacharoen, C.; Kungwan, N. Theoretical Insights of Solvent Effect on Excited-State Proton Transfers of 2-Aryl-3-Hydroxyquinolone. J. Mol. Liq. 2021, 325, 115035. [Google Scholar] [CrossRef]
- Echeverry-Gonzalez, C.A.; Villamizar, M.C.O.; Kouznetsov, V.V. The Remarkable Selectivity of the 2-Arylquinoline-Based Acyl Hydrazones toward Copper Salts: Exploration of Their Catalytic Applications in the Copper Catalysed N -Arylation of Indole Derivatives and C1-Alkynylation of Tetrahydroisoquinolines via the A 3 Reaction. New J. Chem. 2021, 45, 243–250. [Google Scholar] [CrossRef]
- Heravi, M.M.; Kheilkordi, Z.; Zadsirjan, V.; Heydari, M.; Malmir, M. Buchwald-Hartwig Reaction: An Overview. J. Organomet. Chem. 2018, 861, 17–104. [Google Scholar] [CrossRef]
- Hardouin Duparc, V.; Bano, G.L.; Schaper, F. Chan–Evans–Lam Couplings with Copper Iminoarylsulfonate Complexes: Scope and Mechanism. ACS Catal. 2018, 8, 7308–7325. [Google Scholar] [CrossRef]
- Evano, G.; Theunissen, C.; Pradal, A. Impact of Copper-Catalyzed Cross-Coupling Reactions in Natural Product Synthesis: The Emergence of New Retrosynthetic Paradigms. Nat. Prod. Rep. 2013, 30, 1467. [Google Scholar] [CrossRef]
- Doyle, M.G.J.; Lundgren, R.J. Oxidative Cross-Coupling Processes Inspired by the Chan–Lam Reaction. Chem. Commun. 2021, 57, 2724–2731. [Google Scholar] [CrossRef]
- Chen, J.-Q.; Li, J.-H.; Dong, Z.-B. A Review on the Latest Progress of Chan-Lam Coupling Reaction. Adv. Synth. Catal. 2020, 362, 3311–3331. [Google Scholar] [CrossRef]
- Yu, S.; Saenz, J.; Srirangam, J.K. Facile Synthesis of N-Aryl Pyrroles via Cu(II)-Mediated Cross Coupling of Electron Deficient Pyrroles and Arylboronic Acids. J. Org. Chem. 2002, 67, 1699–1702. [Google Scholar] [CrossRef] [PubMed]
- Bakkestuen, A.K.; Gundersen, L.-L. Regioselective N-9 Arylation of Purines Employing Arylboronic Acids in the Presence of Cu(II). Tetrahedron Lett. 2003, 44, 3359–3362. [Google Scholar] [CrossRef]
- Lasalle, M.; Hoguet, V.; Hennuyer, N.; Leroux, F.; Piveteau, C.; Belloy, L.; Lestavel, S.; Vallez, E.; Dorchies, E.; Duplan, I.; et al. Topical Intestinal Aminoimidazole Agonists of G-Protein-Coupled Bile Acid Receptor 1 Promote Glucagon Like Peptide-1 Secretion and Improve Glucose Tolerance. J. Med. Chem. 2017, 60, 4185–4211. [Google Scholar] [CrossRef] [PubMed]
- Sánchez-Velasco, O.A.; Saavedra-Olavarría, J.; Araya-Santelices, D.A.A.; Hermosilla-Ibáñez, P.; Cassels, B.K.; Pérez, E.G. Synthesis of N -Arylcytisine Derivatives Using the Copper-Catalyzed Chan-Lam Coupling. J. Nat. Prod. 2021, 84, 1985–1992. [Google Scholar] [CrossRef] [PubMed]
- Moon, Y.; Jang, E.; Choi, S.; Hong, S. Visible-Light-Photocatalyzed Synthesis of Phenanthridinones and Quinolinones via Direct Oxidative C–H Amidation. Org. Lett. 2018, 20, 240–243. [Google Scholar] [CrossRef]
- Raghavan, S.; Manogaran, P.; Gadepalli Narasimha, K.K.; Kalpattu Kuppusami, B.; Mariyappan, P.; Gopalakrishnan, A.; Venkatraman, G. Synthesis and Anticancer Activity of Novel Curcumin–Quinolone Hybrids. Bioorg. Med. Chem. Lett. 2015, 25, 3601–3605. [Google Scholar] [CrossRef]
- Charushin, V.N.; Mochulskaya, N.N.; Antipin, F.V.; Kotovskaya, S.K.; Nosova, E.V.; Ezhikova, M.A.; Kodess, M.I.; Kravchenko, M.A. Synthesis and Antimycobacterial Evaluation of New (2-Oxo-2H-Chromen-3-Yl) Substituted Fluoroquinolones. J. Fluor. Chem. 2018, 208, 15–23. [Google Scholar] [CrossRef]
- Xu, M.; Wagerle, T.; Long, J.K.; Lahm, G.P.; Barry, J.D.; Smith, R.M. Insecticidal Quinoline and Isoquinoline Isoxazolines. Bioorg. Med. Chem. Lett. 2014, 24, 4026–4030. [Google Scholar] [CrossRef]
- Kaur, P.; Anuradha; Chandra, A.; Tanwar, T.; Sahu, S.K.; Mittal, A. Emerging Quinoline- and Quinolone-Based Antibiotics in the Light of Epidemics. Chem. Biol. Drug Des. 2022, 100, 765–785. [Google Scholar] [CrossRef] [PubMed]
- Vil’, V.A.; Grishin, S.S.; Baberkina, E.P.; Alekseenko, A.L.; Glinushkin, A.P.; Kovalenko, A.E.; Terent’ev, A.O. Electrochemical Synthesis of Tetrahydroquinolines from Imines and Cyclic Ethers via Oxidation/Aza-Diels-Alder Cycloaddition. Adv. Synth. Catal. 2022, 364, 1098–1108. [Google Scholar] [CrossRef]
- Senerovic, L.; Opsenica, D.; Moric, I.; Aleksic, I.; Spasić, M.; Vasiljevic, B. Quinolines and Quinolones as Antibacterial, Antifungal, Anti-Virulence, Antiviral and Anti-Parasitic Agents. In Advances in Microbiology, Infectious Diseases and Public Health: Volume 14; Springer International Publishing: Cham, Switzerland, 2020; pp. 37–69. ISBN 978-3-030-53647-3. [Google Scholar]
- Ghosh, J.; Swarup, V.; Saxena, A.; Das, S.; Hazra, A.; Paira, P.; Banerjee, S.; Mondal, N.B.; Basu, A. Therapeutic Effect of a Novel Anilidoquinoline Derivative, 2-(2-Methyl-Quinoline-4ylamino)-N-(2-Chlorophenyl)-Acetamide, in Japanese Encephalitis: Correlation with in Vitro Neuroprotection. Int. J. Antimicrob. Agents 2008, 32, 349–354. [Google Scholar] [CrossRef] [PubMed]
- Sureshkumar, B.; Mary, Y.S.; Panicker, C.Y.; Suma, S.; Armaković, S.; Armaković, S.J.; Van Alsenoy, C.; Narayana, B. Quinoline Derivatives as Possible Lead Compounds for Anti-Malarial Drugs: Spectroscopic, DFT and MD Study. Arab. J. Chem. 2020, 13, 632–648. [Google Scholar] [CrossRef]
- Full Article: Synthesis and Evaluation of Antioxidant Activity of New Quinoline-2-Carbaldehyde Hydrazone Derivatives: Bioisosteric Melatonin Analogues. Available online: https://www.tandfonline.com/doi/full/10.3109/14756366.2015.1005012 (accessed on 9 October 2022).
- Abadi, A.H.; Hegazy, G.H.; El-Zaher, A.A. Synthesis of Novel 4-Substituted-7-Trifluoromethylquinoline Derivatives with Nitric Oxide Releasing Properties and Their Evaluation as Analgesic and Anti-Inflammatory Agents. Bioorg. Med. Chem. 2005, 13, 5759–5765. [Google Scholar] [CrossRef]
- Horta, P.; Secrieru, A.; Coninckxa, A.; Cristiano, M.L.S. Quinolones for Applications in Medicinal Chemistry: Synthesis and Structure. Targets Heterocycl. Syst. 2019, 22, 260. [Google Scholar] [CrossRef]
- Shiro, T.; Fukaya, T.; Tobe, M. The Chemistry and Biological Activity of Heterocycle-Fused Quinolinone Derivatives: A Review. Eur. J. Med. Chem. 2015, 97, 397–408. [Google Scholar] [CrossRef]
- Matada, B.S.; Pattanashettar, R.; Yernale, N.G. A Comprehensive Review on the Biological Interest of Quinoline and Its Derivatives. Bioorg. Med. Chem. 2021, 32, 115973. [Google Scholar] [CrossRef]
- El-Desoky, E.I.; El-Sayed, M.A.; Abd-ElGhani, G.E. Synthesis and Antimicrobial Evaluation of Some New Fused Quinolones Heterocyclic Compounds. Int. J. Mod. Org. Chem. 2018, 5, 21–35. [Google Scholar]
- Berger, Markus; Rehwinkel, Hartmut; May, Ekkehard; Schäcke, Heike WO2010009814 5-[(3,3,3-Trifluoro-2-Hydroxy-1-Arylpropyl) Amino]-1-Arylquinoline-2-Ones, Leur Procédé de Production et Leur Utilisation Comme Agents Anti-Inflammatoires. Available online: https://patentscope.wipo.int/search/fr/detail.jsf?docId=WO2010009814 (accessed on 8 September 2022).
- Weiss, M.; Boezio, A.; Boezio, C.; Butler, J.R.; Chu-Moyer, M.Y.; Dimauro, E.F.; Dineen, T.; Graceffa, R.; Guzman-Perez, A.; Huang, H.; et al. Composés De Sulfonamides Bicycliques Utilisés En Tant Qu’inhibiteurs Du Canal Sodique. Patent WO/2014/201206, 18 December 2014. [Google Scholar]
- Chen, M.-H.; Fitzgerald, P.; Singh, S.B.; O’Neill, E.A.; Schwartz, C.D.; Thompson, C.M.; O’Keefe, S.J.; Zaller, D.M.; Doherty, J.B. Synthesis and Biological Activity of Quinolinone and Dihydroquinolinone P38 MAP Kinase Inhibitors. Bioorg. Med. Chem. Lett. 2008, 18, 2222–2226. [Google Scholar] [CrossRef]
- Tang, Q.; Zhai, X.; Tu, Y.; Wang, P.; Wang, L.; Wu, C.; Wang, W.; Xie, H.; Gong, P.; Zheng, P. Synthesis and Antiproliferative Activity of 6,7-Disubstituted-4-Phenoxyquinoline Derivatives Bearing the 2-Oxo-4-Chloro-1,2-Dihydroquinoline-3-Carboxamide Moiety. Bioorg. Med. Chem. Lett. 2016, 26, 1794–1798. [Google Scholar] [CrossRef] [PubMed]
- Luo, L.; Tao, K.; Peng, X.; Hu, C.; Lu, Y.; Wang, H. Synthesis of N-Aryl 2-Quinolinones via Intramolecular C(Sp 2 )–H Amidation of Knoevenagel Products. RSC Adv. 2016, 6, 104463–104466. [Google Scholar] [CrossRef]
- Mederski, W.W.K.R.; Lefort, M.; Germann, M.; Kux, D. N-Aryl Heterocycles via Coupling Reactions with Arylboronic Acids. Tetrahedron 1999, 55, 12757–12770. [Google Scholar] [CrossRef]
- Cui, H.; Peng, X.; Liu, J.; Ma, C.; Ji, Y.; Zhang, W.; Geng, M.; Li, Y. Design, Synthesis and Biological Evaluation of c-Met Kinase Inhibitors Bearing 2-Oxo-1,2-Dihydroquinoline Scaffold. Bioorg. Med. Chem. Lett. 2016, 26, 4483–4486. [Google Scholar] [CrossRef]
- Ikegai, K.; Nagata, Y.; Mukaiyama, T. N-Arylation of Pyridin-2(1H)-Ones with Pentavalent Organobismuth Reagents under Copper-Free Conditions. Bull. Chem. Soc. Jpn. 2006, 79, 761–767. [Google Scholar] [CrossRef]
- Ikegai, K.; Mukaiyama, T. Synthesis of N-Aryl Pyridin-2-Ones via Ligand Coupling Reactions Using Pentavalent Organobismuth Reagents. Chem. Lett. 2005, 34, 1496–1497. [Google Scholar] [CrossRef]
- López-Alvarado, P.; Avendaño, C.; Menéndez, J.C. 1,2-Dihydroquinolin-2-One (Carbostyril) Anions as Bidentate Nucleophiles in Their Reactions with Aryllead Triacetates: Synthesis of 1-Aryl- and 3-Aryl-Tetrahydroquinoline-2,5,8-Triones. J. Chem. Soc. Perkin 1 1997, 3, 229–234. [Google Scholar] [CrossRef]
- Wawzonek, S.; Van Truong, T. Preparation and Proton Spectra of 1-Aryl-1,2-Dihydro-2-Quinolones. J. Heterocycl. Chem. 1988, 25, 381–382. [Google Scholar] [CrossRef]
- Jung, S.-H.; Sung, D.-B.; Park, C.-H.; Kim, W.-S. Copper-Catalyzed N -Arylation of 2-Pyridones Employing Diaryliodonium Salts at Room Temperature. J. Org. Chem. 2016, 81, 7717–7724. [Google Scholar] [CrossRef]
- Lakshmi Narayana Sharma, K.; Suresh Kumar, C.; Kumaraswamy, S.; Krishna Reddy, V.; Kameswara Rao, N.S.; Raghu Babu, K.; Ramakrishna, G. Palladium-Catalyzed Domino Sequence for the Synthesis of N-Aryl Quinolinone-3-Carboxylate Derivatives and Their Anti-Proliferative Activity. Tetrahedron Lett. 2017, 58, 1127–1131. [Google Scholar] [CrossRef]
- Liu, J.; Ba, D.; Lv, W.; Chen, Y.; Zhao, Z.; Cheng, G. Base-Promoted Michael Addition/Smiles Rearrangement/ N -Arylation Cascade: One-Step Synthesis of 1,2,3-Trisubstituted 4-Quinolones from Ynones and Sulfonamides. Adv. Synth. Catal. 2020, 362, 213–223. [Google Scholar] [CrossRef]
- Mandewale, M.C.; Kokate, S.; Thorat, B.; Sawant, S.; Yamgar, R. Zinc Complexes of Hydrazone Derivatives Bearing 3,4-Dihydroquinolin-2(1H)-One Nucleus as New Anti-Tubercular Agents. Arab. J. Chem. 2019, 12, 4479–4489. [Google Scholar] [CrossRef]
- Bazine, I.; Cheraiet, Z.; Bensegueni, R.; Bensouici, C.; Boukhari, A. Synthesis, Antioxidant and Anticholinesterase Activities of Novel Quinoline-Aminophosphonate Derivatives. J. Heterocycl. Chem. 2020, 57, 2139–2149. [Google Scholar] [CrossRef]
- Raja, D.S.; Bhuvanesh, N.S.P.; Natarajan, K. A Novel Water Soluble Ligand Bridged Cobalt(II) Coordination Polymer of 2-Oxo-1,2-Dihydroquinoline-3-Carbaldehyde (Isonicotinic) Hydrazone: Evaluation of the DNA Binding, Protein Interaction, Radical Scavenging and Anticancer Activity. Dalton Trans. 2012, 41, 4365–4377. [Google Scholar] [CrossRef] [PubMed]
- Radini, I.A.M.; Elsheikh, T.M.Y.; El-Telbani, E.M.; Khidre, R.E. New Potential Antimalarial Agents: Design, Synthesis and Biological Evaluation of Some Novel Quinoline Derivatives as Antimalarial Agents. Molecules 2016, 21, 909. [Google Scholar] [CrossRef]
- Ghareeb, E.A.; Mahmoud, N.F.H.; El-Bordany, E.A.; El-Helw, E.A.E. Synthesis, DFT, and Eco-Friendly Insecticidal Activity of Some N-Heterocycles Derived from 4-((2-Oxo-1,2-Dihydroquinolin-3-Yl)Methylene)-2-Phenyloxazol-5(4H)-One. Bioorganic Chem. 2021, 112, 104945. [Google Scholar] [CrossRef]
- Govender, H.; Mocktar, C.; Kumalo, H.M.; Koorbanally, N.A. Synthesis, Antibacterial Activity and Docking Studies of Substituted Quinolone Thiosemicarbazones. Phosphorus Sulfur Silicon Relat. Elem. 2019, 194, 1074–1081. [Google Scholar] [CrossRef]
- Conn, P.J.; Lindsley, C.W.; Hopkins, C.R.; Chauder, B.A.; Gogliotti, R.D.; Wood, M.R. Analogues de 1H-pyrrolo[3,2-c]quinoléine-4(5h)-one substitués utilisés comme modulateurs allostériques positifs du récepteur muscarinique à l’acétylcholine m4. Patent WO2012154731A1, 15 November 2012. [Google Scholar]
- Kolińska, J.; Grzelakowska, A.; Sokołowska, J. Dyes Based on the 2(1H)-quinolone Skeleton as Potential Colorimetric and Fluorescent Sensors for Cyanide Anions. Color. Technol. 2019, 135, 501–509. [Google Scholar] [CrossRef]
- Senthil Raja, D.; Ramachandran, E.; Bhuvanesh, N.S.P.; Natarajan, K. Synthesis, Structure and in Vitro Pharmacological Evaluation of a Novel 2-Oxo-1,2-Dihydroquinoline-3-Carbaldehyde (2′-Methylbenzoyl) Hydrazone Bridged Copper(II) Coordination Polymer. Eur. J. Med. Chem. 2013, 64, 148–159. [Google Scholar] [CrossRef]
- Sumana, T. Pushpa Iyengar Synthesis, Characterization And Antimicrobial Activity of Pharmaceutically Important 1,2-Dihydroquinoline Derivatives. J. Appl. Chem. 2015, 2, 2348–7968. [Google Scholar]
- SG52698—Benzoxazinones as Inhibitors of Hiv Reverse Transcriptase. Available online: https://patentscope.wipo.int/search/es/detail.jsf;jsessionid=7EA5F5D6EC4F4826BA1851ACA754AC31.wapp1nB?docId=SG1305690&_cid=P11-JYJURC-31566-35 (accessed on 8 September 2022).
- Abass, M.; Mostafa, B.B. Synthesis and Evaluation of Molluscicidal and Larvicidal Activities of Some Novel Enaminones Derived from 4-Hydroxyquinolinones: Part IX. Bioorg. Med. Chem. 2005, 13, 6133–6144. [Google Scholar] [CrossRef] [PubMed]
- Meth-Cohn, O.; Narine, B.; Tarnowski, B. A Versatile New Synthesis of Quinolines and Related Fused Pyridines, Part 5. The Synthesis of 2-Chloroquinoline-3-Carbaldehydes. J. Chem. Soc. Perkin 1 1981, 1520–1530. [Google Scholar] [CrossRef]
- Lam, P.Y.S. Chan–Lam Coupling Reaction: Copper-Promoted C–Element Bond Oxidative Coupling Reaction with Boronic Acids. Synth. Methods Drug Discov. 2016, 1, 242–273. [Google Scholar] [CrossRef]
- Janíková, K.; Jedinák, L.; Volná, T.; Cankař, P. Chan-Lam Cross-Coupling Reaction Based on the Cu2S/TMEDA System. Tetrahedron 2018, 74, 606–617. [Google Scholar] [CrossRef]
- Barraza, S.J.; Delekta, P.C.; Sindac, J.A.; Dobry, C.J.; Xiang, J.; Keep, R.F.; Miller, D.J.; Larsen, S.D. Discovery of Anthranilamides as a Novel Class of Inhibitors of Neurotropic Alphavirus Replication. Bioorg. Med. Chem. 2015, 23, 1569–1587. [Google Scholar] [CrossRef]
- West, M.J.; Fyfe, J.W.B.; Vantourout, J.C.; Watson, A.J.B. Mechanistic Development and Recent Applications of the Chan–Lam Amination. Chem. Rev. 2019, 119, 12491–12523. [Google Scholar] [CrossRef]
- Kumar, K.A.; Kannaboina, P.; Jaladanki, C.K.; Bharatam, P.V.; Das, P. Copper-Catalyzed N -Arylation of Tautomerizable Heterocycles with Boronic Acids and Its Application to Synthesis of Oxygenated Carbazoles. ChemistrySelect 2016, 1, 601–607. [Google Scholar] [CrossRef]
- Li, X.-H.; Ye, A.-H.; Liang, C.; Mo, D.-L. Substituent Effects of 2-Pyridones on Selective O-Arylation with Diaryliodonium Salts: Synthesis of 2-Aryloxypyridines under Transition -Metal-Free Conditions. Synthesis 2018, 50, 1699–1710. [Google Scholar] [CrossRef]
- Adamczyk-Woźniak, A.; Sporzyński, A. The Influence of Ortho-Substituents on the Properties of Phenylboronic Acids. J. Organomet. Chem. 2020, 913, 121202. [Google Scholar] [CrossRef]
- Munir, I.; Zahoor, A.F.; Rasool, N.; Naqvi, S.A.R.; Zia, K.M.; Ahmad, R. Synthetic Applications and Methodology Development of Chan–Lam Coupling: A Review. Mol. Divers. 2019, 23, 215–259. [Google Scholar] [CrossRef]
- Kurnia, K.A.; Setyaningsih, W.; Darmawan, N.; Yuliarto, B. A Comprehensive Study on the Impact of the Substituent on PKa of Phenylboronic Acid in Aqueous and Non-Aqueous Solutions: A Computational Approach. J. Mol. Liq. 2021, 326, 115321. [Google Scholar] [CrossRef]
- Wang, Y.; Zhu, S.; Zou, L.-H. Recent Advances in Direct Functionalization of Quinones: Recent Advances in Direct Functionalization of Quinones. Eur. J. Org. Chem. 2019, 2019, 2179–2201. [Google Scholar] [CrossRef]
- Zhang, R.; Luo, S. Bio-Inspired Quinone Catalysis. Chin. Chem. Lett. 2018, 29, 1193–1200. [Google Scholar] [CrossRef]
- Titi, A.; Al-Noaimi, M.; Kaddouri, Y.; El Ati, R.; Yousfi, E.B.; El Kodadi, M.; Touzani, R. Study of the Catecholase Catalytic Properties of Copper (II) Complexes Prepared in-Situ with Monodentate Ligands. Mater. Today Proc. 2019, 13, 1134–1142. [Google Scholar] [CrossRef]
- Cox, P.A.; Leach, A.G.; Campbell, A.D.; Lloyd-Jones, G.C. Protodeboronation of Heteroaromatic, Vinyl, and Cyclopropyl Boronic Acids: PH–Rate Profiles, Autocatalysis, and Disproportionation. J. Am. Chem. Soc. 2016, 138, 9145–9157. [Google Scholar] [CrossRef]
- Gozdalik, J.T.; Adamczyk-Woźniak, A.; Sporzyński, A. Influence of Fluorine Substituents on the Properties of Phenylboronic Compounds. Pure Appl. Chem. 2018, 90, 677–702. [Google Scholar] [CrossRef]
- Hönel, M.; Vierhapper, F.W. Selectivity of Hydrogenations. Part 4 6- and 8-Substituted Quinaldines Yield of Tetrahydroderivatives and Basicities of Quinolines. Monatshefte Für Chem. Chem. Mon. 1984, 115, 1219–1228. [Google Scholar] [CrossRef]
- Hosmane, R.S.; Liebman, J.F. Paradoxes and Paradigms: Why Is Quinoline Less Basic than Pyridine or Isoquinoline? A Classical Organic Chemical Perspective. Struct. Chem. 2009, 20, 693–697. [Google Scholar] [CrossRef]
- Augustine, J.; Bombrun, A.; Atta, R. A Practical and Cost-Efficient, One-Pot Conversion of Aldehydes into Nitriles Mediated by ‘Activated DMSO’. Synlett 2011, 2011, 2223–2227. [Google Scholar] [CrossRef]
- Laali, K.K.; Insuasty, D.; Abonia, R.; Insuasty, B.; Bunge, S.D. Novel Quinoline–Imidazolium Adducts via the Reaction of 2-Oxoquinoline-3-Carbaldehyde and Quinoline-3-Carbaldehydes with 1-Butyl-3-Methylimidazolium Chloride [BMIM][Cl]. Tetrahedron Lett. 2014, 55, 4395–4399. [Google Scholar] [CrossRef]
- Vettorazzi, M.; Insuasty, D.; Lima, S.; Gutiérrez, L.; Nogueras, M.; Marchal, A.; Abonia, R.; Andújar, S.; Spiegel, S.; Cobo, J.; et al. Design of New Quinolin-2-One-Pyrimidine Hybrids as Sphingosine Kinases Inhibitors. Bioorganic Chem. 2020, 94, 103414. [Google Scholar] [CrossRef] [PubMed]
- Abdel-Magid, A.F.; Carson, K.G.; Harris, B.D.; Maryanoff, C.A.; Shah, R.D. Reductive Amination of Aldehydes and Ketones with Sodium Triacetoxyborohydride. Studies on Direct and Indirect Reductive Amination Procedures 1. J. Org. Chem. 1996, 61, 3849–3862. [Google Scholar] [CrossRef] [PubMed]
- Mazhar, S.; Ahmad, Z.; Akhtar, T. Optical and Thermal Studies of Modified Terephthaldehyde–Acetone Polymer. Polym. Polym. Compos. 2020, 28, 572–578. [Google Scholar] [CrossRef]
- Abdou, W.M.; Khidre, R.E.; Kamel, A.A. Elaborating on Efficient Anti-Proliferation Agents of Cancer Cells and Anti-Inflammatory-Based N-Bisphosphonic Acids. Arch. Pharm. 2012, 345, 123–136. [Google Scholar] [CrossRef]
- Abonia, R.; Insuasty, D.; Castillo, J.; Insuasty, B.; Quiroga, J.; Nogueras, M.; Cobo, J. Synthesis of Novel Quinoline-2-One Based Chalcones of Potential Anti-Tumor Activity. Eur. J. Med. Chem. 2012, 57, 29–40. [Google Scholar] [CrossRef]
Publisher’s Note: MDPI stays neutral with regard to jurisdictional claims in published maps and institutional affiliations. |
© 2022 by the authors. Licensee MDPI, Basel, Switzerland. This article is an open access article distributed under the terms and conditions of the Creative Commons Attribution (CC BY) license (https://creativecommons.org/licenses/by/4.0/).








