A DFT Study of the Reaction of Acrylamide with L-Cysteine and L-Glutathione
Abstract
1. Introduction
2. Results and Discussion
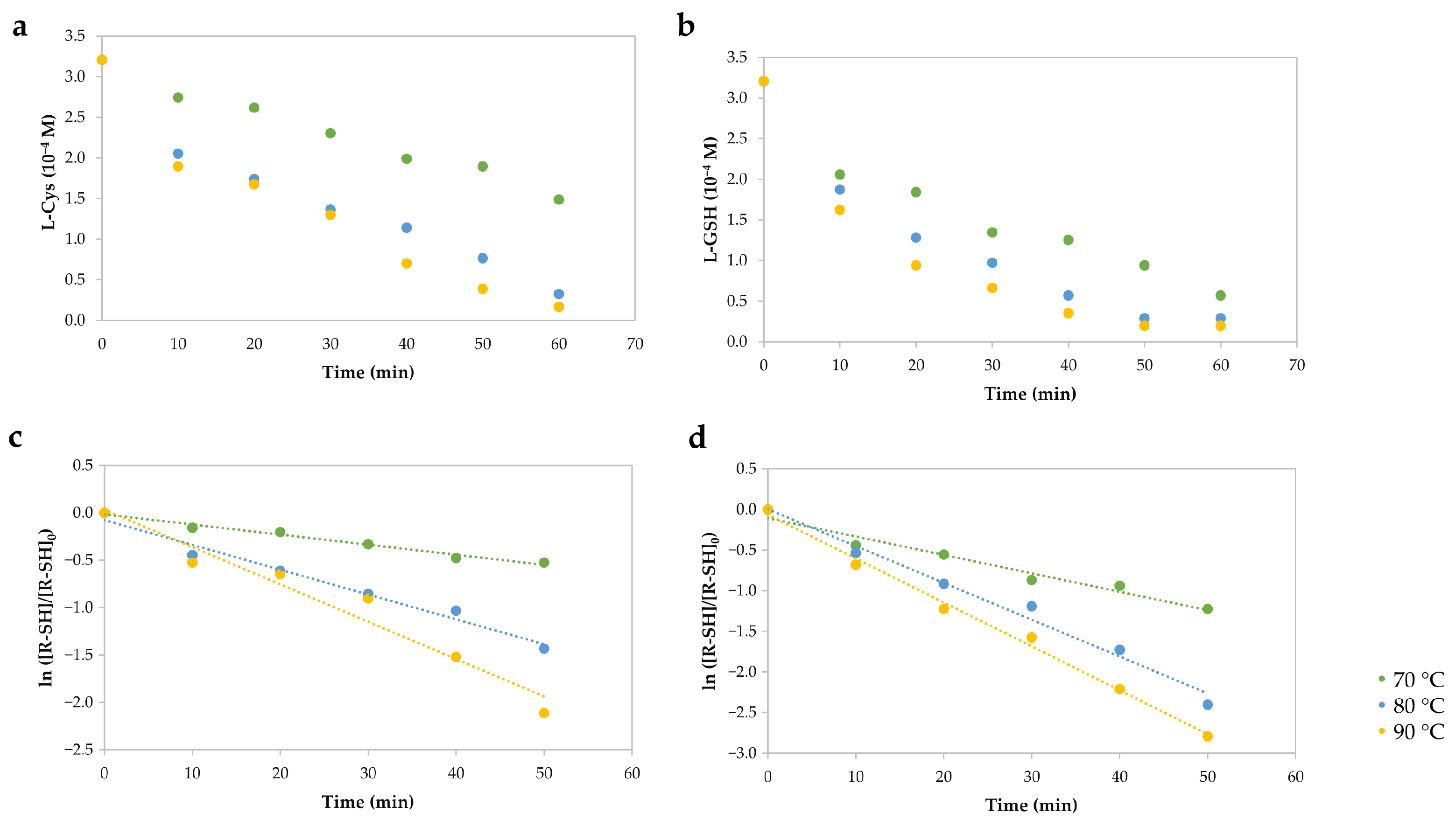
2.1. Kinetic Evaluation
2.2. Reactivity Analysis
2.3. Proposed Mechanism
3. Materials and Methods
3.1. Reagents
3.2. Kinetic Evaluation
3.3. DFT Studies
4. Conclusions
Author Contributions
Funding
Institutional Review Board Statement
Informed Consent Statement
Data Availability Statement
Acknowledgments
Conflicts of Interest
Abbreviations
| ACR | Acrylamide |
| DFT | Density functional theory |
| L-Cys | L-cysteine |
| L-GSH | L-glutathione |
| R-SH | Thiol compounds |
References
- Koszucka, A.; Nowak, A. Thermal processing food-related toxicants: A review. Crit. Rev. Food Sci. 2018, 59, 3579–3596. [Google Scholar] [CrossRef]
- Maan, A.A.; Anjum, M.A.; Khan, M.K.I.; Nazir, A.; Saeed, F.; Afzaal, M.; Aadil, R.M. Acrylamide Formation and Different Mitigation Strategies during Food Processing—A Review. Food Rev. Int. 2020, 38, 70–87. [Google Scholar] [CrossRef]
- Ou, J.; Zheng, J.; Huang, J.; Ho, C.T.; Ou, S. Interaction of Acrylamide, Acrolein, and 5-Hydroxymethylfurfural with Amino Acids and DNA. J. Agric. Food Chem. 2020, 68, 5039–5048. [Google Scholar] [CrossRef]
- European Commission, D.G.F.H.; Safety, F. Commission Regulation (EU) 2017/2158. 2017. Available online: https://eur-lex.europa.eu/legal-content/EN/ALL/?uri=celex:32017R2158 (accessed on 4 May 2022).
- Rong, Y.; Ali, S.; Ouyang, Q.; Wang, L.; Wang, B.; Chen, Q. A turn-on upconversion fluorescence sensor for acrylamide in potato chips based on fluorescence resonance energy transfer and thiol-ene Michael addition. Food Chem. 2021, 351, 129215. [Google Scholar] [CrossRef]
- Nair, D.P.; Podgórski, M.; Chatani, S.; Gong, T.; Xi, W.; Fenoli, C.R.; Bowman, C.N. The Thiol-Michael Addition Click Reaction: A Powerful and Widely Used Tool in Materials Chemistry. Chem. Mater. 2013, 26, 724–744. [Google Scholar] [CrossRef]
- Zhu, Y.; Luo, Y.; Sun, G.; Wang, P.; Hu, X.; Chen, F. Role of glutathione on acrylamide inhibition: Transformation products and mechanism. Food Chem. 2020, 326, 126982. [Google Scholar] [CrossRef]
- Zhu, Y.; Luo, Y.; Sun, G.; Wang, P.; Hu, X.; Chen, F. Inhibition of acrylamide by glutathione in asparagine/glucose model systems and cookies. Food Chem. 2020, 329, 127171. [Google Scholar] [CrossRef]
- Li, G.Z.; Randev, R.K.; Soeriyadi, A.H.; Rees, G.; Boyer, C.; Tong, Z.; Davis, T.P.; Becer, C.R.; Haddleton, D.M. Investigation into thiol-(meth)acrylate Michael addition reactions using amine and phosphine catalysts. Polym. Chem. 2010, 1, 1196. [Google Scholar] [CrossRef]
- Bent, G.A.; Maragh, P.; Dasgupta, T.; Fairman, R.A.; Grierson, L. Kinetic and density functional theory (DFT) studies of in vitro reactions of acrylamide with the thiols: Captopril, L-cysteine, and glutathione. Toxicol. Res. 2015, 4, 121–131. [Google Scholar] [CrossRef]
- Tong, G.C.; Cornwell, W.K.; Means, G.E. Reactions of acrylamide with glutathione and serum albumin. Toxicol. Lett. 2004, 147, 127–131. [Google Scholar] [CrossRef]
- Pearson, R.G. Chemical hardness and density functional theory. J. Chem. Sci. 2005, 117, 369–377. [Google Scholar] [CrossRef]
- Augustine, D.A.; Bent, G.A.; Nelson, P.N. Mechanistic evidence for the effect of sulphur-based additive: Methionine, on acrylamide reduction. Food Addit. Contam. Part A 2021, 38, 1324–1331. [Google Scholar] [CrossRef]
- Frisch, M.J.; Trucks, G.W.; Schlegel, H.B.; Scuseria, G.E.; Robb, M.A.; Cheeseman, J.R.; Scalmani, G.; Barone, V.; Petersson, G.A.; Nakatsuji, H.; et al. Gaussian 16 Revision C.01; Gaussian Inc.: Wallingford, CT, USA, 2016. [Google Scholar]
- Chai, J.D.; Head-Gordon, M. Long-range corrected hybrid density functionals with damped atom–atom dispersion corrections. Phys. Chem. Chem. Phys. 2008, 10, 6615. [Google Scholar] [CrossRef]
- Perdew, J.P.; Burke, K.; Ernzerhof, M. Generalized Gradient Approximation Made Simple. Phys. Rev. Lett. 1997, 78, 1396. [Google Scholar] [CrossRef]
- Francl, M.M.; Pietro, W.J.; Hehre, W.J.; Binkley, J.S.; Gordon, M.S.; DeFrees, D.J.; Pople, J.A. Self-consistent molecular orbital methods. XXIII. A polarization-type basis set for second-row elements. J. Chem. Phys. 1982, 77, 3654–3665. [Google Scholar] [CrossRef]
- Krishnan, R.; Binkley, J.S.; Seeger, R.; Pople, J.A. Self-consistent molecular orbital methods. XX. A basis set for correlated wave functions. J. Chem. Phys. 1980, 72, 650–654. [Google Scholar] [CrossRef]
- McLean, A.D.; Chandler, G.S. Contracted Gaussian basis sets for molecular calculations. I. Second row atoms, Z=11–18. J. Chem. Phys. 1980, 72, 5639–5648. [Google Scholar] [CrossRef]
- Spitznagel, G.W.; Clark, T.; von Ragué Schleyer, P.; Hehre, W.J. An evaluation of the performance of diffuse function-augmented basis sets for second row elements, Na-Cl. J. Comput. Chem. 1987, 8, 1109–1116. [Google Scholar] [CrossRef]
- Marenich, A.V.; Cramer, C.J.; Truhlar, D.G. Universal Solvation Model Based on Solute Electron Density and on a Continuum Model of the Solvent Defined by the Bulk Dielectric Constant and Atomic Surface Tensions. J. Phys. Chem. B 2009, 113, 6378–6396. [Google Scholar] [CrossRef]
- Perdew, J.P.; Parr, R.G.; Levy, M.; Balduz, J.L. Density-Functional Theory for Fractional Particle Number: Derivative Discontinuities of the Energy. Phys. Rev. Lett. 1982, 49, 1691–1694. [Google Scholar] [CrossRef]
- Domingo, L.; Ríos-Gutiérrez, M.; Pérez, P. Applications of the Conceptual Density Functional Theory Indices to Organic Chemistry Reactivity. Molecules 2016, 21, 748. [Google Scholar] [CrossRef] [PubMed]





| Temperature (ºC) | L-Cys | L-GSH |
|---|---|---|
| 70 | ||
| 80 | ||
| 90 |
| Compound | I | A | ||
|---|---|---|---|---|
| ACR | 9.9 | 5.3 | ||
| L-GSH | 9.2 | 5.0 | ||
| L-Cys | 9.4 | 5.4 |
| TS | Thiols | Method | |||
|---|---|---|---|---|---|
| R | L-Cys | wB97XD | 75.3 | 72.0 | 75.0 |
| Ion | L-Cys | wB97XD | 351.4 | 347.4 | 351.2 |
| R | L-Cys | PBE (SMD) | 70.0 | 67.1 | 72.5 |
| Ion | L-Cys | PBE (SMD) | 159.1 | 155.4 | 160.0 |
| R-Z | L-Cys | PBE (SMD) | 70.5 | 67.5 | 71.7 |
| Ion-Z | L-Cys | PBE (SMD) | 152.9 | 150.3 | 155.9 |
| R | L-GSH | wB97XD | |||
| Ion | L-GSH | wB97XD | |||
| R | L-GSH | PBE (SMD) | 68.2 | 64.9 | 71.7 |
| Ion | L-GSH | PBE (SMD) | 160.8 | 157.3 | 162.5 |
| R-Z | L-GSH | PBE (SMD) | 68.4 | 65.0 | 70.5 |
| Ion-Z | L-GSH | PBE (SMD) | 160.8 | 157.1 | 161.7 |
Publisher’s Note: MDPI stays neutral with regard to jurisdictional claims in published maps and institutional affiliations. |
© 2022 by the authors. Licensee MDPI, Basel, Switzerland. This article is an open access article distributed under the terms and conditions of the Creative Commons Attribution (CC BY) license (https://creativecommons.org/licenses/by/4.0/).
Share and Cite
Ramirez-Montes, S.; Zárate-Hernández, L.A.; Rodriguez, J.A.; Santos, E.M.; Cruz-Borbolla, J. A DFT Study of the Reaction of Acrylamide with L-Cysteine and L-Glutathione. Molecules 2022, 27, 8220. https://doi.org/10.3390/molecules27238220
Ramirez-Montes S, Zárate-Hernández LA, Rodriguez JA, Santos EM, Cruz-Borbolla J. A DFT Study of the Reaction of Acrylamide with L-Cysteine and L-Glutathione. Molecules. 2022; 27(23):8220. https://doi.org/10.3390/molecules27238220
Chicago/Turabian StyleRamirez-Montes, Sandra, Luis A. Zárate-Hernández, Jose A. Rodriguez, Eva M. Santos, and Julián Cruz-Borbolla. 2022. "A DFT Study of the Reaction of Acrylamide with L-Cysteine and L-Glutathione" Molecules 27, no. 23: 8220. https://doi.org/10.3390/molecules27238220
APA StyleRamirez-Montes, S., Zárate-Hernández, L. A., Rodriguez, J. A., Santos, E. M., & Cruz-Borbolla, J. (2022). A DFT Study of the Reaction of Acrylamide with L-Cysteine and L-Glutathione. Molecules, 27(23), 8220. https://doi.org/10.3390/molecules27238220

