The First Noncovalent-Bonded Supramolecular Frameworks of (Benzylthio)Acetic Acid with Proline Compounds, Isonicotinamide and Tryptamine
Abstract
1. Introduction
2. Results and Discussion
2.1. Crystal Structures Descriptions
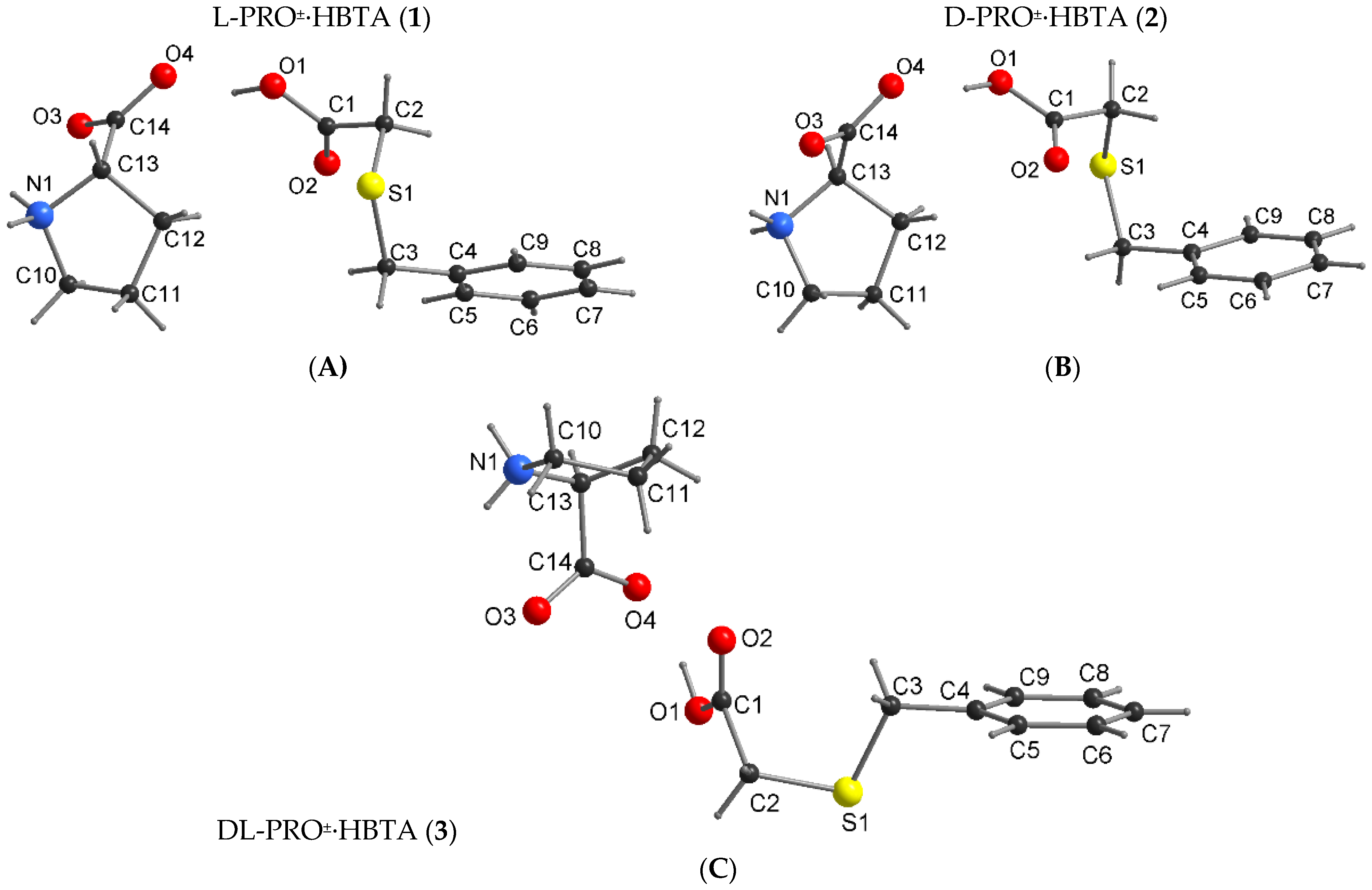
2.1.1. Zwitterionic Co-Crystals from (Benzylthio)Acetic Acid and Proline Compounds (1–3)
2.1.2. True Co-Crystal of (Benzylthio)Acetic Acid and Isonicotinamide (4)
2.1.3. True Salt Formed from (Benzylthio)Acetic Acid and Tryptamine (5)
2.2. FT-IR Spectral Analysis
2.3. Thermal Analysis in Air
3. Materials and Methods
3.1. Materials
3.2. Preparation of the Solid Forms 1–5
3.3. Physical Measurements
3.4. Single-Crystal X-ray Diffraction Study
4. Conclusions
Supplementary Materials
Author Contributions
Funding
Institutional Review Board Statement
Informed Consent Statement
Data Availability Statement
Conflicts of Interest
Sample Availability
References
- Lemmerer, A.; Bernstein, J.; Kahlenberg, V. Hydrogen bonding patterns of the co-crystal containing the pharmaceutically active ingredient isoniazid and terephthalic acid. J. Chem. Crystallogr. 2011, 41, 991–997. [Google Scholar] [CrossRef]
- Desiraju, G.R. Crystal engineering: From molecules to crystal. J. Am. Chem. Soc. 2013, 135, 9952–9967. [Google Scholar] [CrossRef]
- Qiao, N.; Li, M.; Schlindwein, W.; Malek, N.; Davies, A.; Trappitt, G. Pharmaceutical cocrystals: An overview. Int. J. Pharmaceut. 2011, 419, 1–11. [Google Scholar] [CrossRef] [PubMed]
- Wicker, J.G.P.; Crowley, L.M.; Robshaw, O.; Little, E.J.; Stokes, S.P.; Cooper, R.I.; Lawrence, S.E. Will they co-crystallize? Cryst. Growth Des. 2017, 19, 5336–5340. [Google Scholar] [CrossRef]
- Xu, W.; Hu, K.; Lu, Y.; Ye, H.; Jin, S.; Li, M.; Guo, M.; Wang, D. The crystal structures of ten supramolecular salts of benzylamine and organic acids. J. Mol. Struct. 2020, 1219, 128554. [Google Scholar] [CrossRef]
- Steiner, T. The hydrogen bond in the solid state. Angew. Chem. Int. Ed. 2002, 41, 48–76. [Google Scholar] [CrossRef]
- Braga, D.; Brammer, L.; Champness, N.R. New trends in crystal engineering. CrystEngComm. 2005, 7, 1–19. [Google Scholar] [CrossRef]
- Aakeröy, C.B.; Salmon, D.J. Building co-crystals with molecular sense and supramolecular sensibility. CrystEngComm. 2005, 7, 439–448. [Google Scholar] [CrossRef]
- Desiraju, G.R. Supramolecular synthons in crystal engineering- A new organic synthesis. Angew. Chem. Int. Ed.Engl. 1995, 34, 2311–2327. [Google Scholar] [CrossRef]
- Etter, M.C.; McDonald, J.C.; Bernstein, J. Graph-set analysis of hydrogen-bond patterns in organic crystals. Acta Cryst. 1990, B46, 256–262. [Google Scholar] [CrossRef]
- Aitipamula, S.; Banerjee, R.; Bansal, A.K.; Biradha, K.; Cheney, M.L.; Choudhury, A.R.; Desiraju, G.R.; Dikundwar, A.G.; Dubey, R.; Duggirala, N.; et al. Polymorphs, salts, and cocrystals: What’s in a name? Cryst. Growth Des. 2012, 12, 2147–2152. [Google Scholar] [CrossRef]
- Grothe, E.; Meekes, H.; Vlieg, E.; ter Horst, J.H.; de Gelder, R. Solvates, salts, and cocrystals: A proposal for a feasible classification system. Cryst. Growth Des. 2016, 16, 3237–3243. [Google Scholar] [CrossRef]
- Nath, N.K.; Kumar, S.S.; Nagina, A. Neutral and zwitterionic polymorphs of 2-(p-tolylamino)nicotinic acid. Cryst. Growth Des. 2011, 11, 4594–4605. [Google Scholar] [CrossRef]
- Wu, R.; Yu, Y.; Guo, M.; Jin, S.; Wang, D. Eight salts of 4-dimethylaminopyridine and organic acids by H-bonds and somenoncovalent associations. J. Mol. Struct. 2021, 1230, 129850. [Google Scholar] [CrossRef]
- Sienkiewicz-Gromiuk, J.; Tarasiuk, B.; Mazur, L. New organic single crystal of (benzylthio)acetic acid: Synthesis, crystal structure, spectroscopic (ATR-FTIR, 1H and 13C NMR) and thermal characterization. J. Mol. Struct. 2016, 1110, 65–71. [Google Scholar] [CrossRef]
- Sienkiewicz-Gromiuk, J. DFT approach to (benzylthio)acetic acid: Conformational search, molecular (monomer and dimer) structure, vibrational spectroscopy and some electronic properties. Spectrochim. Acta A 2018, 189, 116–128. [Google Scholar] [CrossRef] [PubMed]
- Zhang, F.; Zhang, Y.; Ni, H.; Ma, K.; Li, R. Experimental and DFT studies on the vibrational, electronic spectra and NBO analysis of thiamethoxam. Spectrochim. Acta A 2014, 118, 162–171. [Google Scholar] [CrossRef]
- Elder, R.C.; Kennard, G.J.; Payne, M.D.; Deutsch, E. Synthesis and characterization of bis(ethylenediamine)cobalt(III) complexes containing chelated thioether ligands. Crystal structures of[(en)2Co(S(CH3)CH2CH2NH2)][Fe(CN)6] and [(en)2Co(S(CH2C6H5)CH2COO)](SCN)2. Inorg. Chem. 1978, 17, 1296–1303. [Google Scholar] [CrossRef]
- Chan, W.-H.; Mak, T.C.W.; Smith, G.; O’Reilly, E.J.; Kennard, C.H.L. Metal-(phenylthio)acetic acid interactions—VI. The crystal andmolecular structures of diaquabis[(phenylsulfinyl)acetato[bis(pyridine) copper(II) andbis[(benzylthio)acetato]bis(pyridine)copper(II). Polyhedron 1985, 4, 1443–1448. [Google Scholar]
- Chan, W.-H.; Mak, T.C.W.; Yip, W.-H.; Smith, G.; O’Reilly, E.J.; Kennard, C.H.L. Metal-(phenylthio)alkanoic acid interactions—VII. The crystal and molecular structures of diaquabis[(benzylthio)acetato]-zinc(II),catena-[diaqua-tetra[(benzylthio)acetato]bis[cadmium(II)],catena-tetra-μ-{2-methyl-3-(phenylthio)-propionato-O,O’]-bis[copper(II)]} and tetra-μ-[2-methyl-2-(phenylthio)propionato-O,O’]-bis[ethanolcopper(II)]. Polyhedron 1987, 6, 881–889. [Google Scholar]
- Groom, C.R.; Bruno, I.J.; Lightfoot, M.P.; Ward, S.C. The Cambridge Structural Database. Acta Cryst. 2016, B72, 171–179. [Google Scholar] [CrossRef]
- Bruno, I.J.; Cole, J.C.; Edgington, P.R.; Kessler, M.; Macrae, C.F.; McCabe, P.; Pearson, J.; Taylor, R. New software for searching the Cambridge Structural Database and visualizing crystal structures. Acta Cryst. 2002, B58, 389–397. [Google Scholar] [CrossRef] [PubMed]
- Myung, S.; Pink, M.; Baik, M.-H.; Clemmer, D.E. DL-proline. Acta Cryst. 2005, C61, o506–o508. [Google Scholar] [CrossRef] [PubMed]
- Hayashi, Y.; Matsuzawa, M.; Yamaguchi, J.; Yonehara, S.; Matsumoto, Y.; Shoji, M.; Hashizume, D.; Kosino, H. Large nonlinear effect observed in the enantiomeric excess of proline in solution and that in the solid state. Angew. Chem. Int. Ed. 2006, 45, 4593–4597. [Google Scholar] [CrossRef] [PubMed]
- Seijas, L.E.; Delgado, G.E.; Moraa, A.J.; Fitch, A.N.; Brunelli, M. On the crystal structures and hydrogen bond patterns in proline pseudopolymorphs. Powder Diffr. 2010, 25, 235–240. [Google Scholar] [CrossRef]
- Tumanova, N.; Tumanov, N.; Robeyns, K.; Fischer, F.; Fusaro, L.; Morelle, F.; Ban, V.; Hautier, G.; Filinchuk, Y.; Wouters, J.; et al. Opening Pandora’s Box: Chirality, polymorphism, and stoichiometric diversity influrbiprofen/proline cocrystals. Cryst. Growth Des. 2018, 18, 954–961. [Google Scholar] [CrossRef]
- Koenig, J.J.; Neudörfl, J.-M.; Hansen, A.; Breugst, M. Redetermination of the solvent-free crystal structure of L-proline. Acta Cryst. 2018, E74, 1067–1070. [Google Scholar] [CrossRef]
- Aakeröy, C.B.; Beatty, A.M.; Helfrich, B.A.; Nieuwenhuyzen, M. Do polymorphic compounds make good cocrystallizing agents? A structural case study that demonstrates the importance of synthon flexibility. Cryst. GrowthDes. 2003, 3, 159–165. [Google Scholar] [CrossRef]
- Eccles, K.S.; Deasy, R.E.; Fabian, L.; Braun, D.E.; Maguire, A.R.; Lawrence, S.E. Expanding the crystal landscape of isonicotinamide: Concomitant polymorphism and co-crystallisation. CrystEngComm 2011, 13, 6923–6925. [Google Scholar] [CrossRef]
- Jones, E.C.L.; Bebiano, S.S.; Ward, M.R.; Bimbo, L.M.; Oswald, I.D.H. Pressure-induced superelastic behavior of isonicotinamide. Chem. Commun. 2021, 57, 11827–11830. [Google Scholar] [CrossRef]
- Li, J.; Bourne, S.A.; Caira, M.R. New polymorphs of isonicotinamide and nicotinamide. Chem. Commun. 2011, 47, 1530–1532. [Google Scholar] [CrossRef]
- Vicatos, A.I.; Caira, M.R. A new polymorph of the common conformer isonicotinamide. CrystEngComm 2019, 21, 843–849. [Google Scholar] [CrossRef]
- Nowell, H.; Attfield, J.P.; Cole, J.C. The use of restraints in Rietveld refinement of molecular compounds: A case study using the crystal structure determination of tryptamine free base. Acta Cryst. 2002, B58, 835–840. [Google Scholar] [CrossRef]
- Hernández-Paredes, J.; Olvera-Tapia, A.L.; Arenas-García, J.I.; Höpfl, H.; Morales-Rojas, H.; Herrera-Ruiz, D.; Gonzaga-Morales, A.I.; Rodríguez-Fragoso, L. On molecular complexes derived from amino acids and nicotinamides in combination with boronic acids. CrystEngComm 2015, 17, 5166–5186. [Google Scholar] [CrossRef]
- Wagner, C.C.; Torre, M.H.; Baran, J. Vibrational spectra of Copper(II) Complexes of L-proline. Lat. Am. J. Pharm. 2008, 27, 197–202. [Google Scholar]
- Akalin, E.; Yilmaz, A.; Akyuz, S. Vibrational analysis of isonicotinamide. J. Mol. Struct. 2005, 744–747, 881–886. [Google Scholar] [CrossRef]
- Vijayalakshmi, A.; Vidyavathy, B.; Peramaiyan, G.; Vinitha, G. Synthesis, growth, structural and optical studies of a new organic three dimensional framework: 4-(aminocarbonyl)pyridine 4-(aminocarbonyl)pyridinium hydrogen L-malate. J. Solid State Chem. 2017, 246, 237–244. [Google Scholar] [CrossRef]
- Jha, O.; Yadav, R.A. Structural and vibrational investigations of a neurotransmitter molecule: Serotonin (5-hydroxytryptamine). J. Mol. Struct. 2016, 1123, 92–110. [Google Scholar] [CrossRef]
- Lautié, A.; Lautié, M.F.; Gruger, A.; Fakhri, S.A. Etude par spectrométriei.r. et Raman de l’indole et de l’indolizine. Liaison hydrogène NH⋯π. Spectrochim. Acta A 1980, 36, 85–94. [Google Scholar] [CrossRef]
- Silverstein, R.M.; Webster, F.X.; Kiemle, D. Spectrometric Identification of Organic Compounds, 7th ed.; John Wiley& Sons, Inc.: Hoboken, NJ, USA, 2005; pp. 102–103. [Google Scholar]
- Wang, X.-X.; Zhao, J.-J.; Ren, N.; Shi, S.-K. Crystal structure, thermal decomposition behavior, and fluorescence property of lanthanide complexes with 2,4,6-trimethylbenzoic acid. J. Therm. Anal. Calorim. 2022, 147, 10337–10349. [Google Scholar] [CrossRef]
- CrysAlis PRO; v. 1.171.37.35g; Agilent Technologies Ltd.: Oxford, UK, 2014.
- CrysAlis PRO; v. 1.171.39.46; Rigaku Oxford Diffraction: Oxford, UK, 2018.
- Sheldrick, G.M. A short history of SHELX. Acta Cryst. 2008, A64, 112–122. [Google Scholar] [CrossRef] [PubMed]
- Sheldrick, G.M. Crystal structure refinement with SHELXL. Acta Cryst. 2015, C71, 3–8. [Google Scholar]
- Farrugia, L.J. WinGX and ORTEP for Windows: An update. J. Appl. Cryst. 2012, 45, 849–854. [Google Scholar] [CrossRef]
- Macrae, C.F.; Sovago, I.; Cottrell, S.J.; Galek, P.T.A.; McCabe, P.; Pidcock, E.; Platings, M.; Shields, G.P.; Stevens, J.S.; Towler, M.; et al. Mercury 4.0: From visualization to analysis, design and prediction. J. Appl. Crystallogr. 2020, 53, 226–235. [Google Scholar] [CrossRef]













| Compound | 1 | 2 | 3 | 4 | 5 |
|---|---|---|---|---|---|
| Empirical formula | C14H19NO4S | C14H19NO4S | C14H19NO4S | C15H16N2O3S | C19H22N2O2S |
| Formula weight | 297.36 | 297.36 | 297.36 | 304.36 | 342.44 |
| T [K] | 293 (2) | 293 (2) | 100 (2) | 293 (2) | 120 (2) |
| Crystal system | monoclinic | monoclinic | orthorhombic | triclinic | monoclinic |
| Space group | P21 | P21 | Pna21 | P-1 | P21 |
| a [Å] | 5.8620 (10) | 5.8945 (15) | 30.900 (2) | 5.6240 (6) | 9.8316 (7) |
| b [Å] | 5.4076 (6) | 5.4388 (10) | 8.8317 (6) | 8.4144 (11) | 5.9747 (5) |
| c [Å] | 23.570 (3) | 23.773 (4) | 5.2049 (4) | 16.150 (2) | 15.0339 (11) |
| α [°] | 90.00 | 90.00 | 90.00 | 79.244 (11) | 90.00 |
| β [°] | 93.052 (14) | 93.06 (2) | 90.00 | 86.751 (10) | 92.051 (7) |
| γ [°] | 90.00 | 90.00 | 90.00 | 78.586 (10) | 90.00 |
| V [Å3] | 746.11 (18) | 761.1 (3) | 1420.40 (17) | 735.85 (16) | 882.54 (12) |
| Z | 2 | 2 | 4 | 2 | 2 |
| Dcalc. [g cm−3] | 1.324 | 1.298 | 1.391 | 1.374 | 1.289 |
| µ [mm−1] | 0.229 | 0.225 | 0.241 | 0.231 | 0.197 |
| Crystal size [mm] | 0.3 × 0.3 × 0.05 | 0.2 × 0.2 × 0.2 | 0.3 × 0.2 × 0.05 | 0.3 × 0.2 × 0.03 | 0.3 × 0.05 × 0.05 |
| θ range [°] | 3.462–27.473 | 3.461–27.485 | 2.637–27.469 | 2.568–27.482 | 2.711–27.481 |
| F (000) | 316 | 316 | 632 | 320 | 364 |
| Refl. collected/unique | 5450/3199 | 5684/3307 | 10,126/3172 | 5756/3370 | 6796/3886 |
| Rint | 0.0332 | 0.0283 | 0.0348 | 0.0199 | 0.0282 |
| Observed refl. [I > 2σ (I)] | 2375 | 2880 | 3006 | 2539 | 3605 |
| Completeness to θmax | 0.998 | 0.998 | 0.998 | 0.999 | 0.998 |
| Goodness-of-fit on F2 | 1.078 | 1.079 | 1.066 | 1.019 | 0.992 |
| R1, wR2 [I > 2σ (I)] | 0.0583, 0.1137 | 0.0452, 0.1028 | 0.0331, 0.0752 | 0.0452, 0.1109 | 0.0375, 0.0854 |
| R1, wR2 (all data) | 0.0833, 0.1294 | 0.0532, 0.1107 | 0.0355, 0.0765 | 0.0639, 0.1250 | 0.0423, 0.0897 |
| Largest diff. peak/hole [e Å−3] | 0.248/−0.171 | 0.324/−0.171 | 0.288/−0.188 | 0.275/−0.182 | 0.263/−0.183 |
| CCDC no | 2212737 | 2212738 | 2212739 | 2212740 | 2212741 |
| D–H···A | D–H (Å) | H···A (Å) | D···A (Å) | D–H···A (°) | Symmetry Code for A |
|---|---|---|---|---|---|
| L-PRO±·HBTA (1) | |||||
| O1–H1O1···O4 | 1.01 (6) | 1.67 (6) | 2.634 (4) | 159 (5) | |
| N1–H1N1···O3 | 0.88 (5) | 2.38 (4) | 2.938 (4) | 122 (4) | −x + 2, y + ½, −z + 1 |
| N1–H2N1···O3 | 0.96 (5) | 1.92 (5) | 2.848 (4) | 163 (4) | x, y + 1, z |
| N1–H2N1···O4 | 0.96 (5) | 2.55 (5) | 3.265 (5) | 131 (3) | x, y + 1, z |
| C10–H10A···O1 | 0.97 | 2.59 | 3.431 (5) | 144.6 | x + 1, y, z |
| C11–H11A···S1 | 0.97 | 2.94 | 3.885(4) | 165.3 | x + 1, y, z |
| D-PRO±·HBTA (2) | |||||
| O1–H1O1···O4 | 0.84 (4) | 1.82 (4) | 2.656 (3) | 170 (4) | x + 1, y, z |
| N1–H1N1···O3 | 0.85 (4) | 2.37 (3) | 2.955 (3) | 127 (3) | −x + 1, y − ½, −z + 2 |
| N1–H2N1···O3 | 0.91 (3) | 1.99 (3) | 2.865 (3) | 160 (2) | x, y − 1, z |
| N1–H2N1···O4 | 0.91 (3) | 2.61 (3) | 3.286 (3) | 132 (2) | x, y − 1, z |
| C10–H10B···O1 | 0.97 | 2.63 | 3.459 (4) | 143.9 | |
| C11–H11B···S1 | 0.97 | 2.96 | 3.908 (3) | 165.9 | |
| DL-PRO±·HBTA (3) | |||||
| O1–H1O1···O4 | 0.90 (3) | 1.71 (3) | 2.606 (2) | 169 (3) | |
| N1–H1N1···O3 | 0.84 (3) | 2.18 (3) | 2.632 (3) | 113 (2) | |
| N1–H1N1···O4 | 0.84 (3) | 2.20 (3) | 2.892 (3) | 140 (3) | −x + ½, y − ½, z + ½ |
| N1–H2N1···O3 | 0.91 (3) | 1.84 (3) | 2.748 (3) | 172 (3) | −x + ½, y − ½, z − ½ |
| C10–H10B···O1 | 0.97 | 2.65 | 3.271 (3) | 122.2 | x, y−1, z |
| C11–H11B···O2 | 0.97 | 2.44 | 3.289 (3) | 146.4 | |
| INA·HBTA (4) | |||||
| O1–H1O1···N1 | 0.91(2) | 1.70 (2) | 2.611 (2) | 175 (2) | |
| N2–H1N2···O3 | 0.92(3) | 2.01 (3) | 2.929 (2) | 176 (2) | −x + 3, −y + 4, −z |
| N2–H2N2···O2 | 0.86(2) | 2.12 (2) | 2.965 (2) | 167.6 (18) | x, y + 1, z |
| TPA+·BTA− (5) | |||||
| N1–H1N1···O2 | 0.82(4) | 2.08 (3) | 2.800 (3) | 146 (3) | x, y−1, z |
| N2–H1N2···O1 | 0.91(3) | 2.00 (3) | 2.869 (3) | 159 (2) | |
| N2–H2N2···O1 | 0.96(3) | 1.83 (4) | 2.793 (3) | 175 (3) | −x + 1, y + ½, −z + 2 |
| N2–H3N2···O2 | 0.85(4) | 1.93 (4) | 2.776 (3) | 174 (4) | −x + 1, y − ½, −z + 2 |
| C2–H2B···N1 | 0.97 | 2.61 | 3.537 (4) | 161.1 | |
| C10–H10···O1 | 0.93 | 2.53 | 3.458 (3) | 173.5 | −x + 1, y − ½, −z + 2 |
| C19–H19A···S1 | 0.97 | 3.02 | 3.709 (3) | 129.0 | −x + 1, y + ½, −z + 2 |
Publisher’s Note: MDPI stays neutral with regard to jurisdictional claims in published maps and institutional affiliations. |
© 2022 by the authors. Licensee MDPI, Basel, Switzerland. This article is an open access article distributed under the terms and conditions of the Creative Commons Attribution (CC BY) license (https://creativecommons.org/licenses/by/4.0/).
Share and Cite
Sienkiewicz-Gromiuk, J.; Drzewiecka-Antonik, A. The First Noncovalent-Bonded Supramolecular Frameworks of (Benzylthio)Acetic Acid with Proline Compounds, Isonicotinamide and Tryptamine. Molecules 2022, 27, 8203. https://doi.org/10.3390/molecules27238203
Sienkiewicz-Gromiuk J, Drzewiecka-Antonik A. The First Noncovalent-Bonded Supramolecular Frameworks of (Benzylthio)Acetic Acid with Proline Compounds, Isonicotinamide and Tryptamine. Molecules. 2022; 27(23):8203. https://doi.org/10.3390/molecules27238203
Chicago/Turabian StyleSienkiewicz-Gromiuk, Justyna, and Aleksandra Drzewiecka-Antonik. 2022. "The First Noncovalent-Bonded Supramolecular Frameworks of (Benzylthio)Acetic Acid with Proline Compounds, Isonicotinamide and Tryptamine" Molecules 27, no. 23: 8203. https://doi.org/10.3390/molecules27238203
APA StyleSienkiewicz-Gromiuk, J., & Drzewiecka-Antonik, A. (2022). The First Noncovalent-Bonded Supramolecular Frameworks of (Benzylthio)Acetic Acid with Proline Compounds, Isonicotinamide and Tryptamine. Molecules, 27(23), 8203. https://doi.org/10.3390/molecules27238203

