Electrochemical-Induced Cascade Reaction of 2-Formyl Benzonitrile with Anilines: Synthesis of N-Aryl Isoindolinones
Abstract
1. Introduction
2. Results and Discussion
2.1. Optimization of Reaction Conditions
2.2. Electrochemically Induced Synthesis of 3-N-Aryl Substituted Isoindolinones
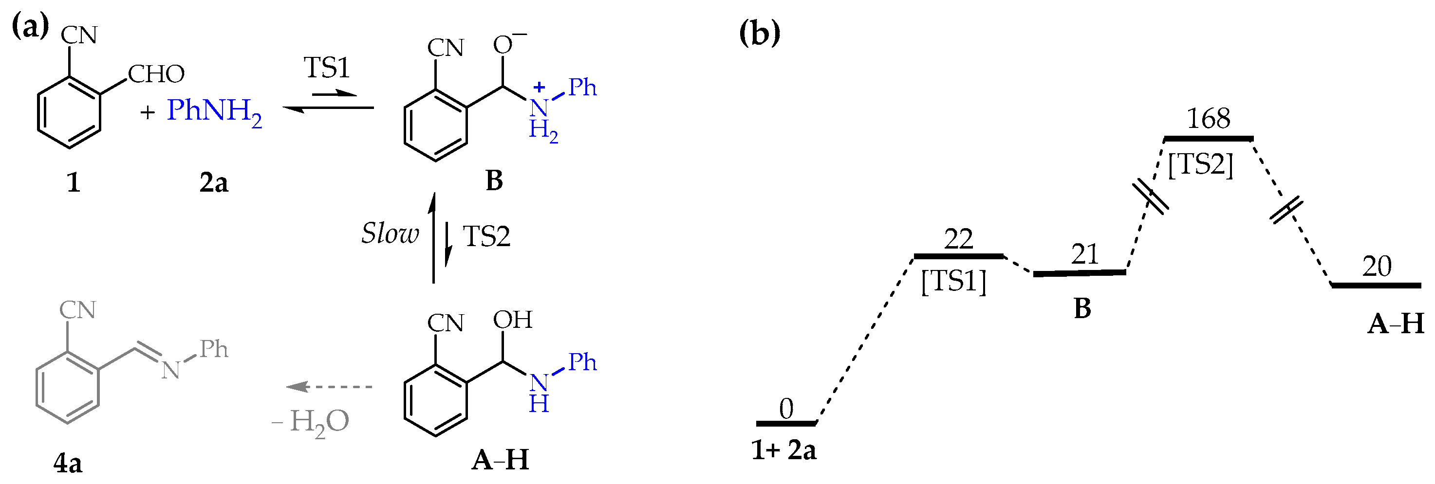
2.3. Quantum-Chemical Calculations and Plausible Mechanism
3. Materials and Methods
3.1. General Information
3.2. Materials
3.3. Procedure for Electrosynthesis of Compounds 3
3.4. Computational Details
4. Conclusions
Supplementary Materials
Author Contributions
Funding
Institutional Review Board Statement
Informed Consent Statement
Data Availability Statement
Acknowledgments
Conflicts of Interest
References
- Kerru, N.; Gummidi, L.; Maddila, S.; Gangu, K.K.; Jonnalagadda, S.B. A Review on Recent Advances in Nitrogen-Containing Molecules and Their Biological Applications. Molecules 2020, 9, 1909. [Google Scholar] [CrossRef] [PubMed]
- Hardcastle, I.R.; Ahmed, S.U.; Atkins, H.; Calvert, A.H.; Curtin, N.J.; Farnie, G.; Golding, B.T.; Griffin, R.J.; Guyenne, S.; Hutton, C.; et al. Isoindolinone-based inhibitors of the MDM2-p53 protein-protein interaction. Bioorg. Med. Chem. Lett. 2005, 15, 1515–1520. [Google Scholar] [CrossRef] [PubMed]
- Riedinger, C.; Endicott, J.A.; Kemp, S.J.; Smyth, L.A.; Watson, A.; Valeur, E.; Golding, B.T.; Griffin, R.J.; Hardcastle, I.R.; Noble, M.E.; et al. Analysis of Chemical Shift Changes Reveals the Binding Modes of Isoindolinone Inhibitors of the MDM2-p53 Interaction. J. Am. Chem. Soc. 2008, 130, 16038–16044. [Google Scholar] [CrossRef] [PubMed]
- Schubert, G.; Rieke-Zapp, J.; Keil, J.; Kleemann, H.W.; Hanna, R.; Huang, B.G.; Wu, X.D.; Gouraud, Y. Process for Preparing (3-Oxo-2,3-dihydro-1H-isoindol-1-yl) Acetylguanidine Derivatives. U.S. Patent US20050124681, 9 June 2005. [Google Scholar]
- Peytam, F.; Adib, M.; Mahernia, S.; Rahmanian-Jazi, M.; Jahani, M.; Masoudi, B.; Mahdavi, M.; Amanlou, M. Isoindolin-1-one derivatives as urease inhibitors: Design, synthesis, biological evaluation, molecular docking and in-silico ADME evaluation. Bioorg. Chem. 2019, 87, 1–11. [Google Scholar] [CrossRef] [PubMed]
- Capobianco, A.; Di Mola, A.; Intinoli, V.; Massa, A.; Roiser, L.; Waser, M.; Palombi, L. Palombi Asymmetric tandem hemiaminal-heterocyclization-aza-Mannich reaction of 2-formylbenzonitriles and amines using chiral phase transfer catalysis: An experimental and theoretical study. RSC Adv. 2016, 6, 31861–31870. [Google Scholar] [CrossRef]
- Serusi, L.; Massa, A.; Tedesco, C.; Capobianco, A.; Palombi, L. The First Highly Enantioselective Synthesis of 3-Sulfinyl-Substituted Isoindolinones Having Adjacent Carbon and Sulfur Stereocenters. J. Org. Chem. 2021, 86, 10630–10639. [Google Scholar] [CrossRef]
- Palombi, L.; Di Mola, A.; Massa, A. Quick and easy access to N-Mannich bases of 1-isoindolinones by catalytic electroactivation of primary and secondary amines and tandem reaction with 2-formyl benzonitriles. New J. Chem. 2015, 39, 81–84. [Google Scholar] [CrossRef]
- Palombi, L.; Vignes, C.; Di Mola, A.; Massa, A. Combined electrochemical/chemical methods for the synthesis and the molecular diversifying of isoindolinone-based heterocyclic scaffolds. Mol. Divers. 2014, 18, 323–333. [Google Scholar] [CrossRef]
- Antico, P.; Capaccio, V.; Di Mola, A.; Massa, A.; Palombi, L. Electrochemically Initiated Tandem and Sequential Conjugate Addition Processes: One-Pot Synthesis of Diverse Functionalized Isoindolinones. Adv. Synth. Catal. 2012, 354, 1717–1724. [Google Scholar] [CrossRef]
- Yu, M.; Gao, Y.; Zhang, L.; Zhang, Y.; Zhang, Y.; Yi, H.; Huang, Z.; Lei, A. Electrochemical-induced benzyl C-H amination towards the synthesis of isoindolinones via aroyloxy radical-mediated C-H activation. Green Chem. 2022, 24, 1445–1450. [Google Scholar] [CrossRef]
- Zou, Z.; Cai, G.; Chen, W.; Zou, C.; Li, Y.; Wu, H.; Chen, L.; Hu, J.; Li, Y.; Huang, Y. Metal-Free Cascade Formation of Intermolecular C–N Bonds Accessing Substituted Isoindolinones under Cathodic Reduction. J. Org. Chem. 2021, 86, 15777–15784. [Google Scholar] [CrossRef]
- Yi, X.; Hu, X. Formal Aza-Wacker Cyclization by Tandem Electrochemical Oxidation and Copper Catalysis. Angew. Chem. Int. Ed. 2021, 58, 4700–4704. [Google Scholar] [CrossRef]
- Folgueiras-Amador, A.A.; Philipps, K.; Guilbaud, S.; Poelakker, J.; Wirth, T. An Easy-to-Machine Electrochemical Flow Microreactor: Efficient Synthesis of Isoindolinone and Flow Functionalization. Angew. Chem. Int. Ed. 2017, 56, 15446–15450. [Google Scholar] [CrossRef]
- Little, R.D. A Perspective on Organic Electrochemistry. J. Org. Chem. 2020, 85, 13375–13390. [Google Scholar] [CrossRef] [PubMed]
- Jiang, Y.; Xu, K.; Zeng, C. Use of Electrochemistry in the Synthesis of Heterocyclic Structures. Chem. Rev. 2018, 118, 4485–4540. [Google Scholar] [CrossRef] [PubMed]
- Yan, M.; Kawamata, Y.; Baran, P.S. Synthetic Organic Electrochemical Methods Since 2000: On the Verge of a Renaissance. Chem. Rev. 2017, 117, 13230–13319. [Google Scholar] [CrossRef]
- Waldvogel, S.R.; Janza, B. Renaissance of Electrosynthetic Methods for the Construction of Complex Molecules. Angew. Chem. Int. Ed. 2014, 53, 7122–7123. [Google Scholar] [CrossRef] [PubMed]
- Brotzel, F.; Chu, Y.C.; Mayr, H. Nucleophilicities of Primary and Secondary Amines in Water. J. Org. Chem. 2007, 72, 3679–3688. [Google Scholar] [CrossRef]
- Appel, R.; Chelli, S.; Tokuyasu, T.; Troshin, K.; Mayr, H.J. Electrophilicities of benzaldehyde-derived iminium ions: Quantification of the electrophilic activation of aldehydes by iminium formation. J. Am. Chem. Soc. 2013, 135, 6579. [Google Scholar] [CrossRef]
- Dirksen, A.; Dirksen, S.; Hackeng, T.M.; Dawson, P.E. Nucleophilic Catalysis of Hydrazone Formation and Transimination: Implications for Dynamic Covalent Chemistry. J. Am. Chem. Soc. 2006, 128, 15602–15603. [Google Scholar] [CrossRef]
- Dirksen, A.; Hackeng, T.M.; Dawson, P.E. Nucleophilic Catalysis of Oxime Ligation. Angew. Chem. Int. Ed. 2006, 45, 7581–7584. [Google Scholar] [CrossRef] [PubMed]
- Ciaccia, M.; Pilati, S.; Cacciapaglia, R.; Mandolini, L.; Di Stefano, S. Effective catalysis of imine metathesis by means of fast transiminations between aromatic–aromatic or aromatic–aliphatic amines. Org. Biomol. Chem. 2014, 12, 3282–3287. [Google Scholar] [CrossRef]
- Formenti, D.; Ferretti, F.; Scharnagl, F.K.; Beller, M. Reduction of Nitro Compounds Using 3d-Non-Noble Metal Catalysts. Chem. Rev. 2019, 119, 2611–2680. [Google Scholar] [CrossRef] [PubMed]
- Palombi, L.; Feroci, M.; Orsini, M.; Inesi, A. Electrochemically-initiated Michael addition of chiral acetoacetic derivatives to methyl vinyl ketone: Stereocontrolled construction of quaternary carbon centers. Tetrahedron Asymmetry 2002, 13, 2311–2316. [Google Scholar] [CrossRef]
- Schmidt, R.R.; Schlipf, E. Synthese und Reaktionen von Pseudoisoindolon-(1)-und 2-Aza-phenalenon-Säureaddukten. Chem. Ber. 1970, 103, 3783–3790. [Google Scholar] [CrossRef]
- Frisch, M.J.; Trucks, G.W.; Schlegel, H.B.; Scuseria, G.E.; Robb, M.A.; Cheeseman, J.R.; Scalmani, G.; Barone, V.; Mennucci, B.; Petersson, G.; et al. Gaussian 09 Revision D.01; Gaussian Inc.: Wallingford, CT, USA, 2009. [Google Scholar]
- Chai, J.D.; Head-Gordon, M. Long-range corrected hybrid density functionals with damped atom-atom dispersion corrections. Phys. Chem. Chem. Phys. 2008, 10, 6615–6620. [Google Scholar] [CrossRef]
- Barone, V.; Cossi, M. Quantum calculation of molecular energies and energy gradients in solution by a conductor solvent model. J. Phys. Chem. A 1998, 102, 1995–2001. [Google Scholar] [CrossRef]
- Caruso, T.; Feroci, M.; Inesi, A.; Orsini, M.; Scettri, A.; Palombi, L. Electrochemically Induced Addition Reactions in the Absence of Solvent and Supporting Electrolyte. Adv. Synth. Catal. 2006, 348, 1942–1947. [Google Scholar] [CrossRef]






![]() | |||||
| Entry | Variations from Standard Conditions | 1 | 2 | 3 | 4 |
|---|---|---|---|---|---|
| %Conv (b) | %Conv (c) | %Yield (d) | %Yield (d) | ||
| 1 | none | >98 | 2a 80 | 3a 91 | 4a - |
| 2 | Undivided cell | >98 | 2a 25 | 3a traces | 4a 25 |
| 3 | No electricity (e) | 57 (f) | 2a 48 | 3a - | 4a 57 (f) |
| 4 | I = 8 mA, CH3CN: 0.6 mL | >98 | 2a 61 | 3a 68 | 4a - |
| 5 | CH3CH2CN instead of CH3CN | >98 | 2a 51 | 3a 22 | 4a 28 |
| 6 | DMF instead of CH3CN | >98 | 2a 74 | 3a 37 | 4a - |
| 7 | MeOH instead of CH3CN | >98 | 2a <2 | 3a - | 4a traces |
| 8 | none | >98 | 2b 70 | 3b 80 | 4b - |
| 9 | Q = 0.06 F/mol | >98 | 2b 61 | 3b 47 | 4b - |
| 10 | Ratio 1:2b = 1.2:1 | >98 | 2b 67 | 3b 61 | 4b - |
| 11 | none | >98 | 2c 62 | 3c 57 | 4c - |
| 12 | CH3CN: 0.8 mL | >98 | 2c 44 | 3c 31 | 4c - |
| 13 | Q = 0.35 F/mol | >98 | 2c >98 | 3c 38 | 4c - |
| 14 | Electrolysis at 0 °C | >98 | 2c 72 | 3c 38 | 4c - |
![]() |
![]() |
Publisher’s Note: MDPI stays neutral with regard to jurisdictional claims in published maps and institutional affiliations. |
© 2022 by the authors. Licensee MDPI, Basel, Switzerland. This article is an open access article distributed under the terms and conditions of the Creative Commons Attribution (CC BY) license (https://creativecommons.org/licenses/by/4.0/).
Share and Cite
Morlacci, V.; Caruso, T.; Chiarini, M.; Arcadi, A.; Aschi, M.; Palombi, L. Electrochemical-Induced Cascade Reaction of 2-Formyl Benzonitrile with Anilines: Synthesis of N-Aryl Isoindolinones. Molecules 2022, 27, 8199. https://doi.org/10.3390/molecules27238199
Morlacci V, Caruso T, Chiarini M, Arcadi A, Aschi M, Palombi L. Electrochemical-Induced Cascade Reaction of 2-Formyl Benzonitrile with Anilines: Synthesis of N-Aryl Isoindolinones. Molecules. 2022; 27(23):8199. https://doi.org/10.3390/molecules27238199
Chicago/Turabian StyleMorlacci, Valerio, Tonino Caruso, Marco Chiarini, Antonio Arcadi, Massimiliano Aschi, and Laura Palombi. 2022. "Electrochemical-Induced Cascade Reaction of 2-Formyl Benzonitrile with Anilines: Synthesis of N-Aryl Isoindolinones" Molecules 27, no. 23: 8199. https://doi.org/10.3390/molecules27238199
APA StyleMorlacci, V., Caruso, T., Chiarini, M., Arcadi, A., Aschi, M., & Palombi, L. (2022). Electrochemical-Induced Cascade Reaction of 2-Formyl Benzonitrile with Anilines: Synthesis of N-Aryl Isoindolinones. Molecules, 27(23), 8199. https://doi.org/10.3390/molecules27238199




