Interactions between Mannosylerythritol Lipid-A and Heat-Induced Soy Glycinin Aggregates: Physical and Chemical Characteristics, Functional Properties, and Structural Effects
Abstract
1. Introduction
2. Results
2.1. Dynamic Surface Tension of 11S-MEL-A Mixtures upon Heating Treatment
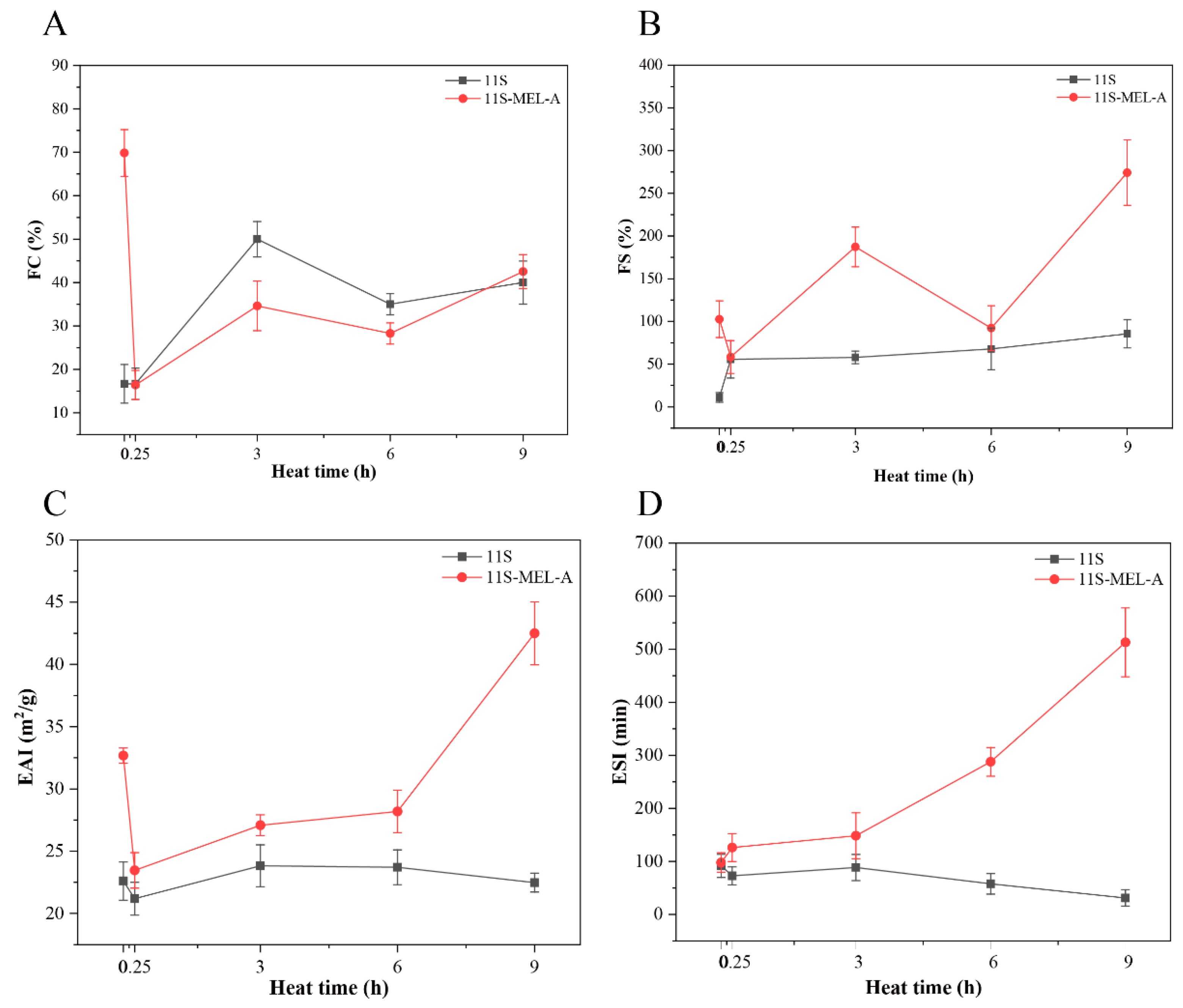
2.2. Foaming and Emulsifying Properties of 11S-MEL-A Mixtures upon Heating Treatment
2.3. The Effects of MEL-A on the Structure of 11S upon Heating
2.4. FTIR Characterization
2.5. Circular Dichroism Spectroscopy Determination
2.6. Fluorescence Quenching of 11S Induced by MEL-A
2.7. Quantitation Measurement of MEL-A and 11S Interaction by ITC
3. Discussion
4. Materials and Methods
4.1. Microorganisms and Chemicals
4.2. Structure Identification
4.3. Interaction between MEL-A and 11S
4.3.1. Infrared Spectroscopy
4.3.2. Circular Dichroism Spectroscopy
4.3.3. Isothermal Titration Calorimetry
4.3.4. Fluorescence Spectroscopy
4.4. Functional Properties
4.4.1. Dynamic Surface Tension
4.4.2. Foaming Properties and Emulsifying Properties
4.5. Statistical Analysis
5. Conclusions
Supplementary Materials
Author Contributions
Funding
Institutional Review Board Statement
Informed Consent Statement
Data Availability Statement
Conflicts of Interest
References
- Brooks, J.R.; Morr, C.V. Current aspects of soy protein fractionation and nomenclature. J. Am. Oil Chem. Soc. 1985, 62, 1347–1354. [Google Scholar] [CrossRef]
- Badley, R.A.; Atkinson, D.; Hauser, H.; Oldani, D.; Green, J.P.; Stubbs, J.M. The structure, physical and chemical properties of the soy bean protein glycinin. Biochim. Biophys. Acta 1975, 412, 214–228. [Google Scholar] [CrossRef]
- Utsumi, S.; Maruyama, N.; Satoh, R.; Adachi, M. Structure-function relationships of soybean proteins revealed by using recombinant systems. Enzyme Microb. Technol. 2002, 30, 284–288. [Google Scholar] [CrossRef]
- Yuan, D.B.; Yang, X.Q.; Tang, C.H.; Zheng, Z.X.; Wei, M.; Ahmad, I.; Yin, S.W. Physicochemical and functional properties of acidic and basic polypeptides of soy glycinin. Food Res. Int. 2009, 42, 700–706. [Google Scholar] [CrossRef]
- Jenkins, D.J.; Mirrahimi, A.; Srichaikul, K.; Berryman, C.E.; Wang, L.; Carleton, A.; Abdulnour, S.; Sievenpiper, J.L.; Kendall, C.W.; Kris-Etherton, P.M. Soy protein reduces serum cholesterol by both intrinsic and food displacement mechanisms. J. Nutr. 2010, 140, 2302S–2311S. [Google Scholar] [CrossRef]
- Nachvak, S.M.; Moradi, S.; Anjom-shoae, J.; Rahmani, J.; Nasiri, M.; Maleki, V.; Sadeghi, O. Soy, soy isoflavones, and protein intake in relation to mortality from all causes, cancers, and cardiovascular diseases: A systematic review and dose-response meta-analysis of prospective cohort studies. J. Acad. Nutr. Diet. 2019, 119, 1483–1500. [Google Scholar] [CrossRef]
- Kilian, J.; Aparecida Fernandes, I.; Luize Lupatini Menegotto, A.; Steffens, C.; Abirached, C.; Steffens, J.; Valduga, E. Interfacial and emulsifying properties of whey protein concentrate by ultrafiltration. Food Sci. Technol. Int. 2020, 26, 657–665. [Google Scholar] [CrossRef]
- Freer, E.M.; Yim, K.S.; Fuller, G.G.; Radke, C.J. Interfacial rheology of globular and flexible proteins at the hexadecane/water interface: Comparison of shear and dilatation deformation. J. Phys. Chem. B 2004, 108, 3835–3844. [Google Scholar] [CrossRef]
- Martin, A.H.; Bos, M.A.; van Vliet, T. Interfacial rheological properties and conformational aspects of soy glycinin at the air/water interface. Food Hydrocoll. 2002, 16, 63–71. [Google Scholar] [CrossRef]
- Bertsch, P.; Thoma, A.; Bergfreund, J.; Geue, T.; Fischer, P. Transient measurement and structure analysis of protein-polysaccharide multilayers at fluid interfaces. Soft Matter 2019, 15, 6362–6368. [Google Scholar] [CrossRef]
- Lam, R.S.H.; Nickerson, M.T. Food proteins: A review on their emulsifying properties using a structure-function approach. Food Chem. 2013, 141, 975–984. [Google Scholar] [CrossRef] [PubMed]
- Sun, W.W.; Yu, S.J.; Zeng, X.A.; Yang, X.Q.; Jia, X. Properties of whey protein isolate-dextran conjugate prepared using pulsed electric field. Food Res. Int. 2011, 44, 1052–1058. [Google Scholar] [CrossRef]
- Artiga-Artigas, M.; Reichert, C.; Salvia-Trujillo, L.; Zeeb, B.; Martin-Belloso, O.; Weiss, J. Protein/Polysaccharide complexes to stabilize decane-in-water nanoemulsions. Food Biophys. 2020, 15, 335–345. [Google Scholar] [CrossRef]
- Jahan, R.; Bodratti, A.M.; Tsianou, M.; Alexandridis, P. Biosurfactants, natural alternatives to synthetic surfactants: Physicochemical properties and applications. Adv. Colloid Interface Sci. 2020, 275, 102061. [Google Scholar] [CrossRef]
- Imura, T.; Yanagishita, H.; Ohira, J.; Sakai, H.; Abe, M.; Kitamoto, D. Thermodynamically stable vesicle formation from glycolipid biosurfactant sponge phase. Colloid Surf. B-Biointerfaces 2005, 43, 115–121. [Google Scholar] [CrossRef]
- Kotsmar, C.; Pradines, V.; Alahverdjieva, V.S.; Aksenenko, E.V.; Fainerman, V.B.; Kovalchuk, V.I.; Kragel, J.; Leser, M.E.; Noskov, B.A.; Miller, R. Thermodynamics, adsorption kinetics and rheology of mixed protein-surfactant interfacial layers. Adv. Colloid Interface Sci. 2009, 150, 41–54. [Google Scholar] [CrossRef]
- Maldonado-Valderrama, J.; Patino, J.M.R. Interfacial rheology of protein-surfactant mixtures. Curr. Opin. Colloid Interface Sci. 2010, 15, 271–282. [Google Scholar] [CrossRef]
- McClements, D.J.; Jafari, S.M. Improving emulsion formation, stability and performance using mixed emulsifiers: A review. Adv. Colloid Interface Sci. 2018, 251, 55–79. [Google Scholar] [CrossRef]
- Hering, I.; Eilebrecht, E.; Parnham, M.J.; Gunday-Tureli, N.; Tureli, A.E.; Weiler, M.; Schafers, C.; Fenske, M.; Wacker, M.G. Evaluation of potential environmental toxicity of polymeric nanomaterials and surfactants. Environ. Toxicol. Pharmacol. 2020, 76, 103353. [Google Scholar] [CrossRef]
- Lewis, M.A. Chronic and sublethal toxicities of surfactants to aquatic animals—A review and risk assessment. Water Res. 1991, 25, 101–113. [Google Scholar] [CrossRef]
- Makkar, R.S.; Cameotra, S.S.; Banat, I.M. Advances in utilization of renewable substrates for biosurfactant production. AMB Express 2011, 1, 1–19. [Google Scholar] [CrossRef] [PubMed]
- Banat, I.M.; Franzetti, A.; Gandolfi, I.; Bestetti, G.; Martinotti, M.G.; Fracchia, L.; Smyth, T.J.; Marchant, R. Microbial biosurfactants production, applications and future potential. Appl. Microbiol. Biotechnol. 2010, 87, 427–444. [Google Scholar] [CrossRef] [PubMed]
- Santos, D.K.F.; Meira, H.M.; Rufino, R.D.; Luna, J.M.; Sarubbo, L.A. Biosurfactant production from Candida lipolytica in bioreactor and evaluation of its toxicity for application as a bioremediation agent. Process Biochem. 2017, 54, 20–27. [Google Scholar] [CrossRef]
- Banat, I.M.; Satpute, S.K.; Cameotra, S.S.; Patil, R.; Nyayanit, N.V. Cost effective technologies and renewable substrates for biosurfactants’ production. Front. Microbiol. 2014, 5, 697. [Google Scholar] [CrossRef] [PubMed]
- Jezierska, S.; Claus, S.; Van Bogaert, I. Yeast glycolipid biosurfactants. FEBS Lett. 2018, 592, 1312–1329. [Google Scholar] [CrossRef]
- Shu, Q.; Wei, T.Y.; Lu, H.Y.; Niu, Y.W.; Chen, Q.H. Mannosylerythritol lipids: Dual inhibitory modes against Staphylococcus aureus through membrane-mediated apoptosis and biofilm disruption. Appl. Microbiol. Biotechnol. 2020, 104, 5053–5064. [Google Scholar] [CrossRef]
- Wu, J.N.; Shu, Q.; Niu, Y.W.; Jiao, Y.C.; Chen, Q.H. Preparation, characterization, and antibacterial effects of chitosan nanoparticles embedded with essential oils synthesized in an ionic liquid containing system. J. Agric. Food Chem. 2018, 66, 7006–7014. [Google Scholar] [CrossRef]
- Zhu, L.J.; Xu, Q.Y.; Liu, X.Y.; Xu, Y.Y.; Yang, L.N.; Wang, S.N.; Li, J.; He, Y.T.; Liu, H. Soy glycinin-soyasaponin mixtures at oil-water interface: Interfacial behavior and O/W emulsion stability. Food Chem. 2020, 327, 127062. [Google Scholar] [CrossRef]
- Manion, B.; Corredig, M. Interactions between whey protein isolate and soy protein fractions at oil-water interfaces: Effects of heat and concentration of protein in the aqueous phase. J. Food Sci. 2006, 71, E343–E349. [Google Scholar] [CrossRef]
- Tang, C.H.; Ma, C.Y. Heat-induced modifications in the functional and structural properties of vicilin-rich protein isolate from kidney (Phaseolus vulgaris L.) bean. Food Chem. 2009, 115, 859–866. [Google Scholar] [CrossRef]
- Zhao, H.H.; Guo, M.M.; Ding, T.; Ye, X.Q.; Liu, D.H. Exploring the mechanism of hollow microcapsule formation by self-assembly of soy 11s protein upon heating. Food Hydrocoll. 2020, 108, 105379. [Google Scholar] [CrossRef]
- Long, G.; Ji, Y.; Pan, H.; Sun, Z.; Li, Y.; Qin, G. Characterization of thermal denaturation structure and morphology of soy glycinin by FTIR and SEM. Int. J. Food Prop. 2015, 18, 763–774. [Google Scholar] [CrossRef]
- Hansted, J.G.; Wejse, P.L.; Bertelsen, H.; Otzen, D.E. Effect of protein-surfactant interactions on aggregation of beta-lactoglobulin. Biochim. Biophys. Acta 2011, 1814, 713–723. [Google Scholar] [CrossRef] [PubMed]
- Imura, T.; Ohta, N.; Inoue, K.; Yagi, N.; Negishi, H.; Yanagishita, H.; Kitamoto, D. Naturally engineered glycolipid biosurfactants leading to distinctive self-assembled structures. Chem. A Eur. J. 2006, 12, 2434–2440. [Google Scholar] [CrossRef] [PubMed]
- Mills, E.N.C.; Marigheto, N.A.; Wellner, N.; Fairhurst, S.A.; Jenkins, J.A.; Mann, R.; Belton, P.S. Thermally induced structural changes in glycinin, the 11S globulin of soya bean (Glycine max)—an in situ spectroscopic study. Biochim. Biophys. Acta 2003, 1648, 105–114. [Google Scholar] [CrossRef]
- Wan, Z.L.; Wang, L.Y.; Wang, J.M.; Yuan, Y.; Yang, X.Q. Synergistic foaming and surface properties of a weakly interacting mixture of soy glycinin and biosurfactant stevioside. J. Agric. Food Chem. 2014, 62, 6834–6843. [Google Scholar] [CrossRef]
- Yuan, Y.; Wan, Z.L.; Yin, S.W.; Teng, Z.; Yang, X.Q.; Qi, J.R.; Wang, X.Y. Formation and dynamic interfacial adsorption of glycinin/chitosan soluble complex at acidic pH: Relationship to mixed emulsion stability. Food Hydrocoll. 2013, 31, 85–93. [Google Scholar] [CrossRef]
- Ding, L.X.; Xia, M.Q.; Zeng, Q.; Zhao, Q.N.; Cai, Z.X.; Zhu, Z.H. Foaming properties and aggregation mechanism of egg white protein with different physical treatments. LWT 2022, 153, 112505. [Google Scholar] [CrossRef]
- Gravel, A.; Marciniak, A.; Couture, M.; Doyen, A. Effects of Hexane on Protein Profile, Solubility and Foaming Properties of Defatted Proteins Extracted from Tenebrio molitor Larvae. Molecules 2021, 26, 351. [Google Scholar] [CrossRef]





| Samples | Heating Time/h | Helix/% | Strand/% | Turns/% | Unordered/% | Total/% |
|---|---|---|---|---|---|---|
| 11S | 0 | 28.6 | 5.1 | 15 | 51.3 | 100 |
| 0.25 | 40.7 | 0 | 3.9 | 55.5 | 100.1 | |
| 3 | 43.4 | 0.8 | 7.2 | 48.6 | 100 | |
| 6 | 45.8 | 0 | 5 | 49.2 | 100 | |
| 11S-MEL-A | 0 | 40.1 | 1.8 | 8.2 | 49.8 | 99.9 |
| 0.25 | 32 | 0 | 4.9 | 63.1 | 100 | |
| 3 | 26.3 | 0.3 | 5.4 | 68 | 100 | |
| 6 | 39.9 | 0 | 6 | 54.1 | 100 |
| Samples | Concentration of MEL-A/mg/mL | Helix/% | Strand/% | Turns/% | Unordered/% | Total/% |
|---|---|---|---|---|---|---|
| 11S | 0 | 28.6 | 5.1 | 15 | 51.3 | 100 |
| 0.01 | 40.1 | 0 | 0.4 | 59.5 | 100 | |
| 0.2 | 40.1 | 1.8 | 8.2 | 49.8 | 99.9 | |
| 0.8 | 14.5 | 21.9 | 14.6 | 49 | 100.1 |
Publisher’s Note: MDPI stays neutral with regard to jurisdictional claims in published maps and institutional affiliations. |
© 2022 by the authors. Licensee MDPI, Basel, Switzerland. This article is an open access article distributed under the terms and conditions of the Creative Commons Attribution (CC BY) license (https://creativecommons.org/licenses/by/4.0/).
Share and Cite
Liu, S.; Wei, T.; Lu, H.; Liu, X.; Shi, Y.; Chen, Q. Interactions between Mannosylerythritol Lipid-A and Heat-Induced Soy Glycinin Aggregates: Physical and Chemical Characteristics, Functional Properties, and Structural Effects. Molecules 2022, 27, 7393. https://doi.org/10.3390/molecules27217393
Liu S, Wei T, Lu H, Liu X, Shi Y, Chen Q. Interactions between Mannosylerythritol Lipid-A and Heat-Induced Soy Glycinin Aggregates: Physical and Chemical Characteristics, Functional Properties, and Structural Effects. Molecules. 2022; 27(21):7393. https://doi.org/10.3390/molecules27217393
Chicago/Turabian StyleLiu, Siyu, Tianyu Wei, Hongyun Lu, Xiayu Liu, Ying Shi, and Qihe Chen. 2022. "Interactions between Mannosylerythritol Lipid-A and Heat-Induced Soy Glycinin Aggregates: Physical and Chemical Characteristics, Functional Properties, and Structural Effects" Molecules 27, no. 21: 7393. https://doi.org/10.3390/molecules27217393
APA StyleLiu, S., Wei, T., Lu, H., Liu, X., Shi, Y., & Chen, Q. (2022). Interactions between Mannosylerythritol Lipid-A and Heat-Induced Soy Glycinin Aggregates: Physical and Chemical Characteristics, Functional Properties, and Structural Effects. Molecules, 27(21), 7393. https://doi.org/10.3390/molecules27217393

