Untargeted Metabolomics Reveals New Markers of Food Processing for Strawberry and Apple Purees
Abstract
1. Introduction
2. Results
2.1. Multivariate Model Analysis
2.1.1. Multivariate Model Analysis of Strawberry
2.1.2. Multivariate Model Analysis of Apple
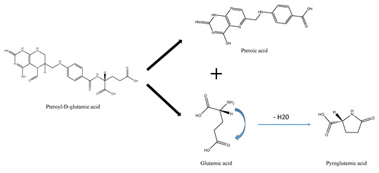
2.2. Metabolites Trend and Markers Identification
3. Discussion
4. Materials and Methods
4.1. Chemicals
4.2. Processing of Strawberry and Apple Purees
4.3. Sample Preparation
4.4. UPLC-ESI-QTOF-MS Analysis
4.5. Untargeted Metabolomics Data Treatment
5. Conclusions
Author Contributions
Funding
Institutional Review Board Statement
Informed Consent Statement
Data Availability Statement
Conflicts of Interest
References
- van Boekel, M.; Fogliano, V.; Pellegrini, N.; Stanton, C.; Scholz, G.; Lalljie, S.; Somoza, V.; Knorr, D.; Jasti, P.R.; Eisenbrand, G. A review on the beneficial aspects of food processing. Mol. Nutr. Food Res. 2010, 54, 1215–1247. [Google Scholar] [CrossRef]
- Scholz, R.; Herrmann, M.; Kittelmann, A.; von Schledorn, M.; van Donkersgoed, G.; Graven, C.; van der Velde-Koerts, T.; Anagnostopoulos, C.; Bempelou, E.; Michalski, B. Compendium of Representative Processing Techniques investigated in regulatory studies for pesticides. EFSA Support. Publ. 2018, 15, 1508E. [Google Scholar] [CrossRef]
- Salazar-Orbea, G.L.; García-Villalba, R.; Tomás, F.A.; Sánchez-Siles, L.M. Review: High–Pressure Processing vs. Thermal Treatment: Effect on the Stability of Polyphenols in Strawberry and Apple Products. Foods 2021, 10, 2919. [Google Scholar] [CrossRef]
- Lopez-Sanchez, P.; De Vos, R.C.H.; Jonker, H.H.; Mumm, R.; Hall, R.D.; Bialek, L.; Leenman, R.; Strassburg, K.; Vreeken, R.; Hankemeier, T.; et al. Comprehensive metabolomics to evaluate the impact of industrial processing on the phytochemical composition of vegetable purees. Food Chem. 2015, 168, 348–355. [Google Scholar] [CrossRef]
- Román, S.; Sánchez-Siles, L.M.; Siegrist, M. The importance of food naturalness for consumers: Results of a systematic review. Trends Food Sci. Technol. 2017, 67, 44–57. [Google Scholar] [CrossRef]
- Knorr, D.; Augustin, M.A. Food processing need, advantages and misconceptions. Trends Food Sci. Technol. 2021, 108, 103–110. [Google Scholar] [CrossRef]
- Monteiro, C.A.; Cannon, G.; Levy, R.; Moubarac, J.-C.; Jaime, P.; Martins, A.P.; Canella, D.; Louzada, M.; Parra, D. NOVA. The star shines bright. World Nutr. 2016, 7, 28–38. [Google Scholar]
- Monteiro, C.A. Nutrition and health. The issue is not food, nor nutrients, so much as processing. Public Health Nutr. 2009, 12, 729–731. [Google Scholar] [CrossRef]
- Scrinis, G.; Monteiro, C.A. Ultra-processed foods and the limits of product reformulation. Public Health Nutr. 2018, 21, 247–252. [Google Scholar] [CrossRef]
- Utpott, M.; Rodrigues, E.; de Rios, A.O.; Mercali, G.D.; Flôres, S.H. Metabolomics: An analytical technique for food processing evaluation. Food Chem. 2022, 366, 130685. [Google Scholar] [CrossRef]
- Garcia, C.J.; García-Villalba, R.; Garrido, Y.; Gil, M.I.; Tomás-Barberán, F.A. Untargeted metabolomics approach using UPLC-ESI-QTOF-MS to explore the metabolome of fresh-cut iceberg lettuce. Metabolomics 2016, 12, 138. [Google Scholar] [CrossRef]
- Zhao, X.; Chen, L.; Yang, H. Effect of vacuum impregnated fish gelatin and grape seed extract on metabolite profiles of tilapia (Oreochromis niloticus) fillets during storage. Food Chem. 2019, 293, 418–428. [Google Scholar] [CrossRef]
- Teegarden, M.D.; Schwartz, S.J.; Cooperstone, J.L. Profiling the impact of thermal processing on black raspberry phytochemicals using untargeted metabolomics. Food Chem. 2019, 274, 782–788. [Google Scholar] [CrossRef]
- Wibowo, S.; Aba, E.; De Man, S.; Bernaert, N.; Van Droogenbroeck, B.; Grauwet, T.; Van Loey, A.; Hendrickx, M. Comparing the impact of high pressure, pulsed electric field and thermal pasteurization on quality attributes of cloudy apple juice using targeted and untargeted analyses. Innov. Food Sci. Emerg. Technol. 2019, 54, 64–77. [Google Scholar] [CrossRef]
- Lacalle-Bergeron, L.; Izquierdo-Sandoval, D.; Sancho, J.V.; Francisco, L.; Portolés, T. Chromatography hyphenated to high resolution mass spectrometry in untargeted metabolomics for investigation of food (bio) markers. Trends Anal. Chem. 2021, 135, 116161. [Google Scholar] [CrossRef]
- Bradbury, K.E.; Appleby, P.N.; Key, T.J. Fruit, vegetable, and fiber intake in relation to cancer risk: Findings from the European Prospective Investigation into Cancer and Nutrition (EPIC). Am. J. Clin. Nutr. 2014, 100, 394S–398S. [Google Scholar] [CrossRef]
- Salazar-Orbea, G.L.; García-Villalba, R.; Bernal, M.J.; Hernández, A.; Tomás-Barberán, F.A.; Sánchez-Siles, L.M. Stability of phenolic compounds in Apple and strawberry: Effect of different processing techniques in industrial set up. Food Chem. 2023, 401, 134009. [Google Scholar] [CrossRef] [PubMed]
- Kiokias, S.; Proestos, C.; Oreopoulou, V. Phenolic acids of plant origin—A review on their antioxidant activity in vitro (O/W emulsion systems) along with their in vivo health biochemical properties. Foods 2020, 9, 534. [Google Scholar] [CrossRef] [PubMed]
- Klevorn, C.M.; Dean, L.L. A metabolomics-based approach identifies changes in the small molecular weight compound composition of the peanut as a result of dry-roasting. Food Chem. 2018, 240, 1193–1200. [Google Scholar] [CrossRef] [PubMed]
- Rubert, J.; Monforte, A.; Hurkova, K.; Pérez-Martínez, G.; Blesa, J.; Navarro, J.L.; Stranka, M.; Miguel, J.; Hajslova, J. Untargeted metabolomics of fresh and heat treatment Tiger nut (Cyperus esculentus L.) milks reveals further insight into food quality and nutrition. J. Chromatogr. A 2017, 1514, 80–87. [Google Scholar] [CrossRef]
- Wishart, D.S.; Feunang, Y.D.; Marcu, A.; Guo, A.C.; Liang, K.; Vázquez-Fresno, R.; Sajed, T.; Johnson, D.; Li, C.; Karu, N.; et al. HMDB 4.0: The human metabolome database for 2018. Nucleic Acids Res. 2018, 46, D608–D617. [Google Scholar] [CrossRef]
- Chitayat, D.; Matsui, D.; Amitai, Y.; Kennedy, D.; Vohra, S.; Rieder, M.; Koren, G. Folic acid supplementation for pregnant women and those planning pregnancy: 2015 update. J. Clin. Pharmacol. 2016, 56, 170–175. [Google Scholar] [CrossRef]
- Scott, J.; Rébeillé, F.; Fletcher, J. Folic acid and folates: The feasibility for nutritional enhancement in plant foods. J. Sci. Food Agric. 2000, 80, 795–824. [Google Scholar] [CrossRef]
- Cieślik, E.; Cieślik, I. Occurrence and significance of folic acid. Pteridines 2018, 29, 187–195. [Google Scholar] [CrossRef]
- USDA. FoodData Central. Available online: https://fdc.nal.usda.gov/ (accessed on 31 December 2018).
- Wegener, S.; Kaufmann, M.; Kroh, L.W. Influence of L-pyroglutamic acid on the color formation process of non-enzymatic browning reactions. Food Chem. 2017, 232, 450–454. [Google Scholar] [CrossRef]
- Rigo, B.; Cauliez, P.; Fasscur, D.; Sauvage, F. Some aspects on the chemistry of pyroglutamic acid and related compounds. Trends Heterocycl. Chem. 1991, 2, 155–203. [Google Scholar]
- Hartmann, J.; Brand, C.; Dose, K. Formation of specific amino acid sequences during thermal polymerization of aminoacids. Biosystems 1981, 13, 141–147. [Google Scholar] [CrossRef]
- Pfeiffer, P.; König, H. Biology of Microorganisms on Grapes, in Must and in Wine; Springer: Berlin, Germany; Heidelberg, Germany, 2009; ISBN 9783540854623. [Google Scholar]
- Qiu, J.; Vuist, J.; Boom, R.; Schutyser, M. Change in taste of tomato during thermal processing and drying: Quantitative analyses on ascorbic acid and pyroglutamic acid. In Proceedings of the 6th European Drying Conference, Liege, Belgium, 19–21 June 2017; pp. 1–8. [Google Scholar]
- Gazme, B.; Boachie, R.T.; Tsopmo, A.; Udenigwe, C.C. Occurrence, properties and biological significance of pyroglutamyl peptides derived from different food sources. Food Sci. Hum. Wellness 2019, 8, 268–274. [Google Scholar] [CrossRef]
- Vinholes, J.; Silva, B.M.; Silva, L.R. Hydroxycinnamic acids (HCAS): Structure, Biological properties and health effects. Adv. Med. Biol. 2019, 88, 1–33. [Google Scholar]
- Rodríguez-Salinas, P.A.; Muy-Rangel, D.; Urías-Orona, V.; Zavala-García, F.; Suárez-Jacobo, Á.; Heredia, J.B.; Rubio-Carrasco, W.; Niño-Medina, G. Thermal processing effects on the microbiological, physicochemical, mineral, and nutraceutical properties of a roasted purple maize beverage. Farmacia 2019, 67, 587–595. [Google Scholar] [CrossRef]
- Szwajgier, D.; Halinowski, T.; Helman, E.; Tylus, K.; Tymcio, A. Influence of different heat treatments on the content of phenolic acids and their derivatives in selected fruits. Fruits 2014, 69, 167–178. [Google Scholar] [CrossRef]
- Enomoto, H. Mass Spectrometry Imaging of Flavonols and Ellagic Acid Glycosides in Ripe Strawberry Fruit. Molecules 2020, 25, 4600. [Google Scholar] [CrossRef]
- Amaro, A.L.; Almeida, D.P.F. Lysophosphatidylethanolamine effects on horticultural commodities: A review. Postharvest Biol. Technol. 2013, 78, 92–102. [Google Scholar] [CrossRef]
- Prabha, T.N.; Raina, P.L.; Patwardhan, M.V. Lipid profile of cultured cells of apple (Malus sylvestris) and apple tissue. J. Biosci. 1988, 13, 33–38. [Google Scholar] [CrossRef]
- Hou, Q.; Ufer, G.; Bartels, D. Lipid signalling in plant responses to abiotic stress. Plant Cell Environ. 2016, 39, 1029–1048. [Google Scholar] [CrossRef]
- Garcia, C.J.; García-Villalba, R.; Gil, M.I.; Tomas-Barberan, F.A. LC-MS Untargeted Metabolomics To Explain the Signal Metabolites Inducing Browning in Fresh-Cut Lettuce. J. Agric. Food Chem. 2017, 65, 4526–4535. [Google Scholar] [CrossRef] [PubMed]
- Levy, R.B.; Louzada, M.L.C.; Moubarac, J.-C.; Jaime, P.C.; Monteiro, C.A.; Cannon, G. The UN Decade of Nutrition, the NOVA food classification and the trouble with ultra-processing. Public Health Nutr. 2017, 21, 5–17. [Google Scholar] [CrossRef]
- Sanchez-Siles, L.M.; Michel, F.; Román, S.; Bernal, M.J.; Philipsen, B.; Haro, J.F.; Bodenstab, S.; Siegrist, M. The Food Naturalness Index (FNI): An integrative tool to measure the degree of food naturalness. Trends Food Sci. Technol. 2019, 91, 681–690. [Google Scholar] [CrossRef]
- Buendía, B.; Gil, M.I.; Tudela, J.A.; Gady, A.L.; Medina, J.J.; Soria, C.; López, J.M.; Tomás-Barberán, F.A. HPLC-MS analysis of proanthocyanidin oligomers and other phenolics in 15 strawberry cultivars. J. Agric. Food Chem. 2010, 58, 3916–3926. [Google Scholar] [CrossRef] [PubMed]
- Jakobek, L.; García-Villalba, R.; Tomás-Barberán, F.A. Polyphenolic characterisation of old local apple varieties from Southeastern European region. J. Food Compos. Anal. 2013, 31, 199–211. [Google Scholar] [CrossRef]
- van den Berg, R.A.; Hoefsloot, H.C.J.; Westerhuis, J.A.; Smilde, A.K.; van der Werf, M.J. Centering, scaling, and transformations: Improving the biological information content of metabolomics data. BMC Genom. 2006, 7, 142. [Google Scholar] [CrossRef]





| ID | m/z | Name | Formula | RT | Polarity | Regulation | MS/MS Fragments |
|---|---|---|---|---|---|---|---|
| 1 | 128.0344 | Pyroglutamic acid * | C5H7NO3 | 1.37 | NEG | UP | 128.0338; 85.0287; 82.0285; 72.0091 |
| 2 | 472.1577 | Pteroyl-D-glutamic acid a | C20H23N7O7 | 3.70 | NEG | DOWN | Unclear fragments |
| 3 | 167.0339 | 2-hydroxy-5-methoxy benzoic acid | C8H8O4 | 7.52 | NEG | UP | 108.0217;109.0243;152.0109;123.0019; 167.0360 |
| 4 | 299.0766 | 2-hydroxybenzoic acid beta-d-glucoside | C13H16O8 | 2.16 | NEG | DOWN | 137.0246; 179.0437; 299.0761 |
| 5 | 355.0666 | Dihydroxycinnamic acid glucuronide | C15H16O10 | 2.88 | NEG | UP | 207.0297; 265.0358; 247.0250;193.0609;191.0555; 135.0488 |
| 6 | 179.0345 | Caffeic acid * | C9H8O4 | 5.78 | NEG | UP | 135.0455; 134.0369 |
| 7 | 474.2621 | LysoPE(18:3(9Z,12Z,15Z)/0:0) | C23H42NO7P | 25.01 | NEG | UP | 474.2626; 277.2177; 214.0487; 152.9955 |
Publisher’s Note: MDPI stays neutral with regard to jurisdictional claims in published maps and institutional affiliations. |
© 2022 by the authors. Licensee MDPI, Basel, Switzerland. This article is an open access article distributed under the terms and conditions of the Creative Commons Attribution (CC BY) license (https://creativecommons.org/licenses/by/4.0/).
Share and Cite
Salazar-Orbea, G.; García-Villalba, R.; Sánchez-Siles, L.M.; Tomás-Barberán, F.A.; García, C.J. Untargeted Metabolomics Reveals New Markers of Food Processing for Strawberry and Apple Purees. Molecules 2022, 27, 7275. https://doi.org/10.3390/molecules27217275
Salazar-Orbea G, García-Villalba R, Sánchez-Siles LM, Tomás-Barberán FA, García CJ. Untargeted Metabolomics Reveals New Markers of Food Processing for Strawberry and Apple Purees. Molecules. 2022; 27(21):7275. https://doi.org/10.3390/molecules27217275
Chicago/Turabian StyleSalazar-Orbea, Gabriela, Rocío García-Villalba, Luis M. Sánchez-Siles, Francisco A. Tomás-Barberán, and Carlos J. García. 2022. "Untargeted Metabolomics Reveals New Markers of Food Processing for Strawberry and Apple Purees" Molecules 27, no. 21: 7275. https://doi.org/10.3390/molecules27217275
APA StyleSalazar-Orbea, G., García-Villalba, R., Sánchez-Siles, L. M., Tomás-Barberán, F. A., & García, C. J. (2022). Untargeted Metabolomics Reveals New Markers of Food Processing for Strawberry and Apple Purees. Molecules, 27(21), 7275. https://doi.org/10.3390/molecules27217275

