Computational Studies on Selected Macrolides Active against Escherichia coli Combined with the NMR Study of Tylosin A in Deuterated Chloroform
Abstract
1. Introduction
2. Results and Discussion
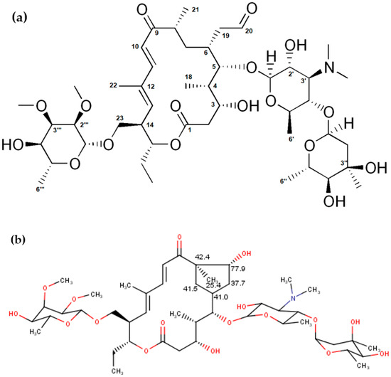
2.1. NMR Studies
2.2. Computational Studies
2.2.1. EIIP Screening
2.2.2. Conformational Analysis of Selected Macrolide Antibiotics
2.2.3. Prediction of the Solution Structures of Tylosin A in Chloroform
2.2.4. Molecular Docking Studies
2.2.5. ADMET Studies
2.3. Determination of the Minimum Inhibitory Concentrations of Tylosin A and B
3. Materials and Methods
3.1. NMR Analysis of Tylosin A
Acquisition and Processing Parameters for NMR Experiments
3.2. Computational Studies
3.2.1. EIIP Screening
3.2.2. MacroModel Calculation Settings
3.2.3. Molecular Docking Studies
3.2.4. ADMET Studies
3.3. Bacterial Strains
3.4. MIC Determination
4. Conclusions
Supplementary Materials
Author Contributions
Funding
Institutional Review Board Statement
Informed Consent Statement
Data Availability Statement
Acknowledgments
Conflicts of Interest
References
- Arsic, B.; Novak, P.; Kragol, G.; Barber, J.; Rimoli, M.G.; Sodano, F. Macrolides: Properties, Synthesis and Applications, 1st ed.; De Gruyter: Berlin, Germany, 2018. [Google Scholar]
- Minh, N.P.; Lam, T.B.; Giao, N.T.; Quan, N.C. Tissue distribution and elimination of erythromycin in giant freshwater prawn (Macrobrachium rosenbergii) depletion. Afr. J. Food Sci. 2010, 4, 578–584. [Google Scholar]
- McColm, A.A.; McHardy, N. Evaluation of a range of antimicrobial agents against the parasitic protozoa, Plasmodium falciparum, Babesia rodhaini and Theileria parva in vitro. Ann. Trop. Med. Parasitol. 1984, 78, 345–354. [Google Scholar] [CrossRef]
- Geary, T.G.; Jensen, J.B. Effects of antibiotics on Plasmodium falciparum in vitro. Am. J. Trop. Med. Hyg. 1983, 32, 221–225. [Google Scholar] [CrossRef] [PubMed]
- Warhurst, D.C.; Robinson, B.L.; Peters, W. The chemotherapy of rodent malaria XXIV. The blood schizontocidal action of erythromycin upon Plasmodium berghei. Ann. Trop. Med. Parasitol. 1976, 70, 253–258. [Google Scholar] [CrossRef] [PubMed]
- Warhurst, D.C.; Robinson, B.L.; Peters, W. The blood schizontocidal action of erythromycin against Plasmodium knowlesi infections in Macaca mulatta. Ann. Trop. Med. Parasitol. 1983, 77, 231–237. [Google Scholar] [CrossRef] [PubMed]
- Ye, Z.; Van Dyke, K. Interaction of artemisinin and tetracycline or erythromycin against Plasmodium falciparum in vitro. Parasite 1994, 7, 211–218. [Google Scholar] [CrossRef] [PubMed][Green Version]
- Hassanzadeh, A.; Barber, J.; Morris, G.A.; Gorry, P.A. Mechanism for the degradation of erythromycin A and erythromycin A 2‘-ethyl succinate in acidic aqueous solution. J. Phys. Chem. A 2007, 111, 10098–10104. [Google Scholar] [CrossRef] [PubMed]
- Benoni, G.; Cuzzolin, L.; Leone, R.; Consolo, U.; Ferronato, G.; Bertrand, C.; Puchetti, V.; Fracasso, M.E. Pharmacokinetics and human tissue penetration of flurithromycin. Antimicrob. Agents Chemother. 1988, 32, 1875–1878. [Google Scholar] [CrossRef] [PubMed]
- Morimoto, S.; Takahashi, Y.; Watanabe, Y.; Omura, S. Chemical modification of erythromycins. I. Synthesis and antibacterial activity of 6-O-methylerythromycins A. J. Antibiot. 1984, 37, 187–189. [Google Scholar] [CrossRef] [PubMed]
- Kobrehel, G.; Djokic, S. (PLIVA). Nouveaux Derives de L’erythromycine A, Procede pour Leur Preparation et Leur Utilisation Comme Substances Antibacteriennes. BE892357, 1 July 1982. [Google Scholar]
- Kobrehel, G.; Djokic, S. (PLIVA). 11-Methyl-11-aza-4-O-cladinosyl-6-O-desosaminyl-15-ethyl-7,13,14-trihydroxy-3,5,7,9,12,14-hexamethyl-oxacyclopentadecane-2-one and Derivatives Thereof. U.S. Patent US4517359, 14 May 1985. [Google Scholar]
- Kobrehel, G.; Radobolja, G.; Tamburasev, Z.; Dokic, S. (PLIVA). 11-Aza-10-deoxo-10-dihydroerythromycin A and Derivatives Thereof as Well a Process for Their Preparation. U.S. Patent US4328334, 4 May 1982. [Google Scholar]
- Djokic, S.; Kobrehel, G.; Lazarevski, G.; Lopotar, N.; Tamburasev, Z.; Kamenar, B.; Nagl, A.; Vickovic, I. Erythromycin series. Part 11. Ring expansion of erythromycin A oxime by the Beckmann rearrangement. J. Chem. Soc. Perkin Trans. I 1986, 1881–1990. [Google Scholar] [CrossRef]
- Djokic, S.; Kobrehel, G.; Lopotar, N.; Kamenar, B.; Nagl, A.; Mrvos, D. Erythromycin series. Part 13. Synthesis and structure elucidation of 10-dihydro-10-deoxo-11-methyl- 11-azaerythromycin A. J. Chem. Res. (S) 1988, 12, 152–153. [Google Scholar] [CrossRef]
- Bhadra, P.K.; Hassanzadeh, A.; Arsic, B.; Allison, D.G.; Morris, G.A.; Barber, J. Enhancement of the properties of a drug by mono-deuteriation: Reduction of acid-catalysed formation of a gut-motilide enol ether from 8-deuterio-erythromycin B. Org. Biomol. Chem. 2016, 14, 6289–6296. [Google Scholar] [CrossRef] [PubMed]
- Tyson, P.; Barjat, H.; Mann, W.; Barber, J. Solution structure and assignments of the 1H and 13C NMR spectra of erythromycin C in organic and aqueous solution. J. Chem. Res. (S) 1998, 12, 727. [Google Scholar] [CrossRef]
- Kibwage, I.O.; Hoogmartens, J.; Roets, E.; Vanderhaeghe, H.; Verbist, L.; Dubost, M.; Pascal, C.; Petitjean, P.; Levol, G. Antibacterial activities of erythromycins A, B, C, and D and some of their derivatives. Antimicrob. Agents Chemother. 1985, 28, 630–633. [Google Scholar] [CrossRef] [PubMed]
- Janas, A.; Przybylski, P. 14- and 15-membered lactone macrolides and their analogues and hybrids: Structure, molecular mechanism of action and biological activity. Eur. J. Med. Chem. 2019, 182, 111662. [Google Scholar] [CrossRef]
- Arsic, B.; Barber, J.; Cikoš, A.; Mladenovic, M.; Stankovic, N.; Novak, P. 16-membered macrolide antibiotics: A review. Int. J. Antimicrob. Agents 2018, 51, 283–298. [Google Scholar] [CrossRef]
- Seno, E.T.; Pieper, R.L.; Huber, F.M. Terminal stages in the biosynthesis of tylosin. Antimicrob. Agents Chemother. 1977, 11, 455–461. [Google Scholar] [CrossRef] [PubMed][Green Version]
- Pape, H.; Brillinger, G.U. Metabolic products of microorganisms. 113. Biosynthesis of thymidine diphospho mycarose in a cell-free system from Streptomyces rimosus. Arch. Mikrobiol. 1973, 88, 25–35. [Google Scholar] [CrossRef]
- Jensen, A.L.; Darken, M.A.; Schultz, J.S.; Shay, A.J. Relomycin: Flask and tank fermentation studies. Antimicrob. Agents Chemother. 1963, 161, 49–53. [Google Scholar]
- Fouces, R.; Mellado, E.; Diez, B.; Barredo, J.L. The tylosin biosynthetic cluster from Streptomyces fradiae: Genetic organization of the left region. Microbiology 1999, 145, 855–868. [Google Scholar] [CrossRef] [PubMed]
- Kirst, H.A.; Wild, G.M.; Baltz, R.H.; Hamill, R.L.; Ott, J.L.; Counter, F.T.; Ose, E.E. Structure-activity studies among 16-membered macrolide antibiotics related to tylosin. J. Antibiot. 1982, 35, 1675–1682. [Google Scholar] [CrossRef] [PubMed]
- Sugawara, A.; Maruyama, H.; Shibusawa, S.; Matsui, H.; Hirose, T.; Tsutsui, A.; Froyman, R.; Ludwig, C.; Koebberling, J.; Hanaki, H.; et al. 5-O-Mycaminosyltylonolide antibacterial derivatives: Design, synthesis and bioactivity. J. Antibiot. 2017, 70, 878–887. [Google Scholar] [CrossRef]
- Arsic, B.; Aguilar, J.A.; Bryce, R.A.; Barber, J. Conformational study of tylosin A in water and full assignments of 1H and 13C spectra of tylosin A in D2O and tylosin B in CDCl3. Magn. Reson. Chem. 2017, 55, 367–373. [Google Scholar] [CrossRef]
- Rossi, C.; Donati, A.; Picchi, M.P.; Sansoni, M.R.; Corbini, G.; Corti, P. Proton and carbon chemical shift assignment and dynamic investigation of the macrolide antibiotic tylosin. Magn. Reson. Chem. 1992, 30, 954–957. [Google Scholar] [CrossRef]
- Simova, S.; Ivanova, G. Proton and carbon chemical shift assignment and solution-state conformation of the macrocyclic ring in the macrolide antibiotic tylosin in aprotic solvents. Magn. Reson. Chem. 1996, 34, 255–260. [Google Scholar] [CrossRef]
- Ivanov, P.M. Molecular mechanics conformational analysis of tylosin. J. Mol. Struct. 1998, 440, 121–130. [Google Scholar] [CrossRef]
- Ivanov, P.M. CONFLEX/MM3 search/minimization study of the conformations of the macrolide antibiotic tylosin. J. Mol. Struct. 2002, 606, 217–229. [Google Scholar] [CrossRef]
- Li, L.; Li, C.; Zhang, Z.; Alexov, E. On the dielectric “constant” of proteins: Smooth dielectric function for macromolecular modeling and its implementation in DelPhi. J. Chem. Theory Comput. 2013, 9, 2126–2136. [Google Scholar] [CrossRef] [PubMed]
- Xi, K.; Wang, F.-H.; Xiong, G.; Zhang, Z.-L.; Tan, Z.-J. Competitive binding of Mg2+ and Na+ ions to nucleic acids: From helices to tertiary structures. Biophys. J. 2018, 114, 1776–1790. [Google Scholar] [CrossRef]
- Petropoulos, A.D.; Kouvela, E.C.; Dinos, G.P.; Kalpaxis, D.L. Stepwise binding of tylosin and erythromycin to Escherichia coli ribosomes, characterized by kinetic and footprinting analysis. J. Biol. Chem. 2008, 283, 4756–4765. [Google Scholar] [CrossRef] [PubMed]
- Di Masi, J.A.; Hansen, R.W.; Grabowski, H.G. The price of innovation: New estimates of drug development cost. J. Health Econ. 2003, 22, 151–185. [Google Scholar] [CrossRef]
- Hodgson, J. ADMET-turning chemicals into drugs. Nat. Biotechnol. 2001, 19, 722–726. [Google Scholar] [CrossRef] [PubMed]
- Available online: https://www.nmrdb.org/predictor/ (accessed on 3 February 2022).
- Paesen, J.; Cypers, W.; Busson, R.; Roets, E.; Hoogmartens, J. Isolation of decomposition products of tylosin using liquid chromatography. J. Chromatogr. A 1995, 699, 99–106. [Google Scholar] [CrossRef]
- Morris, G.A.; Smith, K.I. Analysis of ‘virtual one-bond coupling’ effects in heteronuclear chemical shift correlation 2D N.M.R. spectra. Mol. Phys. 1987, 61, 467–483. [Google Scholar] [CrossRef]
- Veljkovic, V.; Slavic, I. Simple general-model pseudopotential. Phys. Rev. Lett. 1972, 29, 105–107. [Google Scholar] [CrossRef]
- Veljkovic, V.J.; Lalovic, D.I. Theoretical prediction of mutagenicity and carcinogenicity of chemical substances. Cancer Biochem. Biophys. 1976, 1, 295–298. [Google Scholar]
- Veljkovic, V.; Veljkovic, N.; Esté, J.A.; Hüther, A.; Dietrich, U. Application of the EIIP/ISM bioinformatics concept in development of new drugs. Curr. Med. Chem. 2007, 14, 441–453. [Google Scholar] [CrossRef]
- Weiner, S.J.; Kollman, P.A.; Case, D.A.; Chandra Singh, U.; Ghio, C.; Alagona, G.; Profeta, S., Jr.; Weine, P. A new force field for molecular mechanical simulation of nucleic acids and proteins. J. Am. Chem. Soc. 1984, 106, 765–784. [Google Scholar] [CrossRef]
- Weiner, S.J.; Kollman, P.A.; Nguyen, D.T.; Case, D.A. An all atom force field for simulations of proteins and nucleic acids. J. Comput. Chem. 1986, 7, 230–252. [Google Scholar] [CrossRef] [PubMed]
- Cornell, W.D.; Cieplak, P.; Bayly, C.I.; Gould, I.R.; Merz, K.M., Jr.; Ferguson, D.M.; Spellmeyer, D.C.; Fox, T.; Caldwell, J.W.; Kollman, P.A. A second generation force field for the simulation of proteins, nucleic acids, and organic molecules. J. Am. Chem. Soc. 1995, 117, 5179–5197. [Google Scholar] [CrossRef]
- Wang, J.; Cieplak, P.; Kollman, P.A. How well does a restrained electrostatic potential (RESP) model perform in calculating conformational energies of organic and biological molecules? J. Comput. Chem. 2000, 21, 1049–1074. [Google Scholar] [CrossRef]
- Wang, J.; Wolf, R.M.; Caldwell, J.W.; Kollman, P.A.; Case, D.A. Development and testing of a general amber force field. J. Comput. Chem. 2004, 25, 1157–1174. [Google Scholar] [CrossRef] [PubMed]
- Everett, J.R.; Tyler, J.W. The conformational analysis of erythromycin A. J. Chem. Soc. Perkin Trans. 2 1987, 11, 1659–1667. [Google Scholar] [CrossRef]
- Arsic, B.; Awan, A.; Brennan, R.J.; Aguilar, J.A.; Ledder, R.; McBain, A.J.; Regan, A.C.; Barber, J. Theoretical and experimental investigation on clarithromycin, erythromycin A and azithromycin and descladinosyl derivatives of clarithromycin and azithromycin with 3-O substitution as anti-bacterial agents. Med. Chem. Commun. 2014, 5, 1347–1354. [Google Scholar] [CrossRef]
- Allinger, N.L. Conformational Analysis. 130. MM2. A hydrocarbon force field utilizing VI and V2 torsional terms. J. Am. Chem. Soc. 1977, 99, 8127–8134. [Google Scholar] [CrossRef]
- Dunkle, J.A.; Xiong, L.; Mankin, A.S.; Cate, J.H.D. Structures of the Escherichia coli ribosome with antibiotics bound near the peptidyl transferase center explain spectra of drug action. Proc. Natl. Acad. Sci. USA 2010, 107, 17152–17157. [Google Scholar] [CrossRef] [PubMed]
- Lipinski, C.A.; Lombardo, F.; Dominy, B.W.; Feeney, P.J. Experimental and computational approaches to estimate solubility and permeability in drug discovery and development settings. Adv. Drug Deliv. Rev. 2001, 46, 3–26. [Google Scholar] [CrossRef]
- Jorgensen, W.L.; Duffy, E.M. Prediction of drug solubility from structure. Adv. Drug Deliv. Rev. 2002, 54, 355–366. [Google Scholar] [CrossRef]
- DeGoey, D.A.; Chen, H.-J.; Cox, P.B.; Wendt, M.D. Beyond the rule of 5: Lessons learned from AbbVie’s drugs and compound collection. J. Med. Chem. 2018, 61, 2636–2651. [Google Scholar] [CrossRef]
- Doak, B.C.; Over, B.; Giordanetto, F.; Kihlberg, J. Oral druggable space beyond the rule of 5: Insights from drugs and clinical candidates. Chem. Biol. 2014, 21, 1115–1142. [Google Scholar] [CrossRef]
- Stepanic, V.; Kostrun, S.; Malnar, I.; Hlevnjak, M.; Butkovic, K.; Caleta, I.; Duksi, M.; Kragol, G.; Makaruha-Stegic, O.; Mikac, L.; et al. Modeling cellular pharmacokinetics of 14- and 15-membered macrolides with physicochemical properties. J. Med. Chem. 2011, 54, 719–733. [Google Scholar] [CrossRef]
- Munic, V.; Kelneric, Z.; Mikac, L.; Erakovic Haber, V. Differences in assessment of macrolide interaction with human MDR1 (ABCB1, P-gp) using rhodamine-123 efflux, ATPase activity and cellular accumulation assays. Eur. J. Pharm. Sci. 2010, 41, 86–95. [Google Scholar] [CrossRef]
- Lan, T.; Rao, A.; Haywood, J.; Davis, C.B.; Han, C.; Garver, E.; Dawson, P.A. Interaction of macrolide antibiotics with intestinally expressed human and rat organic anion-transporting polypeptides. Drug Metab. Dispos. 2009, 37, 2375–2382. [Google Scholar] [CrossRef] [PubMed]
- Dobson, P.D.; Kell, D.B. Carrier-mediated cellular uptake of pharmaceutical drugs: An exception or the rule? Nat. Rev. Drug Discov. 2008, 7, 205–220. [Google Scholar] [CrossRef]
- Stepanic, V.; Ziher, D.; Gabelica-Markovic, V.; Jelic, D.; Nunhuck, S.; Valko, K.; Kostrun, S. Physicochemical profile of macrolides and their comparison with small molecules. Eur. J. Med. Chem. 2012, 47, 462–472. [Google Scholar] [CrossRef]
- Fan, B.-Z.; Hiasa, H.; Lv, W.; Brody, S.; Yang, Z.-Y.; Aldrich, C.; Cushman, M.; Liang, J.-H. Design, synthesis and structure-activity relationships of novel 15-membered macrolides: Quinolone/quinoline-containing sidechains tethered to the C-6 position of azithromycin acylides. Eur. J. Med. Chem. 2020, 193, 112222. [Google Scholar] [CrossRef] [PubMed]
- Tintori, C.; Manetti, F.; Veljkovic, N.; Perovic, V.; Vercammen, J.; Hayes, S.; Massa, S.; Witvrouw, M.; Debyser, Z.; Veljkovic, V.; et al. Novel virtual screening protocol based on the combined use of molecular modeling and electron-ion interaction potential techniques to design HIV-1 integrase inhibitors. J. Chem. Inf. Model. 2007, 47, 1536–1544. [Google Scholar] [CrossRef]
- Glisic, S.; Perovic, V.R.; Sencanski, M.; Paessler, S.; Veljkovic, V. Biological rationale for the repurposing of BCG vaccine against SARS-CoV-2. J. Proteome Res. 2020, 19, 4649–4654. [Google Scholar] [CrossRef]
- Friesner, R.A.; Banks, J.L.; Murphy, R.B.; Halgren, T.A.; Klicic, J.J.; Mainz, D.T.; Repasky, M.P.; Knoll, E.H.; Shelley, M.; Perry, J.K.; et al. Glide: A new approach for rapid, accurate docking and scoring. 1. Method and assessment of docking accuracy. J. Med. Chem. 2004, 47, 1739–1749. [Google Scholar] [CrossRef]
- Halgren, T.A.; Murphy, R.B.; Friesner, R.A.; Beard, H.S.; Frye, L.L.; Pollard, W.T.; Banks, J.L. Glide: A new approach for rapid, accurate docking and scoring. 2. Enrichment factors in database screening. J. Med. Chem. 2004, 47, 1750–1759. [Google Scholar] [CrossRef]
- Duhovny, D.; Nussinov, R.; Wolfson, H.J. Efficient unbound docking of rigid molecules. In Algorithms in Bioinformatics—Proceedings of the 2nd Workshop on Algorithms in Bioinformatics (WABI), Rome, Italy, 17–21 September 2002; Lecture Notes in Computer Science, 2452; Guigo, G., Ed.; Springer: Berlin/Heidelberg, Germany, 2002; pp. 185–200. [Google Scholar]
- Schneidman-Duhovny, D.; Inbar, Y.; Polak, V.; Shatsky, M.; Halperin, I.; Benyamini, H.; Barzilai, A.; Dror, O.; Haspel, N.; Nussinov, R.; et al. Taking geometry to its edge: Fast unbound rigid (and hinge-bent) docking. Proteins 2003, 52, 107–112. [Google Scholar] [CrossRef]
- Schneidman-Duhovny, D.; Inbar, Y.; Nussinov, R.; Wolfson, H.J. PatchDock and SymmDock: Servers for rigid and symmetric docking. Nucleic Acids Res. 2005, 33, W363–W367. [Google Scholar] [CrossRef]
- Andrusier, N.; Nussinov, R.; Wolfson, H.J. FireDock: Fast interaction refinement in molecular docking. Proteins 2007, 69, 139–159. [Google Scholar] [CrossRef]
- Mashiach, E.; Schneidman-Duhovny, D.; Andrusier, N.; Nussinov, R.; Wolfson, H.J. FireDock: A web server for fast interaction refinement in molecular docking. Nucleic Acids Res. 2008, 36, W229–W232. [Google Scholar] [CrossRef]
- Xiong, G.; Wu, Z.; Yi, J.; Fu, L.; Yang, Z.; Hsieh, C.; Yin, M.; Zeng, X.; Wu, C.; Lu, A.; et al. ADMETlab 2.0: An integrated online platform for accurate and comprehensive predictions of ADMET properties. Nucleic Acids Res. 2021, 49, W5–W14. [Google Scholar] [CrossRef]
- Andrews, J.M. Determination of minimum inhibitory concentrations. J. Antimicrob. Chemother. 2001, 48, 5–16. [Google Scholar] [CrossRef]




| Position | Multiplicity | 1H (ppm) | JHH (Hz) | 13C (ppm) | HMBC Connectivities (13C→1H) |
|---|---|---|---|---|---|
| 1 | - | - | - | 174.0 | H22, H3, H15 |
| 2 | m | 1.99 2.57 | - | 39.4 | H318 |
| 3 | m | 3.81 | - | 69.7 | - |
| 4 | m | 1.71 | - | 40.7 | - |
| 5 | m | 3.53 | - | 81.8 | H3, H318 |
| 6 | m | 1.65 | - | 30.6 | - |
| 7 | bs m | 1.50 1.96 | - | 32.2 | - |
| 8 | m | 2.57 | - | 45.0 | - |
| 9 | - | - | - | >203.4 | H10, H11, H321 |
| 10 | dd | 6.33 | 14.85 | 118.4 | - |
| 11 | dd | 7.33 | 15.05 | 148.2 | H13, H322 |
| 12 | - | - | - | 135.0 | H10, H11, H14, H322 |
| 13 | dd | 5.92 | 9.25 | 142.3 | H11, H14, H322, H223 |
| 14 | d | 2.98 | 6.2 | 45.0 | H13, H15, H216, H223 |
| 15 | m | 4.98 | - | 70.0 | H2, H216, H317, H223 |
| 16 | m m | 1.63 1.88 | - | 25.4 | H15, H14, H317 |
| 17 | s | 0.94 | - | 9.8 | H15, H216, H322 |
| 18 | s | 1.00 | - | 9.0 | H22, H3, H5 |
| 19 | m m | 2.43 2.90 | - - | 43.7 | - |
| 20 | s | 9.68 | - | 203.4 | H219, H321 |
| 21 | s | 1.23 | - | 17.8 | H27, H20 |
| 22 | s | 1.81 | - | 13.1 | H214, H317, H23 |
| 23 | dd m | 3.76 4.00 | 5.3 - | 69.1 | H13 |
| 1′ | s | 4.40 | - | 103.3 | - |
| 2′ | m | 3.82 | - | 75.2 | - |
| 3′ | m | 3.37 | - | 70.6 | H36′ |
| 4′ | m | 3.35 | - | 72.6 | - |
| 7′8′ | m | 2.80 | - | 40.9 | - |
| 5′ | m | 3.37 | - | 73.3 | - |
| 6′ | s | 1.27 | - | 19.0 | - |
| 1″ | s | 5.13 | - | 95.3 | - |
| 2″ | m m | 2.05 2.51 | - | 40.7 | H37” |
| 3″ | - | - | - | 70.6 | H37” |
| 4″ | d | 3.19 | 9.20 | 76.4 | - |
| 5″ | m | 3.76 | - | 66.8 | H1”, H37” |
| 6″ | s | 1.27 | - | 18.3 | H4” |
| 7″ | s | 1.26 | - | 25.7 | H36” |
| 1‴ | d | 4.57 | 7.65 | 103.3 | H223, H2‴, H3OCH32‴, H5‴, H6‴ |
| 2‴ | dd | 3.03 | 6.35 2.50 | 81.8 | H3OCH32‴, H3OCH33‴, 5‴ |
| OCH32‴ | s | 3.49 | - | 59.8 | H2‴, H3OCH33‴, H4‴, H5‴ |
| 3‴ | m | 3.69 | - | 79.8 | H1‴, H3OCH33‴, H4‴ |
| OCH33‴ | s | 3.62 | - | 61.8 | H5‴, H3OCH32‴ |
| 4‴ | m | 3.37 | - | 70.6 | H2‴, H3OCH32‴, H5‴, H36‴ |
| 5‴ | m | 3.76 | - | 70.0 | - |
| 6‴ | s | 1.27 | - | 17.4 | H4 |
| Compound | Formula | Z* (Ry) | W (Ry) |
|---|---|---|---|
| Erythromycin A | C37H67NO13 | 2.5254 | 0.0927 |
| Erythromycin B | C37H67NO12 | 2.4957 | 0.0949 |
| Erythromycin C | C36H65NO13 | 2.5392 | 0.0913 |
| Tylosin A | C46H77NO17 | 2.61 | 0.0812 |
| Tylosin B | C39H65NO14 | 2.605 | 0.0821 |
| Tildipirosin | C41H71N3O8 | 2.4227 | 0.0962 |
| Rosaramicin | C31H51NO9 | 2.5434 | 0.0909 |
| 20-deoxy-20-{N-methyl-N-[1-(2-naphthyl)-1H-1,2,3-triazol-4-yl]methylamino}-5-O-mycaminosyltylonolide (1) | C45H65N5O9 | 2.6129 | 0.0806 |
| 20-deoxy-20-{N-methyl-N-[1-(6-quinolyl)-1H-1,2,3-triazol-4-yl]methylamino}-5-O-mycaminosyltylonolide (2) | C44H64N6O9 | 2.6341 | 0.0765 |
| 20-deoxy-20-{N-methyl-N-[1-(3-quinolyl)-1H-1,2,3-triazol-4-yl]methylamino}-5-O-mycaminosyltylonolide (3) | C43H62N6O9 | 2.65 | 0.0731 |
| 20-deoxy-20-{N-methyl-N-[1-(3-quinolyl)-1H-1,2,3-triazol-4-yl]methylamino}-5-O-mycaminosyltylonolide (4) | C44H64N6O9 | 2.6341 | 0.0765 |
| 20-deoxy-20-{N-benzyl-N-[1-(3-quinolyl)-1H-1,2,3-triazol-4-yl]methylamino}-5-O-mycaminosyltylonolide (5) | C50H68N6O9 | 2.6467 | 0.0739 |
| 20-deoxy-20-{N-methyl-N-[1-(1-naphthyl)-1H-1,2,3-triazol-4-yl]methylamino}-5-O-mycaminosyltylonolide (6) | C45H65N5O9 | 2.6129 | 0.0806 |
| 3-O-Descladinosyl-3-O-[2-(2-pyridyl)acetyl]-6-O-(3-{2-[(3-carboxy-6-fluoro-1-cyclopropyl-1,4-dihydro-4-oxoquinolin-7-yl)piperazin-1-yl]}propanoyl)azithromycin (7) | C57H84FN6O14 | 2.6358 | 0.0762 |
| 3-O-Descladinosyl-3-O-[2-(2-pyridyl)acetyl]-6-O-(3-{2-[3-(3-carboxy-6-fluoro-8-methoxy-1-cyclopropyl-1,4-dihydro-4-oxoquinolin-7-yl)methylpiperazin-1-yl]}propanoyl)azithromycin (8) | C59H88FN6O15 | 2.633 | 0.0767 |
| Macrolide | Docking Score | Ebest model | E | Eint |
|---|---|---|---|---|
| 1 | −2.607 | −21.25 | −21.86 | 7.30 |
| 2 | −2.336 | −21.31 | −21.60 | 6.12 |
| 3 | −2.884 | −24.22 | −23.56 | 6.44 |
| 4 | −2.599 | −27.69 | −25.78 | 3.85 |
| 5 | −2.202 | −16.24 | −17.60 | 6.34 |
| 6 | −2.818 | −23.20 | −24.06 | 7.63 |
| 7 | −0.801 | −10.75 | −14.46 | 7.47 |
| 8 | −2.018 | −17.66 | −20.25 | 5.96 |
| tildipirosin | −1.708 | −13.33 | −15.73 | 5.24 |
| Comp | MW | RB | DM | MV | DHB | AHB | PSA | log P | log S | PCaco | PM | HOA (%) | VRF | VRT | hergK+ |
|---|---|---|---|---|---|---|---|---|---|---|---|---|---|---|---|
| Erythr A | 733.9 | 12 | 5.4 | 1976.1 | 4 | 19.1 | 132.6 | 2.89 | −2.85 | 157 | 9 | 57 | 2 | 1 | −4.89 |
| Erythr B | 717.9 | 11 | 5.2 | 1916.2 | 3 | 18.4 | 119.6 | 2.24 | −2.47 | 197 | 8 | 55 | 2 | 1 | −4.51 |
| Erythr C | 719.9 | 12 | 7.1 | 1932.1 | 5 | 19.1 | 143.7 | 1.75 | −2.78 | 98 | 10 | 34 | 3 | 1 | −4.91 |
| Tylosin A | 916.1 | 32 | 8.6 | 1132.7 | 4 | 28.1 | 199.2 | 1.47 | 0.13 | 26 | 11 | 35 | 2 | 1 | −5.88 |
| Tylosin B | 771.9 | 29 | 5.6 | 990.0 | 3 | 24.0 | 163.2 | 0.78 | 0.54 | 55 | 10 | 37 | 2 | 1 | −5.34 |
| Tildip | 734.1 | 26 | 8.1 | 1038.1 | 2 | 17.5 | 114.3 | 3.13 | −0.4 | 7 | 10 | 35 | 2 | 2 | −7.10 |
| Rosaramicin | 581.7 | 21 | 10.7 | 769.1 | 1 | 15.8 | 135.1 | 1.46 | 0.47 | 89 | 6 | 57 | 1 | 0 | −4.20 |
| 1 | 820.1 | 28 | 5.9 | 1169.1 | 3 | 19.2 | 165.3 | 3.67 | −2.96 | 4 | 11 | 34 | 2 | 2 | −8.65 |
| 2 | 821.0 | 28 | 10.8 | 2289.4 | 3 | 20.2 | 177.6 | 2.45 | −1.42 | 2 | 12 | 23 | 2 | 2 | −8.11 |
| 3 | 806.9 | 28 | 10.5 | 1109.2 | 4 | 19.7 | 187.4 | 2.81 | −1.87 | 2 | 12 | 24 | 2 | 2 | −7.95 |
| 4 | 821.1 | 28 | 6.0 | 1164.6 | 3 | 20.2 | 177.7 | 3.00 | −2.51 | 2 | 12 | Low | 2 | 2 | −8.51 |
| 5 | 897.1 | 30 | 9.9 | 1232.3 | 3 | 20.2 | 164.5 | 4.82 | −3.03 | 7 | 13 | 45 | 2 | 2 | −9.36 |
| 6 | 820.1 | 28 | 10.2 | 1119.1 | 3 | 19.2 | 159.5 | 3.72 | −2.14 | 8 | 11 | 39 | 2 | 2 | −8.08 |
| 7 | 1095.3 | 15 | 9.9 | 2825.2 | 3 | 25.1 | 205.3 | 1.99 | −4.25 | 0 | 10 | 2 | 2 | 2 | −6.95 |
| 8 | 1139.4 | 16 | 7.4 | 2839.9 | 3 | 25.8 | 195.3 | 1.68 | −2.87 | 0 | 11 | 0 | 2 | 2 | −6.04 |
| Descriptors | Toxicity | Tox21 Rules | |||||||||||||||||
|---|---|---|---|---|---|---|---|---|---|---|---|---|---|---|---|---|---|---|---|
| Compounds | hERG blockers | H-HT | DILI | Respiratory toxicity | AMES toxicity | FDAMDD | Skin Sensitization | Carcinogenicity | Eye Irritation | Eye Corrosion | NR-AR | NR-aromatase | NR-AR-LBD | NR-ER | NR-ER-LBD | SR-ARE | SR-MMP | SR-P53 | |
| Azithromycin | - | +++ | +++ | +++ | --- | --- | --- | --- | --- | --- | --- | --- | --- | - | --- | --- | --- | --- | |
| Artemisinin | ++ | +++ | +++ | --- | ++ | --- | + | ++ | + | + | --- | --- | ++ | --- | + | --- | --- | +++ | |
| Erythromycin A | --- | ++ | +++ | --- | --- | --- | --- | --- | --- | --- | --- | --- | --- | + | --- | --- | - | + | |
| Erythromycin B | --- | ++ | +++ | + | --- | --- | --- | --- | --- | --- | --- | --- | --- | + | --- | --- | --- | --- | |
| Erythromycin C | --- | ++ | +++ | --- | --- | --- | --- | --- | --- | --- | - | --- | --- | + | --- | --- | --- | --- | |
| Tildipirosin | - | - | --- | +++ | --- | - | ++ | --- | --- | --- | --- | --- | --- | + | --- | + | --- | --- | |
| Tylosin A | + | - | + | +++ | --- | --- | ++ | --- | --- | --- | --- | - | --- | + | - | + | - | + | |
| Tylosin B | ++ | - | --- | +++ | --- | --- | ++ | --- | --- | --- | - | --- | --- | + | + | + | --- | --- | |
| Rosaramicin | --- | - | - | +++ | --- | - | --- | ++ | --- | --- | --- | --- | --- | + | ++ | --- | --- | --- | |
| 1 | + | + | +++ | +++ | --- | + | --- | --- | --- | --- | --- | --- | --- | + | --- | + | --- | --- | |
| 2 | + | + | +++ | +++ | --- | + | --- | --- | --- | --- | --- | --- | --- | + | --- | + | --- | --- | |
| 3 | + | ++ | +++ | +++ | --- | + | --- | --- | --- | --- | --- | --- | --- | + | --- | + | --- | --- | |
| 4 | - | - | +++ | +++ | --- | + | --- | --- | --- | --- | --- | --- | --- | + | --- | + | --- | --- | |
| 5 | ++ | ++ | +++ | +++ | --- | + | --- | --- | --- | --- | --- | --- | --- | + | --- | + | - | --- | |
| 6 | + | + | ++ | +++ | --- | - | --- | --- | --- | --- | - | --- | --- | + | --- | + | --- | --- | |
| 7 | + | +++ | +++ | ++ | --- | + | --- | --- | --- | --- | ++ | --- | --- | + | --- | + | --- | --- | |
| 8 | + | +++ | +++ | +++ | --- | + | --- | --- | --- | --- | ++ | --- | --- | + | --- | + | --- | --- | |
| Bacterial Strains | MIC (µg/mL) | |||
|---|---|---|---|---|
| Clarithromycin | Azithromycin | Tylosin A | Tylosin B | |
| Escherichia coli | 12 | 2 | 125 | 31.25 |
| Bacillus cereus MRBG 4.21 | 0.2 | 4 | 0.98 | 0.98 |
| Staphylococcus aureus | 0.2 | 8 | 31.25 | >500 |
| Pseudomonas aeruginosa PA01 | 62.5 | 15.6 | 250 | 62.5 |
| Staphylococcus epidermidis | 250 | 31.2 | 250 | 62.5 |
| Serratia marcescens | >500 | >500 | 500 | 250 |
| Corynebacterium xerosis | >500 | 250 | 500 | 250 |
Publisher’s Note: MDPI stays neutral with regard to jurisdictional claims in published maps and institutional affiliations. |
© 2022 by the authors. Licensee MDPI, Basel, Switzerland. This article is an open access article distributed under the terms and conditions of the Creative Commons Attribution (CC BY) license (https://creativecommons.org/licenses/by/4.0/).
Share and Cite
Arsic, B.; Barber, J.; Cikos, A.; Kadirvel, M.; Kostic, E.; McBain, A.J.; Milicevic, J.; Oates, A.; Regan, A. Computational Studies on Selected Macrolides Active against Escherichia coli Combined with the NMR Study of Tylosin A in Deuterated Chloroform. Molecules 2022, 27, 7280. https://doi.org/10.3390/molecules27217280
Arsic B, Barber J, Cikos A, Kadirvel M, Kostic E, McBain AJ, Milicevic J, Oates A, Regan A. Computational Studies on Selected Macrolides Active against Escherichia coli Combined with the NMR Study of Tylosin A in Deuterated Chloroform. Molecules. 2022; 27(21):7280. https://doi.org/10.3390/molecules27217280
Chicago/Turabian StyleArsic, Biljana, Jill Barber, Ana Cikos, Manikandan Kadirvel, Emilija Kostic, Andrew J. McBain, Jelena Milicevic, Angela Oates, and Andrew Regan. 2022. "Computational Studies on Selected Macrolides Active against Escherichia coli Combined with the NMR Study of Tylosin A in Deuterated Chloroform" Molecules 27, no. 21: 7280. https://doi.org/10.3390/molecules27217280
APA StyleArsic, B., Barber, J., Cikos, A., Kadirvel, M., Kostic, E., McBain, A. J., Milicevic, J., Oates, A., & Regan, A. (2022). Computational Studies on Selected Macrolides Active against Escherichia coli Combined with the NMR Study of Tylosin A in Deuterated Chloroform. Molecules, 27(21), 7280. https://doi.org/10.3390/molecules27217280

