Preparation Process Optimization and Performance Characterization of Feed Plant Essential Oil Microcapsules
Abstract
1. Introduction
2. Results
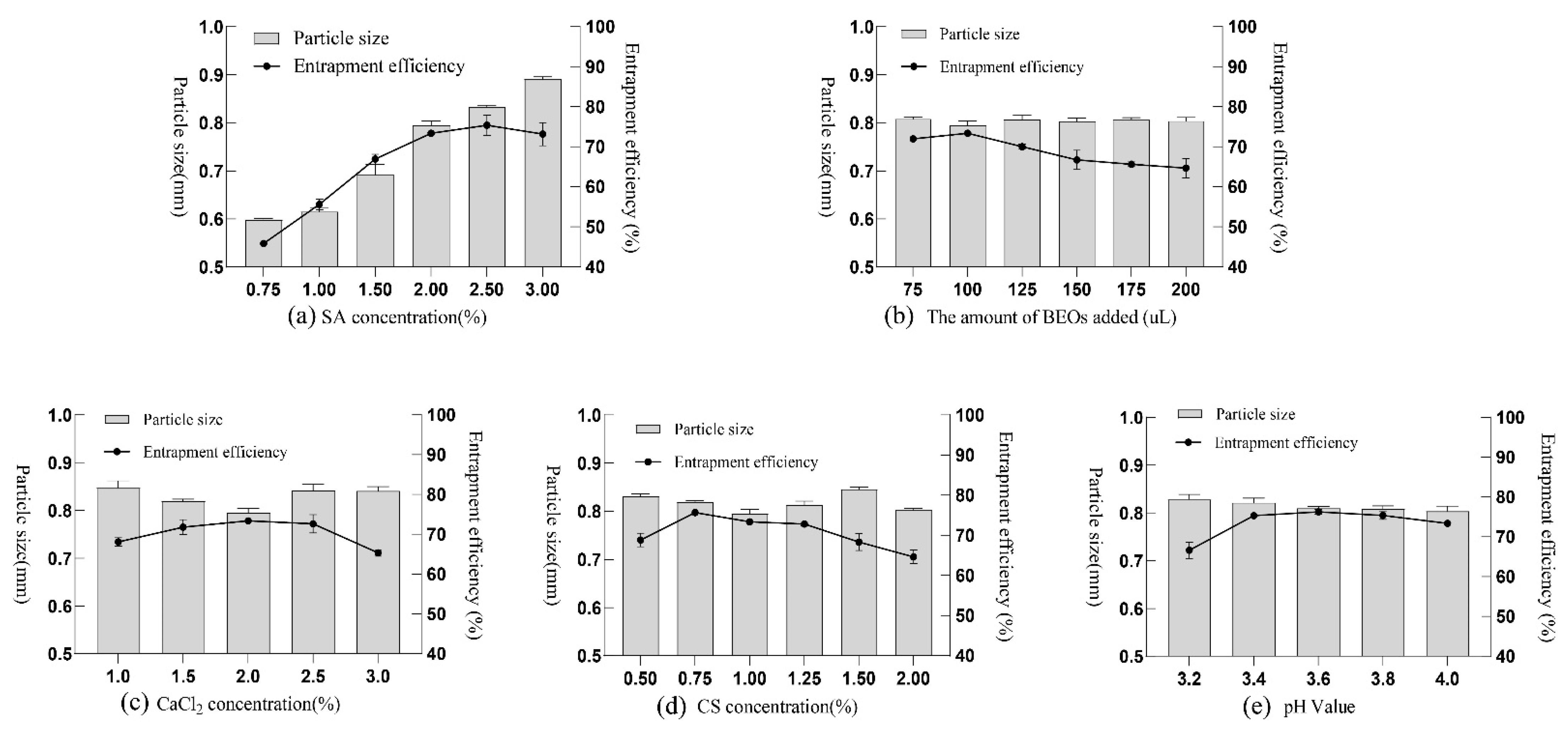
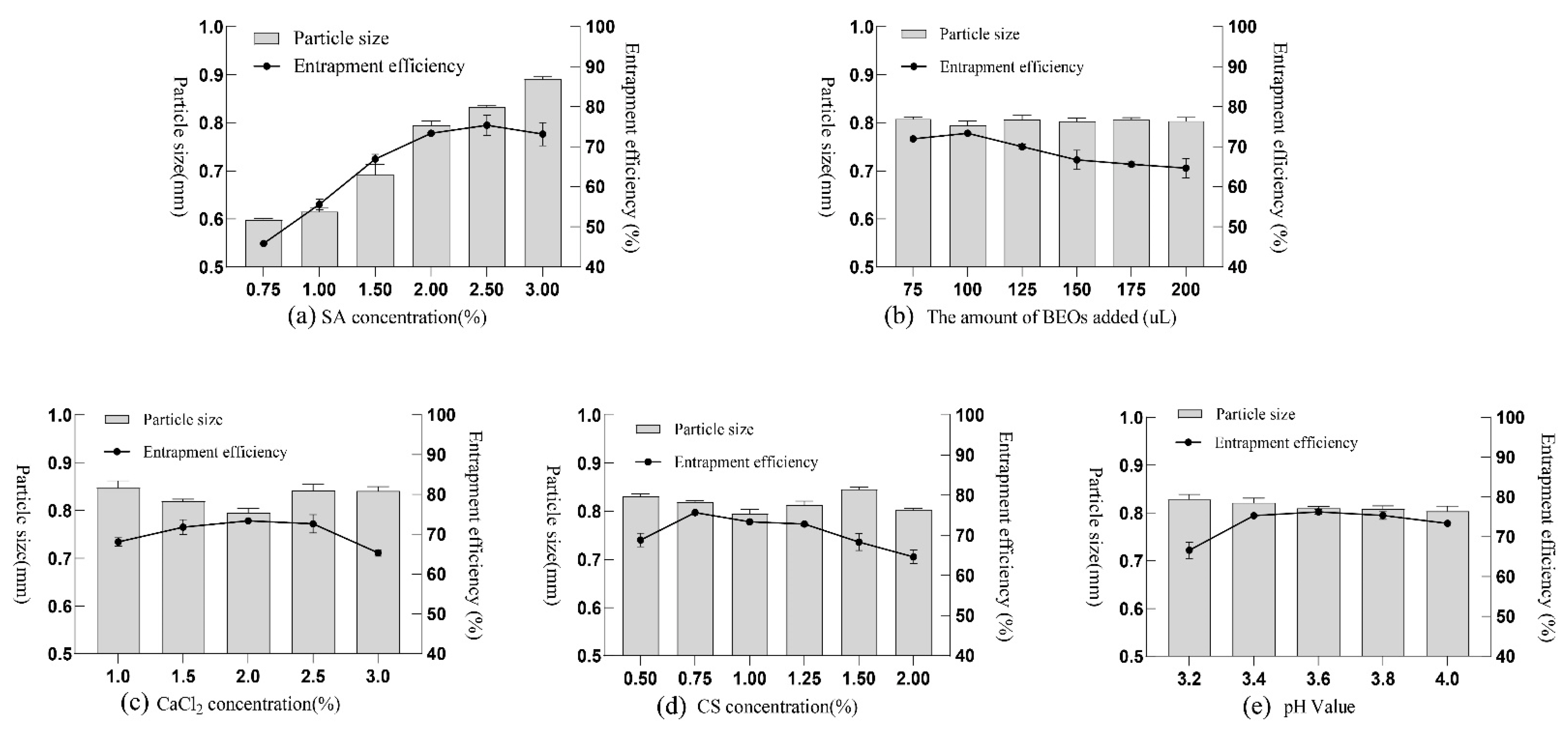
2.1. Single Fctor Experiments of Microcapsules
2.2. Optimization of Microcapsules Preparation by Response Surface
2.3. Analysis of FTIR Spectrums of Microcapsules
2.4. FSEM Result Analysis of BEO Microcapsules
2.5. Release Behaviors of BEO Microcapsules in Simulated Gastroenteric Fluid
3. Discussion
4. Materials and Methods
4.1. Materials
4.2. Methods
4.2.1. Preparation of BEO Microcapsules
4.2.2. Calculation of Encapsulation Efficiency
4.2.3. Single-Factor Experiment and Response Surface Analysis Optimization
4.2.4. Microcapsule Morphology Analysis and Particle Size Measurement
4.2.5. FTIR Analyze
4.2.6. Microcapsule Structure Characterization by FSEM
4.2.7. Release Behaviors in Simulated Gastrointestinal Fluids of Broilers
4.2.8. Statistical Analysis
5. Conclusions
Author Contributions
Funding
Institutional Review Board Statement
Informed Consent Statement
Data Availability Statement
Acknowledgments
Conflicts of Interest
References
- Kyuchukova, R. Antibiotic residues and human health hazard-review. Bulg. J. Agric. Sci. 2020, 26, 664–668. [Google Scholar]
- Aumeeruddy-Elalfi, Z.; Lall, N.; Fibrich, B.; van Staden, A.B.; Hosenally, M.; Mahomoodally, M.F. Selected essential oils inhibit key physiological enzymes and possess intracellular and extracellular antimelanogenic properties in vitro. J. Food Drug Anal. 2018, 26, 232–243. [Google Scholar] [CrossRef] [PubMed]
- Amiri, N.; Afsharmanesh, M.; Salarmoini, M.; Meimandipour, A.; Hosseini, S.A.; Ebrahimnejad, H. Nanoencapsulation (in vitro and in vivo) as an efficient technology to boost the potential of garlic essential oil as alternatives for antibiotics in broiler nutrition. Animal 2021, 15, 100022. [Google Scholar] [CrossRef] [PubMed]
- Jugreet, B.S.; Suroowan, S.; Rengasamy, R.R.K.; Mahomoodally, M.F. Chemistry, bioactivities, mode of action and industrial applications of essential oils. Trends Food. Sci. Tech. 2020, 101, 89–105. [Google Scholar] [CrossRef]
- Omonijo, F.A.; Kim, S.; Guo, T.; Wang, Q.; Gong, J.; Lahaye, L.; Bodin, J.-C.; Nyachoti, M.; Liu, S.; Yang, C.B. Development of novel microparticles for effective delivery of thymol and lauric acid to pig intestinal tract. J. Agric. Food Chem. 2018, 66, 9608–9615. [Google Scholar] [CrossRef]
- Yang, C.; Kennes, Y.M.; Lepp, D.; Yin, X.; Wang, Q.; Yu, H.; Yang, C.; Gong, J.; Diarra, M.S. Effects of encapsulated cinnamaldehyde and citral on the performance and cecal microbiota of broilers vaccinated or not vaccinated against coccidiosis. Poult. Sci. 2022, 99, 936–948. [Google Scholar] [CrossRef]
- Bakry, A.M.; Abbas, S.; Ali, B.; Majeed, H.; Abouelwafa, M.Y.; Mousa, A.; Liang, L. Microencapsulation of oils: A comprehen-sive review of benefits, techniques, and applications. Compr. Rev. Food Sci. Food Saf. 2016, 15, 143–182. [Google Scholar] [CrossRef]
- Veiga, R.D.S.D.; Aparecida Da Silva-Buzanello, R.; Corso, M.P.; Canan, C. Essential oils microencapsulated obtained by spray drying: A review. J. Essent. Oil Res. 2019, 31, 457–473. [Google Scholar] [CrossRef]
- Zhang, T.; Luo, Y.; Wang, M.X.; Chen, F.; Liu, J.K.; Meng, K.; Zhao, H.J. Double-Layered microcapsules significantly improve the long-term effectiveness of essential oil. Polymers 2020, 12, 1651. [Google Scholar] [CrossRef]
- Khatibi, S.A.; Ehsani, A.; Nemati., M.; Javadi, A. Microencapsulation of Zataria multiflora Boiss. essential oil by complex coacervation using gelatin and gum arabic: Characterization, release profile, antimicrobial and antioxidant activities. J. Food Process. Preserv. 2021, 45, e15823. [Google Scholar] [CrossRef]
- Bah, M.G.; Bilal, H.M.; Wang, J.T. Fabrication and application of complex microcapsules: A review. Soft Matter 2020, 16, 570–590. [Google Scholar] [CrossRef] [PubMed]
- Wu, L.L.; Zhang, M.; Liu, Y.P. Microencapsulation of monosodium glutamate by piercing method and their sustained release in boiling water. J. Food Sci. Biotechnol. 2019, 38, 104–111. [Google Scholar]
- Ning, J.; Yue, S. Optimization of preparation conditions of eucalyptus essential oil microcapsules by response surface methodology. J. Food Process. Preserv. 2021, 43, e14188. [Google Scholar] [CrossRef]
- Li, R.; Jiang, S.; Jiang, Z. β-Cyclodextrin Supramolecular Microcapsules and Antioxidant Activity of Laurus nobilis Essential Oil. J. Essent. Oil Bear. Plants. 2017, 20, 1511–1524. [Google Scholar] [CrossRef]
- Munhuweyi, K.; Caleb, O.J.; van Reenen, A.J.; Opara, U.L. Physical and antifungal properties of β-cyclodextrin microcapsules and nanofibre films containing cinnamon and oregano essential oils. LWT 2018, 87, 413–422. [Google Scholar] [CrossRef]
- Hasani, S.; Ojagh, S.M.; Ghorbani, M. Nanoencapsulation of lemon essential oil in Chitosan-Hicap system. Part 1: Study on its physical and structural characteristics. Int. J. Biol. Macromol. 2018, 115, 143–151. [Google Scholar] [CrossRef]
- Fernández-Quiroz, D.; Loya-Duarte, J.; Silva-Campa, E.; Argüelles-Monal, W.; Sarabia-Sainz, A.; Lucero-Acuña, A.; del Castillo-Castro, T.; San Román, J.; Lizardi-Mendoza, J.; Burgara-Estrella, J.; et al. Temperature stimuli-responsive nanoparticles from chitosan-graf-poly (N-vinylcaprolactam) as a drug delivery system. J. Appl. Polym. Sci. 2019, 136, 47831. [Google Scholar] [CrossRef]
- Wang, D.W.; Ren, H.H.; Yang, J.D.; Fan, H.X.; Li, G.J. Preparation and stability of microcapsules containing functional lipids. Food Sci. 2018, 39, 264–269. [Google Scholar]
- Cebi, N.; Arici, M.; Sagdic, O. The famous Turkish rose essential oil: Characterization and authenticity monitoring by FTIR, Raman and GC–MS techniques combined with chemometrics. Food Chem. 2021, 354, 129495. [Google Scholar] [CrossRef]
- Fernández-Gutiérrez, M.; Bossio, O.; Gómez-Mascaraque, L.G.; Vázquez-Lasa, B.; San Román, J. Bioactive chitosan nanoparticles loaded with retinyl palmitate: A simple route using ionotropic gelation. Macromol. Chem. Phys. 2015, 216, 1321–1332. [Google Scholar] [CrossRef]
- Fang, F.; Zhang, Z.X.; Cheng, L.; Zhang, C.; Wu, S.X. Study on Preparation and Characterization of Atractylodes Macrocephala Volatile Oil Microcapsules by Complex Coacervation Method. J. Chin. Cereals Oils Assoc. 2020, 35, 97–101, 109. [Google Scholar]
- Manjanna, K.M.; Kumar, T.P.; Shivakumar, B. Calcium alginate cross-linked polymeric microbeads for oral sustained drug delivery in arthritis. Drug. Discov. Ther. 2010, 4, 109–122. [Google Scholar] [PubMed]
- Rasel, M.A.T.; Hasan, M. Formulation and evaluation of floating alginate beads of diclofenac sodium. Dhaka Univ. J. Pharm. Sci. 2012, 11, 29–35. [Google Scholar] [CrossRef]
- Chen, L.; Zhang, Y.; Tan, Y.C.; Li, Q.L. Response surface methodology for the optimization of preparation process for rice antioxidant peptide microcapsules by piercing method. Food Sci. 2014, 35, 97–103. [Google Scholar]
- Wang, N.; Wang, J.Q.; Wang, Y.F.; Ding, H. Preparation and stability of microcapsules containing functional lipids. Sci. Technol. Food Ind. 2016, 37, 224–227, 234. [Google Scholar]
- Meng, X.Y.; Zhao, Y.Q.; Li, Y.K.; Li, Y.Q.; Xiao, H.; Xiao, Y.; Yang, M.L. Preparation of anthocyanin from hibiscus sabdariffa microcapsules and evaluation of stability and release. Sci. Technol. Food Ind. 2019, 40, 174–181. [Google Scholar]
- He, R.J.; Yang, S.; Sun, P.l.; Ouyang, H.T. Progress in preparation of sodium alginate &chitosan microcapsules and its applications. Food Mach. 2020, 26, 166–169, 173. [Google Scholar]
- Bastos, L.P.H.; de Carvalho, C.W.P.; Garcia-Rojas, E.E. Formation and characterization of the complex coacervates obtained between lactoferrin and sodium alginate. Int, J. Biol. Macromol. 2018, 120, 332–338. [Google Scholar] [CrossRef]
- Yu, W.T.; Liu, X.D.; Li, X.X.; Qi, W.T.; Ren, D.W.; Ma, X.J. Effect of pH of chitosan solution on properties of sodium alginate chitosan microcapsules with cells. Chem. J. Chin. Univ. 2006, 27, 182–186. [Google Scholar]
- Rawal, S.U.; Patel, M.M. Lipid nanoparticulate systems: Modern versatile drug carriers. In Lipid Nanocarriers for Drug Targeting; William Andrew Publishing: Norwich, UK, 2018; pp. 49–138. [Google Scholar]
- Yostawonkul, J.; Nittayasut, N.; Phasuk, A.; Junchay, R.; Boonrungsiman, S.; Temisak, S.; Kongsema, M.; Phoolcharoen, W.; Yata, T. Nano/microstructured hybrid composite particles containing cinnamon oil as an antibiotic alternative against food-borne pathogens. J. Food Eng. 2021, 290, 110209. [Google Scholar] [CrossRef]
- Thuekeaw, S.; Angkanaporn, K.; Chirachanchai, S.; Nuengjamnong, C. Dual pH responsive via double-layered microencapsulation for controlled release of active ingredients in simulated gastrointestinal tract: A model case of chitosan-alginate microcapsules containing basil oil (Ocimum basilicum Linn.). Polym. Degrad. Stabil. 2021, 191, 109660. [Google Scholar] [CrossRef]
- Baruch, E.; Lichtenberg, D.; Barak, P.; Nir, S. Calcium binding to bile salts. Chem. Phys. Lipids. 1991, 57, 17–27. [Google Scholar] [CrossRef]
- Østberg, T.; Lund, E.M.; Graffner, C. Calcium alginate matrices for oral multiple unit administration: IV. Release characteristics in different media. Int. J. Pharmaceut. 1994, 112, 241–248. [Google Scholar] [CrossRef]
- Wan, P.; Liu, Q.T.; Wu, S.P.; Zhao, Z.G.; Chen, S.C.; Zou, Y.X.; Rao, W.H.; Yu, X. A novel microwave induced oil release pattern of calcium alginate/nano-Fe3O4 composite capsules for asphalt self-healing. J. Clean. Prod. 2021, 297, 126721. [Google Scholar] [CrossRef]
- Li, H.Y.; Wang, H.B.; Fu, J.J.; Wang, W.C. Optimization of preparation technology of peppermint oil microcapsules in gelatin-sodium alginate. Polym. Mater. Sci. Eng. 2019, 35, 142–149. [Google Scholar]
- Yingngam, B.; Kacha, W.; Rungseevijitprapa, W.; Sudta, P.; Prasitpuriprecha, C.; Brantner, A. Response surface optimization of spray-dried citronella oil microcapsules with reduced volatility and irritation for cosmetic textile uses. Powder Technol. 2019, 355, 372–385. [Google Scholar] [CrossRef]
- Cai, C.C.; Ma, R.J.; Duan, M.; Lu, D.J. Preparation and antimicrobial activity of thyme essential oil microcapsules prepared with gum arabic. RSC Adv. 2019, 9, 19740–19747. [Google Scholar] [CrossRef]
- Guo, Y.M. Poultry Nutrition (Second Edition); China Agricultural University Press: Beijing, China, 2004; p. 6. [Google Scholar]
- Liang, B.; Shao, J.P.; Yang, S.; Gao, J.C.; Zhang, P.; Liu, J.Q.; Wang, W.H.; Sun, Y.Y.; Zuo, Y.J. Preparation and slow release properties of camellia oil microcapsules. Fine Chem. 2020, 37, 2541–2553. [Google Scholar]







| Concentration (%) | Forming Effect | Average Dry Particle Size (mm) | Microcapsule Images | Section Micrograph (16 × 25) |
|---|---|---|---|---|
| 0.75 | Microcapsules are uneven in shape and size, with a granular flat appearance, light color, soft texture, high adhesion, and many trailing phenomena. | 0.598 ± 0.002 e | ![]() | ![]() |
| 1.0 | Microcapsules are relatively uniform in shape and size, with a small amount of elliptic and irregular shapes, lighter color, soft texture, high adhesion, and trailing phenomenon. | 0.615 ± 0.005 e | ![]() | ![]() |
| 1.5 | The shape of microcapsules is relatively uniform, with the existence of large or small particles, lighter color, soft texture, high adhesion, and trailing phenomenon. | 0.692 ± 0.012 d | ![]() | ![]() |
| 2.0 | Microcapsules are uniformly in shape and size, with a good spherical shape, relatively uniform milky white in color, moderate texture, low adhesion, and no trailing phenomenon. | 0.798 ± 0.005 c | ![]() | ![]() |
| 2.5 | Microcapsules are uniformly in shape and size, with a good spherical shape, full milky white in color, moderate texture, low adhesion, and no trailing phenomenon. | 0.833 ± 0.002 b | ![]() | ![]() |
| 3.0 | Microcapsules are relatively uniform in shape and size, with large particles, milky white color, hard texture, low adhesion, and many trailing phenomena. | 0.891 ± 0.003 a | ![]() | ![]() |
| The Amount of BEO Added (μL) | Forming Effect | Average Dry Particle Size (mm) | Microcapsule Images | Section Micrograph (16 × 25) |
|---|---|---|---|---|
| 75 | Microcapsules are relatively uniform in shape and size, with a good spherical shape, light and uneven milky white color, moderate texture, low adhesion, and no trailing phenomenon. | 0.808 ± 0.002 | ![]() | ![]() |
| 100 | Microcapsules are uniformly in shape and size, with a good spherical shape, relatively uniform milky white color, moderate texture, low adhesion, and no trailing phenomenon. | 0.795 ± 0.005 | ![]() | ![]() |
| 125 | Microcapsules are uniformly in shape and size, with a good spherical shape, even color, moderate texture, low adhesion, and no trailing phenomenon. | 0.807 ± 0.005 | ![]() | ![]() |
| 150 | Microcapsules are uniformly in shape and size, with a good spherical shape, even color, moderate texture, low adhesion, and no trailing phenomenon. | 0.803 ± 0.003 | ![]() | ![]() |
| 175 | Microcapsules are uniform in shape and size, with a good spherical shape, deep milky white color, moderate texture, and a few have tailing phenomenon. | 0.807 ± 0.002 | ![]() | ![]() |
| 200 | Microcapsules are relatively uniform in shape and size, with a few large particles, deep milky white color, hard texture, and a few have trailing phenomenon. | 0.804 ± 0.004 | ![]() | ![]() |
| Concentration (%) | Forming Effect | Average Dry Particle Size (mm) | Microcapsule Images | Section Micrograph(16 × 25) |
|---|---|---|---|---|
| 1.0 | Microcapsules are relatively uniform in shape and size, with moderate spherical shape, light and uniform milky white color, soft texture, and moderate adhesion, and very few have tailing phenomenon. | 0.847 ± 0.008 a | ![]() | ![]() |
| 1.5 | Microcapsules are relatively uniform in shape and size, with a good spherical shape, even milky white, soft texture, moderate adhesion, and no trailing phenomenon. | 0.819 ± 0.002 b | ![]() | ![]() |
| 2.0 | Microcapsules are uniformly in shape and size, with a good spherical shape, relatively uniform milky white color, moderate texture, low adhesion, and no trailing phenomenon. | 0.795 ± 0.005 c | ![]() | ![]() |
| 2.5 | Microcapsules are uniformly in shape and size, with a good spherical shape, dark and uniform milky white color, hard texture, low adhesion, and no trailing phenomenon. | 0.842 ± 0.007 a | ![]() | ![]() |
| 3.0 | Microcapsules are uniform and round in shape, relatively uniform in size, with a good spherical shape, uneven milky white color, hard texture, low adhesion, and no trailing phenomenon. | 0.841 ± 0.005 a | ![]() | ![]() |
| Concentration (%) | Forming Effect | Average Dry Particle Size (mm) | Microcapsule Images | Section Micrograph (16 × 25) |
|---|---|---|---|---|
| 0.5 | Microcapsules are uniformly in shape and size, with a good spherical shape, light milky white color, hard texture, low adhesion, and no trailing phenomenon. | 0.831 ± 0.003 b | ![]() | ![]() |
| 0.75 | Microcapsules are relatively uniform in shape and size, with a good spherical shape, even milky white color, hard texture, low adhesion, and no trailing phenomenon. | 0.822 ± 0.002 b,c | ![]() | ![]() |
| 1.0 | Microcapsules are uniformly in shape and size, with a good spherical shape, relatively uniform milky white color, moderate texture, low adhesion, and no trailing phenomenon. | 0.795 ± 0.05 d | ![]() | ![]() |
| 1.25 | Microcapsules are smooth in shape and size, with a good spherical shape, even milky white color, hard texture, moderate adhesion, and no trailing phenomenon. | 0.813 ± 0.004 c | ![]() | ![]() |
| 1.5 | Microcapsules are uneven in shape and size, poor in a spherical shape, mostly granular, even in milky white color, moderate adhesion, moderate texture, and trailing phenomenon. | 0.846 ± 0.003 a | ![]() | ![]() |
| 2.0 | Microcapsules are uneven in shape and size, poor in spherical shape, deep milky white color, hard texture, low adhesion and have trailing phenomenon. | 0.803 ± 0.002 d | ![]() | ![]() |
| pH Value | Forming Effect | Average Dry Particle Size (mm) | Microcapsule Images | Section Micrograph (16 × 25) |
|---|---|---|---|---|
| 3.2 | Microcapsules are relatively uniform in shape, with a few large and small particles, light milky white color, moderate texture, low adhesion, and no trailing phenomenon. | 0.829 ± 0.006 a | ![]() | ![]() |
| 3.4 | Microcapsules are uniformly in shape and size, with a good spherical shape, even milky white color, moderate texture, low adhesion and very few tailing phenomena. | 0.822 ± 0.005 a,b | ![]() | ![]() |
| 3.6 | Microcapsules are uniformly in shape and size, with a good spherical shape, milky white uniform color, low adhesion, moderate texture, and no trailing phenomenon. | 0.810 ± 0.002 b,c | ![]() | ![]() |
| 3.8 | Microcapsules are uniform in shape and size, with a good spherical shape, even color, moderate texture, low adhesion, and no trailing phenomenon. | 0.809 ± 0.004 b,c | ![]() | ![]() |
| 4.0 | Microcapsules are uniform in shape and size, with a good spherical shape, relatively uniform milky white color, moderate texture, low adhesion, and no trailing phenomenon. | 0.795 ± 0.005 c | ![]() | ![]() |
| Levels | Factors | |||
|---|---|---|---|---|
| A: pH Value | B: the BEO Addition/μL | C: CaCl2 Concentration/% | D: CS Concentration/% | |
| −1 | 3.4 | 75 | 1.5 | 0.5 |
| 0 | 3.6 | 100 | 2.0 | 0.75 |
| 1 | 3.8 | 150 | 2.5 | 1.0 |
| No | A | B | C | D | EE/% |
|---|---|---|---|---|---|
| 1 | 3.4 | 100 | 1.5 | 0.75 | 77.17 ± 0.28 |
| 2 | 3.4 | 100 | 2.0 | 0.5 | 77.26 ± 1.52 |
| 3 | 3.8 | 100 | 2.0 | 1.0 | 77.14 ± 1.33 |
| 4 | 3.6 | 75 | 1.5 | 0.75 | 78.30 ± 0.67 |
| 5 | 3.8 | 125 | 2.0 | 0.75 | 78.79 ± 1.26 |
| 6 | 3.6 | 100 | 2.0 | 0.75 | 81.22 ± 0.54 |
| 7 | 3.6 | 75 | 2.5 | 0.75 | 74.13 ± 0.54 |
| 8 | 3.6 | 100 | 1.5 | 1.0 | 78.29 ± 1.01 |
| 9 | 3.8 | 100 | 1.5 | 0.75 | 78.26 ± 0.10 |
| 10 | 3.4 | 125 | 2.0 | 0.75 | 79.59 ± 0.71 |
| 11 | 3.6 | 100 | 2.0 | 0.75 | 81.55 ± 0.79 |
| 12 | 3.6 | 125 | 1.5 | 0.75 | 77.30 ± 0.67 |
| 13 | 3.6 | 100 | 1.5 | 0.5 | 73.66 ± 0.38 |
| 14 | 3.6 | 75 | 2.0 | 1.0 | 76.31 ± 1.10 |
| 15 | 3.4 | 100 | 2.5 | 0.75 | 78.28 ± 0.55 |
| 16 | 3.6 | 100 | 2.0 | 0.75 | 82.07 ± 0.43 |
| 17 | 3.6 | 125 | 2.0 | 1.0 | 76.63 ± 0.73 |
| 18 | 3.6 | 100 | 2.0 | 0.75 | 81.15 ± 0.57 |
| 19 | 3.8 | 100 | 2.5 | 0.75 | 74.52 ± 0.51 |
| 20 | 3.8 | 75 | 2.0 | 0.75 | 78.29 ± 0.33 |
| 21 | 3.6 | 100 | 2.5 | 1.0 | 74.59 ± 0.70 |
| 22 | 3.6 | 75 | 2.0 | 0.5 | 76.32 ± 0.68 |
| 23 | 3.4 | 75 | 2.0 | 0.75 | 78.96 ± 0.58 |
| 24 | 3.8 | 100 | 2.0 | 0.5 | 77.30 ± 0.72 |
| 25 | 3.6 | 125 | 2.5 | 0.75 | 76.49 ± 0.56 |
| 26 | 3.6 | 100 | 2.5 | 0.5 | 74.49 ± 0.45 |
| 27 | 3.4 | 100 | 2.0 | 1.0 | 78.07 ± 0.59 |
| 28 | 3.6 | 125 | 2.0 | 0.5 | 75.85 ± 0.71 |
| 29 | 3.6 | 100 | 2.0 | 0.75 | 80.92 ± 0.71 |
| Source | Sum of Squares | df | Mean Square | F Value | p-Value |
|---|---|---|---|---|---|
| Model | 141.06 | 14 | 10.08 | 24.15 | <0.0001 |
| A: pH Value | 2.11 | 1 | 2.11 | 5.05 | 0.0412 |
| B: The BEO addition | 0.46 | 1 | 0.46 | 1.09 | 0.3133 |
| C: CaCl2 concentration | 9.15 | 1 | 9.15 | 21.94 | 0.0004 |
| D: CS concentration | 3.15 | 1 | 3.15 | 7.56 | 0.0157 |
| AB | 0.0042 | 1 | 0.0042 | 0.010 | 0.9213 |
| AC | 5.88 | 1 | 5.88 | 14.10 | 0.0021 |
| AD | 0.24 | 1 | 0.24 | 0.56 | 0.4651 |
| BC | 2.82 | 1 | 2.82 | 6.77 | 0.0209 |
| BD | 0.16 | 1 | 0.16 | 0.37 | 0.5506 |
| CD | 5.13 | 1 | 5.13 | 12.30 | 0.0035 |
| A2 | 5.29 | 1 | 5.29 | 12.69 | 0.0031 |
| B2 | 19.58 | 1 | 19.58 | 46.93 | <0.0001 |
| C2 | 65.27 | 1 | 65.27 | 156.48 | <0.0001 |
| D2 | 63.08 | 1 | 63.08 | 151.23 | <0.0001 |
| Residual | 5.84 | 14 | 0.42 | ||
| Lack of Fit | 5.04 | 10 | 0.50 | 2.54 | 0.1915 |
| Pure Error | 0.80 | 4 | 0.20 | ||
| Cor Total | 146.90 | 28 |
| Models | SGF | SIF | ||
|---|---|---|---|---|
| Fitted Equation | R2 | Fitted Equation | R2 | |
| Zero-order release | Q = 0.22t + 45.84 | 0.54 | Q = 0.21t + 54.10 | 0.61 |
| First-order release | Q = 71.16(1 − e−0.106t) | 0.98 | Q = 80.48(1 − e−0.08t) | 0.95 |
| Higuchi release | Q = 4.76t0.5 + 28.44 | 0.66 | Q = 3.05t0.5 + 42.90 | 0.84 |
| Ritger-Peppas release | Q = 21.71t0.2657 | 0.83 | Q = 30.24t0.2136 | 0.89 |
Publisher’s Note: MDPI stays neutral with regard to jurisdictional claims in published maps and institutional affiliations. |
© 2022 by the authors. Licensee MDPI, Basel, Switzerland. This article is an open access article distributed under the terms and conditions of the Creative Commons Attribution (CC BY) license (https://creativecommons.org/licenses/by/4.0/).
Share and Cite
Zhao, Q.; Gao, Y.-S.; Jin, F.; Zhu, L.-Y. Preparation Process Optimization and Performance Characterization of Feed Plant Essential Oil Microcapsules. Molecules 2022, 27, 7096. https://doi.org/10.3390/molecules27207096
Zhao Q, Gao Y-S, Jin F, Zhu L-Y. Preparation Process Optimization and Performance Characterization of Feed Plant Essential Oil Microcapsules. Molecules. 2022; 27(20):7096. https://doi.org/10.3390/molecules27207096
Chicago/Turabian StyleZhao, Qian, Yong-Sheng Gao, Fei Jin, and Li-Yun Zhu. 2022. "Preparation Process Optimization and Performance Characterization of Feed Plant Essential Oil Microcapsules" Molecules 27, no. 20: 7096. https://doi.org/10.3390/molecules27207096
APA StyleZhao, Q., Gao, Y.-S., Jin, F., & Zhu, L.-Y. (2022). Preparation Process Optimization and Performance Characterization of Feed Plant Essential Oil Microcapsules. Molecules, 27(20), 7096. https://doi.org/10.3390/molecules27207096

























































