Valorisation Potential of Invasive Acacia dealbata, A. longifolia and A. melanoxylon from Land Clearings
Abstract
1. Introduction
2. Results
2.1. Acacia Cell Wall Compositional Characterisation and Pretreatment Effects
2.2. Saccharification Yields of Acacia Biomass
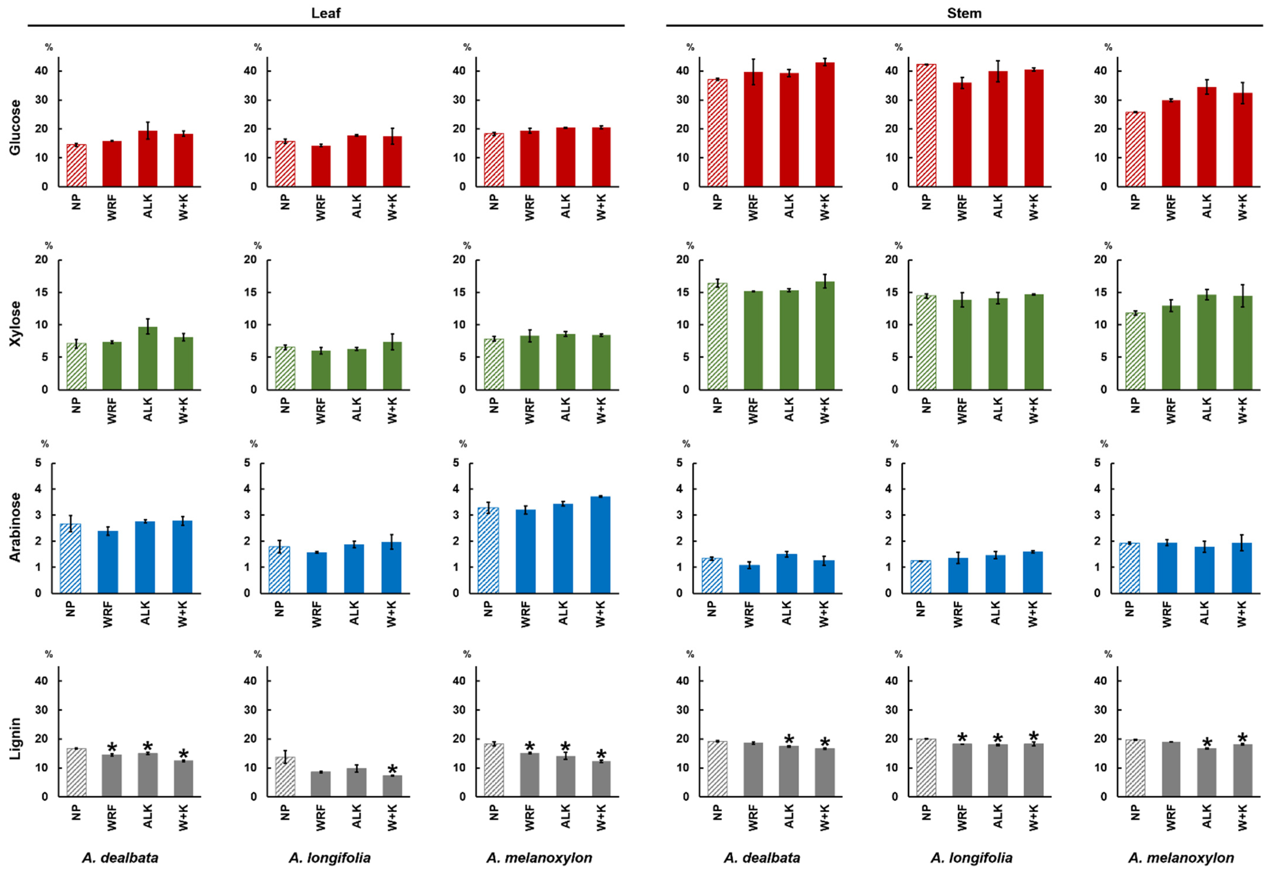
2.3. Acacia Cell Wall Neutral Sugars and Lignin Composition
3. Discussion
3.1. Characterisation of the Biomass from Acacia Species
3.2. Mild Alkali Pretreatment and Impact on Saccharification
3.3. Effects of White-Rot Fungi Pretreatments in Acacia Biomass
4. Materials and Methods
4.1. Acacia Lignocellulosic Biomass
4.2. Preparation of Alcohol Insoluble Residue
4.3. Inoculum Preparation and Fungal Pretreatment
4.4. Mild Alkali Pretreatment
4.5. Fourier-Transform Infrared Spectroscopy
4.6. Saccharification
4.7. Neutral Monosaccharides
4.8. Lignin Measurement
4.9. Statistical Analysis
5. Conclusions
Supplementary Materials
Author Contributions
Funding
Institutional Review Board Statement
Informed Consent Statement
Data Availability Statement
Conflicts of Interest
Sample Availability
References
- Seigler, D.S. Phytochemistry of Acacia—Sensu lato. Biochem. Syst. Ecol. 2003, 31, 845–873. [Google Scholar] [CrossRef]
- Lourenço, A.; Baptista, I.; Gominho, J.; Pereira, H. The influence of heartwood on the pulping properties of Acacia melanoxylon wood. J. Wood Sci. 2008, 54, 464–469. [Google Scholar] [CrossRef]
- Correia, R.; Quintela, J.C.; Duarte, M.P.; Gonçalves, M. Insights for the Valorization of Biomass from Portuguese Invasive Acacia spp. in a Biorefinery Perspective. Forests 2020, 11, 1342. [Google Scholar] [CrossRef]
- Nunes, L.J.R.; Raposo, M.A.M.; Meireles, C.I.R.; Pinto Gomes, C.J.; Ribeiro, N.M.C.A. Control of Invasive Forest Species through the Creation of a Value Chain: Acacia dealbata Biomass Recovery. Environments 2020, 7, 39. [Google Scholar] [CrossRef]
- Nunes, L.J.R.; Raposo, M.A.M.; Meireles, C.I.R.; Pinto Gomes, C.J.; Almeida Ribeiro, N.M.C. Carbon Sequestration Potential of Forest Invasive Species: A Case Study with Acacia dealbata Link. Resources 2021, 10, 51. [Google Scholar] [CrossRef]
- Nunes, L.J.R.; Raposo, M.A.M.; Meireles, C.I.R.; Gomes, C.J.P.; Ribeiro, N.M.C.A. The Impact of Rural Fires on the Development of Invasive Species: Analysis of a Case Study with Acacia dealbata Link. in Casal do Rei (Seia, Portugal). Environments 2021, 8, 44. [Google Scholar] [CrossRef]
- White, R.H. Effect of lignin content and extractives on the higher heating value of wood. Wood Fiber Sci. 1987, 19, 446–452. [Google Scholar]
- Liu, C.-G.; Xiao, Y.; Xia, X.-X.; Zhao, X.-Q.; Peng, L.; Srinophakun, P.; Bai, F.-W. Cellulosic ethanol production: Progress, challenges and strategies for solutions. Biotechnol. Adv. 2019, 37, 491–504. [Google Scholar] [CrossRef]
- Mishra, A.; Kumar, M.; Bolan, N.S.; Kapley, A.; Kumar, R.; Singh, L. Multidimensional approaches of biogas production and up-gradation: Opportunities and challenges. Bioresour. Technol. 2021, 338, 125514. [Google Scholar] [CrossRef]
- Ahmad, A.; Banat, F.; Taher, H. A review on the lactic acid fermentation from low-cost renewable materials: Recent developments and challenges. Environ. Technol. Innov. 2020, 20, 101138. [Google Scholar] [CrossRef]
- Mores, S.; Vandenberghe, L.P.d.S.; Magalhães Júnior, A.I.; de Carvalho, J.C.; de Mello, A.F.M.; Pandey, A.; Soccol, C.R. Citric acid bioproduction and downstream processing: Status, opportunities, and challenges. Bioresour. Technol. 2021, 320, 124426. [Google Scholar] [CrossRef] [PubMed]
- Ravinder, T.; Swamy, M.V.; Seenayya, G.; Reddy, G. Clostridium lentocellum SG6—A potential organism for fermentation of cellulose to acetic acid. Bioresour. Technol. 2001, 80, 171–177. [Google Scholar] [CrossRef]
- Mancini, E.; Mansouri, S.S.; Gernaey, K.V.; Luo, J.; Pinelo, M. From second generation feed-stocks to innovative fermentation and downstream techniques for succinic acid production. Crit. Rev. Environ. Sci. Technol. 2020, 50, 1829–1873. [Google Scholar] [CrossRef]
- Silva, J.P.; Mussatto, S.I.; Roberto, I.C. The influence of initial xylose concentration, agitation, and aeration on ethanol production by Pichia stipitis from rice straw hemicellulosic hydrolysate. Appl. Biochem. Biotechnol. 2010, 162, 1306–1315. [Google Scholar] [CrossRef] [PubMed]
- Lekshmi Sundar, M.S.; Madhavan Nampoothiri, K. An overview of the metabolically engineered strains and innovative processes used for the value addition of biomass derived xylose to xylitol and xylonic acid. Bioresour. Technol. 2022, 345, 126548. [Google Scholar] [CrossRef]
- Ragauskas, A.J.; Beckham, G.T.; Biddy, M.J.; Chandra, R.; Chen, F.; Davis, M.F. Lignin valorization: Improving lignin processing in the biorefinery. Science 2014, 344, 709. [Google Scholar] [CrossRef]
- Muazzam, R.; Asim, A.M.; Uroos, M.; Muhammad, N.; Hallett, J.P. Evaluating the potential of a novel hardwood biomass using a superbase ionic liquid. RSC Adv. 2021, 11, 19095–19105. [Google Scholar] [CrossRef]
- Sheng, Y.; Lam, S.S.; Wu, Y.; Ge, S.; Wu, J.; Cai, L.; Huang, Z.; Le, Q.V.; Sonne, C.; Xia, C. Enzymatic conversion of pretreated lignocellulosic biomass: A review on influence of structural changes of lignin. Bioresour. Technol. 2021, 324, 124631. [Google Scholar] [CrossRef]
- Hendriks, A.T.W.M.; Zeeman, G. Pretreatments to enhance the digestibility of lignocellulosic biomass. Bioresour. Technol. 2009, 100, 10–18. [Google Scholar] [CrossRef]
- Xu, N.; Zhang, W.; Ren, S.; Liu, F.; Zhao, C.; Liao, H.; Xu, Z.; Huang, J.; Li, Q.; Tu, Y.; et al. Hemicelluloses negatively affect lignocellulose crystallinity for high biomass digestibility under NaOH and H2SO4 pretreatments in Miscanthus. Biotechnol. Biofuels 2012, 5, 58. [Google Scholar] [CrossRef]
- Li, C.; Sun, L.; Simmons, B.A.; Singh, S. Comparing the Recalcitrance of Eucalyptus, Pine, and Switchgrass Using Ionic Liquid and Dilute Acid Pretreatments. Bioenerg. Res. 2013, 6, 14–23. [Google Scholar] [CrossRef]
- Wyman, C.E.; Dale, B.E.; Balan, V.; Elander, R.T.; Holtzapple, M.T.; Ramirez, R.S.; Ladisch, M.R.; Mosier, N.S.; Lee, Y.Y.; Gupta, R.; et al. Comparative Performance of Leading Pretreatment Technologies for Biological Conversion of Corn Stover, Poplar Wood, and Switchgrass to Sugars. In Aqueous Pretreatment of Plant Biomass for Biological and Chemical Conversion to Fuels and Chemicals; John Wiley & Sons, Ltd.: Hoboken, NJ, USA, 2013; pp. 239–259. [Google Scholar]
- Da Costa, R.M.F.; Pattathil, S.; Avci, U.; Winters, A.; Hahn, M.G.; Bosch, M. Desirable plant cell wall traits for higher-quality miscanthus lignocellulosic biomass. Biotechnol. Biofuels 2019, 12, 85. [Google Scholar] [CrossRef] [PubMed]
- Da Costa, R.M.F.; Winters, A.; Hauck, B.; Martín, D.; Bosch, M.; Simister, R.; Gomez, L.D.; Batista de Carvalho, L.A.E.; Canhoto, J.M. Biorefining Potential of Wild-Grown Arundo donax, Cortaderia selloana and Phragmites australis and the Feasibility of White-Rot Fungi-Mediated Pretreatments. Front. Plant Sci. 2021, 12, 679966. [Google Scholar] [CrossRef] [PubMed]
- Intasit, R.; Khunrae, P.; Meeinkuirt, W.; Soontorngun, N. Fungal pretreatments of Napier grass and sugarcane leaves for high recovery of lignocellulosic enzymes and methane production. Ind. Crops Prod. 2022, 180, 114706. [Google Scholar] [CrossRef]
- Vyas, S.; Prajapati, P.; Shah, A.V.; Kumar Srivastava, V.; Varjani, S. Opportunities and knowledge gaps in biochemical interventions for mining of resources from solid waste: A special focus on anaerobic digestion. Fuel 2022, 311, 122625. [Google Scholar] [CrossRef]
- Blanchette, R.A. Delignification by wood-decay fungi. Annu. Rev. Phytopathol. 1991, 29, 381–403. [Google Scholar] [CrossRef]
- Mahajan, S.; Jeremic, D.; Goacher, R.E.; Master, E.R. Mode of coniferous wood decay by the white rot fungus Phanerochaete carnosa as elucidated by FTIR and ToF-SIMS. Appl. Microbiol. Biotechnol. 2012, 94, 1303–1311. [Google Scholar] [CrossRef]
- Ruiz-Dueñas, F.J.; Martínez, A.T. Microbial degradation of lignin: How a bulky recalcitrant polymer is efficiently recycled in nature and how we can take advantage of this. Microb. Biotechnol. 2009, 2, 164–177. [Google Scholar] [CrossRef]
- Dashtban, M.; Schraft, H.; Syed, T.A.; Qin, W. Fungal biodegradation and enzymatic modification of lignin. Int. J. Biochem. Mol. Biol. 2010, 1, 36–50. [Google Scholar]
- López, A.M.Q.; Silva, A.L.d.S.; dos Santos, E.C.L. The Fungal Ability for Biobleaching/Biopulping/Bioremediation of Lignin-Like Compounds of Agro-Industrial Raw Material. Química Nova 2017, 40, 916–931. [Google Scholar] [CrossRef]
- Scott, G.M.; Akhtar, M.; Lentz, M.J.; Swaney, R.E. Engineering, scale-up, and economic aspects of fungal pretreatment of wood chips. Environ. Friendly Technol. Pulp Pap. Ind. 1998, 341–383. [Google Scholar]
- Sun, Y.; Cheng, J. Hydrolysis of lignocellulosic materials for ethanol production: A review. Bioresour. Technol. 2002, 83, 1–11. [Google Scholar] [CrossRef]
- Suryadi, H.; Judono, J.J.; Putri, M.R.; Eclessia, A.D.; Ulhaq, J.M.; Agustina, D.N.; Sumiati, T. Biodelignification of lignocellulose using ligninolytic enzymes from white-rot fungi. Heliyon 2022, 8, e08865. [Google Scholar] [CrossRef] [PubMed]
- Gwon, J.G.; Lee, S.Y.; Doh, G.H.; Kim, J.H. Characterization of chemically modified wood fibers using FTIR spectroscopy for biocomposites. J. Appl. Polym. Sci. 2010, 116, 3212–3219. [Google Scholar] [CrossRef]
- Sills, D.L.; Gossett, J.M. Using FTIR to predict saccharification from enzymatic hydrolysis of alkali-pretreated biomasses. Biotechnol. Bioeng. 2012, 109, 353–362. [Google Scholar] [CrossRef]
- Bekiaris, G.; Lindedam, J.; Peltre, C.; Decker, S.R.; Turner, G.B.; Magid, J.; Bruun, S. Rapid estimation of sugar release from winter wheat straw during bioethanol production using FTIR-photoacoustic spectroscopy. Biotechnol. Biofuels 2015, 8, 85. [Google Scholar] [CrossRef] [PubMed]
- Chatjigakis, A.K.; Pappas, C.; Proxenia, N.; Kalantzi, O.; Rodis, P.; Polissiou, M. FT-IR spectroscopic determination of the degree of esterification of cell wall pectins from stored peaches and correlation to textural changes. Carbohydr. Polym. 1998, 37, 395–408. [Google Scholar] [CrossRef]
- Manrique, G.D.; Lajolo, F.M. FT-IR spectroscopy as a tool for measuring degree of methyl esterification in pectins isolated from ripening papaya fruit. Postharvest Biol. Technol. 2002, 25, 99–107. [Google Scholar] [CrossRef]
- Gannasin, S.P.; Ramakrishnan, Y.; Adzahan, N.M.; Muhammad, K. Functional and Preliminary Characterisation of Hydrocolloid from Tamarillo (Solanum betaceum Cav.) Puree. Molecules 2012, 17, 6869–6885. [Google Scholar] [CrossRef]
- Ramirez, F.J.; Luque, P.; Heredia, A.; Bukovac, M.J. Fourier transform IR study of enzymatically isolated tomato fruit cuticular membrane. Biopolymers 1992, 32, 1425–1429. [Google Scholar] [CrossRef]
- Pandey, K.K. A study of chemical structure of soft and hardwood and wood polymers by FTIR spectroscopy. J. Appl. Polym. Sci. 1999, 71, 1969–1975. [Google Scholar] [CrossRef]
- Nogales-Bueno, J.; Baca-Bocanegra, B.; Rooney, A.; Hernández-Hierro, J.M.; Byrne, H.J.; Heredia, F.J. Study of phenolic extractability in grape seeds by means of ATR-FTIR and Raman spectroscopy. Food Chem. 2017, 232, 602–609. [Google Scholar] [CrossRef]
- Chen, H.; Ferrari, C.; Angiuli, M.; Yao, J.; Raspi, C.; Bramanti, E. Qualitative and quantitative analysis of wood samples by Fourier transform infrared spectroscopy and multivariate analysis. Carbohydr. Polym. 2010, 82, 772–778. [Google Scholar] [CrossRef]
- Marchessault, R. Application of infra-red spectroscopy to cellulose and wood polysaccharides. Pure Appl. Chem. 1962, 5, 107–130. [Google Scholar] [CrossRef]
- Harrington, K.; Higgins, H.; Michell, A. Infrared spectra of Eucalyptus regnans F. Muell. and Pinus radiata D. Don. Holzforsch.-Int. J. Biol. Chem. Phys. Technol. Wood 1964, 18, 108–113. [Google Scholar] [CrossRef]
- Kačuráková, M.; Capek, P.; Sasinková, V.; Wellner, N.; Ebringerová, A. FT-IR study of plant cell wall model compounds: Pectic polysaccharides and hemicelluloses. Carbohydr. Polym. 2000, 43, 195–203. [Google Scholar] [CrossRef]
- Szymanska-Chargot, M.; Zdunek, A. Use of FT-IR Spectra and PCA to the Bulk Characterization of Cell Wall Residues of Fruits and Vegetables Along a Fraction Process. Food Biophys. 2013, 8, 29–42. [Google Scholar] [CrossRef]
- Abidi, N.; Cabrales, L.; Haigler, C.H. Changes in the cell wall and cellulose content of developing cotton fibers investigated by FTIR spectroscopy. Carbohydr. Polym. 2014, 100, 9–16. [Google Scholar] [CrossRef]
- Wilson, R.H.; Smith, A.C.; Kacurakova, M.; Saunders, P.K.; Wellner, N.; Waldron, K.W. The Mechanical Properties and Molecular Dynamics of Plant Cell Wall Polysaccharides Studied by Fourier-Transform Infrared Spectroscopy. Plant Physiol. 2000, 124, 397–406. [Google Scholar] [CrossRef]
- Schulz, H.; Baranska, M. Identification and quantification of valuable plant substances by IR and Raman spectroscopy. Vib. Spectrosc. 2007, 43, 13–25. [Google Scholar] [CrossRef]
- Yáñez, R.; Romaní, A.; Garrote, G.; Alonso, J.L.; Parajó, J.C. Experimental evaluation of alkaline treatment as a method for enhancing the enzymatic digestibility of autohydrolysed Acacia dealbata. J. Chem. Technol. Biotechnol. 2009, 84, 1070–1077. [Google Scholar] [CrossRef]
- Yáñez, R.; Romaní, A.; Garrote, G.; Alonso, J.L.; Parajó, J.C. Processing of Acacia dealbata in Aqueous Media: First Step of a Wood Biorefinery. Ind. Eng. Chem. Res. 2009, 48, 6618–6626. [Google Scholar] [CrossRef]
- López-Hortas, L.; Rodríguez-González, I.; Díaz-Reinoso, B.; Torres, M.D.; Moure, A.; Domínguez, H. Tools for a multiproduct biorefinery of Acacia dealbata biomass. Ind. Crops Prod. 2021, 169, 113655. [Google Scholar] [CrossRef]
- Kong, F.; Engler, C.; Soltes, E. Effects of cell-wall acetate, xylan backbone, and lignin on enzymatic hydrolysis of aspen wood. Appl. Biochem. Biotechnol. 1992, 34–35, 23–35. [Google Scholar] [CrossRef]
- Chen, Y.; Stevens, M.; Zhu, Y.; Holmes, J.; Xu, H. Understanding of alkaline pretreatment parameters for corn stover enzymatic saccharification. Biotechnol. Biofuels 2013, 6, 8. [Google Scholar] [CrossRef]
- Chen, X.; Shekiro, J.; Pschorn, T.; Sabourin, M.; Tao, L.; Elander, R.; Park, S.; Jennings, E.; Nelson, R.; Trass, O.; et al. A highly efficient dilute alkali deacetylation and mechanical (disc) refining process for the conversion of renewable biomass to lower cost sugars. Biotechnol. Biofuels 2014, 7, 98. [Google Scholar] [CrossRef]
- Jackson, M.G. Review article: The alkali treatment of straws. Anim. Feed Sci. Technol. 1977, 2, 105–130. [Google Scholar] [CrossRef]
- Sharma, R.; Palled, V.; Sharma-Shivappa, R.; Osborne, J. Potential of Potassium Hydroxide Pretreatment of Switchgrass for Fermentable Sugar Production. Appl. Biochem. Biotechnol. 2013, 169, 761–772. [Google Scholar] [CrossRef]
- Da Costa, R.M.F.; Pattathil, S.; Avci, U.; Lee, S.J.; Hazen, S.P.; Winters, A.; Hahn, M.G.; Bosch, M. A cell wall reference profile for Miscanthus bioenergy crops highlights compositional and structural variations associated with development and organ origin. New Phytol. 2017, 213, 1710–1725. [Google Scholar] [CrossRef]
- Pauly, M.; Scheller, H.V. O-Acetylation of plant cell wall polysaccharides: Identification and partial characterization of a rhamnogalacturonan O-acetyl-transferase from potato suspension-cultured cells. Planta 2000, 210, 659–667. [Google Scholar] [CrossRef]
- Chandel, A.K.; Gonçalves, B.C.M.; Strap, J.L.; da Silva, S.S. Biodelignification of lignocellulose substrates: An intrinsic and sustainable pretreatment strategy for clean energy production. Crit. Rev. Biotechnol. 2015, 35, 281–293. [Google Scholar] [CrossRef] [PubMed]
- Valmaseda, M.; Martínez, M.J.; Martínez, A.T. Kinetics of wheat straw solid-state fermentation with Trametes versicolor and Pleurotus ostreatus—Lignin and polysaccharide alteration and production of related enzymatic activities. Appl. Microbiol. Biotechnol. 1991, 35, 817–823. [Google Scholar] [CrossRef]
- Taniguchi, M.; Suzuki, H.; Watanabe, D.; Sakai, K.; Hoshino, K.; Tanaka, T. Evaluation of pretreatment with Pleurotus ostreatus for enzymatic hydrolysis of rice straw. J. Biosci. Bioeng. 2005, 100, 637–643. [Google Scholar] [CrossRef] [PubMed]
- Abdel-Hamid, A.M.; Solbiati, J.O.; Cann, I.K.O. Chapter One—Insights into Lignin Degradation and its Potential Industrial Applications. In Advances in Applied Microbiology; Sariaslani, S., Gadd, G.M., Eds.; Academic Press: Cambridge, MA, USA, 2013; Volume 82, pp. 1–28. [Google Scholar]
- Ishii, T. Structure and functions of feruloylated polysaccharides. Plant Sci. 1997, 127, 111–127. [Google Scholar] [CrossRef]
- Ralph, J. Hydroxycinnamates in lignification. Phytochem. Rev. 2010, 9, 65–83. [Google Scholar] [CrossRef]
- Biely, P. Microbial carbohydrate esterases deacetylating plant polysaccharides. Biotechnol. Adv. 2012, 30, 1575–1588. [Google Scholar] [CrossRef] [PubMed]
- Pawar, P.M.-A.; Koutaniemi, S.; Tenkanen, M.; Mellerowicz, E.J. Acetylation of woody lignocellulose: Significance and regulation. Front. Plant Sci. 2013, 4, 118. [Google Scholar] [CrossRef]
- Zhai, R.; Hu, J.; Saddler, J.N. Minimizing cellulase inhibition of whole slurry biomass hydrolysis through the addition of carbocation scavengers during acid-catalyzed pretreatment. Bioresour. Technol. 2018, 258, 12–17. [Google Scholar] [CrossRef]
- Da Costa, R.M.F.; Barrett, W.; Carli, J.; Allison, G.G. Analysis of Plant Cell Walls by Attenuated Total Reflectance Fourier Transform Infrared Spectroscopy. In The Plant Cell Wall: Methods and Protocols; Popper, Z.A., Ed.; Springer: New York, NY, USA, 2020; pp. 297–313. [Google Scholar]
- Paiva de Carvalho, H.; Sequeira, S.O.; Pinho, D.; Trovão, J.; da Costa, R.M.F.; Egas, C.; Macedo, M.F.; Portugal, A. Combining an innovative non-invasive sampling method and high-throughput sequencing to characterize fungal communities on a canvas painting. Int. Biodeterior. Biodegrad. 2019, 145, 104816. [Google Scholar] [CrossRef]
- Salvachúa, D.; Prieto, A.; Lopez-Abelairas, M.; Lú-Chau, T.; Martínez, A.T.; Martínez, M.J. Fungal pretreatment: An alternative in second-generation ethanol from wheat straw. Bioresour. Technol. 2011, 102, 7500–7506. [Google Scholar] [CrossRef]
- Sun, F.-h.; Li, J.; Yuan, Y.-x.; Yan, Z.-y.; Liu, X.-f. Effect of biological pretreatment with Trametes hirsuta yj9 on enzymatic hydrolysis of corn stover. Int. Biodeterior. Biodegrad. 2011, 65, 931–938. [Google Scholar] [CrossRef]
- Gomez, L.D.; Whitehead, C.; Barakate, A.; Halpin, C.; McQueen-Mason, S. Automated saccharification assay for determination of digestibility in plant materials. Biotechnol. Biofuels 2010, 3, 23. [Google Scholar] [CrossRef]
- Whitehead, C.; Gomez, L.D.; McQueen-Mason, S.J. The Analysis of Saccharification in Biomass Using an Automated High-Throughput Method. Methods Enzymol. 2012, 510, 37–50. [Google Scholar] [CrossRef] [PubMed]
- Da Costa, R.M.F.; Lee, S.J.; Allison, G.G.; Hazen, S.P.; Winters, A.; Bosch, M. Genotype, development and tissue-derived variation of cell-wall properties in the lignocellulosic energy crop Miscanthus. Ann. Bot. 2014, 114, 1265–1277. [Google Scholar] [CrossRef] [PubMed]
- Monties, B. Lignins. In Methods in Plant Biochemistry; Dey, P.M., Harborne, J.B., Eds.; Academic Press: New York, NY, USA, 1989; Volume 1, pp. 113–158. [Google Scholar]
- Fukushima, R.S.; Kerley, M.S. Use of Lignin Extracted from Different Plant Sources as Standards in the Spectrophotometric Acetyl Bromide Lignin Method. J. Agric. Food Chem. 2011, 59, 3505–3509. [Google Scholar] [CrossRef]
- Chong, J.; Soufan, O.; Li, C.; Caraus, I.; Li, S.; Bourque, G.; Wishart, D.S.; Xia, J. MetaboAnalyst 4.0: Towards more transparent and integrative metabolomics analysis. Nucleic Acids Res. 2018, 46, W486–W494. [Google Scholar] [CrossRef]





| Region | Band (cm−1) | Assignment | Cell Wall Feature |
|---|---|---|---|
| a | 1728 [35,36,37] | C=O vibration | Xylan |
| b | 1640 [38,39,40] | COO- vibrations | Non-esterified carboxyl groups |
| c | 1612 [41,42,43] | Aromatic skeletal vibration | Lignin |
| d | 1314 [37,42,44] | Syringyl monomer vibration | Lignin |
| e | 1238 [37,45,46] | C-O vibrations of acetyl | Xylan |
| f | 1166 [37,47,48,49] | O-C-O asymmetric stretching (glycosidic link) all residues | Polysaccharides |
| g | 1055 [46,50,51] | C-O, C-C and O-C-H vibration | Cellulose |
| h | 1030 [50,51] | C-O, C-C and C-C-O stretching | Cellulose |
| Leaf | Stem | ||||||||
|---|---|---|---|---|---|---|---|---|---|
| AIR | AIK | AIR | AIK | ||||||
| A. dealbata | 125.5 ± 12.6 | 243.3 ± 7.7 | 197.9 ± 11.1 | 690.0 ± 16.7 | |||||
| A. longifolia | 51.7 ± 5.6 | 79.2 ± 6.6 | 80.9 ± 9.1 | 324.0 ± 15.5 | |||||
| A. melanoxylon | 81.8 ± 14.6 | 104.6 ± 12.4 | 195.6 ± 29.1 | 397.9 ± 71.2 | |||||
| NF | GAN | PLE | TRA | NF | GAN | PLE | TRA | No alkali | |
| A. dealbata | 140.0 ± 18.2 | 208.0 ± 15.5 | 194.1 ± 16.9 | 240.8 ± 40.4 | 243.9 ± 21.7 | 200.1 ± 18.2 | 276.9 ± 27.0 | 265.9 ± 26.9 | |
| A. longifolia | 115.1 ± 4.5 | 172.1 ± 12.8 | 172.1 ± 12.8 | 111.0 ± 16.2 | 230.7 ± 11.2 | 107.9 ± 5.3 | 162.5 ± 24.0 | 141.7 ± 2.6 | |
| A. melanoxylon | 160.8 ± 17.8 | 129.3 ± 9.7 | 149.6 ± 3.4 | 138.9 ± 16.9 | 207.6 ± 16.3 | 133.6 ± 2.9 | 234.2 ± 20.9 | 162.5 ± 6.1 | |
| NF | GAN | PLE | TRA | NF | GAN | PLE | TRA | Alkali | |
| A. dealbata | 243.4 ± 19.4 | 154.0 ± 10.8 | 179.6 ± 31.0 | 205.4 ± 38.8 | 608.1 ± 63.3 | 375.7 ± 7.5 | 702.3 ± 46.8 | 526.3 ± 80.5 | |
| A. longifolia | 105.2 ± 13.9 | 81.6 ± 5.2 | 94.7 ± 3.2 | 107.4 ± 8.5 | 349.0 ± 50.0 | 258.8 ± 28.0 | 289.1 ± 24.8 | 254.7 ± 42.1 | |
| A. melanoxylon | 166.7 ± 13.1 | 73.9 ± 10.9 | 70.6 ± 8.3 | 118.2 ± 18.9 | 236.4 ± 23.3 | 332.8 ± 52.4 | 369.8 ± 69.8 | 245.6 ± 17.1 | |
| Leaf | |||||
| Glucose | Xylose | Arabinose | Lignin | ||
| NP | 14.5 ± 0.6 | 7.1 ± 0.9 | 2.7 ± 0.4 | 16.7 ± 0.4 | A. dealbata |
| WRF | 15.8 ± 0.2 | 7.4 ± 0.3 | 2.4 ± 0.2 | 14.6 ± 0.8 | |
| ALK | 19.3 ± 4.1 | 9.7 ± 1.6 | 2.8 ± 0.1 | 15.0 ± 0.7 | |
| WRF + ALK | 18.3 ± 1.4 | 8.1 ± 0.8 | 2.8 ± 0.2 | 12.4 ± 0.6 | |
| NP | 15.8 ± 1.0 | 6.6 ± 0.5 | 1.8 ± 0.3 | 13.8 ± 4.4 | A. longifolia |
| WRF | 14.3 ± 0.5 | 6.0 ± 0.8 | 1.6 ± 0.1 | 8.6 ± 0.7 | |
| ALK | 17.8 ± 0.4 | 6.3 ± 0.3 | 1.9 ± 0.2 | 9.8 ± 2.6 | |
| WRF + ALK | 17.5 ± 3.9 | 7.4 ± 1.8 | 2.0 ± 0.4 | 7.3 ± 0.2 | |
| NP | 18.3 ± 0.6 | 7.8 ± 0.5 | 3.3 ± 0.3 | 18.3 ± 1.6 | A. melanoxylon |
| WRF | 19.3 ± 1.2 | 8.3 ± 1.3 | 3.2 ± 0.2 | 15.1 ± 0.4 | |
| ALK | 20.4 ± 0.3 | 8.6 ± 0.5 | 3.4 ± 0.1 | 14.1 ± 2.4 | |
| WRF + ALK | 20.6 ± 0.7 | 8.4 ± 0.3 | 3.7 ± 0.0 | 12.3 ± 0.9 | |
| Stem | |||||
| Glucose | Xylose | Arabinose | Lignin | ||
| NP | 37.1 ± 0.4 | 16.4 ± 0.8 | 1.3 ± 0.1 | 19.2 ± 0.5 | A. dealbata |
| WRF | 39.7 ± 6.3 | 15.2 ± 0.1 | 1.1 ± 0.2 | 18.6 ± 0.6 | |
| ALK | 39.3 ± 1.7 | 15.3 ± 0.3 | 1.5 ± 0.1 | 17.4 ± 0.4 | |
| WRF + ALK | 43.1 ± 4.6 | 16.7 ± 1.5 | 1.3 ± 0.2 | 16.7 ± 0.6 | |
| NP | 42.3 ± 0.1 | 14.5 ± 0.5 | 1.2 ± 0.0 | 20.0 ± 0.2 | A. longifolia |
| WRF | 36.0 ± 2.7 | 13.8 ± 1.5 | 1.4 ± 0.3 | 18.2 ± 0.1 | |
| ALK | 40.0 ± 5.1 | 14.1 ± 1.2 | 1.5 ± 0.2 | 18.0 ± 0.5 | |
| WRF + ALK | 40.5 ± 0.9 | 14.7 ± 0.1 | 1.6 ± 0.1 | 18.2 ± 1.3 | |
| NP | 25.7 ± 0.3 | 11.8 ± 0.4 | 1.9 ± 0.0 | 19.7 ± 0.3 | A. melanoxylon |
| WRF | 29.9 ± 0.6 | 13.0 ± 1.3 | 1.9 ± 0.2 | 19.1 ± 0.1 | |
| ALK | 34.6 ± 3.6 | 14.7 ± 1.2 | 1.8 ± 0.3 | 16.8 ± 0.4 | |
| WRF + ALK | 32.4 ± 5.2 | 14.5 ± 2.4 | 1.9 ± 0.4 | 18.2 ± 0.4 | |
Publisher’s Note: MDPI stays neutral with regard to jurisdictional claims in published maps and institutional affiliations. |
© 2022 by the authors. Licensee MDPI, Basel, Switzerland. This article is an open access article distributed under the terms and conditions of the Creative Commons Attribution (CC BY) license (https://creativecommons.org/licenses/by/4.0/).
Share and Cite
da Costa, R.M.F.; Bosch, M.; Simister, R.; Gomez, L.D.; Canhoto, J.M.; Batista de Carvalho, L.A.E. Valorisation Potential of Invasive Acacia dealbata, A. longifolia and A. melanoxylon from Land Clearings. Molecules 2022, 27, 7006. https://doi.org/10.3390/molecules27207006
da Costa RMF, Bosch M, Simister R, Gomez LD, Canhoto JM, Batista de Carvalho LAE. Valorisation Potential of Invasive Acacia dealbata, A. longifolia and A. melanoxylon from Land Clearings. Molecules. 2022; 27(20):7006. https://doi.org/10.3390/molecules27207006
Chicago/Turabian Styleda Costa, Ricardo M. F., Maurice Bosch, Rachael Simister, Leonardo D. Gomez, Jorge M. Canhoto, and Luís A. E. Batista de Carvalho. 2022. "Valorisation Potential of Invasive Acacia dealbata, A. longifolia and A. melanoxylon from Land Clearings" Molecules 27, no. 20: 7006. https://doi.org/10.3390/molecules27207006
APA Styleda Costa, R. M. F., Bosch, M., Simister, R., Gomez, L. D., Canhoto, J. M., & Batista de Carvalho, L. A. E. (2022). Valorisation Potential of Invasive Acacia dealbata, A. longifolia and A. melanoxylon from Land Clearings. Molecules, 27(20), 7006. https://doi.org/10.3390/molecules27207006

