Ionic Dioxidovanadium(V) Complexes with Schiff-Base Ligands as Potential Insulin-Mimetic Agents—Substituent Effect on Structure and Stability
Abstract
1. Introduction
2. Experimental
2.1. Materials and Methods
2.2. Syntheses of HTEA[VO2(Ln)] (1–4)
2.3. Crystallographic Data Collection and Structure Refinement
3. Results and Discussion
3.1. Crystal Structure Description
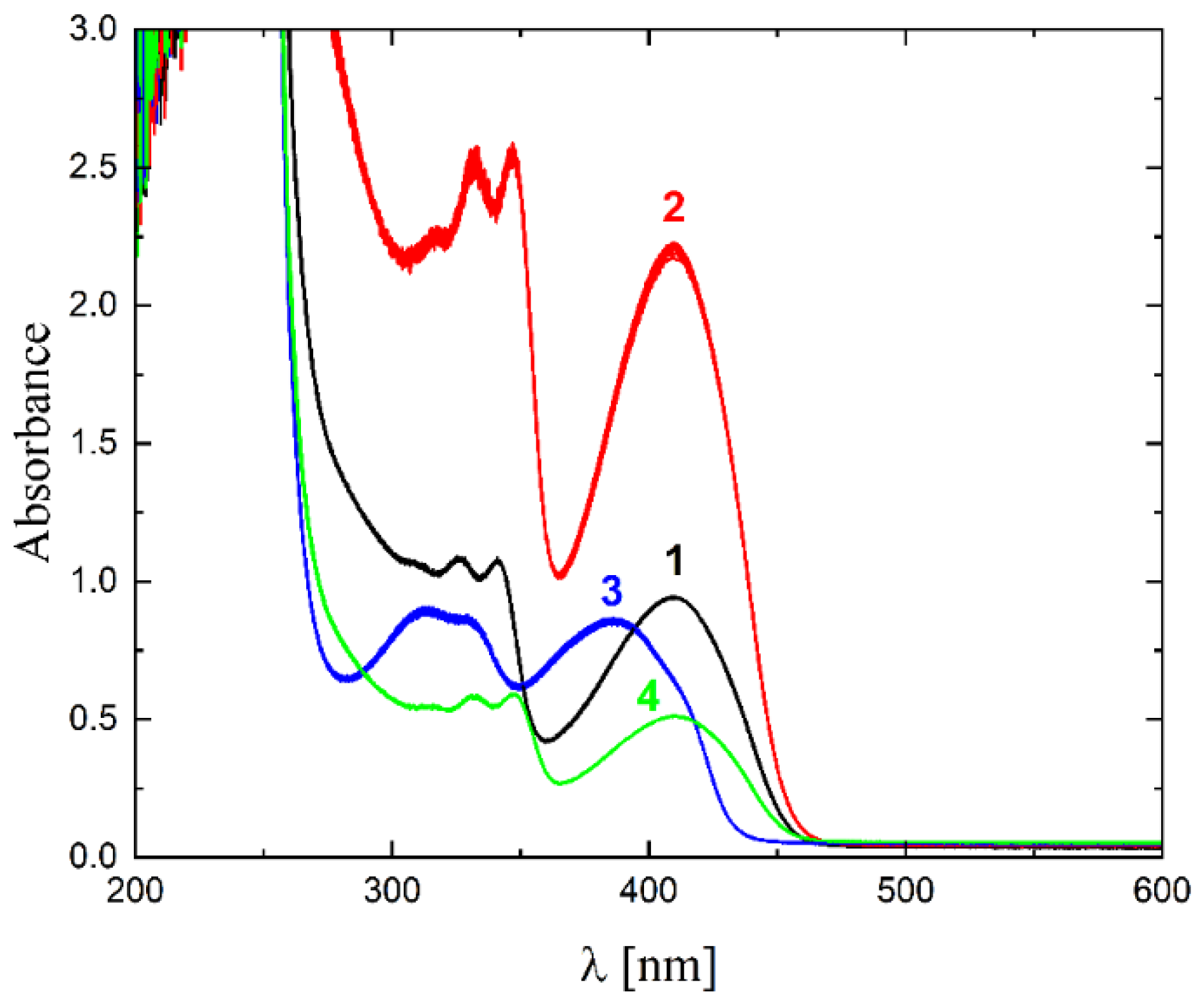
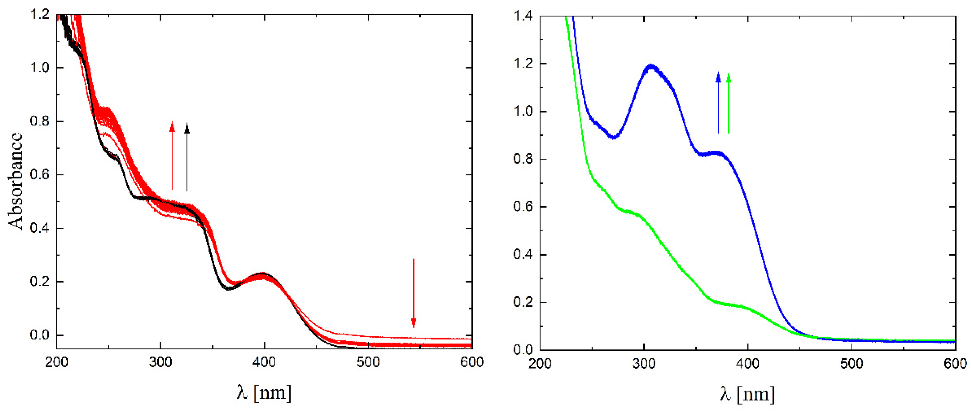
3.2. Spectroscopic Characteristics
4. Conclusions
Supplementary Materials
Author Contributions
Funding
Institutional Review Board Statement
Informed Consent Statement
Data Availability Statement
Conflicts of Interest
Sample Availability
References
- Orvig, C.; Thompson, K.H.; Battell, M.; McNeill, J.H. Vanadium compounds as insulin mimics. Met. Ions Biol. Syst. 1995, 31, 575–594. [Google Scholar]
- Thompson, K.H.; McNeill, J.H.; Orvig, C. Vanadium compounds as insulin mimics. Chem. Rev. 1999, 99, 2561–2572. [Google Scholar] [CrossRef] [PubMed]
- Crans, D.C.; Yang, L.; Haase, A.; Yang, X. Health benefits of vanadium and its potential as an anticancer agent. Met. Ions Life Sci. 2018, 18, 251–279. [Google Scholar]
- Crans, D.C.; Henry, L.; Cardiff, G.; Posner, B.I. Developing vanadium as an antidiabetic or anticancer drug: A clinical and historical perspective. Met. Ions Life Sci. 2019, 19, 203–230. [Google Scholar]
- Kioseoglou, E.; Petanidis, S.; Gabriel, C.; Salifoglou, A. The chemistry and biology of vanadium compounds in cancer therapeutics. Coord. Chem. Rev. 2015, 301, 87–105. [Google Scholar] [CrossRef]
- Singh, K.; Patel, P.; Goswami, A.K. Anti-inflammatory activity of Hydroxytriazenes and their vanadium complexes. E-J. Chem. 2008, 5, 1144–1148. [Google Scholar] [CrossRef]
- Rudbari, H.A.; Iravani, M.R.; Moazam, V.; Askari, B.; Khorshidifard, M.; Habibi, N.; Bruno, G. Synthesis, characterization, X-ray crystal structures and antibacterial activities of Schiff base ligands derived from allylamine and their vanadium (IV), cobalt (III), nickel (II), copper (II), zinc (II) and palladium (II) complexes. J. Mol. Struct. 2016, 1125, 113–120. [Google Scholar] [CrossRef]
- Torabi, S.; Mohammadi, M.; Shirvani, M. Antidiabetic, antioxidant, antibacterial, and antifungal activities of vanadyl Schiff base complexes. Trends Pharmacol. Sci. 2018, 4, 1–8. [Google Scholar]
- Tadele, K.T.; Tsega, T.W. Schiff Bases and their metal complexes as potential anticancer candidates: A review of recent works. Anti-Cancer Agents Med. Chem. 2019, 19, 1786–1795. [Google Scholar] [CrossRef] [PubMed]
- Da Silva, C.M.; da Silva, D.L.; Modolo, L.V.; Alves, R.B.; de Resende, M.A.; Martins, C.V.; de Fátima, Â. Schiff bases: A short review of their antimicrobial activities. J. Adv. Res. 2011, 2, 1–8. [Google Scholar] [CrossRef]
- Caravan, P.; Gelmini, L.; Glover, N.; Herring, F.G.; Li, H.; McNeill, J.H.; Rettig, S.J.; Setyawati, I.A.; Shuter, E.; Sun, Y.; et al. Reaction chemistry of BMOV, bis (maltolato) oxovanadium (IV), a potent insulin mimetic agent. J. Am. Chem. Soc. 1995, 117, 12759–12770. [Google Scholar]
- Peters, K.G.; Davis, M.G.; Howard, B.W.; Pokross, M.; Rastogi, V.; Diven, C.; Greis, K.D.; Eby-Wilkens, E.; Maier, M.; Evdokimov, A.; et al. Mechanism of insulin sensitization by BMOV (bis maltolato oxo vanadium); unliganded vanadium (VO4) as the active component. J. Inorg. Biochem. 2003, 96, 321–330. [Google Scholar] [CrossRef]
- Thompson, K.H.; Lichter, J.; LeBel, C.; Scaife, M.C.; McNeill, J.H.; Orvig, C. Vanadium treatment of type 2 diabetes: A view to the future. J. Inorg. Biochem. 2009, 103, 554–558. [Google Scholar] [CrossRef] [PubMed]
- Gryboś, R.; Szklarzewicz, J.; Jurowska, A.; Hodorowicz, M. Properties, structure and stability of V(IV) hydrazide Schiff base ligand complex. J. Mol. Struct. 2018, 1171, 880–887. [Google Scholar] [CrossRef]
- Szklarzewicz, J.; Jurowska, A.; Hodorowicz, M.; Gryboś, R.; Matoga, D. Role of co-ligand and solvent on properties of V(IV) oxido complexes with ONO Schiff bases. J. Mol. Struct. 2019, 1180, 839–848. [Google Scholar] [CrossRef]
- Szklarzewicz, J.; Jurowska, A.; Hodorowicz, M.; Gryboś, R.; Kruczała, K.; Głuch-Lutwin, M.; Kazek, G. Vanadium complexes with salicylaldehyde based Schiff base ligands—Structure, properties and biological activity. J. Coord. Chem. 2020, 73, 986–1008. [Google Scholar] [CrossRef]
- Szklarzewicz, J.; Jurowska, A.; Matoga, D.; Kruczała, K.; Kazek, G.; Mordyl, B.; Sapa, J.; Papież, M. Synthesis, coordination properties and biological activity of vanadium complexes with hydrazone Schiff base ligands. Polyhedron 2020, 185, 114589. [Google Scholar] [CrossRef]
- Szklarzewicz, J.; Jurowska, A.; Hodorowicz, M.; Kazek, G.; Głuch-Lutwin, M.; Sapa, J. Ligand role on insulin-mimetic properties of vanadium complexes. Structural and biological studies. Inorg. Chim. Acta 2021, 516, 120135. [Google Scholar] [CrossRef]
- Szklarzewicz, J.; Jurowska, A.; Hodorowicz, M.; Kazek, G.; Głuch-Lutwin, M.; Sapa, J.; Papież, M. Tridentate ONO ligands in vanadium(III-V) complexes—Synthesis, characterization and biological activity. J. Mol. Struct. 2021, 1224, 129205. [Google Scholar] [CrossRef]
- Jasińska, A.; Szklarzewicz, J.; Jurowska, A.; Hodorowicz, M.; Kazek, G.; Mordyl, B.; Głuch-Lutwin, M. V(III) and V(IV) Schiff base complexes as potential insulin-mimetic compounds—Comparison, characterization and biological activity. Polyhedron 2022, 215, 115682. [Google Scholar] [CrossRef]
- Jurowska, A.; Serafin, W.; Hodorowicz, M.; Kruczała, K.; Szklarzewicz, J. Vanadium precursors and the type of complexes formed with Schiff base ligand composed of 5-bromosalicylaldehyde and 2-hydroxybenzhydrazide—Structure and characterization. Polyhedron 2022, 222, 115903. [Google Scholar] [CrossRef]
- Khosravan, M.; Abdolahi, L.; Ebrahimipour, S.Y. A novel anionic di-oxido vanadium (V) Schiff base complex: Synthesis, spectral characterization, X ray crystal structure, catalytic activity for the preparation of tetrahydro-4H-chromene derivatives and antibacterial properties. Inorg. Chem. Commun. 2021, 128, 108561. [Google Scholar] [CrossRef]
- Ebrahimipour, S.Y.; Sheikhshoaie, I.; Kautz, A.C.; Ameri, M.; Pasban-Aliabadi, H.; Amiri Rudbari, H.; Bruno, G.; Janiak, C. Mono- and dioxido-vanadium(V) complexes of a tridentate ONO Schiff base ligand: Synthesis, spectral characterization, X-ray crystal structure, and anticancer activity. Polyhedron 2015, 93, 99–105. [Google Scholar] [CrossRef]
- Rigaku Oxford Diffraction, CrysAlisPro; Version. 1.171.36.20; Rigaku Oxford Diffraction: Yarnton, Oxfordshire, UK, 2015.
- Sheldrick, G.M. Crystal Structure Refinement with SHELXL. Acta Crystallogr. Sect. C Struct. Chem. 2015, 71, 3–8. [Google Scholar] [CrossRef] [PubMed]
- Sheldrick, G.M. SHELX2017, Programs for Crystal Structure Determination; Universität Göttingen: Göttingen, Germany, 2017. [Google Scholar]
- Addison, A.W.; Rao, T.N.; Reedijk, J.; van Rijn, J.; Verschoor, G.C. Synthesis, structure, and spectroscopic properties of copper(II) compounds containing nitrogen–sulphur donor ligands; the crystal and molecular structure of aqua[1,7-bis(N-methylbenzimidazol-2′-yl)-2,6-dithiaheptane]copper(II) perchlorate. J. Chem. Soc. Dalton Trans. 1984, 1349–1356. [Google Scholar] [CrossRef]
- Alvarez, S.; Llunell, M. Continuous symmetry measures of penta-coordinate molecules: Berry and non-Berry distortions of the trigonal bipyramid. J. Chem. Soc. Dalton Trans. 2000, 3288–3303. [Google Scholar] [CrossRef]
- Kurbah, S.D.; Asthana, M.; Syiemlieh, I.; Lywait, A.A.; Longchara, M.; Lal, R.A. New dioxido-vanadium(V) complexes containing hydrazone ligands: Syntheses, crystal structure and their catalytic application toward C-H bond functionalization. J. Organomet. Chem. 2018, 876, 10–16. [Google Scholar] [CrossRef]
- Kurbah, S.D. Dioxido-vanadium(V) complex catalyzed oxidation of alcohols and tandem synthesis of oximes: A simple catalytic protocol for C–N bond formation. J. Coord. Chem. 2021, 74, 905–918. [Google Scholar] [CrossRef]
- Sutradhar, M.; Barman, T.R.; Mukherjee, G.; Drew, M.G.B.; Ghosh, S. Oxidoalkoxidovanadium(V) complexes: Synthesis, characterization and comparison of X-ray crystal structures. Polyhedron 2012, 34, 92–101. [Google Scholar] [CrossRef]
- Mohanty, M.; Maurya, S.K.; Banerjee, A.; Patra, S.A.; Maurya, M.R.; Crochet, A.; Brzezinski, K.; Dinda, R. In vitro cytotoxicity and catalytic evaluation of dioxidovanadium(V) complexes in an azohydrazone ligand environment. New J. Chem. 2019, 43, 17680–17695. [Google Scholar] [CrossRef]
- Sutradhar, M.; Martins, L.M.; Carabineiro, S.A.; Guedes da Silva, M.F.C.; Buijnsters, J.G.; Figueiredo, J.L.; Pombeiro, A.J. Oxidovanadium (V) Complexes Anchored on Carbon Materials as Catalysts for the Oxidation of 1-Phenylethanol. ChemCatChem 2016, 8, 2254–2266. [Google Scholar] [CrossRef]








| Complex Formula | Elemental Analysis [%] exp calc | Hydrazide | Aldehyde | Ligand Ln Formula | |
|---|---|---|---|---|---|
| 1 | HTEA[VO2(L1)] | C, 50.96; 50.59 H, 5.21; 5.52 N, 8.71; 8.85 | 2-hydroxy-benzhydrazide | 5-chloro-salicylaldehyde | ![]() |
| 2 | HTEA[VO2(L2)] | C, 47.31; 47.17 H, 4.90; 4.95 N, 8.24; 8.25 | 3,5-dichloro-salicylaldehyde | ![]() | |
| 3 | HTEA[VO2(L3)] | C, 49.55; 49.49 H, 5.51; 5.40 N, 11.49; 11.54 | 5-nitro-salicylaldehyde | ![]() | |
| 4 | HTEA[VO2(L4)] | C, 43.30; 43.38 H, 4.46; 4.55 N, 7.43; 7.59 | 3-bromo-5-chloro-salicylaldehyde | ![]() |
| 1 | 2 | 3 | 4 | |
|---|---|---|---|---|
| Empirical formula | C20H25ClN3O5V | C20H24Cl2N3O5V | C20H25N4O7V | C20H24BrClN3O5V |
| Formula weight | 473.82 | 508.26 | 484.38 | 552.72 |
| Crystal system | Monoclinic | Triclinic | Monoclinic | Triclinic |
| Space group | P 21/n | P | P 21/n | P |
| a [Å] | 7.46809(3) | 7.2268(2) | 7.4272(1) | 7.3085(1) |
| b [Å] | 13.00924(4) | 11.4466(2) | 13.1272(1) | 11.4480(1) |
| c [Å] | 21.59664(7) | 13.9949(2) | 21.9821(1) | 14.2515(2) |
| α [°] | 90 | 106.228(1) | 90 | 108.525(1) |
| β [°] | 99.2988(3) | 101.140(2) | 97.826(1) | 102.008(1) |
| γ [°] | 90 | 91.472(2) | 90 | 90.791(1) |
| Volume [Ǻ3] | 2070.632(13) | 1086.71(4) | 2123.26(3) | 1101.75(2) |
| Z | 4 | 2 | 4 | 2 |
| Density [mg/m3] | 1.520 | 1.553 | 1.515 | 1.666 |
| μ [mm−1] | 5.524 | 6.411 | 4.358 | 7.332 |
| F(000) | 984 | 524 | 1008 | 560 |
| θ range [o] | 3.98–75.68 | 3.36–75.30 | 3.93–75.08 | 3.36–75.41 |
| Index ranges | −9 ≤ h ≤ 8 | −7 ≤ h ≤ 8 | −9 ≤ h ≤ 7 | −8 ≤ h ≤ 8 |
| −15 ≤ k ≤ 16 | −14 ≤ k ≤ 14 | −16 ≤ k ≤ 16 | −14 ≤ k ≤ 14 | |
| −26 ≤ l ≤ 27 | −17 ≤ l ≤ 17 | −26 ≤ l ≤ 26 | −17 ≤ l ≤ 17 | |
| Reflections collected | 73160 | 37876 | 73570 | 38590 |
| Indep. reflections | 4167 | 4273 | 4202 | 4326 |
| Rint | 0.0456 | 0.0704 | 0.0717 | 0.0552 |
| Parameters | 282 | 287 | 300 | 291 |
| GOF on F2 | 1.041 | 1.175 | 1.124 | 1.092 |
| R1 [I > 2σ(I)] | 0.0273 | 0.0403 | 0.0376 | 0.0310 |
| wR2 [I > 2σ(I)] | 0.0761 | 0.1135 | 0.1044 | 0.0854 |
| R1 (all data) | 0.0273 | 0.0422 | 0.0383 | 0.0314 |
| wR2 (all data) | 0.0761 | 0.1174 | 0.1050 | 0.0858 |
| residuals [e·Ǻ−3] | 0.355, −0.513 | 0.535, −0.912 | 0.334, −0.639 | 0.565, −0.900 |
| 1 | 2 | 3 | 4 | |
|---|---|---|---|---|
| V-O(1) | 1.9874(10) | 1.9889(14) | 1.9752(12) | 1.9899(15) |
| V-O(2) | 1.9052(10) | 1.9205(15) | 1.9151(13) | 1.9264(15) |
| V-N(1) | 2.1623(11) | 2.1432(17) | 2.1740(13) | 2.1391(17) |
| V-O(4) | 1.6477(10) | 1.6448(16) | 1.6419(14) | 1.6463(15) |
| V-O(5) | 1.6256(10) | 1.6145(15) | 1.6192(13) | 1.6147(15) |
| O(1)-V-O(2) | 150.02(4) | 155.98(6) | 149.31(6) | 156.09(6) |
| O(1)-V-N(1) | 73.35(4) | 74.04(6) | 73.28(5) | 74.04(6) |
| O(1)-V-O(4) | 100.16(5) | 95.99(7) | 100.42(6) | 94.91(7) |
| O(1)-V-O(5) | 93.15(4) | 95.65(7) | 94.18(6) | 95.83(7) |
| O(2)-V-N(1) | 81.73(4) | 81.94(6) | 81.38(5) | 82.11(6) |
| O(2)-V-O(4) | 103.88(5) | 98.55(7) | 104.09(6) | 98.44(7) |
| O(2)-V-O(5) | 95.96(5) | 97.44(7) | 95.31(6) | 98.34(7) |
| O(4)-V-N(1) | 109.94(5) | 126.25(7) | 109.13(6) | 127.86(7) |
| O(5)-V-N(1) | 140.96(5) | 124.02(7) | 141.97(6) | 122.33(7) |
| O(4)-V-O(5) | 108.42(5) | 109.30(8) | 108.41(7) | 109.25(8) |
| C-O(1)-V | 119.08(8) | 118.19(13) | 119.53(10) | 118.21(13) |
| C-O(2)-V | 135.12(9) | 138.64(14) | 135.45(12) | 138.70(14) |
| C-N(1)-V | 129.70(9) | 130.69(14) | 129.42(11) | 130.71(14) |
| N(2)-N(1)-V | 115.55(8) | 115.14(12) | 115.23(10) | 115.40(12) |
| D-H…A | d(D-H) | d(H…A) | d(D…A) | <(DHA) |
|---|---|---|---|---|
| 1 | ||||
| N(3)-H(3n)…O(4) | 0.88(2) | 1.85(2) | 2.7293(15) | 176.2(19) |
| O(3)-H(3o)…N(2) | 0.83(3) | 1.83(3) | 2.5857(15) | 150(2) |
| 2 | ||||
| N(3)-H(3n)…O(4) | 1.00 | 1.71 | 2.706(2) | 178.6 |
| O(3)-H(3o)…N(2) | 0.87(4) | 1.78(4) | 2.572(2) | 150(3) |
| 3 | ||||
| N(3)-H(3n)…O(4) | 0.81(2) | 1.98(3) | 2.787(2) | 172(2) |
| O(3)-H(3o)…N(2) | 0.83(3) | 1.88(3) | 2.6059(18) | 146(3) |
| 4 | ||||
| N(3)-H(3n)…O(4) | 0.91(3) | 1.77(3) | 2.686(2) | 176(3) |
| O(3)-H(3o)…N(2) | 0.78(4) | 1.86(4) | 2.567(2) | 150(4) |
| X-H…Cg(π) | d(H…Cg) | d(X-H…Cg) | d(X…Cg) | Cg1 |
|---|---|---|---|---|
| 1 | ||||
| C19-H19b…Cg1 | 2.76 | 142 | 3.5853(16) | C2-C3-C7-C13-C17-C5 at -x, 1-y, -z |
| 3 | ||||
| C26-H26b…Cg1 | 2.89 | 136 | 3.665(2) | C17-C18-C19-C20-C21-C22 at 1-x, 2-y, 1-z |
Publisher’s Note: MDPI stays neutral with regard to jurisdictional claims in published maps and institutional affiliations. |
© 2022 by the authors. Licensee MDPI, Basel, Switzerland. This article is an open access article distributed under the terms and conditions of the Creative Commons Attribution (CC BY) license (https://creativecommons.org/licenses/by/4.0/).
Share and Cite
Jurowska, A.; Szklarzewicz, J.; Hodorowicz, M.; Serafin, W.; Zangrando, E.; Mahmoudi, G. Ionic Dioxidovanadium(V) Complexes with Schiff-Base Ligands as Potential Insulin-Mimetic Agents—Substituent Effect on Structure and Stability. Molecules 2022, 27, 6942. https://doi.org/10.3390/molecules27206942
Jurowska A, Szklarzewicz J, Hodorowicz M, Serafin W, Zangrando E, Mahmoudi G. Ionic Dioxidovanadium(V) Complexes with Schiff-Base Ligands as Potential Insulin-Mimetic Agents—Substituent Effect on Structure and Stability. Molecules. 2022; 27(20):6942. https://doi.org/10.3390/molecules27206942
Chicago/Turabian StyleJurowska, Anna, Janusz Szklarzewicz, Maciej Hodorowicz, Wiktoria Serafin, Ennio Zangrando, and Ghodrat Mahmoudi. 2022. "Ionic Dioxidovanadium(V) Complexes with Schiff-Base Ligands as Potential Insulin-Mimetic Agents—Substituent Effect on Structure and Stability" Molecules 27, no. 20: 6942. https://doi.org/10.3390/molecules27206942
APA StyleJurowska, A., Szklarzewicz, J., Hodorowicz, M., Serafin, W., Zangrando, E., & Mahmoudi, G. (2022). Ionic Dioxidovanadium(V) Complexes with Schiff-Base Ligands as Potential Insulin-Mimetic Agents—Substituent Effect on Structure and Stability. Molecules, 27(20), 6942. https://doi.org/10.3390/molecules27206942





