Enhancing the Photo and Thermal Stability of Nicotine through Crystal Engineering with Gentisic Acid
Abstract
1. Introduction
2. Results & Discussion
2.1. SC-XRD Analysis
2.2. Hirshfeld Surface Analysis
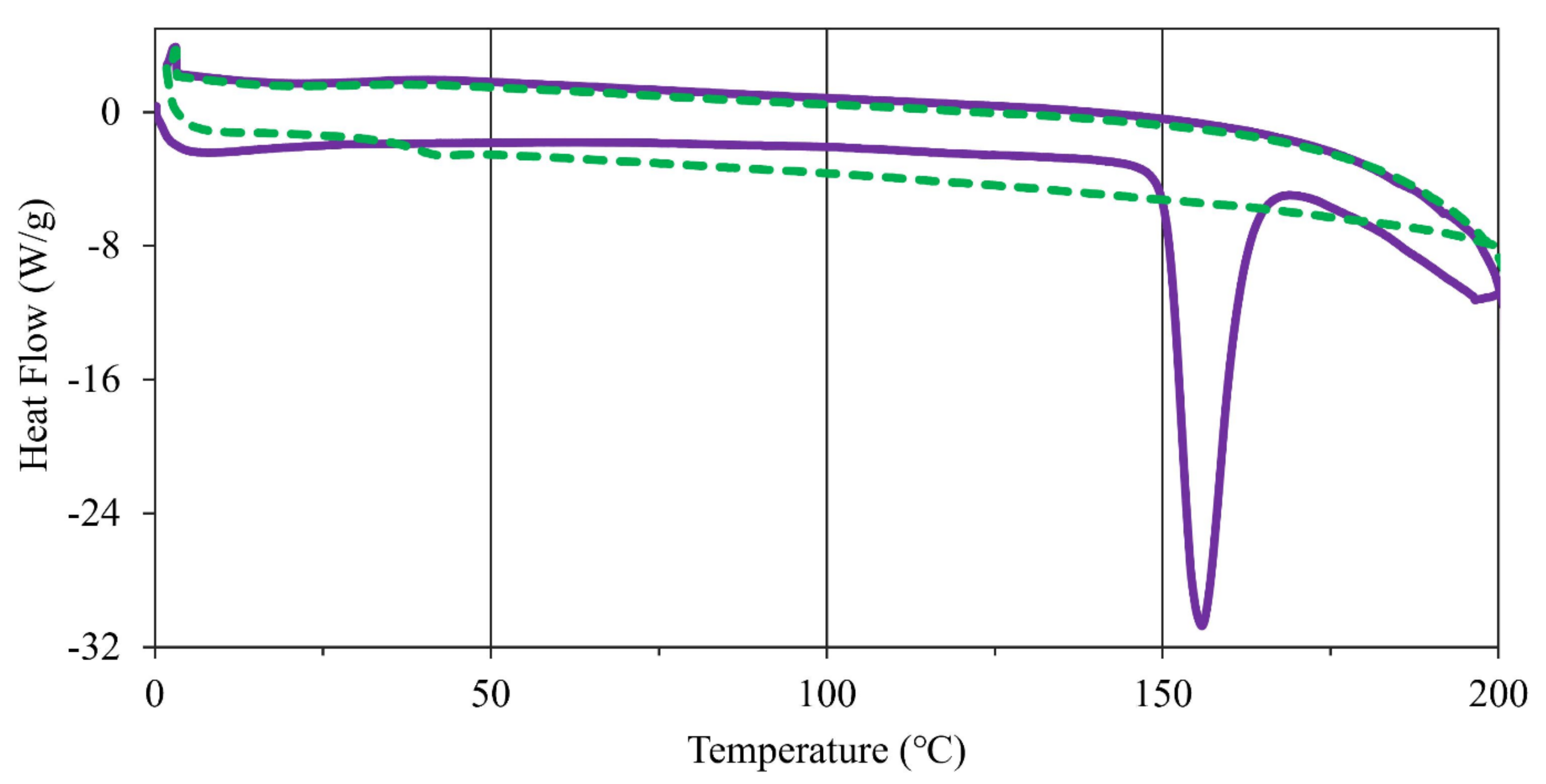
2.3. Thermal Properties
2.4. Photostability Analysis
3. Materials and Methods
3.1. Materials
3.2. Salt Synthesis
3.3. X-ray Diffraction (XRD)
3.4. Crystal Melting Points
3.5. Differential Scanning Calorimetry
3.6. UV Photodegradation
3.7. Nuclear Magnetic Resonance (NMR)
3.8. Hirshfeld Surface Analysis
3.9. Powder X-ray Diffraction (PXRD)
3.10. Infrared (IR) Spectroscopy
4. Conclusions
Supplementary Materials
Author Contributions
Funding
Institutional Review Board Statement
Informed Consent Statement
Data Availability Statement
Conflicts of Interest
Sample Availability
References
- Goodstein, D.L. States of Matter; Dover Corporation: New York, NY, USA, 1985. [Google Scholar]
- Patnaik, P. A Comprehensive Guide to the Hazardous Properties of Chemical Substances; Van Nostrand Reinhold: New York, NY, USA, 1992. [Google Scholar]
- Arslan, O.; Er, I.D. SWOT analysis for safer carriage of bulk liquid chemicals in tankers. J. Hazard. Mater. 2008, 154, 901–913. [Google Scholar] [CrossRef]
- Bacchi, A.; Mazzeo, P.P. Cocrystallization as a tool to stabilize liquid active ingredients. Crystallogr. Rev. 2021, 27, 102–123. [Google Scholar] [CrossRef]
- Aakeröy, C.B.; Wijethunga, T.K.; Benton, J.; Desper, J. Stabilizing volatile liquid chemicals using co-crystallization. Chem. Commun. 2015, 51, 2425–2428. [Google Scholar] [CrossRef]
- Sandhu, B.; Sinha, A.S.; Desper, J.; Aakeröy, C.B. Modulating the physical properties of solid forms of urea using co-crystallization technology. Chem. Commun. 2018, 54, 4657–4660. [Google Scholar] [CrossRef]
- Karimi-Jafari, M.; Padrela, L.; Walker, G.M.; Croker, D.M. Creating Cocrystals: A Review of Pharmaceutical Cocrystal Preparation Routes and Applications. Crystal Growth & Des. 2018, 18, 6370–6387. [Google Scholar] [CrossRef]
- Shan, N.; Zaworotko, M.J. The role of cocrystals in pharmaceutical science. Drug Discov. Today 2008, 13, 440–446. [Google Scholar] [CrossRef] [PubMed]
- Dull, G.M.; Carr, A.; Sharp, E. Nicotine Salts, Co-Crystals, and Salt Co-Crystal Complexes. WO2015183801A1, 3 December 2015. [Google Scholar]
- Dull, G.M.; Carr, A.; Sharp, E. Nicotine Salts, Co-Crystals, and Salt Co-Crystal Complexes. US20160185750A1, 30 June 2016. [Google Scholar]
- Dull, G.M.; Carr, A.; Sharp, E. Nicotine Salts, Co-Crystals, and Salt Co-Crystal Complexes. WO2017089931A1, 1 June 2017. [Google Scholar]
- Dull, G.M.; Del Rio Gancedo, S.; Julia, J.G. Nicotine Salts, Co-Crystals, and Salt Co-Crystal Complexes. US20180051002A1, 22 February 2018. [Google Scholar]
- Dull, G.M.; Del Rio Gancedo, S.; Julia, J.G. Nicotine Salts, Co-Crystals, and Salt Co-Crystal Complexes. WO2019049049A1, 14 March 2019. [Google Scholar]
- Benedict, J.B.; Angevine, D.J. Nicotine Materials, Methods of Making Same, and Uses Thereof. WO2021126313A1, 24 June 2021. [Google Scholar]
- Adamek, E.; Goniewicz, M.; Baran, W.; Sobczak, A. The Study on the Photocatalytic Degradation of Nicotine. CHEM 2015, 2015, 1–5. [Google Scholar] [CrossRef][Green Version]
- Chavarrio Cañas, J.E.; Monge-Palacios, M.; Grajales-González, E.; Sarathy, S.M. Early Chemistry of Nicotine Degradation in Heat-Not-Burn Smoking Devices and Conventional Cigarettes: Implications for Users and Second- and Third-Hand Smokers. J. Phys. Chem. A 2021, 125, 3177–3188. [Google Scholar] [CrossRef]
- Rayburn, C.H.; Harlan, W.R.; Hanmer, H.R. The Effect of Ultraviolet Radiation on Nicotine. J. Am. Chem. Soc. 1941, 63, 115–116. [Google Scholar] [CrossRef]
- Capucci, D.; Balestri, D.; Mazzeo, P.P.; Pelagatti, P.; Rubini, K.; Bacchi, A. Liquid Nicotine Tamed in Solid Forms by Cocrystallization. Cryst. Growth Des. 2017, 17, 4958–4964. [Google Scholar] [CrossRef]
- Garg, N.; Sethupathy, A.; Tuwani, R.; Nk, R.; Dokania, S.; Iyer, A.; Gupta, A.; Agrawal, S.; Singh, N.; Shukla, S.; et al. FlavorDB: A database of flavor molecules. Nucleic Acids Res. 2018, 46, D1210–D1216. [Google Scholar] [CrossRef] [PubMed]
- Naveja, J.J.; Rico-Hidalgo, M.P.; Medina-Franco, J.L. Analysis of a large food chemical database: Chemical space, diversity, and complexity. F1000Research 2018, 7, 993. [Google Scholar] [CrossRef]
- Burdock, G.A.; Carabin, I.G. Generally recognized as safe (GRAS): History and description. Toxicol. Lett. 2004, 150, 3–18. [Google Scholar] [CrossRef] [PubMed]
- Hallagan, J.B.; Hall, R.L.; Drake, J. The GRAS provision—The FEMA GRAS program and the safety and regulation of flavors in the United States. Food Chem. Toxicol. 2020, 138, 111236. [Google Scholar] [CrossRef]
- Abedi, F.; Razavi, B.M.; Hosseinzadeh, H. A review on gentisic acid as a plant derived phenolic acid and metabolite of aspirin: Comprehensive pharmacology, toxicology, and some pharmaceutical aspects. Phytother. Res. 2020, 34, 729–741. [Google Scholar] [CrossRef]
- Cruz-Cabeza, A.J. Acid–base crystalline complexes and the pKa rule. CrystEngComm 2012, 14, 6362–6365. [Google Scholar] [CrossRef]
- Alvarez-Lorenzo, C.; Castiñeiras, A.; Frontera, A.; García-Santos, I.; González-Pérez, J.M.; Niclós-Gutiérrez, J.; Rodríguez-González, I.; Vílchez-Rodríguez, E.; Zaręba, J.K. Recurrent motifs in pharmaceutical cocrystals involving glycolic acid: X-ray characterization, Hirshfeld surface analysis and DFT calculations. CrystEngComm 2020, 22, 6674–6689. [Google Scholar] [CrossRef]
- Al-Wahaibi, L.H.; Joubert, J.; Blacque, O.; Al-Shaalan, N.H.; El-Emam, A.A. Crystal structure, Hirshfeld surface analysis and DFT studies of 5-(adamantan-1-yl)-3-[(4-chlorobenzyl)sulfanyl]-4-methyl-4H-1,2,4-triazole, a potential 11β-HSD1 inhibitor. Sci. Rep. 2019, 9, 19745. [Google Scholar] [CrossRef] [PubMed]
- Sharfalddin, A.; Davaasuren, B.; Emwas, A.-H.; Jaremko, M.; Jaremko, Ł.; Hussien, M. Single crystal, Hirshfeld surface and theoretical analysis of methyl 4-hydroxybenzoate, a common cosmetic, drug and food preservative—Experiment versus theory. PLoS ONE 2020, 15, e0239200. [Google Scholar] [CrossRef]
- Spackman, M.A.; Jayatilaka, D. Hirshfeld surface analysis. CrystEngComm 2009, 11, 19–32. [Google Scholar] [CrossRef]
- Angevine, D.J.; Camacho, K.J.; Rzayev, J.; Benedict, J.B. Nicotine Refined: Crystal Engineering of (S)-Nicotinium Malate Salts. Cryst. Growth Des. 2022, 22, 1594–1603. [Google Scholar] [CrossRef]
- Angevine, D.J.; Camacho, K.J.; Rzayev, J.; Benedict, J.B. Transforming liquid nicotine into a stable solid through crystallization with orotic acid. CrystEngComm 2022, 24, 6155–6164. [Google Scholar] [CrossRef]
- Perlovich, G. Melting points of one- and two-component molecular crystals as effective characteristics for rational design of pharmaceutical systems. Acta Crystallogr. Sect. B 2020, 76, 696–706. [Google Scholar] [CrossRef]
- Monte, M.J.S.; Gonçalves, M.V.; Ribeiro da Silva, M.D.M.C. Vapor Pressures and Enthalpies of Combustion of the Dihydroxybenzoic Acid Isomers. J. Chem. Eng. Data 2010, 55, 2246–2251. [Google Scholar] [CrossRef]
- Henry, T.A. The Plant Alkaloids, 4th ed.; J. & A. Churchill: London, UK, 1949; pp. 36–43. [Google Scholar]
- Sheldrick, G.M. SHELXT-Integrated Space-Group and Crystal-Structure Determination. Acta Crystallogr. Sect. A Found. Adv. 2015, 71, 3. [Google Scholar] [CrossRef]
- Sheldrick, G.M. Crystal Structure Refinement with SHELXL. Acta Crystallogr. Sect. C Struct. Chem. 2015, 71, 3. [Google Scholar] [CrossRef]
- Dolomanov, O.V.; Bourhis, L.J.; Gildea, R.J.; Howard, J.A.K.; Puschmann, H. OLEX2: A complete structure solution, refinement and analysis program. J. Appl. Crystallogr. 2009, 42, 339–341. [Google Scholar] [CrossRef]
- Macrae, C.F.; Sovago, I.; Cottrell, S.J.; Galek, P.T.A.; McCabe, P.; Pidcock, E.; Platings, M.; Shields, G.P.; Stevens, J.S.; Towler, M.; et al. Mercury 4.0: From visualization to analysis, design and prediction. J. Appl. Crystallogr. 2020, 53, 226–235. [Google Scholar] [CrossRef]
- Spackman, P.R.; Turner, M.J.; McKinnon, J.J.; Wolff, S.K.; Grimwood, D.J.; Jayatilaka, D.; Spackman, M.A. CrystalExplorer: A program for Hirshfeld surface analysis, visualization and quantitative analysis of molecular crystals. J. Appl. Crystallogr. 2021, 54, 1006–1011. [Google Scholar] [CrossRef]







Publisher’s Note: MDPI stays neutral with regard to jurisdictional claims in published maps and institutional affiliations. |
© 2022 by the authors. Licensee MDPI, Basel, Switzerland. This article is an open access article distributed under the terms and conditions of the Creative Commons Attribution (CC BY) license (https://creativecommons.org/licenses/by/4.0/).
Share and Cite
Angevine, D.J.; Camacho, K.J.; Rzayev, J.; Benedict, J.B. Enhancing the Photo and Thermal Stability of Nicotine through Crystal Engineering with Gentisic Acid. Molecules 2022, 27, 6853. https://doi.org/10.3390/molecules27206853
Angevine DJ, Camacho KJ, Rzayev J, Benedict JB. Enhancing the Photo and Thermal Stability of Nicotine through Crystal Engineering with Gentisic Acid. Molecules. 2022; 27(20):6853. https://doi.org/10.3390/molecules27206853
Chicago/Turabian StyleAngevine, Devin J., Kristine Joy Camacho, Javid Rzayev, and Jason B. Benedict. 2022. "Enhancing the Photo and Thermal Stability of Nicotine through Crystal Engineering with Gentisic Acid" Molecules 27, no. 20: 6853. https://doi.org/10.3390/molecules27206853
APA StyleAngevine, D. J., Camacho, K. J., Rzayev, J., & Benedict, J. B. (2022). Enhancing the Photo and Thermal Stability of Nicotine through Crystal Engineering with Gentisic Acid. Molecules, 27(20), 6853. https://doi.org/10.3390/molecules27206853

