Hierarchical Virtual Screening and Binding Free Energy Prediction of Potential Modulators of Aedes Aegypti Odorant-Binding Protein 1
Abstract
1. Introduction
2. Results
2.1. Virtual Screening
2.1.1. Pharmacophore Model Virtual Screening
2.1.2. Docking-Based Virtual Screening
2.2. Volatile Filtering and Prediction of Chemical Toxicity
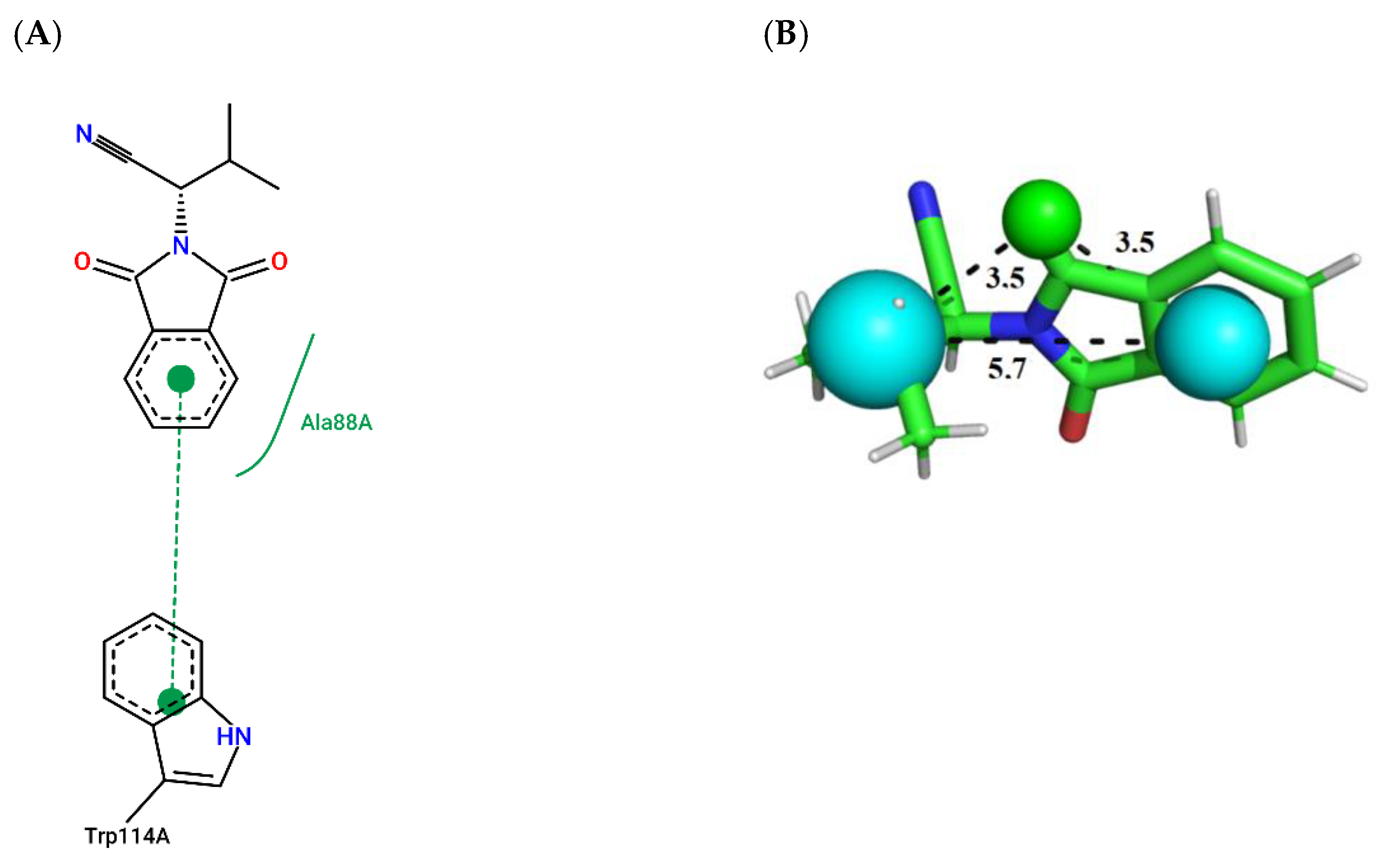
2.3. Intermolecular Interactions
2.4. Molecular Dynamics
2.5. Binding Free Energy Calculation
2.6. MD Representative Structure Interaction Maps
3. Materials and Methods
3.1. Hierarchical Virtual Screening
3.1.1. Pharmacophore-Based Virtual Screening
3.1.2. Docking-Based Virtual Screening
3.2. Volatile Filtering
3.3. Molecular Dynamics
3.3.1. Trajectory Analysis
3.3.2. Binding Free Energy
4. Conclusions
Supplementary Materials
Author Contributions
Funding
Institutional Review Board Statement
Informed Consent Statement
Data Availability Statement
Conflicts of Interest
References
- Boletim Epidemiológico. Arboviroses; Governador Valadares, 8 September 2022. Volume 07/2022. Available online: https://www.saude.mg.gov.br/component/gmg/story/17206-boletim-epidemiologico-de-monitoramento-dos-casos-de-dengue-chikungunya-e-zika-29-08 (accessed on 4 February 2022).
- Oliferenko, P.V.; Oliferenko, A.A.; Poda, G.I.; Osolodkin, D.I.; Pillai, G.G.; Bernier, U.R.; Tsikolia, M.; Agramonte, N.M.; Clark, G.G.; Linthicum, K.J.; et al. Promising Aedes aegypti repellent chemotypes identified through integrated QSAR, virtual screening, synthesis, and bioassay. PLoS ONE 2013, 8, e64547. [Google Scholar] [CrossRef] [PubMed]
- Hodges, T.K.; Cosme, L.V.; Athrey, G.; Pathikonda, S.; Takken, W.; Slotman, M.A. Species-specific chemosensory gene expression in the olfactory organs of the malaria vector Anopheles gambiae. BMC Genom. 2014, 15, 1089. [Google Scholar] [CrossRef][Green Version]
- Tsitsanou, K.E.; Thireou, T.; Drakou, C.E.; Koussis, K.; Keramioti, M.V.; Leonidas, D.D.; Eliopoulos, E.; Iatrou, K.; Zographos, S.E. Anopheles gambiae odorant binding protein crystal complex with the synthetic repellent DEET: Implications for structure-based design of novel mosquito repellents. Cell. Mol. Life Sci. CMLS 2012, 69, 283–297. [Google Scholar] [CrossRef] [PubMed]
- Fan, J.; Francis, F.; Liu, Y.; Chen, J.L.; Cheng, D.F. An overview of odorant-binding protein functions in insect peripheral olfactory reception. Genet. Mol. Res. GMR 2011, 10, 3056–3069. [Google Scholar] [CrossRef]
- Santana, I.B.; Leite, F.H.A.; Santos Junior, M.C. Identification of Lutzomyia longipalpis odorant binding protein modulators by comparative modeling, hierarchical virtual screening, and molecular dynamics. J. Chem. 2018, 2018, 4173479. [Google Scholar] [CrossRef]
- Da Costa, K.S.; Galúcio, J.M.; da Costa, C.H.S.; Santana, A.R.; Carvalho, V.S.; do Nascimento, L.D.; Lima, A.H.L.; Cruz, J.N.; Alves, C.N.; Lameira, J. Exploring the Potentiality of Natural Products from Essential Oils as Inhibitors of Odorant-Binding Proteins: A Structure- and Ligand-Based Virtual Screening Approach To Find Novel Mosquito Repellents. ACS Omega 2019, 4, 27. [Google Scholar] [CrossRef] [PubMed]
- Araujo Neto, M.F.; dos Santos, C.B.; Magalhães-Junior, J.T.; Leite, F.H.A. Identification of novel Aedes aegypti odorant-binding protein 1 modulators by ligand and structure-based approaches and bioassays. J. Biomol. Struct. Dyn. 2020, 40, 117–129. [Google Scholar] [CrossRef]
- Stanczyk, N.M.; Brookfield, J.F.Y.; Ignell, R.; Logan, J.G.; Field, L.M. Behavioral insensitivity to DEET in Aedes aegypti is a genetically determined trait residing in changes in sensillum function. Proc. Natl. Acad. Sci. USA 2010, 107, 8575–8580. [Google Scholar] [CrossRef]
- Corbel, V.; Stankiewicz, M.; Pennetier, C.; Fournier, D.; Stojan, J. Evidence for inhibition of cholinesterases in insect and mammalian nervous systems by the insect repellent DEET. BMC Biol. 2009, 7, 47. [Google Scholar] [CrossRef]
- Bohbot, J.D.; Dickens, J.C. Insect repellents: Modulators of mosquito odorant receptor activity. PLoS ONE 2010, 5, e12138. [Google Scholar] [CrossRef]
- Paluch, G.; Bartholomay, L.; Coats, J. Mosquito repellents: A review of chemical structure diversity and olfaction. Pest. Manag. Sci. 2010, 66, 925–935. [Google Scholar] [CrossRef] [PubMed]
- Chen, Y.C. Beware of docking! Trends Pharmacol. Sci. 2015, 36, 78–95. [Google Scholar] [CrossRef] [PubMed]
- Ramos, R.S.; Macedo, W.J.C.; Costa, J.S.; da Silva, C.H.T.d.P.; Rosa, J.M.C.; da Cruz, J.N.; de Oliveira, M.S.; de Aguiar Andrade, E.H.; Silva, R.B.L.; Souto, R.N.P.; et al. Potential inhibitors of the enzyme acetylcholinesterase and juvenile hormone with insecticidal activity: Study of the binding mode via docking and molecular dynamics simulations. J. Biomol. Struct. Dyn. 2019, 37, 4687–4709. [Google Scholar] [CrossRef] [PubMed]
- Yuriev, E.; Agostino, M.; Ramsland, P.A. Challenges and advances in computational docking: 2009 in review. J. Mol. Recognit. JMR 2011, 24, 149–164. [Google Scholar] [CrossRef] [PubMed]
- Shen, C.; Ding, J.; Wang, Z.; Cao, D.; Ding, X.; Hou, T. From machine learning to deep learning: Advances in scoring functions for protein–ligand docking. Wires Comput. Mol. Sci. 2019, 10, e1429. [Google Scholar] [CrossRef]
- Cruz, J.; Neto, M.; Silva, L.; da Ramos, R.S.; da Costa, J.S.; Brasil, D.; Lobato, C.; da Costa, G.; Bittencourt, J.; da Silva, C.; et al. Identification of Novel Protein Kinase Receptor Type 2 Inhibitors Using Pharmacophore and Structure-Based Virtual Screening. Molecules 2018, 23, 453. [Google Scholar] [CrossRef]
- Sliwoski, G.; Kothiwale, S.; Meiler, J.; Lowe, E.W., Jr. Computational methods in drug discovery. Pharmacol. Rev. 2014, 66, 334–395. [Google Scholar] [CrossRef]
- Caballero, J. 3D-QSAR (CoMFA and CoMSIA) and pharmacophore (GALAHAD) studies on the differential inhibition of aldose reductase by flavonoid compounds. J. Mol. Graph. Model. 2010, 29, 363–371. [Google Scholar] [CrossRef]
- Yang, S.Y. Pharmacophore modeling and applications in drug discovery: Challenges and recent advances. Drug Discov. Today 2010, 15, 444–450. [Google Scholar] [CrossRef]
- Rodrigues, R.P.; Mantoani, S.P.; de Almeida, J.R.; Pinsetta, F.R.; Semighini, E.P.; Silva, V.B.; Silva, C.H.P. Estratégias de Triagem Virtual no Planejamento de Fármacos. Rev. Virtual De Química 2012, 4, 739–776. [Google Scholar]
- GOLD, version 4.0; Cambridge Crystallographic Database: Cambridge, UK, 2008.
- Alves, V.M.; Muratov, E.; Fourches, D.; Strickland, J.; Kleinstreuer, N.; Andrade, C.H.; Tropsha, A. Predicting chemicallyinduced skin reactions. Part II: QSAR models of skin permeability and the relationships between skin permeability and skin sensitization. Toxicol. Appl. Pharmacol. 2015, 284, 273–280. [Google Scholar] [CrossRef] [PubMed]
- Pires, D.E.V.; Blundell, T.L.; Ascher, D.B. pkCSM: Predicting Small-Molecule Pharmacokinetic and Toxicity Properties Using Graph-Based Signatures. Med. Chem. 2015, 58, 4066–4072. [Google Scholar] [CrossRef]
- Kazius, J.; McGuire, R.; Bursi, R. Derivation and validation of toxicophores for mutagenicity prediction. J. Med. Chem. 2005, 48, 312–320. [Google Scholar] [CrossRef] [PubMed]
- Verli, H. Dinâmica Molecular. In Bioinformática da Biologia à Flexibilidade Molecular, 1st ed.; Sociedade Brasileira de Bioquímica e Biologia Molecular: Porto Alegre, Brazil, 2014; pp. 1–282. [Google Scholar]
- Kumari, R.; Kumar, R.; Open Source Drug Discovery Consortium; Lynn, A. A GROMACS Tool for High-Throughput MM-PBSA Calculations. J. Chem. Inf. Model. 2014, 54, 1951–1962. [Google Scholar] [CrossRef] [PubMed]
- Bittencourt, J.A.H.M.; Neto, M.F.A.; Lacerda, P.S.; Bittencourt, R.C.V.S.; Silva, R.C.; Lobato, C.C.; Silva, L.B.; Leite, F.H.A.; Zuliani, J.P.; Rosa, J.M.C.; et al. In silico evaluation of ibuprofen and two benzoylpropionic acid derivatives with potential anti-inflammatory activity. Molecules 2019, 24, 1476. [Google Scholar] [CrossRef]
- Torda, A.E.; Van Gusteren, W.F. Algorithms for clustering molecular dynamics configurations. J. Comput. Chem. 1994, 15, 1331–1340. [Google Scholar] [CrossRef]
- Irwin, J.J.; Sterling, T.; Mysinger, M.M.; Bolstad, E.S.; Coleman, R.G. ZINC: A Free Tool to Discover Chemistry for Biology. J. Chem. Inf. Model. 2012, 52, 7. [Google Scholar] [CrossRef] [PubMed]
- Tripos Associates. Sybyl-X Molecular Modeling Software Packages (Version 2.1.1). 2012. Available online: https://www.certara.com/pressreleases/certara-enhances-sybyl-x-drug-designand-discovery-software-suite/ (accessed on 6 February 2022).
- Clark, M.; Cramer, R.D.; Opdenbosch, N.V. Validation of the general purpose tripos 5.2 force field. J. Comput. Chem. 1989, 10, 982–1012. [Google Scholar] [CrossRef]
- Gasteiger, J.; Marsili, M. Iterative Partial Equalization of Orbital Electronegativity—A Rapid Access to Atomic Charges. Tetrahedron 1980, 36, 3219–3228. [Google Scholar] [CrossRef]
- Leite, N.R.; Krogh, R.; Xu, W.; Ishida, Y.; Iulek, J.; Leal, W.S.; Oliva, G. Structure of an odorant-binding protein from the mosquito Aedes aegypti suggests a binding pocket covered by a pH-sensitive “Lid”. PLoS ONE 2009, 4, e8006. [Google Scholar] [CrossRef]
- Anandakrishnan, R.; Aguilar, B.; Onufriev, A.V. H++ 3.0: Automating pK prediction and the preparation of biomolecular structures for atomistic molecular modeling and simulations. Nucleic. Acids Res. 2012, 40, 537–541. [Google Scholar]
- ChemAxon. MarvinSketch (Version 15.4.20); ChemAxon: Budapest, Hungary, 2015. [Google Scholar]
- Van Der Spoel, D.; Lindahl, E.; Hess, B.; Groenhof, G.; Mark, A.E.; Berendsen, H.J.C. GROMACS: Fast, flexible, and free. J. Comput. Chem. 2005, 26, 1701–1718. [Google Scholar] [CrossRef] [PubMed]
- Malde, A.K.; Zuo, L.; Breeze, M.; Stroet, M.; Poger, D.; Nair, P.C.; Oostenbrink, C.; Mark, A.E. An Automated force field Topology Builder (ATB) and repository: Version 1.0. J. Chem. Theory Comput. 2011, 7, 4026–4037. [Google Scholar]
- Stroet, M.; Caron, B.; Visscher, K.; Geerke, D.; Malde, A.K.; Mark, A.E. Automated Topology Builder version 3.0: Prediction of solvation free enthalpies in water and hexane. J. Chem. Theory Comput. 2018, 14, 5834–5845. [Google Scholar] [CrossRef] [PubMed]
- Hess, B.; Kutzner, C.; Van Der Spoel, D.; Lindahl, E. GROMACS 4: Algorithms for highly efficient, load-balanced, and scalable molecular simulation. J. Chem. Theory Comput. 2008, 4, 435–447. [Google Scholar] [CrossRef] [PubMed]
- Mark, P.; Nilsson, L. Structure and dynamics of the TIP3P, SPC, and SPC/E water models at 298 K. J. Phys. Chem. A 2001, 105, 9954–9960. [Google Scholar] [CrossRef]
- Pirani, F.; Brizi, S.; Roncaratti, L.F.; Casavecchia, P.; Cappelletti, D.; Vecchiocattivi, F. Beyond the Lennard-Jones model: A simple and accurate potential function probed by high resolution scattering data useful for molecular dynamics simulations. Phys. Chem. Chem. Phys. PCCP 2008, 10, 5489–5503. [Google Scholar] [CrossRef]
- Lindahl, E.; Hess, B.; van der Spoel, D. GROMACS 3.0: A package for molecular simulation and trajectory analysis. J. Mol. Model. 2001, 7, 306–317. [Google Scholar] [CrossRef]
- Miyamoto, S.; Kollman, P.A. Settle: An analytical version of the SHAKE and RATTLE algorithm for rigid water models. J. Comput. Chem. 1992, 13, 952–962. [Google Scholar] [CrossRef]
- Darden, T.; York, D.; Pedersen, L. Particle mesh Ewald: An Nlog(N) method for Ewald sums in large systems. J. Chem. Phys. 1993, 98, 10089–10092. [Google Scholar] [CrossRef]
- Berendsen, H.J.C.; Postma, J.P.M.; Van Gunsteren, W.F.; Dinola, A.; Haak, J.R. Molecular dynamics with coupling to an external bath. J. Chem. Phys. 1984, 81, 3684–3690. [Google Scholar] [CrossRef]
- Turner, P.J. XMGRACE (Version 5.1.19); Beaverton, OR 2; Center for Coastal and Land-Margin Research, Oregon Graduate Institute of Science and Technology: Washington, DC, USA, 2005. [Google Scholar]
- Daura, X.; Van Gunsteren, W.F.; Mark, A.E. Folding-unfolding thermodynamics of a b-heptapeptide from equilibrium simulations. Proteins Struct. Funct. Genet. 1999, 34, 269–280. [Google Scholar] [CrossRef]
- Ganesan, A.; Coote, M.L.; Barakat, K. Molecular dynamicsdriven drug discovery: Leaping forward with confidence. Drug Discov. 2016, 22, 249–269. [Google Scholar] [CrossRef]
- Wagoner, J.A.; Baker, N.A. Assessing implicit models for nonpolar mean solvation forces: The importance of dispersion and volume terms. Proc. Natl. Acad. Sci. USA 2006, 103, 8331–8336. [Google Scholar] [CrossRef]











| Molecule | MW | PSA | HBD | HBA | clog P | Skin Sensitivity |
|---|---|---|---|---|---|---|
| Database: ZINC | ||||||
| ZINC141 | 244.25 | 72.8 | 0 | 4 | 1.68 | No |
| ZINC047 | 230.223 | 72.8 | 0 | 4 | 1.75 | No |
| ZINC878 | 228.251 | 61.17 | 0 | 3 | 1.91 | No |
| ZINC698 | 219.269 | 68.01 | 2 | 3 | 2.23 | No |
| Database: BIOGENIC | ||||||
| ZINC305 | 222.247 | 41.46 | 2 | 1 | 2.63 | No |
| Compound | EvdW | Eelec | EMM | Gpolar | Gapolar | ∆G |
|---|---|---|---|---|---|---|
| DEET | −4.32 | 21.39 | 17.07 | −42.10 | −0.81 | −24.13 |
| ZINC878 | −27.96 | −5.18 | −33.14 | 22.09 | −3.04 | −58.29 |
| ZINC305 | −23.47 | −3.20 | −26.67 | 13.71 | −2.26 | −42.64 |
| ZINC141 | −8.08 | −23.37 | −31.45 | 50.89 | 1.55 | −80.80 |
Publisher’s Note: MDPI stays neutral with regard to jurisdictional claims in published maps and institutional affiliations. |
© 2022 by the authors. Licensee MDPI, Basel, Switzerland. This article is an open access article distributed under the terms and conditions of the Creative Commons Attribution (CC BY) license (https://creativecommons.org/licenses/by/4.0/).
Share and Cite
Neto, M.F.A.; Campos, J.M.; Cerqueira, A.P.M.; de Lima, L.R.; Da Costa, G.V.; Ramos, R.D.S.; Junior, J.T.M.; Santos, C.B.R.; Leite, F.H.A. Hierarchical Virtual Screening and Binding Free Energy Prediction of Potential Modulators of Aedes Aegypti Odorant-Binding Protein 1. Molecules 2022, 27, 6777. https://doi.org/10.3390/molecules27206777
Neto MFA, Campos JM, Cerqueira APM, de Lima LR, Da Costa GV, Ramos RDS, Junior JTM, Santos CBR, Leite FHA. Hierarchical Virtual Screening and Binding Free Energy Prediction of Potential Modulators of Aedes Aegypti Odorant-Binding Protein 1. Molecules. 2022; 27(20):6777. https://doi.org/10.3390/molecules27206777
Chicago/Turabian StyleNeto, Moysés F. A., Joaquín M. Campos, Amanda P. M. Cerqueira, Lucio R. de Lima, Glauber V. Da Costa, Ryan Da S. Ramos, Jairo T. Magalhães Junior, Cleydson B. R. Santos, and Franco H. A. Leite. 2022. "Hierarchical Virtual Screening and Binding Free Energy Prediction of Potential Modulators of Aedes Aegypti Odorant-Binding Protein 1" Molecules 27, no. 20: 6777. https://doi.org/10.3390/molecules27206777
APA StyleNeto, M. F. A., Campos, J. M., Cerqueira, A. P. M., de Lima, L. R., Da Costa, G. V., Ramos, R. D. S., Junior, J. T. M., Santos, C. B. R., & Leite, F. H. A. (2022). Hierarchical Virtual Screening and Binding Free Energy Prediction of Potential Modulators of Aedes Aegypti Odorant-Binding Protein 1. Molecules, 27(20), 6777. https://doi.org/10.3390/molecules27206777

