Dammarane-Type Triterpenoid from the Stem Bark of Aglaia elliptica (Meliaceae) and Its Cytotoxic Activities
Abstract
1. Introduction
2. Results and Discussions
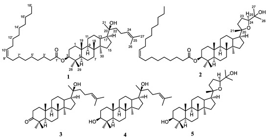
2.1. Structural Elucidation of the Isolated Compounds
2.2. Cytotoxic Activity of All Obtained Compounds
3. Materials and Methods
3.1. General Experimental Procedures
3.2. Plant Material
3.3. Extraction and Isolation
3.4. Transesterification of Triterpenoids Fatty Acid Ester
3.5. Determination of Cytotoxic Activity
4. Conclusions
Supplementary Materials
Author Contributions
Funding
Institutional Review Board Statement
Informed Consent Statement
Data Availability Statement
Conflicts of Interest
Sample Availability
References
- Harneti, D.; Supratman, U. Phytochemistry and biological activities of Aglaia species. Phytochemistry 2021, 181, 112540. [Google Scholar] [CrossRef] [PubMed]
- Pannell, C.M. Taxonnomic Monograph of the Genus Aglaia Lour. (Meliaceae); Kew Bulletin Additional Series XVI HMSO: Kew, UK, 1992. [Google Scholar]
- Heyne, K. The Useful Indonesian Plants, Research and Development Agency; Ministry of Forestry Publisher: Jakarta, Indonesia, 1982; pp. 1029–1031. [Google Scholar]
- Cai, X.; Wang, Y.; Zhao, P.; Li, Y.; Luo, X. Dolabellane diterpenoids from Aglaia odorata. Phytochemistry 2010, 71, 1020–1024. [Google Scholar] [CrossRef] [PubMed]
- Yodsaoue, O.; Sonprasit, J.; Karalai, C.; Ponglimanont, C.; Tewtrakul, S.; Chantrapromma, S. Diterpenoids and triterpenoids with potential anti-inflammatory activity from the leaves of Aglaia odorata. Phytochemistry 2012, 76, 83–91. [Google Scholar] [CrossRef] [PubMed]
- Harneti, D.; Tjokronegoro, R.; Safari, A.; Supratman, U.; Loong, X.M.; Mukhtar, M.R.; Mohamad, K.; Awang, K.; Hayashi, H. Cytotoxic triterpenoids from the bark of Aglaia smithii. Phytochem. Lett. 2012, 5, 496–499. [Google Scholar] [CrossRef]
- Su, B.; Chai, H.; Mi, Q.; Riswan, S.; Kardono, L.B.S.; Afriastini, J.J.; Santarsiero, B.D.; Mesecar, A.D.; Fransworth, N.R.; Cordell, G.A.; et al. Activity-guided isolation of cytotoxic constituents from the bark of Aglaia crassinervia collected in Indonesia. J. Bioorg. Med. Chem. 2006, 14, 960–972. [Google Scholar] [CrossRef]
- Harneti, D.; Permatasari, A.A.; Anisshabira, A.; Naini, A.A.; Nurlelasari; Mayanti, T.; Maharani, R.; Safari, A.; Hidayat, A.T.; Farabi, K.; et al. Sesquiterpenoids from the stem bark of Aglaia grandis. Nat. Prod. Sci. 2022, 28, 6–12. [Google Scholar]
- Joycharat, N.; Plodpai, P.; Panthong, K.; Yingyongnarongkul, B.-E.; Voravuthikunchai, S.P. Terpenoid constituents and antifungal activity of Aglaia forbessi seed against phytopathogens. Can. J. Chem. 2010, 88, 937–944. [Google Scholar] [CrossRef]
- Farabi, K.; Harneti, D.; Nurlelasari; Maharani, R.; Hidayat, A.C.; Awang, K.; Supratman, U.; Shiono, Y. New cytotoxic protolimonoids from the stem bark of Aglaia argentea (Meliaceae). Phytochem. Lett. 2017, 21, 211–215. [Google Scholar] [CrossRef]
- Sun, Y.; Cui, L.; Sun, Y.; Li, Q.; Li, Y.; Wang, Z.; Xu, W.; Kong, L.; Luo, J. A/D-rings-seco limonoids from the fruits of Aglaia edulis and their bioactivities. Phytochemistry 2022, 195, 113049. [Google Scholar] [CrossRef]
- Farabi, K.; Harneti, D.; Nurlelasari; Maharani, R.; Hidayat, A.C.; Awang, K.; Supratman, U.; Shiono, Y. New cytotoxic pregnane-type steroid from the stem bark of Aglaia elliptica (Meliaceae). Rec. Nat. Prod. 2018, 12, 121–127. [Google Scholar] [CrossRef]
- Wu, P.F.; Liu, J.; Li, Y.N.; Ding, R.; Tan, R.; Yang, X.M.; Yu, Y.; Hao, X.J.; Yuan, C.M.; Yi, P. Three new aglain derivatives from Aglaia odorata Lour. and their cytotoxic activities. Chem. Biodivers. 2022, 19, 1–6. [Google Scholar] [CrossRef] [PubMed]
- Sianturi, J.; Purnamasari, M.; Darwati; Harneti, D.; Mayanti, T.; Supratman, U.; Awang, K.; Hayashi, H. New bisamide compounds from the bark of Aglaia eximia (Meliaceae). Phytochem. Lett. 2015, 13, 297–301. [Google Scholar] [CrossRef]
- Peng, L.; Fu, W.X.; Zeng, C.X.; Zhou, L.; Bao, M.F.; Cai, X.H. Two new lignans from twigs of Aglaia odorata. J. Asian Nat. Prod. Res. 2016, 18, 147–152. [Google Scholar] [CrossRef]
- Sianturi, J.; Harneti, D.; Darwati; Mayanti, T.; Supratman, U.; Awang, K. A new (-)-5′,6-dimethoxyisolariciresinol-(3″,4″-dimethoxy)-3α-O-β-D-glucopyranosides from the bark of Aglaia eximia (Meliaceae). Nat. Prod. Res. 2016, 30, 2204–2208. [Google Scholar] [CrossRef] [PubMed]
- An, F.L.; Wang, X.B.; Wang, H.; Li, Z.R.; Yang, M.H.; Luo, J.; Kong, L.Y. Cytotoxic rocaglate derivatives from leaves of Aglaia perviridis. Sci. Rep. 2016, 28, 20045. [Google Scholar] [CrossRef] [PubMed]
- Pan, L.; Acuna, U.M.; Li, J.; Jena, N.; Ninh, T.N.; Pannel, C.M.; Chai, H.; Fuchs, J.R.; Carcache, E.J.; Soejarto, D.D.; et al. Bioactive flavaglines and other constituents isolated from Aglaia perviridis. J. Nat. Prod. 2013, 76, 394–404. [Google Scholar] [CrossRef]
- Nugroho, B.W.; Gussregen, B.; Wray, V.; Witte, L.; Bringmann, G.; Proksch, P. Insecticidal rocaglamide derivatives from Aglaia elliptica and A. harmsiana. Phytochemistry 1997, 45, 1579–1585. [Google Scholar] [CrossRef]
- Engelmeier, D.; Hadacek, F.; Pacher, T.; Vajrodaya, S.; Greger, H. Cyclopenta [b] benzofurans from Aglaia species with pronounced antifungal activity against Rice Blast Fungus (Pyricularia grisea). J. Agric. Food. Chem. 2000, 48, 1400–1404. [Google Scholar] [CrossRef]
- Zhang, H.; Xu, H.H.; Sonf, Z.J.; Chen, L.Y.; Wen, H.J. Molluscidal activity of Aglaia duperreana and the constituents of its twigs and leaves. Fitoterapia 2012, 83, 1081–1086. [Google Scholar] [CrossRef]
- Zhang, F.; Wang, J.S.; Gu, Y.C.; Kong, L.Y. Triterpenoids from Aglaia abbreviata and their cytotoxic activities. J. Nat. Prod. 2010, 73, 2042–2046. [Google Scholar] [CrossRef]
- Harneti, D.; Supriadin, A.; Ulfah, M.; Safari, A.; Supratman, U.; Awang, K.; Hayashi, H. Cytotoxic constituents from the bark of Aglaia eximia (Meliaceae). Phytochem. Lett. 2014, 8, 28–31. [Google Scholar] [CrossRef]
- Oktaviani, D.; Sukmawati, W.; Farabi, K.; Harneti, D.; Nurlelasari; Darwati; Maharani, R.; Mayanti, T.; Safari, A.; Supratman, U. Terpenoids from the stem bark of Aglaia elaeagnoidea and their cytotoxic activity against HeLa and DU145 cancer cell lines. Molekul 2022, 17, 76–84. [Google Scholar] [CrossRef]
- Hidayat, A.T.; Farabi, K.; Harneti, D.; Maharani, R.; Darwati; Nurlelasari; Mayanti, T.; Setiawan, A.S.; Supratman, U.; Shiono, Y. Cytotoxicity, and structure activity relationship of dammarane-type triterpenoids from the bark of Aglaia elliptica against P-388 murine leukemia cells. Nat. Prod. Sci. 2017, 23, 291–298. [Google Scholar] [CrossRef]
- Farabi, K.; Harneti, D.; Darwati; Nurlelasari; Mayanti, T.; Maharani, R.; Supratman, U.; Fajriah, S.; Kuncoro, H.; Azmi, M.N.; et al. New dammarane-type triterpenoids from Aglaia elliptica (C.DC.) blume. Nat. Prod. Res. 2022, 1–9, in press. [Google Scholar] [CrossRef]
- Sari, A.P.; Nurlelasari; Azhari, A.; Harneti, D.; Maharani, R.; Mayanti, T.; Farabi, K.; Darwati; Supratman, U.; Fajriah, S.; et al. New ergostane-type sterol produced by an endophytic fungus Fusarium phaseoli isolated from Chisocheton macrophyllus (Meliaceae). Rec. Nat. Prod. 2022, 16, 614–621. [Google Scholar]
- Ruan, J.; Zheng, C.; Qu, L.; Liu, Y.; Han, L.; Yu, H.; Zhang, Y.; Wang, T. Plant resources: 13C-NMR spectral characteristic and pharmacological activities of dammarane-type triterpenoids. Molecules 2016, 21, 1047. [Google Scholar] [CrossRef]
- Heliawati, L.; Khatimah, H.; Hermawati, E.; Syah, Y.M. Four dammarane triterpenes and their inhibitory properties against eight receptor tyrosine kinases. Nat. Prod. Sci. 2020, 26, 345–350. [Google Scholar]
- Bradley, O.M.; Webb, N.L.; Antony, F.H.; Devanesan, P.; Witman, P.A.; Hemamalini, S.; Chander, M.C.; Baker, S.D.; He, L.; Horwitz, S.B.; et al. Tumor targeting by covalent conjugation of a natural fatty acid to paclitaxel. Clin. Cancer Res. 2001, 7, 3229–3238. [Google Scholar]
- Cao, J.; Zhang, X.; Qu, F.; Guo, Z.; Zhao, Y. Dammarane triterpenoids for pharmaceutical use: A patent review (2005–2014). Expert. Opin. Ther. Pat. 2015, 25, 805–817. [Google Scholar] [CrossRef]
- Izdihar, G.; Naini, A.A.; Harneti, D.; Maharani, R.; Nurlelasari; Mayanti, T.; Safari, A.; Farabi, K.; Supratman, U.; Azmi, M.N.; et al. Sesquiterpenoids from the stem bark of Aglaia simplicifolia and their cytotoxic activity against B16-F10 melanoma skin cancer cell. Indones. J. Chem. 2021, 21, 1560–1567. [Google Scholar] [CrossRef]



| No. | 1 | 2 | ||
|---|---|---|---|---|
| 13C NMR δc (Mult.) | 1H NMR δH (Integral, Mult., J = Hz) | 13C NMR δc (Mult.) | 1H NMR δH (Integral, Mult., J = Hz) | |
| 1 | 32.7 (t) | 1.95 (2H, m) | 33.0 (t) | 2.21 (2H, m) |
| 2 | 24.9 (t) | 1.48 (2H, m) | 23.8 (t) | 1.68 (2H, m) |
| 3 | 80.7 (d) | 4.47 (1H, dd, 5.5, 10.5) | 80.6 (d) | 4.45 (1H, dd, 5.0, 11.0) |
| 4 | 38.0 (s) | - | 37.1 (s) | - |
| 5 | 56.0 (d) | 0.82 (1H, m) | 56.0 (d) | 0.82 (1H, m) |
| 6 | 18.2 (t) | 1.41 (2H, m) | 18.2 (t) | 1.51, 1.38 (each 1H, m) |
| 7 | 35.2 (t) | 1.22, 1.54 (each 1H, m) | 34.8 (t) | 1.65 (1H, m) |
| 8 | 40.4 (s) | - | 40.5 (s) | - |
| 9 | 50.6 (d) | 1.32 (1H, m) | 50.8 (d) | 1.32 (1H, m) |
| 10 | 37.1 (s) | - | 38.0 (s) | - |
| 11 | 21.6 (t) | 1.48 (2H, m) | 21.1 (t) | 1.51 (2H, m) |
| 12 | 25.1 (t) | 1.43 (2H, m) | 27.0 (t) | 1.76 (2H, m) |
| 13 | 42.3 (d) | 1.59 (1H, m) | 42.9 (d) | 1.61 (1H, m) |
| 14 | 50.4 (s) | - | 50.1 (s) | - |
| 15 | 31.2 (t) | 1.05 (2H, m) | 31.5 (t) | 1.04 (2H, m) |
| 16 | 27.6 (t) | 1.78 (2H, m) | 25.9 (t) | 1.25 (2H, m) |
| 17 | 49.9 (d) | 1.71 (1H, m) | 49.9 (d) | 1.85 (1H, m) |
| 18 | 15.6 (q) | 0.94 (3H, s) | 16.4 (q) | 0.85 (3H, s) |
| 19 | 16.3 (q) | 0.85 (3H, s) | 16.6 (q) | 0.87 (3H, s) |
| 20 | 75.5 (s) | - | 86.6 (s) | - |
| 21 | 25.5 (q) | 1.12 (3H, s) | 27.2 (q) | 1.12 (3H, s) |
| 22 | 40.6 (t) | 1.45 (2H, m) | 35.3 (t) | 1.26 (2H, m) |
| 23 | 22.7 (t) | 1.28 (2H, m) | 26.4 (t) | 1.74 (2H, m) |
| 24 | 124.8 (d) | 5.10 (1H, t, 7.0) | 86.3 (d) | 3.62 (1H, dd, 5.5, 10.0) |
| 25 | 131.7 (s) | - | 70.3 (s) | - |
| 26 | 25.8 (q) | 1.67 (3H, s) | 27.9 (q) | 1.17 (3H, s) |
| 27 | 17.8 (q) | 1.61 (3H, s) | 24.1 (q) | 1.09 (3H, s) |
| 28 | 28.1 (q) | 0.83 (3H, s) | 28.1 (q) | 0.82 (3H, s) |
| 29 | 16.5 (q) | 0.85 (3H, s) | 17.5 (q) | 1.16 (3H, s) |
| 30 | 16.6 (q) | 0.86 (3H, s) | 15.6 (q) | 0.95 (3H, s) |
| 1’ | 173.7 (s) | - | 173.6 (s) | - |
| 2’ | 34.2 (t) | 2.27 (2H, t, 7.5) | 34.2 (t) | 2.27 (2H, t, 7.5) |
| 3’ | 23.8 (t) | 1.59 (2H, m) | 23.8 (t) | 1.68 (2H, m) |
| 4’ | 29.2 (t) | 1.24 (2H, m) | 29.2 (t) | 1.24 (2H, m) |
| 5’ | 29.6 (t) | 1.24 (2H, m) | 29.6 (t) | 1.24 (2H, m) |
| 6’ | 29.4 (t) | 1.24 (2H, m) | 29.3 (t) | 1.24 (2H, m) |
| 7’ | 29.7 (t) | 1.24 (2H, m) | 29.7 (t) | 1.24 (2H, m) |
| 8’ | 32.0 (t) | 1.99 (2H, m) | 32.0 (t) | 2.00 (2H, m) |
| 9’ | 128.9 (d) | 5.40 (1H, dd, 3.5, 9.5) | 128.9 (d) | 5.40 (1H, dd, 3.5, 10.0) |
| 10’ | 131.8 (d) | 5.35 (1H, dd, 3.5, 9.5) | 131.7 (d) | 5.35 (1H, dd, 3.5, 10.0) |
| 11’ | 32.1 (t) | 1.99 (2H, m) | 32.1 (t) | 2.00 (2H, m) |
| 12’ | 29.4 (t) | 1.24 (2H, m) | 29.3 (t) | 1.24 (2H, m) |
| 13’ | 29.6 (t) | 1.24 (2H, m) | 29.6 (t) | 1.24 (2H, m) |
| 14’ | 29.2 (t) | 1.24 (2H, m) | 29.2 (t) | 1.24 (2H, m) |
| 15’ | 29.4 (t) | 1.24 (2H, m) | 29.3 (t) | 1.24 (2H, m) |
| 16’ | 29.7 (t) | 1.24 (2H, m) | 29.7 (t) | 1.24 (2H, m) |
| 17’ | 22.6 (t) | 1.22 (2H, m) | 22.7 (t) | 1.22 (2H, m) |
| 18’ | 14.2 (q) | 0.85 (3H, t, 6.5) | 14.2 (q) | 0.85 (3H, t, 6.5) |
| Compounds | IC50 for MCF-7 (μg/mL) | IC50 for B16F10 (μg/mL) |
|---|---|---|
| 3β-oleate-20S-hydroxydammar-24-en (1) | 313.23 | 181.34 |
| 20S,24S-epoxy-3β-oleate-25-hydroxydammarane (2) | 212.21 | 98.40 |
| 20S-hydroxydammar-24-en-3-on (3) | 67.30 | 22.95 |
| 3β,20S-dihydroxydammar-24-en (4) | 121.01 | 49.57 |
| 20S,24S-epoxy-3β,25-dihydroxydammarane (5) | 82.61 | 95.27 |
| Cisplatin (positive control) | 53.00 | 43.00 |
Publisher’s Note: MDPI stays neutral with regard to jurisdictional claims in published maps and institutional affiliations. |
© 2022 by the authors. Licensee MDPI, Basel, Switzerland. This article is an open access article distributed under the terms and conditions of the Creative Commons Attribution (CC BY) license (https://creativecommons.org/licenses/by/4.0/).
Share and Cite
Farabi, K.; Harneti, D.; Darwati; Mayanti, T.; Nurlelasari; Maharani, R.; Sari, A.P.; Herlina, T.; Hidayat, A.T.; Supratman, U.; et al. Dammarane-Type Triterpenoid from the Stem Bark of Aglaia elliptica (Meliaceae) and Its Cytotoxic Activities. Molecules 2022, 27, 6757. https://doi.org/10.3390/molecules27196757
Farabi K, Harneti D, Darwati, Mayanti T, Nurlelasari, Maharani R, Sari AP, Herlina T, Hidayat AT, Supratman U, et al. Dammarane-Type Triterpenoid from the Stem Bark of Aglaia elliptica (Meliaceae) and Its Cytotoxic Activities. Molecules. 2022; 27(19):6757. https://doi.org/10.3390/molecules27196757
Chicago/Turabian StyleFarabi, Kindi, Desi Harneti, Darwati, Tri Mayanti, Nurlelasari, Rani Maharani, Aprilia Permata Sari, Tati Herlina, Ace Tatang Hidayat, Unang Supratman, and et al. 2022. "Dammarane-Type Triterpenoid from the Stem Bark of Aglaia elliptica (Meliaceae) and Its Cytotoxic Activities" Molecules 27, no. 19: 6757. https://doi.org/10.3390/molecules27196757
APA StyleFarabi, K., Harneti, D., Darwati, Mayanti, T., Nurlelasari, Maharani, R., Sari, A. P., Herlina, T., Hidayat, A. T., Supratman, U., Fajriah, S., Azmi, M. N., & Shiono, Y. (2022). Dammarane-Type Triterpenoid from the Stem Bark of Aglaia elliptica (Meliaceae) and Its Cytotoxic Activities. Molecules, 27(19), 6757. https://doi.org/10.3390/molecules27196757

