Promoting Efficacy and Environmental Safety of Pesticide Synergists via Non-Ionic Gemini Surfactants with Short Fluorocarbon Chains
Abstract
1. Introduction
2. Results and Discussion
2.1. Synthesis of Surfactants and Determination of Their Structures
2.2. Static Surface Tension
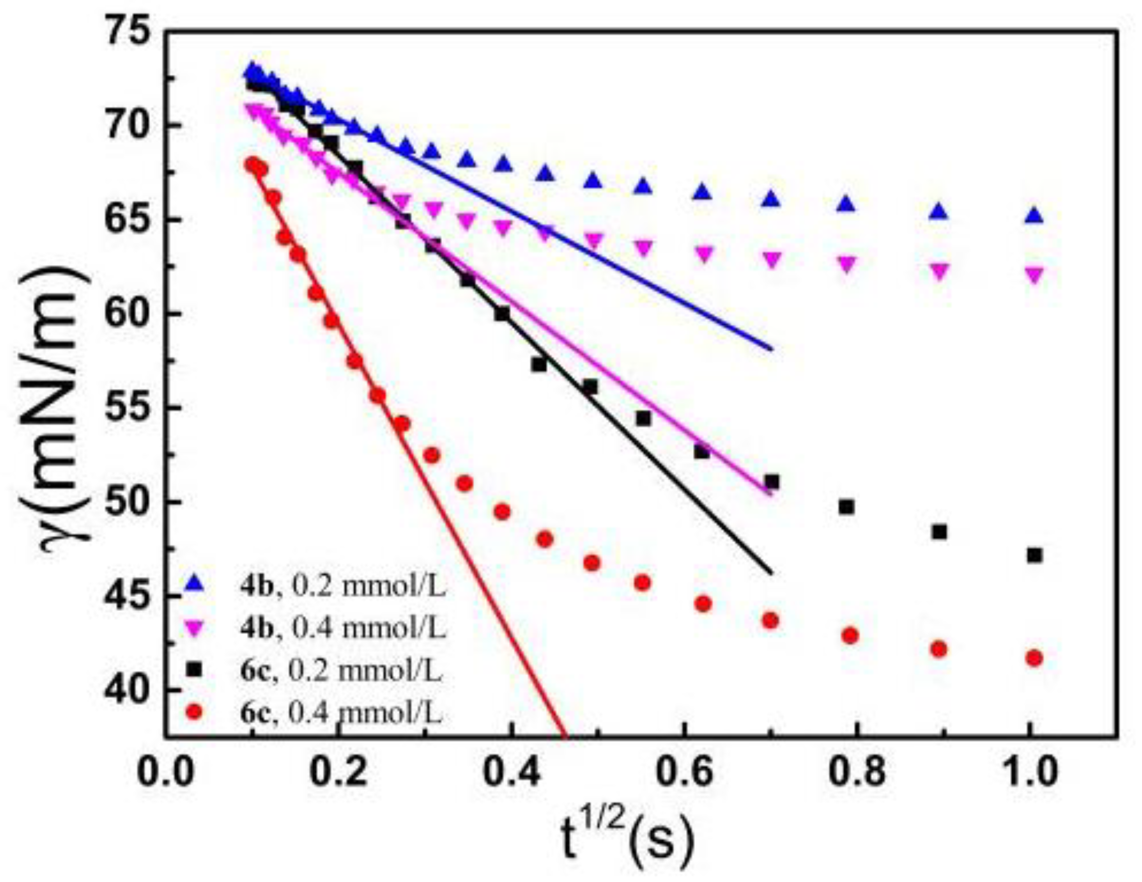
2.3. Dynamic Surface Tension
2.4. Wetting Properties
2.5. Influence of Surfactants 4a and 6a on Glyphosate Water Agent
2.6. Evaluation of Acute Toxicity
3. Materials and Methods
3.1. Chemicals and Instruments
3.2. Surface Tension Measurements
3.3. Contact Angle Measurements
3.4. Acute Toxicity to Rats
4. Conclusions
Supplementary Materials
Author Contributions
Funding
Institutional Review Board Statement
Informed Consent Statement
Data Availability Statement
Conflicts of Interest
References
- Li, H.F.; Liu, Z.; Li, C.X.; Feng, Q.Y.; Liu, Y.; Li, Q.; Dong, Z.C.; Wang, Y.L.; Jang, L. Efficient spreading and controllable penetration of high-speed drops on superhydrophobic surface by vesicles. J. Mater. Chem. A 2020, 8, 17392–17398. [Google Scholar] [CrossRef]
- Topping, C.J.; Aldrich, A.; Berny, P. Overhaul environmental risk assessment for pesticides. Science 2020, 367, 360–363. [Google Scholar] [CrossRef]
- Kovalchuk, N.M.; Trybala, A.V.; Starov Mater, O.; Ivanova, N. Fluoro-vs Hydrocarbon Surfactants: Why do They Differ in Wetting Performance? Adv. Colloid Interfac. 2014, 210, 65–71. [Google Scholar] [CrossRef]
- Hussain, S.M.S.; Adewunmi, A.A.; Mahboob, A.; Murtaza, M.; Zhou, X.M.; Kamal, M.S. Fluorinated surfactants: A review on recent progress on synthesis and oilfield applications. Adv. Colloid Interfac. 2022, 303, 102634. [Google Scholar] [CrossRef] [PubMed]
- Debbabi, K.; Guittard, F.; Geribaldi, S. Novel Highly Fluorinated Sulfamates: Synthesis and Evaluation of Their Surfactant Properties. J. Colloid Interface Sci. 2008, 326, 235–239. [Google Scholar] [CrossRef]
- Wehbie, M.; Onyia, K.K.; Mahler, F.; Le Roy, A.; Deletraz, A.; Bouchemal, I.; Vargas, C.; Babalola, J.O.; Breyton, C.; Ebel, C.; et al. Maltose-Based Fluorinated Surfactants for Membrane-Protein Extraction and Stabilization. Langmuir 2021, 37, 2111–2122. [Google Scholar] [CrossRef]
- Wei, B.X.; Cui, Y.T.; Ma, S.C.; Wang, Y.; Guo, X.; Xiao, J.W.; Li, W.; Pang, A.; Bai, Y.P. Fluorinated Polymeric Surfactant with a Pluronic-like Structure and Its Application as a Drug Carrier. ACS Appl. Polym. Mater. 2021, 3, 4940–4948. [Google Scholar] [CrossRef]
- Ma, W.; Lopez, G.; Ameduri, B.; Takahara, A. Fluoropolymer Nanoparticles Prepared Using Trifluoropropene Telomer Based Fluorosurfactants. Langmuir 2020, 36, 1754–1760. [Google Scholar] [CrossRef]
- Zhu, B.F.; Yang, J.J.; Liu, J.; Meng, Y.B.; Du, X.Q.; Cai, C.; Zhang, Z. Surface properties and protein adsorption performance of fluorinated amphiphilic polymers. J. Phys. Chem. C 2019, 123, 12773–12780. [Google Scholar] [CrossRef]
- Sagisaka, M.; Saito, T.; Yoshizawa, A.; Rogers, S.E.; Guittard, F.; Hill, C.; Eastoe, J.; Blesic, M. Water-in-CO2 Microemulsions Stabilized by Fluorinated Cation–Anion Surfactant Pairs. Langmuir 2019, 35, 3445–3454. [Google Scholar] [CrossRef]
- Cheng, G.Y.; Lin, K.T.; Ye, Y.H.; Jiang, H.; Ngai, T.; Ho, Y.P. Photo-Responsive Fluorosurfactant Enabled by Plasmonic Nanoparticles for Light-Driven Droplet Manipulation. ACS Appl. Mater. Interfaces 2021, 13, 21914–21923. [Google Scholar] [CrossRef]
- Villegas, J.P.; Moncayo-Riascos, I.; Galeano-Caro, D.; Riazi, M.; Franco, C.A.; Cortés, F.B. Functionalization of γ-Alumina and Magnesia Nanoparticles with a Fluorocarbon Surfactant to Promote Ultra-Gas-Wet Surfaces: Experimental and Theoretical Approach. ACS Appl. Mater. Interfaces. 2020, 12, 13510–13520. [Google Scholar] [CrossRef]
- Katebb, E.M.; Givenchy, E.T.D.; Baklouti, A.; Guittard, F. Synthesis and Surface Properties of Semi-Fluorinated Gemini Surfactants with Two Reactive Bromo Pendant Groups. J. Colloid Interface Sci. 2011, 357, 129–134. [Google Scholar] [CrossRef]
- Du, F.Q.; Guo, Y.; Huang, M.W.; Chen, Q.Y.; Yang, H.; Xie, W.D.; Cao, W.; Wu, C.Y.; Wang, M.Y. Gemini cationic surfactants with flexible perfluorinated-ether chains. J. Fluorine Chem. 2020, 239, 109632. [Google Scholar] [CrossRef]
- Caillier, L.; Givenchy, E.T.D.; Levy, R.; Vandenberghe, Y.; Geribaldi, S.; Guittard, F. Polymerizable Semi-Fluorinated Gemini Surfactants Designed for Antimicrobial Materials. J. Colloid Interface Sci. 2009, 332, 201–207. [Google Scholar] [CrossRef]
- Dai, L.H.; Guo, Y.; Su, Z.B.; Huang, M.W.; Chen, Q.Y.; Zhao, Z.G.; Wu, C.Y.; Su, Q.; Shen, Q. The surface properties of amine oxides with a fluoroether chain. J. Fluorine Chem. 2021, 246, 109793. [Google Scholar] [CrossRef]
- Chen, C.L.; Liao, Y.F.; Lu, F.; Zheng, Y.S.; Peng, Y.Y.; Ding, C.W.; Tong, Q.X. Facile Synthesis, Surface Activity, Wettability and Ultrahigh Foaming Properties of Novel Nonionic Gemini Fluorocarbon Surfactants. J. Mol. Liq. 2020, 302, 112469. [Google Scholar] [CrossRef]
- Kraffta, M.P.; Riess, J.G. Per- and Polyfluorinated Substances (PFASs): Environmental Challenges. Curr. Opin. Colloid Interface Sci. 2015, 20, 192–212. [Google Scholar] [CrossRef]
- Wang, Z.Y.; Cousins, I.T.; Scheringer, M.; Hungerbühler, K. Fluorinated Alternatives to Long-Chain Perfluoroalkyl Carboxylic Acids (PFCAs), Perfluoroalkane Sulfonic Acids (PFSAs) and Their Potential Precursors. Environ. Int. 2013, 60, 242–248. [Google Scholar] [CrossRef]
- Zaggia, A.; Ameduri, B. Recent Advances on Synthesis of Potentially Non-Bioaccumulable Fluorinated Surfactants. Curr. Opin. Colloid Interface Sci. 2012, 17, 188–195. [Google Scholar] [CrossRef]
- Shen, Y.C.; Jin, R.; Lai, S.Q.; Shi, L.G.; Du, W.N.; Zhou, R. Synthesis, Surface Properties and Cytotoxicity Evaluation of Nonionic Urethane Fluorinated Surfactants with Double Short Fluoroalkyl chains. J. Mol. Liq. 2019, 296, 111851. [Google Scholar] [CrossRef]
- Sha, M.; Xing, P.; Jiang, B. Strategies for Synthesizing Non-Bioaccumulable Alternatives to PFOA and PFOS. Chin. Chem. Lett. 2015, 26, 491–498. [Google Scholar] [CrossRef]
- Wu, J.Y.; Gao, H.M.; Shi, D.D.; Yang, Y.F.; Zhang, Y.D.; Zhu, W.X. Cationic Gemini Surfactants Containing Both Amide and Ester Groups: Synthesis, Surface Properties and Antibacterial Activity. J. Mol. Liq. 2020, 299, 112248. [Google Scholar] [CrossRef]
- Wiącek, A.E.; Chibowski, E.; Wilk, K. Investigation of dialkyldimethylammonium bromides as stabilizers and/or emulsifiers for O/W emulsion. Colloids Surf. A Physicochem. Eng. Asp. 2001, 193, 51–60. [Google Scholar] [CrossRef]
- Wiącek, A.E.; Chibowski, E.; Wilk, K. Studies of oil-in-water emulsion stability in the presence of new dicephalic saccharide-derived surfactants. Colloid Surface B. 2002, 25, 243–256. [Google Scholar] [CrossRef]
- Guerrero-Hernández, L.; Meléndez-Ortiz, H.I.; Cortez-Mazatan, G.Y.; Vaillant-Sánchez, S.; Peralta-Rodríguez, R.D. Gemini and Bicephalous Surfactants: A Review on Their Synthesis, Micelle Formation, and Uses. Int. J. Mol. Sci. 2022, 23, 1798. [Google Scholar] [CrossRef] [PubMed]
- Zhao, W.W.; Wang, Y.L. Coacervation with surfactants: From single-chain surfactants to gemini surfactants. Adv. Colloid Interfac. 2017, 239, 199–212. [Google Scholar] [CrossRef] [PubMed]
- Jiang, Y.J.; Geng, T.; Li, Q.X.; Li, G.J.; Ju, H.B. Equilibrium and Dynamic Durface Tension Properties of Salt-Free Catanionic Surfactants with Different Hydrocarbon Chain Lengths. J. Mol. Liq. 2015, 204, 126–131. [Google Scholar] [CrossRef]
- Nuer, M.; Duan, J.; Wei, Z.F.; Wu, W.H.; Ma, J.X.; Zhang, A.D. Fluorocarbon-Hydrocarbon Hybrid Cationic Surfactants: Synthesis, Surface-Activity Properties and Anti-Corrosion Performance. J. Mol. Liq. 2020, 306, 112897. [Google Scholar] [CrossRef]
- Chen, J.; Qiao, M.; Gao, N.X.; Ran, Q.P.; Wu, S.S.; Qi, S. Sulfonic Gemini Surfactants: Synthesis, Properties and Applications as Novel Air Entraining Agents for Concrete. Colloids Surf. A Physicochem. Eng. Asp. 2017, 522, 593–600. [Google Scholar] [CrossRef]
- Liang, Y.Q.; Li, H.; Li, M.; Mao, X.M.; Li, Y.; Wang, Z.H.; Xue, L.Y.; Chen, X.H.; Hao, X.J. Synthesis and Physicochemical Properties of Ester-Bonded Gemini Pyrrolidinium Surfactants and a Comparison with Single Tailed Amphiphiles. J. Mol. Liq. 2019, 280, 319–326. [Google Scholar] [CrossRef]
- Zhang, T.; Cao, X.F.; Wang, X.C.; Song, C.C. Synthesis, Surface Activity and Thermodynamic Properties of Cationic Gemini Surfactants with Diester and Rigid Spacers. J. Mol. Liq. 2017, 230, 505–510. [Google Scholar] [CrossRef]
- Liu, J.J.; Xu, Y.; Sun, H.X. Diffusion-Controlled Adsorption Kinetics of Surfactant at Air/solution Interface. Chin. J. Chem. Eng. 2013, 21, 953–958. [Google Scholar] [CrossRef]
- Hansen, R.S. The Theory of Diffusion-Controlled Absorption Kinetics with Accompanying Evaporation. J. Phys. Chem. 1960, 64, 637–641. [Google Scholar] [CrossRef]
- Rillaerts, E.; Joos, P. Rate of Demicellization From the Dynamic Surface Tensions of Micellar Solutions. J. Phys. Chem. 1982, 86, 3471–3478. [Google Scholar] [CrossRef]
- Chai, J.L.; Cui, X.C.; Zhang, X.Y.; Song, M.M.; Wang, J.; Lu, J.J. Adsorption Equilibrium and Dynamic Surface Tension of Alkyl Polyglucosides and Their Mixed Surfactant Systems with CTAB and SDS in the Surface of Aqueous Solutions. J. Mol. Liq. 2018, 264, 442–450. [Google Scholar] [CrossRef]
- Chang, H.H.; Wang, Y.; Cui, Y.; Li, G.J. Equilibrium and Dynamic Surface Tension Properties of Gemini Quaternary Ammonium Salt Surfactants with Hydroxyl. Colloids Surf. A Physicochem. Eng. Asp. 2016, 500, 230–238. [Google Scholar] [CrossRef]
- Phan, C.M.; Le, T.N.; Yusa, S. A New and Consistent Model for Dynamic Adsorption of CTAB at Air/Water Interface. Colloids Surf. A Physicochem. Eng. Asp. 2012, 406, 24–30. [Google Scholar] [CrossRef]
- Babu, K.; Pal, N.; Bera, A.; Saxena, V.K.; Mandal, A. Studies on Interfacial Tension and Contact Angle of Synthesized Surfactant and Polymeric from Castor Oil for Enhanced Oil Recovery. Appl. Surf. Sci. 2015, 353, 1126–1136. [Google Scholar] [CrossRef]
- Singh, V.; Huang, C.J.; Sheng, Y.J.; Tsao, H.K. Smart Zwitterionic Sulfobetaine Silane Surfaces with Switchable Wettability for Aqueous/Nonaqueous Drops. J. Mater. Chem. A 2018, 6, 2279–2288. [Google Scholar] [CrossRef]
- Chen, C.P.; Lu, F.; Tong, Q.X. Three Tetrasiloxane-Tailed Cationic Gemini Surfactants: The Effect of Different Spacer Rigidity on Surface Properties and Aggregation Behaviors. J. Mol. Liq. 2018, 266, 504–513. [Google Scholar] [CrossRef]
- Appah, S.; Zhou, H.T.; Wang, P.; Ou, M.X.; Jia, W.D. Charged Monosized Droplet Behaviour and Wetting Ability on Hydrophobic Leaf Surfaces Depending on Surfactant-Pesticide Concentrate Formulation. J. Electrost. 2019, 100, 103356. [Google Scholar] [CrossRef]
- Lin, H.; Zhou, H.P.; Xu, L.Y.; Zhu, H.P.; Huang, H.H. Effect of Surfactant Concentration on the Spreading Properties of Pesticide Droplets on Eucalyptus Leaves. Biosyst. Eng. 2016, 143, 42–49. [Google Scholar] [CrossRef]
- Damak, M.; Hyder, M.N.; Varanasi, K.K. Enhancing Droplet Deposition Through In-Situ Precipitation. Nat. Commun. 2016, 7, 12560. [Google Scholar] [CrossRef]
- Hu, X.Z.; Pambou, E.; Gong, H.N.; Liao, M.R.; Hollowell, P.; Liu, H.Y.; Wang, W.M.; Bawn, C.; Cooper, J.; Campana, M.; et al. How does Substrate Hydrophobicity Affect the Morphological Features of Reconstituted Wax Films and Their Interactions with Nonionic Surfactant and Pesticide? J. Colloid Interface Sci. 2020, 575, 245–253. [Google Scholar] [CrossRef] [PubMed]
- Jahan, R.; Bodratti, A.M.; Tsianou, M.; Alexandridis, P. Biosurfactants, natural alternatives to synthetic surfactants: Physicochemical properties and applications. Adv. Colloid Interface Sci. 2020, 275, 102061. [Google Scholar] [CrossRef] [PubMed]
- Muhammad, M.T.; Khan, M.N. Eco-friendly, biodegradable natural surfactant (Acacia Concinna): An alternative to the synthetic surfactants. J. Clean. Prod. 2018, 188, 678–685. [Google Scholar] [CrossRef]
- Hoffman, H.; Sijs, R.; Goede, T.D.; Bonn, D. Controlling droplet deposition with surfactants. Phys. Rev. Fluid. 2021, 6, 033601. [Google Scholar] [CrossRef]
- Wang, R.G.; Song, L.Y.; Guo, Y.Q.; Kou, J.J.; Song, H.J.; Liu, Y.X.; Zhang, J.J.; Wang, Q.M. Synthesis and structure–activity relationships of nonionic surfactants with short fluorocarbon chains. J. Mol. Liq. 2021, 321, 114486. [Google Scholar] [CrossRef]













| Entry | 2 | 3 | 2/3 | T (°C) a | 4 | 4/5 | T (°C) b | Solvent c | 6 |
|---|---|---|---|---|---|---|---|---|---|
| 1 | 2a | 3a | 1:4 | 70 | 4a | 2:1 | 110 | toluene | 6a, 6b |
| 2 | 2b | 3b | 1:3 | 50 | 4b | 2:1 | 90 | dichloroethane | 6c, 6d |
| Surfactant | n | m | CMC a (mmol/L) | γmin (mN/m) b | Гmax (mol/m2) c | Amin (nm2) d | pC20 |
|---|---|---|---|---|---|---|---|
| 4a | 2 | 11 | 3.310 | 23.31 | 2.65 × 10−3 | 6.27 × 10−4 | 1.49 |
| 6a | 2 | 11 | 0.110 | 24.43 | 2.42 × 10−3 | 6.86 × 10−4 | 2.81 |
| 6b | 2 | 11 | 0.105 | 26.31 | 2.43 × 10−3 | 6.83 × 10−4 | 2.78 |
| 4b | 1 | 4 | 2.450 | 21.38 | 3.68 × 10−3 | 4.51 × 10−4 | 0.96 |
| 6c | 1 | 4 | 0.407 | 28.89 | 1.88 × 10−3 | 8.83 × 10−4 | 2.47 |
| 6d | 1 | 4 | — | 34.79 e | — | — |
| C (mmol/L) | Surfactant | D (m2/s) |
|---|---|---|
| 0.05 | 4a | 7.01 × 10−9 |
| 6a | 1.85 × 10−8 | |
| 6b | 1.64 × 10−8 | |
| 0.1 | 4a | 6.74 × 10−9 |
| 6a | 1.55 × 10−8 | |
| 6b | 1.17 × 10−8 | |
| 0.2 | 4a | 5.89 × 10−9 |
| 6a | 1.07 × 10−8 | |
| 6b | 9.21 × 10−9 |
| C (mmol/L) | Surfactant | D (m2/s) |
|---|---|---|
| 0.2 | 4b | 1.90 × 10−9 |
| 6c | 6.28 × 10−9 | |
| 0.4 | 4b | 9.32 × 10−10 |
| 6c | 5.54 × 10−9 |
| Surfactant | 0.01 wt% | 0.03 wt% | 0.05 wt% |
|---|---|---|---|
| 4a | 33.99 ± 0.30 | 29.61 ± 0.43 | 28.30 ± 0.30 |
| 6a | 28.50 ± 0.15 | 26.70 ± 0.04 | 25.66 ± 0.40 |
Publisher’s Note: MDPI stays neutral with regard to jurisdictional claims in published maps and institutional affiliations. |
© 2022 by the authors. Licensee MDPI, Basel, Switzerland. This article is an open access article distributed under the terms and conditions of the Creative Commons Attribution (CC BY) license (https://creativecommons.org/licenses/by/4.0/).
Share and Cite
Wang, R.; Xu, X.; Shi, X.; Kou, J.; Song, H.; Liu, Y.; Zhang, J.; Wang, Q. Promoting Efficacy and Environmental Safety of Pesticide Synergists via Non-Ionic Gemini Surfactants with Short Fluorocarbon Chains. Molecules 2022, 27, 6753. https://doi.org/10.3390/molecules27196753
Wang R, Xu X, Shi X, Kou J, Song H, Liu Y, Zhang J, Wang Q. Promoting Efficacy and Environmental Safety of Pesticide Synergists via Non-Ionic Gemini Surfactants with Short Fluorocarbon Chains. Molecules. 2022; 27(19):6753. https://doi.org/10.3390/molecules27196753
Chicago/Turabian StyleWang, Ruiguo, Xinxin Xu, Xiaodi Shi, Junjie Kou, Hongjian Song, Yuxiu Liu, Jingjing Zhang, and Qingmin Wang. 2022. "Promoting Efficacy and Environmental Safety of Pesticide Synergists via Non-Ionic Gemini Surfactants with Short Fluorocarbon Chains" Molecules 27, no. 19: 6753. https://doi.org/10.3390/molecules27196753
APA StyleWang, R., Xu, X., Shi, X., Kou, J., Song, H., Liu, Y., Zhang, J., & Wang, Q. (2022). Promoting Efficacy and Environmental Safety of Pesticide Synergists via Non-Ionic Gemini Surfactants with Short Fluorocarbon Chains. Molecules, 27(19), 6753. https://doi.org/10.3390/molecules27196753

