Sensitive, Selective and Reliable Detection of Fe3+ in Lake Water via Carbon Dots-Based Fluorescence Assay
Abstract
1. Introduction
2. Results and Discussion
2.1. Characterizations of C-Dots
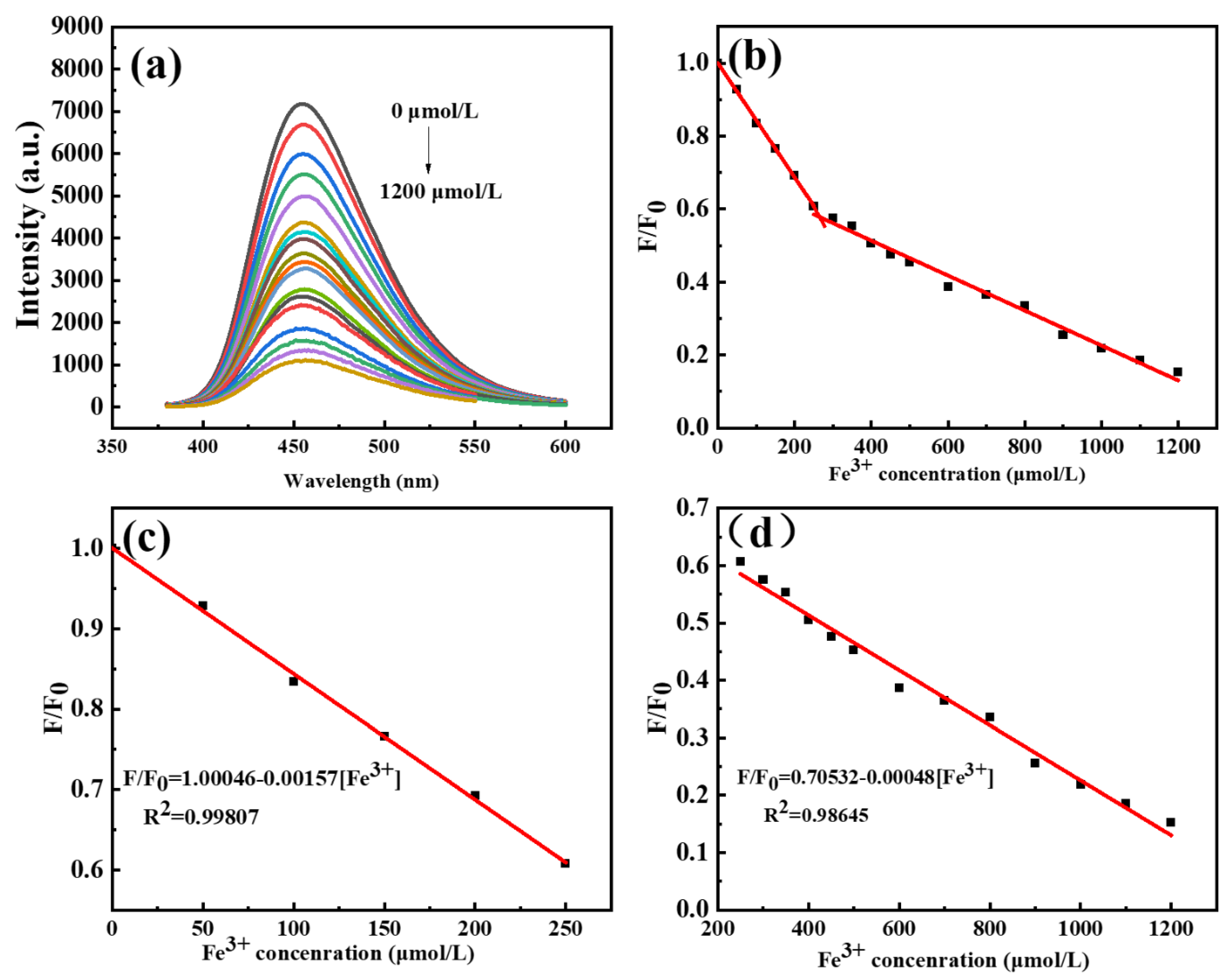
2.2. Sensing Assay Development
2.3. Selectivity and Reliability of the Assay
2.4. Possible PL Quenching Mechanisms
3. Materials and Methods
3.1. Reagents and Materials
3.2. Synthesis of C-Dots
3.3. Characterizations of C-Dots
3.4. Sensing Assay Development
4. Conclusions
Supplementary Materials
Author Contributions
Funding
Institutional Review Board Statement
Informed Consent Statement
Data Availability Statement
Acknowledgments
Conflicts of Interest
Sample Availability
References
- Du, F.Y.; Cheng, Z.F.; Tan, W.; Sun, L.S.; Ruan, G.H. Development of sulfur doped carbon quantum dots for highly selective and sensitive fluorescent detection of Fe2+ and Fe3+ ions in oral ferrous gluconate samples. Spectroc. Acta Part A Molec. Biomolec. Spectr. 2020, 226, 117602. [Google Scholar] [CrossRef]
- Wang, T.T.; Liu, J.Y.; An, J.D.; Shi, Y.F.; Zhang, Y.Y.; Huo, J.Z.; Huang, Z.G.; Liu, Y.Y.; Ding, B. Hydrothermal synthesis of two-dimensional cadmium(II) micro-porous coordination material based on Bi-functional building block and its application in highly sensitive detection of Fe3+ and Cr2O72−. Spectroc. Acta Part A Molec. Biomolec. Spectr. 2021, 254, 119655. [Google Scholar] [CrossRef]
- Zhang, J.F.; Xiang, Q.; Qiu, Q.X.; Zhu, Y.; Zhang, C. Naphthalene/anthracene chromophore-based W/S/Cu cluster-organic frameworks with adjustable Fe3+ sensing properties. J. Solid State Chem. 2021, 298, 122123. [Google Scholar] [CrossRef]
- Kienzl, E.; Puchinger, L.; Jellinger, K.; Linert, W.; Stachelberger, H.; Jameson, R.F. The role of transition metals in the pathogenesis of Parkinson’s disease. J. Neurol. Sci. 1995, 134, 69–78. [Google Scholar] [CrossRef]
- Viles, J.H. Metal ions and amyloid fiber formation in neurodegenerative diseases. Copper, zinc and iron in Alzheimer’s, Parkinson’s and prion diseases. Coord. Chem. Rev. 2012, 256, 2271–2284. [Google Scholar] [CrossRef]
- Saboor, M.; Zehra, A.; Hamali, H.A.; Mobarki, A.A. Revisiting iron metabolism, iron homeostasis and iron deficiency anemia. Clin. Lab. 2021, 67, 660–666. [Google Scholar] [CrossRef]
- Liu, B.; Zhuang, J.Y.; Wei, G. Recent advances in the design of colorimetric sensors for environmental monitoring. Environ. Sci. Nano. 2020, 7, 2195–2213. [Google Scholar] [CrossRef]
- Ghaedi, M.; Shokrollahi, A.; Niknam, K.; Niknam, E.; Soylak, M. Development of efficient method for preconcentration and determination of copper, nickel, zinc and iron ions in environmental samples by combination of cloud point extraction and flame atomic absorption spectrometry. Cent. Eur. J. Chem. 2009, 7, 148–154. [Google Scholar] [CrossRef]
- Laborda, F.; Bolea, E.; Jimenez-Lamana, J. Single particle inductively coupled plasma mass spectrometry: A powerful tool for nanoanalysis. Anal. Chem. 2014, 86, 2270–2278. [Google Scholar] [CrossRef]
- Batool, M.; Junaid, H.M.; Tabassum, S.; Kanwal, F.; Abid, K.; Fatima, Z.; Shah, A.T. Metal ion detection by carbon dots-a review. Crit. Rev. Anal. Chem. 2022, 52, 756–767. [Google Scholar] [CrossRef]
- Olorunyomi, J.F.; White, J.F.; Gengenbach, T.R.; Caruso, R.A.; Doherty, C.M. Fabrication of a reusable carbon dot/gold nanoparticle/metal-organic framework film for fluorescence detection of lead ions in water. ACS Appl. Mater. Interfaces 2022, 14, 35755–35768. [Google Scholar] [CrossRef] [PubMed]
- Li, L.J.; Wang, J.H.; Xu, S.H.; Li, C.X.; Dong, B. Recent progress in fluorescent probes for metal ion detection. Front. Chem. 2022, 10, 875241. [Google Scholar] [CrossRef] [PubMed]
- Bilge, S.; Karadurmus, L.; Sinag, A.; Ozkan, S.A. Green synthesis and characterization of carbon-based materials for sensitive detection of heavy metal ions. Trac-Trends Anal. Chem. 2021, 145, 116473. [Google Scholar] [CrossRef]
- Dolai, S.; Bhunia, S.K.; Rajendran, S.; UshaVipinachandran, V.; Ray, S.C.; Kluson, P. Tunable fluorescent carbon dots: Synthesis progress, fluorescence origin, selective and sensitive volatile organic compounds detection. Crit. Rev. Solid State Mat. Sci. 2021, 46, 349–370. [Google Scholar] [CrossRef]
- Peng, Z.L.; Ji, C.Y.; Zhou, Y.Q.; Zhao, T.S.; Leblanc, R.M. Polyethylene glycol (PEG) derived carbon dots: Preparation and applications. Appl. Mater. Today. 2020, 20, 10067. [Google Scholar] [CrossRef]
- Peng, Z.L.; Han, X.; Li, S.H.; Al-Youbi, A.O.; Bashammakh, A.S.; El-Shahawi, M.S.; Leblanc, R.M. Carbon dots: Biomacromolecule interaction, bioimaging and nanomedicine. Coord. Chem. Rev. 2017, 343, 256–277. [Google Scholar] [CrossRef]
- Peng, Z.L.; Miyanji, E.H.; Zhou, Y.Q.; Pardo, J.; Hettiarachchi, S.D.; Li, S.H.; Blackwelder, P.L.; Skromne, I.; Leblanc, R.M. Carbon dots: Promising biomaterials for bone-specific imaging and drug delivery. Nanoscale 2017, 9, 17533–17543. [Google Scholar] [CrossRef]
- Hoang, V.C.; Dave, K.; Gomes, V.G. Carbon quantum dot-based composites for energy storage and electrocatalysis: Mechanism, applications and future prospects. Nano Energy. 2019, 66, 104093. [Google Scholar] [CrossRef]
- Zhou, Y.Q.; Mintz, K.J.; Cheng, L.; Chen, J.Y.; Ferreira, B.; Hettiarachchi, S.D.; Liyanage, P.Y.; Seven, E.S.; Miloserdov, N.; Pandey, R.R.; et al. Direct conjugation of distinct carbon dots as Lego-like building blocks for the assembly of versatile drug nanocarriers. J. Colloid Interface Sci. 2020, 576, 412–425. [Google Scholar] [CrossRef]
- Wang, B.Y.; Cai, H.J.; Waterhouse, G.I.N.; Qu, X.L.; Yang, B.; Lu, S.Y. Carbon dots in bioimaging, biosensing and therapeutics: A comprehensive review. Small Sci. 2022, 2, 2200012. [Google Scholar] [CrossRef]
- Wu, J.J.; Chen, G.L.; Jia, Y.N.; Ji, C.Y.; Wang, Y.T.; Zhou, Y.Q.; Leblanc, R.M.; Peng, Z.L. Carbon dot composites for bioapplications: A review. J. Mater. Chem. B. 2022, 10, 843–869. [Google Scholar] [CrossRef]
- Ji, C.Y.; Han, Q.R.; Zhou, Y.Q.; Wu, J.J.; Shi, W.Q.; Gao, L.P.; Leblanc, R.M.; Peng, Z.L. Phenylenediamine-derived near infrared carbon dots: The kilogram-scale preparation, formation process, photoluminescence tuning mechanism and application as red phosphors. Carbon 2022, 192, 198–208. [Google Scholar] [CrossRef]
- Ji, C.Y.; Zhou, Y.Q.; Leblanc, R.M.; Peng, Z.L. Recent developments of carbon dots in biosensing: A review. ACS Sens. 2020, 5, 2724–2741. [Google Scholar] [CrossRef]
- Lin, H.T.; Huang, J.; Ding, L.Y. A Recyclable Optical Fiber Sensor Based on Fluorescent Carbon Dots for the Determination of Ferric Ion Concentrations. J. Light. Technol. 2019, 37, 4815–4822. [Google Scholar] [CrossRef]
- Chandra, S.; Laha, D.; Pramanik, A.; Chowdhuri, A.R.; Karmakar, P.; Sahu, S.K. Synthesis of highly fluorescent nitrogen and phosphorus doped carbon dots for the detection of Fe3+ ions in cancer cells. Luminescence 2016, 31, 81–87. [Google Scholar] [CrossRef]
- Liu, Y.; Liu, Y.; Park, S.J.; Zhang, Y.; Kim, T.; Chae, S.; Park, M.; Kim, H.Y. One-step synthesis of robust nitrogen-doped carbon dots: Acid-evoked fluorescence enhancement and their application in Fe3+ detection. J. Mater. Chem. A 2015, 3, 17747–17754. [Google Scholar] [CrossRef]
- Zulfajri, M.; Gedda, G.; Chang, C.J.; Chang, Y.P.; Huang, G.G. Cranberry beans derived carbon dots as a potential fluorescence sensor for selective detection of Fe3+ ions in aqueous solution. ACS Omega 2019, 4, 15382–15392. [Google Scholar] [CrossRef]
- Yu, J.; Xu, C.X.; Tian, Z.S.; Lin, Y.; Shi, Z.L. Facilely synthesized N-doped carbon quantum dots with high fluorescent yield for sensing Fe3+. New J. Chem. 2016, 40, 2083–2088. [Google Scholar] [CrossRef]
- Ding, H.; Wei, J.S.; Xiong, H.M. Nitrogen and sulfur co-doped carbon dots with strong blue luminescence. Nanoscale 2014, 6, 13817–13823. [Google Scholar] [CrossRef]
- Lu, F.; Zhou, Y.H.; Wu, L.H.; Qian, J.; Cao, S.; Deng, Y.F.; Chen, Y. Highly fluorescent nitrogen-doped graphene quantum dots’ synthesis and their applications as Fe(III) ions sensor. Int. J. Opt. 2019, 2019, 8724320. [Google Scholar] [CrossRef]
- Wang, R.X.; Wang, X.F.; Sun, Y.M. One-step synthesis of self-doped carbon dots with highly photoluminescence as multifunctional biosensors for detection of iron ions and pH. Sens. Actuator B Chem. 2017, 241, 73–79. [Google Scholar] [CrossRef]
- Chang, K.X.; Zhu, Q.J.; Qi, L.Y.; Guo, M.W.; Gao, W.M.; Gao, Q.W. Synthesis and properties of nitrogen-doped carbon quantum dots using lactic acid as carbon source. Materials 2022, 15, 466. [Google Scholar] [CrossRef] [PubMed]
- Lu, W.J.; Gong, X.J.; Nan, M.; Liu, Y.; Shuang, S.M.; Dong, C. Comparative study for N and S doped carbon dots: Synthesis, characterization and applications for Fe3+ probe and cellular imaging. Anal. Chim. Acta. 2015, 898, 116–127. [Google Scholar] [CrossRef]
- Nair, S.S.P.; Kottam, N.; Kumar, S.G.P. Green synthesized luminescent carbon nanodots for the sensing application of Fe3+ Ions. J. Fluoresc. 2020, 30, 357–363. [Google Scholar]
- Hu, Y.Y.; Ji, W.X.; Sun, J.X.; Liu, X.Y.; Zhou, R.; Yan, J.Y.; Zhang, N.N. Simple and eco-friendly synthesis of crude orange-peel-derived carbon nanoparticles for detection of Fe3+ and ascorbic acid. Luminescence 2021, 36, 1385–1394. [Google Scholar] [CrossRef]
- Lei, S.Y.; Chang, N.; Zhang, J.M.; Wang, H.T. Dopamine functionalized S, N co-doped carbon dots as a fluorescent sensor for the selective detection of Fe3+ and Fe2+ in water. Anal. Sci. 2021, 37, 851–857. [Google Scholar] [CrossRef]
- Fan, Q.; Bao, G.M.; Li, S.H.; Liu, S.Y.; Cai, X.R.; Xia, Y.F.; Li, W.; Wang, X.Y.; Deng, K.; Yuan, H.Q. A dual-channel “on-off-on” fluorescent probe for the detection and discrimination of Fe3+ and Hg2+ in piggery feed and swine wastewater. Anal. Methods 2022, 14, 2318–2328. [Google Scholar] [CrossRef]
- Zhou, Y.Q.; ElMetwally, A.E.; Chen, J.Y.; Shi, W.Q.; Cilingir, E.K.; Walters, B.; Mintz, K.J.; Martin, C.; Ferreira, B.; Zhang, W.; et al. Gel-like carbon dots: A high-performance future photocatalyst. J. Colloid Interface Sci. 2021, 599, 519–532. [Google Scholar] [CrossRef]
- Soni, N.; Singh, S.; Sharma, S.; Batra, G.; Kaushik, K.; Rao, C.; Verma, N.; Mondal, B.; Yadav, A.; Nandi, C.K. Absorption and emission of light in red emissive carbon nanodots. Chem. Sci. 2021, 12, 3615–3626. [Google Scholar] [CrossRef]
- Dang, T.H.T.; Mai, V.T.; Le, Q.T.; Duong, N.H.; Mai, X.D. Post-decorated surface fluorophores enhance the photoluminescence of carbon quantum dots. Chem. Phys. 2019, 527, 110503. [Google Scholar] [CrossRef]
- Li, H.; Zhang, Q.; Luo, X.; Yao, Z.; Qu, Y.; Wang, E.; Jiang, B.; Qiu, Z.; Li, C.; Xu, Z. Intrinsic dual emissive carbon dots for ratiometric sensing of acetylcholinesterase fluctuation induced by organophosphorus pesticide intoxication. Sens. Actuator B Chem. 2022, 373, 132590. [Google Scholar] [CrossRef]
- Zhu, S.; Meng, Q.; Wang, L.; Zhang, J.; Song, Y.; Jin, H.; Zhang, K.; Sun, H.; Wang, H.; Yang, B. Highly photoluminescent carbon dots for multicolor patterning, sensors, and bioimaging. Angew. Chem. Int. Edit. 2013, 125, 4045–4049. [Google Scholar] [CrossRef]
- Zhao, H.G.; Liu, G.J.; You, S.J.; Camargo, F.V.A.; Zavelani-Rossi, M.; Wang, X.H.; Sun, C.C.; Liu, B.; Zhang, Y.M.; Han, G.T.; et al. Gram-scale synthesis of carbon quantum dots with a large Stokes shift for the fabrication of eco-friendly and high-efficiency luminescent solar concentrators. Energy Environ. Sci. 2021, 14, 12. [Google Scholar] [CrossRef]
- Jiang, Y.X.; Ji, C.Y.; Wu, J.J.; Han, Q.R.; Cui, C.; Shi, W.Q.; Peng, Z.L. Formation, photoluminescence and in vitro bioimaging of polyethylene glycol-derived carbon dots: The molecular weight effects. Polymer 2022, 243, 124625. [Google Scholar] [CrossRef]
- Peng, J.; Gao, W.; Gupta, B.K.; Liu, Z.; Romero-Aburto, R.; Ge, L.H.; Song, L.; Alemany, L.B.; Zhan, X.B.; Gao, G.H.; et al. Graphene quantum dots derived from carbon fibers. Nano Lett. 2012, 12, 844–849. [Google Scholar] [CrossRef]
- Dong, X.W.; Su, Y.J.; Geng, H.J.; Li, Z.L.; Yang, C.; Li, X.L.; Zhang, Y.F. Fast one-step synthesis of N-doped carbon dots by pyrolyzing ethanolamine. J. Mater. Chem. C 2014, 2, 7477–7481. [Google Scholar] [CrossRef]
- Ji, C.Y.; Zhou, Y.Q.; Shi, W.Q.; Wu, J.J.; Han, Q.R.; Zhao, T.S.; Leblanc, R.M.; Peng, Z.L. Facile and sensitive detection of nitrogen-containing organic bases with near infrared C-dots derived assays. Nanomaterials 2021, 11, 2607. [Google Scholar] [CrossRef] [PubMed]
- Mintz, K.; Waidely, E.; Zhou, Y.Q.; Peng, Z.L.; Al-Youbi, A.O.; Bashammakh, A.S.; El-Shahawi, M.S.; Leblanc, R.M. Carbon dots and gold nanoparticles based immunoassay for detection of alpha-L-fucosidase. Anal. Chim. Acta 2018, 1041, 114–121. [Google Scholar] [CrossRef]
- Forootan, A.; Sjoback, R.; Bjorkman, J.; Sjogreen, B.; Linz, L.; Kubista, M. Methods to determine limit of detection and limit of quantification in quantitative real-time PCR (qPCR). Biomol. Detect. Quantif 2017, 12, 1–6. [Google Scholar] [CrossRef]
- Rattanopas, S.; Piyanuch, P.; Wisansin, K.; Charoenpanich, A.; Sirirak, J.; Phutdhawong, W.; Wanichacheva, N. Indole-based fluorescent sensors for selective sensing of Fe2+ and Fe3+ in aqueous buffer systems and their applications in living cells. J. Photochem. Photobiol. A Chem. 2019, 377, 138–148. [Google Scholar] [CrossRef]
- Sekar, A.; Yadav, R.; Basavaraj, N. Fluorescence quenching mechanism and the application of green carbon nanodots in the detection of heavy metal ions: A review. New J. Chem. 2021, 45, 2326–2360. [Google Scholar] [CrossRef]
- Rajendran, S.; Ramanaiah, D.V.; Kundu, S.; Bhunia, S.K. Yellow fluorescent carbon dots for selective recognition of As3+ and Fe3+ ions. ACS Appl. Nano Mater. 2021, 4, 10931–10942. [Google Scholar] [CrossRef]
- Rajendran, S.; Ben Zichri, S.; Vipinachandran, V.U.; Jelinek, R.; Bhunia, S.K. Triphenylphosphonium-derived bright green fluorescent carbon dots for mitochondrial targeting and rapid selective detection of tetracycline. ChemNanoMat 2021, 7, 545–552. [Google Scholar] [CrossRef]
- Preethi, M.; Viswanathan, C.; Ponpandian, N. Fluorescence quenching mechanism of P-doped carbon quantum dots as fluorescent sensor for Cu2+ ions. Colloids Surf. A Physicochem. Eng. Asp. 2022, 653, 129942. [Google Scholar] [CrossRef]





| Sample | Fe3+ Added (μmol/L) | Fe3+ Found (μmol/L) | Recovery (%) | |
|---|---|---|---|---|
| 1 | DI water | 50 | 49.79 | 99.58 |
| 2 | DI water | 100 | 105.50 | 105.50 |
| 3 | DI water | 150 | 139.27 | 92.85 |
| 4 | DI water | 200 | 196.32 | 98.16 |
| 5 | Tap water | 100 | 100.99 | 99.01 |
| 6 | Tap water | 150 | 161.06 | 92.67 |
| 7 | Tap water | 200 | 208.17 | 95.92 |
| 8 | Lake water | 50 | 47.93 | 95.86 |
| 9 | Lake water | 100 | 100.93 | 99.07 |
| 10 | Lake water | 150 | 159.72 | 93.52 |
| 11 | Lake water | 200 | 198.90 | 99.45 |
Publisher’s Note: MDPI stays neutral with regard to jurisdictional claims in published maps and institutional affiliations. |
© 2022 by the authors. Licensee MDPI, Basel, Switzerland. This article is an open access article distributed under the terms and conditions of the Creative Commons Attribution (CC BY) license (https://creativecommons.org/licenses/by/4.0/).
Share and Cite
Xiang, Z.; Jiang, Y.; Cui, C.; Luo, Y.; Peng, Z. Sensitive, Selective and Reliable Detection of Fe3+ in Lake Water via Carbon Dots-Based Fluorescence Assay. Molecules 2022, 27, 6749. https://doi.org/10.3390/molecules27196749
Xiang Z, Jiang Y, Cui C, Luo Y, Peng Z. Sensitive, Selective and Reliable Detection of Fe3+ in Lake Water via Carbon Dots-Based Fluorescence Assay. Molecules. 2022; 27(19):6749. https://doi.org/10.3390/molecules27196749
Chicago/Turabian StyleXiang, Zhuang, Yuxiang Jiang, Chen Cui, Yuanping Luo, and Zhili Peng. 2022. "Sensitive, Selective and Reliable Detection of Fe3+ in Lake Water via Carbon Dots-Based Fluorescence Assay" Molecules 27, no. 19: 6749. https://doi.org/10.3390/molecules27196749
APA StyleXiang, Z., Jiang, Y., Cui, C., Luo, Y., & Peng, Z. (2022). Sensitive, Selective and Reliable Detection of Fe3+ in Lake Water via Carbon Dots-Based Fluorescence Assay. Molecules, 27(19), 6749. https://doi.org/10.3390/molecules27196749

