Zeolites as Adsorbents and Photocatalysts for Removal of Dyes from the Aqueous Environment
Abstract
1. Introduction
2. Results and Discussion
2.1. Results of Adsorption Observation
2.2. Photodegradation and Mineralization
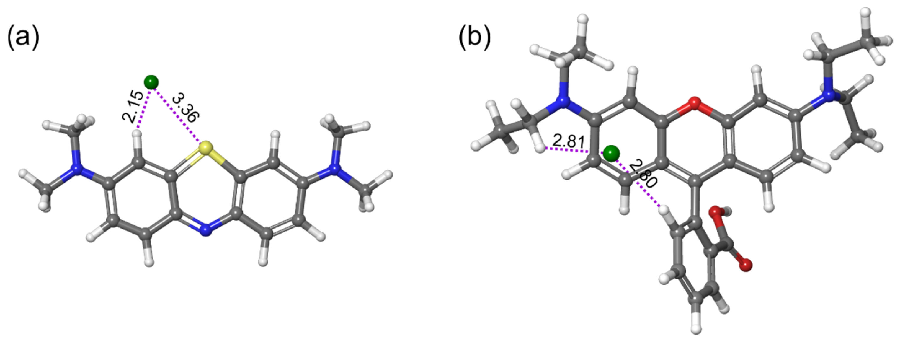
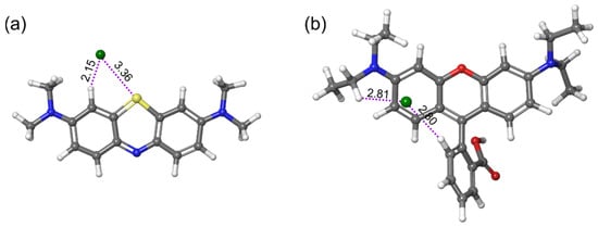
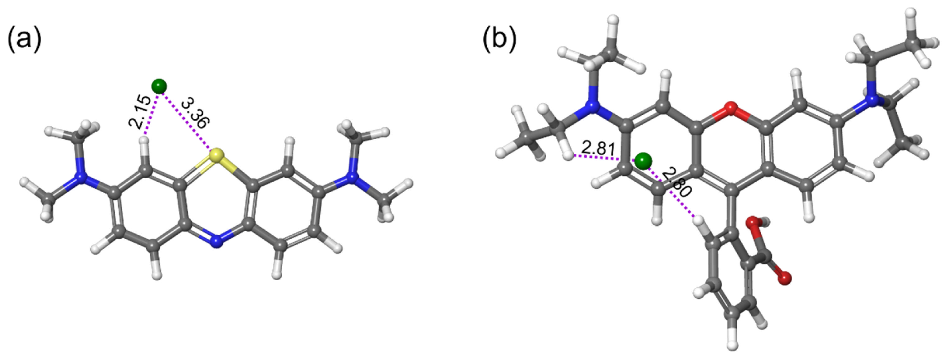
2.3. Computational Analysis
3. Materials and Methods
3.1. Chemicals and Solutions
3.2. Structural Analysis of Zeolites
3.3. Adsorption Experiments
3.4. Photodegradation
3.5. Analytical Procedures
3.6. Computational Methods
4. Conclusions
Supplementary Materials
Author Contributions
Funding
Institutional Review Board Statement
Informed Consent Statement
Data Availability Statement
Conflicts of Interest
References
- Grassi, M.; Kaykioglu, G.; Belgiorno, V.; Lofrano, G. Removal of Emerging Contaminants from Water and Wastewater by Adsorption Process. In Emerging Compounds Removal From Wastewater. Natural and Solar Based Treatments; Lofrano, G., Ed.; Springer Dordrecht: Berlin, Germany, 2012; pp. 15–37. [Google Scholar] [CrossRef]
- Muralikrishna, I.V.; Manickam, V. Environmental Management: Science and Engineering for Industry, 1st ed.; Butterworth-Heinemann, Elsevier: Oxford, UK, 2017; pp. 1–4. [Google Scholar]
- Zhou, Y.; Lu, J.; Zhou, Y.; Liu, Y. Recent advances for dyes removal using novel adsorbents: A review. Environ. Pollut. 2019, 252, 352–365. [Google Scholar] [CrossRef] [PubMed]
- Zhou, Y.; Zhang, L.; Cheng, Z. Removal of organic pollutants from aqueous solution using agricultural wastes: A review. J. Mol. Liq. 2015, 212, 739–762. [Google Scholar] [CrossRef]
- Vandevivere, P.C.; Bianchi, R.; Verstraete, W. Treatment and Reuse of Wastewater from the Textile Wet-Processing Industry: Review of Emerging Technologies. J. Chem. Technol. Biotech. 1998, 72, 239–302. [Google Scholar] [CrossRef]
- Savin, I.; Butnaru, R. Wastewater characteristics in textile finishing mills. Environ. Eng. Manag. J. 2008, 7, 859–864. Available online: http://www.eemj.icpm.tuiasi.ro/pdfs/vol7/no6/42_Irina%20Savin.pdf (accessed on 17 August 2022). [CrossRef]
- Yagub, M.T.; Sen, T.K.; Afroze, S.; Ang, H.M. Dye and its removal from aqueous solution by adsorption: A review. Adv. Colloid Interface Sci. 2014, 209, 172–184. [Google Scholar] [CrossRef]
- Sharma, K.; Dalai, A.K.; Vyas, R.K. Removal of synthetic dyes from multicomponent industrial wastewaters. Rev. Chem. Eng. 2017, 34, 107–134. [Google Scholar] [CrossRef]
- Bafana, A.; Devi, S.S.; Chakrabarti, T. Azo dyes: Past, present and the future. Environ. Rev. 2011, 19, 350–371. [Google Scholar] [CrossRef]
- Adegoke, K.A.; Bello, O.S. Dye sequestration using agricultural wastes as adsorbents. Water Resour. Ind. 2015, 12, 8–24. [Google Scholar] [CrossRef]
- Ferreira, A.M.; Coutinho, J.A.P.; Fernandes, A.M.; Freire, M.G. Complete removal of textile dyes from aqueous media using ionic-liquid-based aqueous two-phase systems. Sep. Purif. Technol. 2014, 128, 58–66. [Google Scholar] [CrossRef]
- Kyzas, G.Z.; Kostoglou, M. Green adsorbents for wastewaters: A critical review. Materials 2014, 7, 333–364. [Google Scholar] [CrossRef]
- Hatch, K.I.; Maibach, H.I. Textile dye dermatitis. J. Am. Acad. Dermatol. 1995, 32, 631–639. [Google Scholar] [CrossRef]
- Ajiboye, T.O.; Oyewo, O.A.; Onwudiwe, D.C. Adsorption and photocatalytic removal of Rhodamine B from wastewater using carbon-based materials. Flat Chem. 2021, 29, 100277. [Google Scholar] [CrossRef]
- Zendehdel, M.; Kalateh, Z.; Alikhani, H. Efficiency evaluation of NaY zeolite and TiO2/NaY zeolite in removal of Methylene blue dye from aqueous solutions. Iran. J. Environ. Health Sci. Eng. 2011, 8, 265–272. Available online: https://ijehse.tums.ac.ir/index.php/jehse/article/view/309/308 (accessed on 17 August 2022).
- Rochkind, M.; Pasternak, S.; Paz, Y. Using dyes for evaluating photocatalytic properties: A critical review. Molecules 2014, 20, 88–110. [Google Scholar] [CrossRef]
- Iryani, A.; Nur, H.; Santoso, M.; Hartanto, Đ. Adsorption Study of Rhodamine B and Methylene Blue Dyes with ZSM-5 Directly Synthesized from Bangka Kaolin without Organic Template. Indones. J. Chem. 2020, 20, 130–140. [Google Scholar] [CrossRef]
- Shirani, M.; Semnani, A.; Haddadi, H.; Habibollahi, S. Optimization of Simultaneous Removal of Methylene Blue, Crystal Violet, and Fuchsine from Aqueous Solutions by Magnetic NaY Zeolite Composite. Water Air Soil Pollut. 2014, 225, 2054. [Google Scholar] [CrossRef]
- Cho, S.J.; Cui, C.; Lee, J.Y.; Park, J.K.; Suh, S.B.; Park, J.; Kim, B.H.; Kim, K.S. N-protonation vs O-protonation in Strained Amides: Ab Initio Study. J. Org. Chem. 1997, 62, 4068–4071. [Google Scholar] [CrossRef]
- Zhang, R.; Hummelgrd, M.; Lv, G.; Olin, H. Real time monitoring of the drug release of rhodamine B on graphene oxide. Carbon 2011, 49, 1126–1132. [Google Scholar] [CrossRef]
- Mohammadi, M.; Hassani, A.J.; Mohamed, A.R.; Najafpour, G.D. Removal of rhodamine b from aqueous solution using palm shell-based activated carbon: Adsorption and kinetic studies. J. Chem. Eng. Data 2010, 55, 5777–5785. [Google Scholar] [CrossRef]
- Cheng, Z.L.; Li, Y.; Liu, Z. Study on adsorption of rhodamine B onto Beta zeolites by tuning SiO2/Al2O3 ratio. Ecotoxicol. Environ. Saf. 2018, 148, 585–592. [Google Scholar] [CrossRef]
- Marechal, A.M.L.; Križanec, B.; Vajnhandl, S.; Valh, V.J. Textile Finishing Industry as an Important Source of Organic Pollutants. In Organic Pollutants Ten Years after the Stockholmconvention-Environmental and Analytical Update; Puzyn, T., Ed.; InTechOpen: London, UK, 2012; pp. 29–54. [Google Scholar] [CrossRef]
- Inyinbor, A.A.; Adekola, F.A.; Olatunji, G.A. Adsorption of Rhodamine B dye from aqueous solution on Irvingia gabonensis biomass: Kinetics and thermodynamics studies. S. Afr. J. Chem. 2015, 68, 115–125. [Google Scholar] [CrossRef]
- Allegre, C.; Moulin, P.; Maisseu, M.; Charbit, F. Treatment and reuse of reactive dyeing effluents. J. Membrane Sci. 2006, 269, 15–34. [Google Scholar] [CrossRef]
- Anjaneyulu, Y.; Chary, N.S.; Raj, D.S.S. Decolourization of Industrial Effluents–Available Methods and Emerging Technologies–A Review. Rev. Environ. Sci. Biotechnol. 2005, 4, 245–273. [Google Scholar] [CrossRef]
- Husain, Q. Potential applications of the oxidoreductive enzymes in the decolorization and detoxification of textile and other synthetic dyes from polluted water: A review. Crit. Rev. Biotechnol. 2006, 26, 201–221. [Google Scholar] [CrossRef] [PubMed]
- Gupta, V.K.; Suhas. Application of low-cost adsorbents for dye removal—A review. J. Environ. Manag. 2009, 90, 2313–2342. [Google Scholar] [CrossRef] [PubMed]
- Singh, N.B.; Nagpal, G.; Agrawal, S.; Rachna. Water purification by using Adsorbents: A Review. Environ. Technol. Innov. 2018, 11, 187–240. [Google Scholar] [CrossRef]
- Ahmad, A.L.; Puasa, S.W.; Zulkali, M.M.D. Micellar-enhanced ultrafiltration for removal of reactive dyes from an aqueous solution. Desalination 2006, 191, 153–161. [Google Scholar] [CrossRef]
- Martinez-Huitle, C.A.; Brillas, E. Decontamination of wastewaters containing synthetic organic dyes by electrochemical methods: A general review. Appl. Catal. B Environ. 2009, 87, 105–145. [Google Scholar] [CrossRef]
- Soltani, N.; Saion, E.; Hussein, M.Z.; Erfani, M.; Abedini, A.; Bahmonrokh, G.; Navasery, M.; Vaziri, P. Visible light-induced degradation of methylene blue in the presence of photocatalytic ZnS and CdS nanoparticles. Int. J. Mol. Sci. 2012, 13, 12242–12258. [Google Scholar] [CrossRef]
- Yang, B.; Zuo, J.; Tang, X.; Liu, F.; Yu, X.; Tang, X.; Jiang, H.; Gan, L. Effective ultrasound electrochemical degradation ofmethylene blue wastewater using a nanocoated electrode. Ultrason. Sonochem. 2014, 21, 1310–1317. [Google Scholar] [CrossRef]
- Neamtu, M.; Yediler, A.; Siminiceanu, I.; Macoveanu, M.; Kellrup, A. Decolorization of Disperse Red 354 azo dye in waterby several oxidation processes–A comparative study. Dye. Pigment. 2004, 60, 61–68. [Google Scholar] [CrossRef]
- Rauf, M.A.; Ashraf, S.S. Fundamental principles and application of heterogeneous photocatalytic degradation of dyes in solution. Chem. Eng. J. 2009, 151, 10–18. [Google Scholar] [CrossRef]
- Ali, I.; Asim, M.; Khan, T.A. Low cost adsorbents for the removal of organic pollutants from wastewater. J. Environ. Mana. 2012, 113, 170–183. [Google Scholar] [CrossRef]
- Bhatnagar, A.; Sillanpää, M.; Witek-Krowiak, A. Agricultural waste peels as versatile biomass for water purification—A review. Chem. Eng. J. 2015, 270, 244–271. [Google Scholar] [CrossRef]
- Gautam, R.K.; Mudhoo, A.; Lofrano, G.; Chattopadhyaya, M.C. Biomass-derived biosorbents for metal ions sequestration: Adsorbent modification and activation methods and adsorbent regeneration. J. Environ. Chem. Eng. 2014, 2, 239–259. [Google Scholar] [CrossRef]
- Sladojevic, S.; Penavin-Skundric, J.; Rakanovic, M.; Sipovac, M.; Lazic, D.; Vasiljevic, L.J.; Ostojic, G. Spectrophotometric observance of adsorption of organic color RV-5 on alumina and NH4Y zeolite from aqueous environment. Proc. VI Int. Congr. Engr. Environ. Mater. Process. Ind. 2019, 6, 750–760. [Google Scholar]
- Ouazani, F.; Benchekor, H.; Chergui, Y.; Iddou, A.; Aziz, A. Linearized form effect on estimation adsorption parameters of three industrial dyes by lignocellulosic sorbent. J. Environ. Health Sci. Eng. 2020, 18, 1045–1055. [Google Scholar] [CrossRef]
- Crini, G. Non-conventional low-cost adsorbents for dye removal: A review. Bioresour. Technol. 2006, 97, 1061–1085. [Google Scholar] [CrossRef]
- Wols, B.A.; Hofman-Caris, C.H.M. Review of photochemical reaction constants of organic micropollutants required for UV advanced oxidation processes in water. Water Res. 2012, 46, 2815–2827. [Google Scholar] [CrossRef]
- Ribeiro, A.R.; Nunes, O.C.; Pereira, M.F.; Silva, A.M. An overview on the advanced oxidation processes applied for the treatment of water pollutants defined in the recently launched Directive 2013/39/EU. Environ. Int. 2015, 75, 33–51. [Google Scholar] [CrossRef]
- Babuponnusami, A.; Muthukumar, K. A review on Fenton and improvements to the Fenton process for wastewater treatment. J. Environ. Chem. Eng. 2014, 2, 557–572. [Google Scholar] [CrossRef]
- Lau, T.K.; Chu, W.; Nigel, A.; Grahan, J.D. The Aqueous Degradation of Butylated Hydroxyanisole by UV/S2O82−: Study of Reaction Mechanisms via Dimerization and Mineralization. Environ. Sci. Technol. 2007, 41, 613–619. [Google Scholar] [CrossRef] [PubMed]
- Munter, R. Advanced Oxidation Processes—Current Status and Prospect. Proc. Est. Acad. Sci. Chem. 2001, 50, 59–80. Available online: https://www.kirj.ee/public/va_ke/k50-2-1.pdf (accessed on 17 August 2022). [CrossRef]
- Anotai, J.; Tanvanit, P.; Garcia-Segura, S.; Lu, M.C. Electro-assisted Fenton treatment of ammunition wastewater containing nitramine explosives. Process. Saf. Environ. Prot. 2017, 109, 429–436. [Google Scholar] [CrossRef]
- Benito, A.; Penadés, A.; Lliberia, J.L.; Gonzalez-Olmos, R. Degradation pathways of aniline in aqueous solutions during electro-oxidation with BDD electrodes and UV/H2O2 treatment. Chemosphere 2017, 166, 230–237. [Google Scholar] [CrossRef]
- Zhang, Y.; Wang, Z.; Zhang, Z.; Wu, L.; Fan, Y.; Sun, Z. Synthesis, characterization and adsorption behaviors of Faujasite-type zeolites towards methylene blue. Mater. Sci. Eng. 2019, 592, 012017. [Google Scholar] [CrossRef]
- Jafari-Zare, F.; Habibi-Yangjeh, A. Competitive Adsorption of Methylene Blue and Rhodamine B on Natural Zeolite: Thermodynamic and Kinetic Studies. Chin. J. Chem. 2010, 28, 349–356. [Google Scholar] [CrossRef]
- Hu, G.; Yang, J.; Duan, X.; Farnood, R.; Yang, C.; Yang, J.; Liu, W.; Liu, Q. Recent developments and challenges in zeolite-based composite photocatalysts for environmental applications. Chem. Eng. J. 2021, 417, 129209. [Google Scholar] [CrossRef]
- Kulawonga, S.; Chanlekb, N.; Osakooc, N. Facile synthesis of hierarchical structure of NaY zeolite using silica from cogon grass for acid blue 185 removal from water. J. Environ. Chem. Eng. 2020, 8, 104114. [Google Scholar] [CrossRef]
- Ramezani, H.; Azizi, S.N.; Cravotto, G. Improved removal of methylene blue on modified hierarchical zeolite Y: Achieved by a “destructive-constructive” method. Green Process. Synth. 2019, 8, 730–741. [Google Scholar] [CrossRef]
- Guisnet, M.; Gilson, J.P. Introduction to Zeolite Science and Technology. In Zeolites for Cleaner Technologies; Guisnet, M., Gilson, J.P., Eds.; Imperial College Press: London, UK, 2002; Volume 3, pp. 1–29. [Google Scholar]
- Baerlocher, C.; Meir, W.M.; Olson, O.H. Atlas of Zeolite Framework Types, 5th ed.; Elsevier: Amsterdam, The Netherlands, 2001; pp. 1–308. Available online: http://www.iza-structure.org/books/Atlas_5ed.pdf (accessed on 17 August 2022).
- Sladojevic, S.; Penavin-Skundric, J.; Levi, Z.; Bodroza, D.; Lazic, D.; Skundric, B. Adsorption of Propane Acid on High-Silica ZSM-5 Zeolites of Nanostructure Dimensions. Gaz. Chem. Technol. Environ. Repub. Srp. 2013, 9, 1–9. Available online: https://glasnik.tf.unibl.org/wp-content/uploads/2017/05/G2013B9G2013B9G2019B9on-line.pdf (accessed on 17 August 2022).
- Wong, Y.C.; Szeto, Y.S.; Cheung, W.H.; McKay, G. Adsorption of acid dyes on chitosan—Equilibrium isotherm analyses. Process. Biochem. 2004, 39, 693–702. [Google Scholar] [CrossRef]
- Sladojević, S.; Penavin-Skundrić, J.; Levi, Z.; Rakanović, M.; Peulić, D.; Bodroža, D. Study of adsorption of selected organic species from aqueous solution on NH4BETA zeolite. Glasnik Hem. Tehnol. I Ek. RS 2018, 14, 1–7. Available online: https://glasnik.tf.unibl.org/wp-content/uploads/2018/12/Kona%C4%8Dna-e-verzija-GIHTERS-14-2018.pdf (accessed on 17 August 2022).
- Tehubijuluw, H.; Subagyo, R.; Yulita, M.F.; Nugraha, R.E.; Kusumawati, Y.; Bahruji, H.; Jalil, A.A.; Hartati, H.; Prasetyoko, D. Utilization of red mud waste into mesoporous ZSM-5 for methylene blue adsorption-desorption studies. Environ. Sci. Pollut. Res. 2021, 28, 37354–37370. [Google Scholar] [CrossRef] [PubMed]
- González-Crisostomo, J.C.; López-Juárez, R.; Yocupicio-Gaxiola, R.I.; Villanueva, E.; Zavala-Flores, E.; Petranovskii, V. Chabazite Synthesis and Its Exchange with Ti, Zn, Cu, Ag and Au for Efficient Photocatalytic Degradation of Methylene Blue Dye. Int. J. Mol. Sci. 2022, 23, 1730. [Google Scholar] [CrossRef]
- Tayade, R.J.; Kulkarni, R.G.; Jasra, R.V. Enhanced Photocatalytic Activity of TiO2-Coated NaY and HY Zeolites for the Degradation of Methylene Blue in Water. Ind. Eng. Chem. Res. 2007, 46, 369–376. [Google Scholar] [CrossRef]
- Foura, G.; Chouchou, N.; Soualah, A.; Kouachi, K.; Guidotti, M.; Robert, D. Fe-Doped TiO2 Supported on HY Zeolite for Solar Photocatalytic Treatment of Dye Pollutants. Catalysts 2017, 7, 344. [Google Scholar] [CrossRef]
- Corma, A.; Hermenegildo Garcia, H. Zeolite-based photocatalysts. Chem. Commun. 2004, 13, 1443–1459. [Google Scholar] [CrossRef]
- Murcia-López, S.; Bacariza, M.C.; Villa, K.; Lopes, J.M.; Henriques, C.; Morante, J.R.; Andreu, T. Controlled Photocatalytic Oxidation of Methane to Methanol through Surface Modification of Beta Zeolites. ACS Catal. 2017, 7, 2878–2885. [Google Scholar] [CrossRef]
- Delgado, J.C.; Selsby, R.G. Density Functional Theory Calculations on Rhodamine B and Pinacyanol Chloride. Optimized Ground State, Dipole Moment, Vertical Ionization Potential, Adiabatic Electron Affinity and Lowest Excited Triplet State. Photochem. Photobiol. 2013, 89, 51–60. [Google Scholar] [CrossRef]
- Politzer, P.; Murray, J.S. The fundamental nature and role of the electrostatic potential in atoms and molecules. Theor. Chem. Acc. 2002, 108, 134–142. [Google Scholar] [CrossRef]
- Politzer, P.; Murray, J.S.; Bulat, F.A. Average local ionization energy: A review. J. Mol. Model. 2010, 16, 1731–1742. [Google Scholar] [CrossRef] [PubMed]
- Sjoberg, P.; Politzer, P. Use of the electrostatic potential at the molecular surface to interpret and predict nucleophilic processes. J. Phys. Chem. 1990, 94, 3959–3961. [Google Scholar] [CrossRef]
- Murray, J.S.; Politzer, P. The electrostatic potential: An overview. Wiley Interdiscip. Rev. Comput. Mol. Sci. 2011, 1, 153–163. [Google Scholar] [CrossRef]
- Politzer, P.; Murray, J.M. The average local ionization energy: Concepts and applications. Theor. Comput. Chem. 2007, 19, 119–137. [Google Scholar] [CrossRef]
- Becke, A.D. Density-functional thermochemistry. III. The role of exact exchange. J. Chem. Phys. 1993, 98, 5648–5652. [Google Scholar] [CrossRef]
- Ehrlich, S.; Moellmann, J.; Reckien, W.; Bredow, T.; Grimme, S. System-dependent dispersion coefficients for the DFT-D3 treatment of adsorption processes on ionic surfaces. ChemPhysChem 2011, 12, 3414–3420. [Google Scholar] [CrossRef]
- Ditchfield, R.; Hehre, W.J.; Pople, J.A. Self-consistent molecular-orbital methods. IX. An extended Gaussian-type basis for molecular-orbital studies of organic molecules. J. Chem. Phys. 1971, 54, 724–728. [Google Scholar] [CrossRef]
- Rassolov, V.A.; Ratner, M.A.; Pople, J.A.; Redfern, P.C.; Curtiss, L.A. 6-31G* basis set for third-row atoms. J. Comput. Chem. 2001, 22, 976–984. [Google Scholar] [CrossRef]
- Zhao, Y.; Truhlar, D.G. The M06 suite of density functionals for main group thermochemistry, thermochemical kinetics, noncovalent interactions, excited states, and transition elements: Two new functionals and systematic testing of four M06-class functionals and 12 other function. Theor. Chem. Acc. 2008, 120, 215–241. [Google Scholar] [CrossRef]
- Official ORCA Forum, (n.d.). Available online: https://orcaforum.kofo.mpg.de/ (accessed on 21 July 2022).
- Neese, F. Software update: The ORCA program system, version 4.0. Wiley Interdiscip. Rev. Comput. Mol. Sci. 2018, 8, e1327. [Google Scholar] [CrossRef]
- Neese, F. Software update: The ORCA program system—Version 5.0. Wiley Interdiscip. Rev. Comput. Mol. Sci. 2017, 12, e1606. [Google Scholar] [CrossRef]
- Neese, F.; Wennmohs, F.; Becker, U.; Riplinger, C. The ORCA quantum chemistry program package. J. Chem. Phys. 2020, 152, 224108. [Google Scholar] [CrossRef] [PubMed]
- Armaković, S.; Armaković, S.J. Atomistica.online—Web application for generating input files for ORCA molecular modeling package made with the Anvil platform. Mol. Simul. 2022. Available online: https://atomistica.online/ (accessed on 27 September 2022). [CrossRef]
- Bochevarov, A.D.; Harder, E.; Hughes, T.F.; Greenwood, J.R.; Braden, D.A.; Philipp, D.M.; Rinaldo, D.; Halls, M.D.; Zhang, J.; Friesner, R.A. Jaguar: A high-performance quantum chemistry software program with strengths in life and materials sciences. Int. J. Quantum Chem. 2013, 113, 2110–2142. [Google Scholar] [CrossRef]
- Jacobson, L.D.; Bochevarov, A.D.; Watson, M.A.; Hughes, T.F.; Rinaldo, D.; Ehrlich, S.; Steinbrecher, T.B.; Vaitheeswaran, S.; Philipp, D.M.; Halls, M.D.; et al. An automated transition state search and its application to diverse types of organic reactions. J. Chem. Theory Comput. 2017, 13, 5780–5797. [Google Scholar] [CrossRef]
- Schrödinger Release 2020-3: Jaguar, Schrödinger, LLC: New York, NY, USA, 2020.
- Turney, J.M.; Simmonett, A.C.; Parrish, R.M.; Hohenstein, E.G.; Evangelista, F.A.; Fermann, J.T.; Mintz, B.J.; Burns, L.A.; Wilke, J.J.; Abrams, M.L.; et al. Psi4: An open-source ab initio electronic structure program. Wiley Interdiscip. Rev. Comput. Mol. Sci. 2012, 2, 556–565. [Google Scholar] [CrossRef]
- Hohenstein, E.G.; Sherrill, C.D. Density fitting and Cholesky decomposition approximations in symmetry-adapted perturbation theory: Implementation and application to probe the nature of π-π interactions in linear acenes. J. Chem. Phys. 2010, 132, 184111. [Google Scholar] [CrossRef]
- Hohenstein, E.G.; Parrish, R.M.; Sherrill, C.D.; Turney, J.M.; Schaefer, H.F., III. Large-scale symmetry-adapted perturbation theory computations via density fitting and Laplace transformation techniques: Investigating the fundamental forces of DNA-intercalator interactions. J. Chem. Phys. 2011, 135, 174107. [Google Scholar] [CrossRef]














| Time (min) | RB | pH at 283 K | pH at 293 K | MB | pH at 283 K | pH at 293 K |
|---|---|---|---|---|---|---|
| 0 | NH4BETA | 7.3 | 7.2 | NH4BETA | 7.0 | 6.9 |
| 60 | 7.0 | 6.9 | 6.9 | 6.9 | ||
| 180 | 6.8 | 6.9 | 6.9 | 7.0 | ||
| 0 | NH4ZSM-5 | 7.1 | 7.1 | NH4ZSM-5 | 6.3 | 6.6 |
| 60 | 6.1 | 6.9 | 6.1 | 5.8 | ||
| 180 | 6.2 | 6.9 | 6.2 | 5.8 | ||
| 0 | NaY | 8.7 | 8.5 | NaY | 8.5 | 8.4 |
| 60 | 8.4 | 8.2 | 8.7 | 8.8 | ||
| 180 | 8.3 | 8.6 | 8.7 | 9.0 |
Publisher’s Note: MDPI stays neutral with regard to jurisdictional claims in published maps and institutional affiliations. |
© 2022 by the authors. Licensee MDPI, Basel, Switzerland. This article is an open access article distributed under the terms and conditions of the Creative Commons Attribution (CC BY) license (https://creativecommons.org/licenses/by/4.0/).
Share and Cite
Rakanović, M.; Vukojević, A.; Savanović, M.M.; Armaković, S.; Pelemiš, S.; Živić, F.; Sladojević, S.; Armaković, S.J. Zeolites as Adsorbents and Photocatalysts for Removal of Dyes from the Aqueous Environment. Molecules 2022, 27, 6582. https://doi.org/10.3390/molecules27196582
Rakanović M, Vukojević A, Savanović MM, Armaković S, Pelemiš S, Živić F, Sladojević S, Armaković SJ. Zeolites as Adsorbents and Photocatalysts for Removal of Dyes from the Aqueous Environment. Molecules. 2022; 27(19):6582. https://doi.org/10.3390/molecules27196582
Chicago/Turabian StyleRakanović, Marina, Andrijana Vukojević, Maria M. Savanović, Stevan Armaković, Svetlana Pelemiš, Fatima Živić, Slavica Sladojević, and Sanja J. Armaković. 2022. "Zeolites as Adsorbents and Photocatalysts for Removal of Dyes from the Aqueous Environment" Molecules 27, no. 19: 6582. https://doi.org/10.3390/molecules27196582
APA StyleRakanović, M., Vukojević, A., Savanović, M. M., Armaković, S., Pelemiš, S., Živić, F., Sladojević, S., & Armaković, S. J. (2022). Zeolites as Adsorbents and Photocatalysts for Removal of Dyes from the Aqueous Environment. Molecules, 27(19), 6582. https://doi.org/10.3390/molecules27196582

