Giant Dielectric Properties of W6+-Doped TiO2 Ceramics
Abstract
1. Introduction
2. Experimental Details
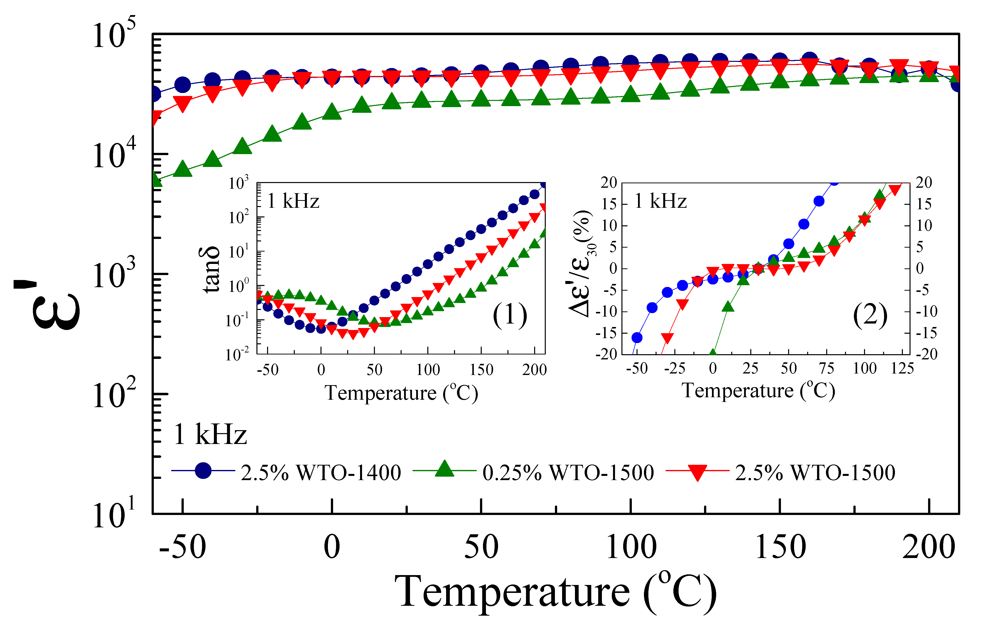
3. Results and Discussion
4. Conclusions
Author Contributions
Funding
Institutional Review Board Statement
Informed Consent Statement
Data Availability Statement
Acknowledgments
Conflicts of Interest
References
- Subramanian, M.A.; Li, D.; Duan, N.; Reisner, B.A.; Sleight, A.W. High Dielectric Constant in ACu3Ti4O12 and ACu3Ti3FeO12 Phases. J. Solid State Chem. 2000, 151, 323–325. [Google Scholar] [CrossRef]
- Wang, Y.; Jie, W.; Yang, C.; Wei, X.; Hao, J. Colossal Permittivity Materials as Superior Dielectrics for Diverse Applications. Adv. Funct. Mater. 2019, 29, 1808118. [Google Scholar] [CrossRef]
- Peng, Z.; Zhou, X.; Wang, J.; Zhu, J.; Liang, P.; Chao, X.; Yang, Z. Origin of colossal permittivity and low dielectric loss in Na1/3Cd1/3Y1/3Cu3Ti4O12 ceramics. Ceram. Int. 2020, 46, 11154–11159. [Google Scholar] [CrossRef]
- Peng, Z.; Wu, D.; Liang, P.; Zhou, X.; Wang, J.; Zhu, J.; Chao, X.; Yang, Z. Grain boundary engineering that induces ultrahigh permittivity and decreased dielectric loss in CdCu3Ti4O12 ceramics. J. Am. Ceram. Soc. 2020, 103, 1230–1240. [Google Scholar] [CrossRef]
- Du, G.; Wei, F.; Li, W.; Chen, N. Co-doping effects of A-site Y3+ and B-site Al3+ on the microstructures and dielectric properties of CaCu3Ti4O12 ceramics. J. Eur. Ceram. Soc. 2017, 37, 4653–4659. [Google Scholar] [CrossRef]
- Wu, J.; Nan, C.-W.; Lin, Y.; Deng, Y. Giant Dielectric Permittivity Observed in Li and Ti Doped NiO. Phys. Rev. Lett. 2002, 89, 217601. [Google Scholar] [CrossRef]
- Wang, J.; Liu, G.; Jia, B.W.; Liu, X.Q.; Chen, X.M. Giant dielectric response and polaronic hopping in Al-substituted A5/3Sr1/3NiO4 (A=La, Nd) ceramics. Ceram. Int. 2014, 40, 5583–5590. [Google Scholar] [CrossRef]
- Hu, W.; Liu, Y.; Withers, R.L.; Frankcombe, T.J.; Norén, L.; Snashall, A.; Kitchin, M.; Smith, P.; Gong, B.; Chen, H.; et al. Electron-pinned defect-dipoles for high-performance colossal permittivity materials. Nat. Mater. 2013, 12, 821–826. [Google Scholar] [CrossRef]
- Li, J.; Li, F.; Li, C.; Yang, G.; Xu, Z.; Zhang, S. Evidences of grain boundary capacitance effect on the colossal dielectric permittivity in (Nb + In) co-doped TiO2 ceramics. Sci. Rep. 2015, 5, 8295. [Google Scholar] [CrossRef]
- Li, J.; Li, F.; Xu, Z.; Zhuang, Y.; Zhang, S. Nonlinear I–V behavior in colossal permittivity ceramic: (Nb+In) co-doped rutile TiO2. Ceram. Int. 2015, 41 (Suppl. 1), S798–S803. [Google Scholar] [CrossRef]
- Wu, Y.Q.; Zhao, X.; Zhang, J.L.; Su, W.B.; Liu, J. Huge low-frequency dielectric response of (Nb,In)-doped TiO2 ceramics. Appl. Phys. Lett. 2015, 107, 242904. [Google Scholar] [CrossRef]
- Nachaithong, T.; Kidkhunthod, P.; Thongbai, P.; Maensiri, S. Surface barrier layer effect in (In+Nb) co-doped TiO2 ceramics: An alternative route to design low dielectric loss. J. Am. Ceram. Soc. 2017, 100, 1452–1459. [Google Scholar] [CrossRef]
- Hu, W.; Lau, K.; Liu, Y.; Withers, R.L.; Chen, H.; Fu, L.; Gong, B.; Hutchison, W. Colossal Dielectric Permittivity in (Nb+Al) Codoped Rutile TiO2 Ceramics: Compositional Gradient and Local Structure. Chem. Mater. 2015, 27, 4934–4942. [Google Scholar] [CrossRef]
- Song, Y.; Wang, X.; Zhang, X.; Sui, Y.; Zhang, Y.; Liu, Z.; Lv, Z.; Wang, Y.; Xu, P.; Song, B. The contribution of doped-Al to the colossal permittivity properties of AlxNb0.03Ti0.97−xO2 rutile ceramics. J. Mater. Chem. C 2016, 4, 6798–6805. [Google Scholar] [CrossRef]
- Liu, G.; Fan, H.; Xu, J.; Liu, Z.; Zhao, Y. Colossal permittivity and impedance analysis of niobium and aluminum co-doped TiO2 ceramics. RSC Adv. 2016, 6, 48708–48714. [Google Scholar] [CrossRef]
- Peng, H.; Shang, B.; Wang, X.; Peng, Z.; Chao, X.; Liang, P.; Yang, Z. Origin of giant permittivity in Ta, Al co-doped TiO2: Surface layer and internal barrier capacitance layer effects. Ceram. Int. 2018, 44, 5768–5773. [Google Scholar] [CrossRef]
- Dong, W.; Hu, W.; Berlie, A.; Lau, K.; Chen, H.; Withers, R.L.; Liu, Y. Colossal Dielectric Behavior of Ga+Nb Co-Doped Rutile TiO2. ACS Appl. Mater. Interfaces 2015, 7, 25321–25325. [Google Scholar] [CrossRef]
- Wang, Z.; Chen, H.; Wang, T.; Xiao, Y.; Nian, W.; Fan, J. Enhanced relative permittivity in niobium and europium co-doped TiO2 ceramics. J. Eur. Ceram. Soc. 2018, 38, 3847–3852. [Google Scholar] [CrossRef]
- Wang, M.; Xie, J.; Xue, K.; Li, L. Effects of Eu3+/Ta5+ nonstoichiometric ratio on dielectric properties of (EuxTa1−x)0.08Ti0.92O2 ceramics with colossal permittivity: Experiments and first-principle calculations. Ceram. Int. 2021, 47, 24868–24876. [Google Scholar] [CrossRef]
- Wang, Z.; Chen, H.; Nian, W.; Fan, J.; Li, Y.; Wang, X.; Ma, X. Grain boundary effect on dielectric properties of (Nd0.5Nb0.5)xTi1−xO2 ceramicsceamics. J. Alloys Compd. 2019, 785, 875–882. [Google Scholar] [CrossRef]
- Xu, Z.; Li, L.; Wang, W.; Lu, T. Colossal permittivity and ultralow dielectric loss in (Nd0.5Ta0.5)xTi1−xO2 ceramics. Ceram. Int. 2019, 45, 17318–17324. [Google Scholar] [CrossRef]
- Li, J.; Zeng, Y.; Fang, Y.; Chen, N.; Du, G.; Zhang, A. Synthesis of (La + Nb) co-doped TiO2 rutile nanoparticles and dielectric properties of their derived ceramics composed of submicron-sized grains. Ceram. Int. 2021, 47, 8859–8867. [Google Scholar] [CrossRef]
- Cao, Z.; Zhao, J.; Fan, J.; Li, G.; Zhang, H. Colossal permittivity of (Gd + Nb) co-doped TiO2 ceramics induced by interface effects and defect cluster. Ceram. Int. 2021, 47, 6711–6719. [Google Scholar] [CrossRef]
- Li, Z.; Wu, J. Novel titanium dioxide ceramics containing bismuth and antimony. J. Mater. 2017, 3, 112–120. [Google Scholar] [CrossRef]
- Yang, C.; Tse, M.-Y.; Wei, X.; Hao, J. Colossal permittivity of (Mg + Nb) co-doped TiO2 ceramics with low dielectric loss. J. Mater. Chem. C 2017, 5, 5170–5175. [Google Scholar] [CrossRef]
- Liang, P.; Zhu, J.; Wu, D.; Peng, H.; Chao, X.; Yang, Z. Good dielectric performance and broadband dielectric polarization in Ag, Nb co-doped TiO2. J. Am. Ceram. Soc. 2021, 104, 2702–2710. [Google Scholar] [CrossRef]
- Peng, H.; Liang, P.; Wu, D.; Zhou, X.; Peng, Z.; Xiang, Y.; Chao, X.; Yang, Z. Simultaneous realization of broad temperature stability range and outstanding dielectric performance in (Ag+, Ta5+) co–doped TiO2 ceramics. J. Alloys Compd. 2019, 783, 423–427. [Google Scholar] [CrossRef]
- Zhu, J.; Wu, D.; Liang, P.; Zhou, X.; Peng, Z.; Chao, X.; Yang, Z. Ag+/W6+ co-doped TiO2 ceramic with colossal permittivity and low loss. J. Alloys Compd. 2021, 856, 157350. [Google Scholar] [CrossRef]
- Peng, Z.; Wu, D.; Liang, P.; Zhu, J.; Zhou, X.; Chao, X.; Yang, Z. Understanding the ultrahigh dielectric permittivity response in titanium dioxide ceramics. Ceram. Int. 2020, 46, 2545–2551. [Google Scholar] [CrossRef]
- Yang, C.; Zhong, B.; Long, Z.; Wei, X. The effect of sintering atmosphere on colossal permittivity in W+Mg/Al co-doped TiO2 ceramics. Ceram. Int. 2020, 46, 3420–3425. [Google Scholar] [CrossRef]
- Tuichai, W.; Danwittayakul, S.; Chanlek, N.; Takesada, M.; Pengpad, A.; Srepusharawoot, P.; Thongbai, P. High-Performance Giant Dielectric Properties of Cr3+/Ta5+ Co-Doped TiO2 Ceramics. ACS Omega 2021, 6, 1901–1910. [Google Scholar] [CrossRef] [PubMed]
- Tuichai, W.; Danwittayakul, S.; Maensiri, S.; Thongbai, P. Investigation on temperature stability performance of giant permittivity (In + Nb) in co-doped TiO2 ceramic: A crucial aspect for practical electronic applications. RSC Adv. 2016, 6, 5582–5589. [Google Scholar] [CrossRef]
- Shannon, R.D. Revised effective ionic radii and systematic studies of interatomic distances in halides and chalcogenides. Acta Crystallogr. Sect. A 1976, 32, 751–767. [Google Scholar] [CrossRef]
- Cheng, X.; Li, Z.; Wu, J. Colossal permittivity in ceramics of TiO2 Co-doped with niobium and trivalent cation. J. Mater. Chem. A 2015, 3, 5805–5810. [Google Scholar] [CrossRef]
- Dong, W.; Chen, D.; Hu, W.; Frankcombe, T.J.; Chen, H.; Zhou, C.; Fu, Z.; Wei, X.; Xu, Z.; Liu, Z.; et al. Colossal permittivity behavior and its origin in rutile (Mg1/3Ta2/3)xTi1−xO2. Sci. Rep. 2017, 7, 9950. [Google Scholar] [CrossRef]
- Siriya, P.; Chanlek, N.; Srepusharawoot, P.; Thongbai, P. Excellent giant dielectric properties over wide temperatures of (Al, Sc)3+ and Nb5+ doped TiO2. Results Phys. 2022, 36, 105458. [Google Scholar] [CrossRef]
- Fan, J.; Leng, S.; Cao, Z.; He, W.; Gao, Y.; Liu, J.; Li, G. Colossal permittivity of Sb and Ga co-doped rutile TiO2 ceramics. Ceram. Int. 2019, 45, 1001–1010. [Google Scholar] [CrossRef]
- Guo, B.; Liu, P.; Cui, X.; Song, Y. Colossal permittivity and dielectric relaxations in (La0.5Nb0.5)xTi1-xO2 ceramics. J. Alloys Compd. 2018, 768, 368–376. [Google Scholar] [CrossRef]
- Sinclair, D.C.; Adams, T.B.; Morrison, F.D.; West, A.R. CaCu3Ti4O12: One-step internal barrier layer capacitor. Appl. Phys. Lett. 2002, 80, 2153. [Google Scholar] [CrossRef]
- Adams, T.B.; Sinclair, D.C.; West, A.R. Giant Barrier Layer Capacitance Effects in CaCu3Ti4O12 Ceramics. Adv. Mater. 2002, 14, 1321–1323. [Google Scholar] [CrossRef]
- Liu, J.; Duan, C.-G.; Yin, W.-G.; Mei, W.; Smith, R.; Hardy, J. Large dielectric constant and Maxwell-Wagner relaxation in Bi2/3Cu3Ti4O12. Phys. Rev. B 2004, 70, 144106. [Google Scholar] [CrossRef]







| Samples | Lattice Parameters (Å) | |
|---|---|---|
| a | c | |
| TiO2 | 4.593(1) | 2.962(2) |
| 2.5%WTO-1400 | 4.592(9) | 2.959(8) |
| 0.25%WTO-1500 | 4.592(9) | 2.960(6) |
| 2.5%WTO-1500 | 4.593(0) | 2.960(8) |
| Samples | Dielectric Properties | |
|---|---|---|
| ε′ | tanδ | |
| 2.5%WTO-1200 | 33,066 | 0.565 |
| 2.5%WTO-1300 | 56,291 | 0.791 |
| 2.5%WTO-1400 | 44,830 | 0.138 |
| 0.25%WTO-1500 | 27,141 | 0.118 |
| 0.5%WTO-1500 | 40,438 | 0.227 |
| 2.5%WTO-1500 | 44,208 | 0.040 |
Publisher’s Note: MDPI stays neutral with regard to jurisdictional claims in published maps and institutional affiliations. |
© 2022 by the authors. Licensee MDPI, Basel, Switzerland. This article is an open access article distributed under the terms and conditions of the Creative Commons Attribution (CC BY) license (https://creativecommons.org/licenses/by/4.0/).
Share and Cite
Siriya, P.; Moontragoon, P.; Srepusharawoot, P.; Thongbai, P. Giant Dielectric Properties of W6+-Doped TiO2 Ceramics. Molecules 2022, 27, 6529. https://doi.org/10.3390/molecules27196529
Siriya P, Moontragoon P, Srepusharawoot P, Thongbai P. Giant Dielectric Properties of W6+-Doped TiO2 Ceramics. Molecules. 2022; 27(19):6529. https://doi.org/10.3390/molecules27196529
Chicago/Turabian StyleSiriya, Porntip, Pairot Moontragoon, Pornjuk Srepusharawoot, and Prasit Thongbai. 2022. "Giant Dielectric Properties of W6+-Doped TiO2 Ceramics" Molecules 27, no. 19: 6529. https://doi.org/10.3390/molecules27196529
APA StyleSiriya, P., Moontragoon, P., Srepusharawoot, P., & Thongbai, P. (2022). Giant Dielectric Properties of W6+-Doped TiO2 Ceramics. Molecules, 27(19), 6529. https://doi.org/10.3390/molecules27196529

