Phytochemicals from Red Onion, Grown with Eco-Sustainable Fertilizers, Protect Mammalian Cells from Oxidative Stress, Increasing Their Viability
Abstract
1. Introduction
2. Results and Discussion
2.1. Red Onion Chemical Properties
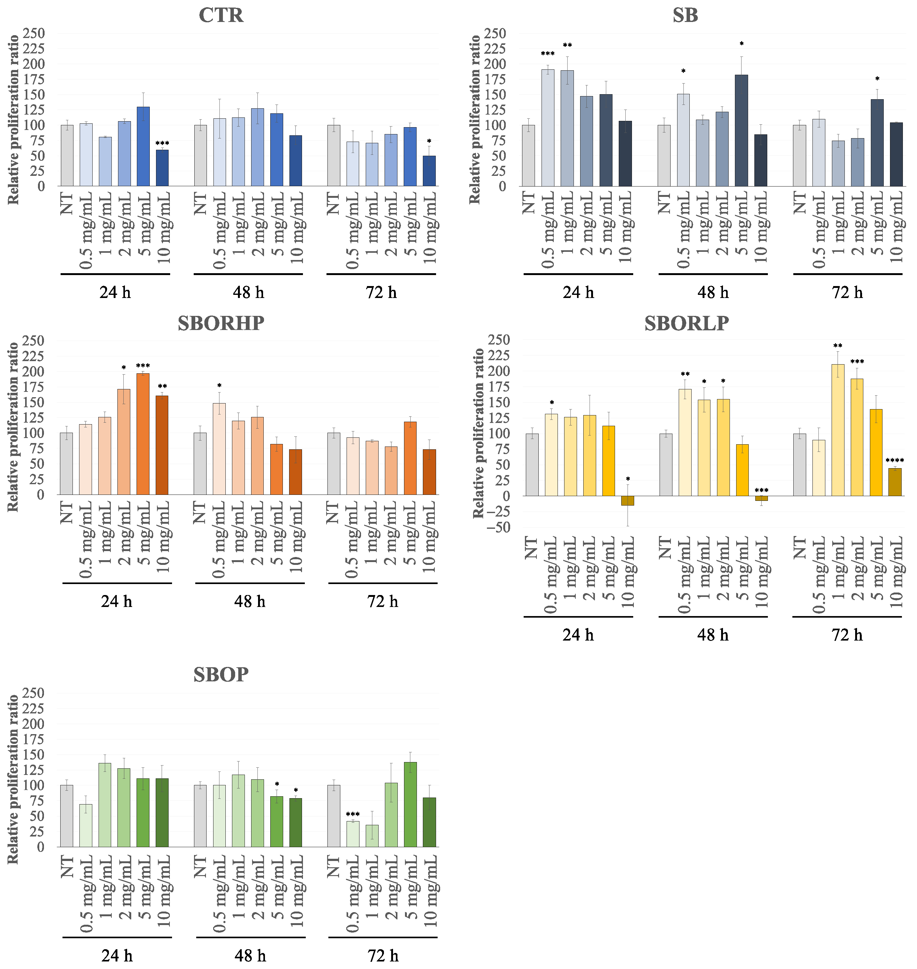
2.2. Effects Red Onion Phytochemicals in Terms of Cell Proliferation or Cytotoxicity
3. Materials and Methods
3.1. Chemicals
3.2. Red Onion Experimental Conditions
3.3. Extraction and Determination of Total Anthocyanins
3.4. Ethanolic Extracts
3.5. Determination of Total Phenolic Compounds and Total Flavonoids
3.6. Determination of Antioxidant Activities
3.7. HPLC and Gas Chromatography/Mass Spectrometry (GC/MS) Analysis of Volatile Organic Compounds
3.8. Red Onion Sample Preparation for Cell Culture Treatments
3.9. Cells and Culture Conditions
3.10. Cell Viability
3.11. Determination of Reactive Oxygen Species (ROS)
3.12. Statistical Analysis
4. Conclusions
Author Contributions
Funding
Institutional Review Board Statement
Informed Consent Statement
Data Availability Statement
Acknowledgments
Conflicts of Interest
Sample Availability
References
- Finkel, T.; Holbrook, N.J. Oxidants, Oxidative Stress and the Biology of Ageing. Nature 2000, 408, 239–247. [Google Scholar] [CrossRef] [PubMed]
- Hajam, Y.A.; Rani, R.; Ganie, S.Y.; Sheikh, T.A.; Javaid, D.; Qadri, S.S.; Pramodh, S.; Alsulimani, A.; Alkhanani, M.F.; Harakeh, S.; et al. Oxidative Stress in Human Pathology and Aging: Molecular Mechanisms and Perspectives. Cells 2022, 11, 552. [Google Scholar] [CrossRef] [PubMed]
- Borek, C. Antioxidant Health Effects of Aged Garlic Extract. J. Nutr. 2001, 131, 1010S–1015S. [Google Scholar] [CrossRef] [PubMed]
- Colina-Coca, C.; González-Peña, D.; De Ancos, B.; Sánchez-Moreno, C. Dietary Onion Ameliorates Antioxidant Defence, Inflammatory Response, and Cardiovascular Risk Biomarkers in Hypercholesterolemic Wistar Rats. J. Funct. Foods 2017, 36, 300–309. [Google Scholar] [CrossRef]
- Jini, D.; Sharmila, S. Green Synthesis of Silver Nanoparticles from Allium cepa and Its in Vitro Antidiabetic Activity. Mater. Today Proc. 2020. [Google Scholar] [CrossRef]
- Tsuboki, J.; Fujiwara, Y.; Horlad, H.; Shiraishi, D.; Nohara, T.; Tayama, S.; Motohara, T.; Saito, Y.; Ikeda, T.; Takaishi, K.; et al. Onionin A Inhibits Ovarian Cancer Progression by Suppressing Cancer Cell Proliferation and the Protumour Function of Macrophages. Sci. Rep. 2016, 6, 29588. [Google Scholar] [CrossRef]
- Yang, E.-J.; Kim, G.-S.; Kim, J.A.; Song, K.-S. Protective Effects of Onion-Derived Quercetin on Glutamate-Mediated Hippocampal Neuronal Cell Death. Pharmacogn. Mag. 2013, 9, 302–308. [Google Scholar] [CrossRef]
- Zhou, Y.; Zhuang, W.; Hu, W.; Liu, G.-J.; Wu, T.-X.; Wu, X.-T. Consumption of Large Amounts of Allium Vegetables Reduces Risk for Gastric Cancer in a Meta-Analysis. Gastroenterology 2011, 141, 80–89. [Google Scholar] [CrossRef]
- Nicastro, H.L.; Ross, S.A.; Milner, J.A. Garlic and Onions: Their Cancer Prevention Properties. Cancer Prev. Res. Phila. Pa 2015, 8, 181–189. [Google Scholar] [CrossRef]
- Hertog, M.; Katan, M. Quercetin in Foods, Cardiovascular Disease, and Cancer. Flavonoids Health Dis. 1998, 20, 447–467. [Google Scholar]
- Hatono, S.; Jimenez, A.; Wargovich, M.J. Chemopreventive Effect of S-Allylcysteine and Its Relationship to the Detoxification Enzyme Glutathione S-Transferase. Carcinogenesis 1996, 17, 1041–1044. [Google Scholar] [CrossRef]
- Fukushima, S.; Takada, N.; Wanibuchi, H.; Hori, T.; Min, W.; Ogawa, M. Suppression of Chemical Carcinogenesis by Water-Soluble Organosulphur Compounds. J. Nutr. 2001, 131, 1049S–1053S. [Google Scholar] [CrossRef]
- Richter, M.; Ebermann, R.; Marian, B. Quercetin-Induced Apoptosis in Colorectal Tumor Cells: Possible Role of EGF Receptor Signaling. Nutr. Cancer 1999, 34, 88–99. [Google Scholar] [CrossRef]
- Miodini, P.; Fioravanti, L.; Fronzo, G.D.; Cappelletti, V. The Two Phyto-Oestrogens Genistein and Quercetin Exert Different Effects on Oestrogen Receptor Function. Br. J. Cancer 1999, 80, 1150–1155. [Google Scholar] [CrossRef]
- Marefati, N.; Ghorani, V.; Shakeri, F.; Boskabady, M.; Kianian, F.; Rezaee, R.; Boskabady, M.H. A Review of Anti-Inflammatory, Antioxidant, and Immunomodulatory Effects of Allium cepa and Its Main Constituents. Pharm. Biol. 2021, 59, 287–302. [Google Scholar] [CrossRef]
- Kazimierczak, R.; Średnicka-Tober, D.; Barański, M.; Hallmann, E.; Góralska-Walczak, R.; Kopczyńska, K.; Rembiałkowska, E.; Górski, J.; Leifert, C.; Rempelos, L.; et al. The Effect of Different Fertilization Regimes on Yield, Selected Nutrients, and Bioactive Compounds Profiles of Onion. Agronomy 2021, 11, 883. [Google Scholar] [CrossRef]
- Muscolo, A.; Papalia, T.; Settineri, G.; Mallamaci, C.; Panuccio, M. Sulphur Bentonite-organic-based Fertilizers as Tool for Improving Bio-compounds with Antioxidant Activities in Red Onion. J. Sci. Food Agric. 2019, 100. [Google Scholar] [CrossRef]
- Kuznetsov, A.V.; Javadov, S.; Sickinger, S.; Frotschnig, S.; Grimm, M. H9c2 and HL-1 Cells Demonstrate Distinct Features of Energy Metabolism, Mitochondrial Function and Sensitivity to Hypoxia-Reoxygenation. Biochim. Biophys. Acta 2015, 1853, 276–284. [Google Scholar] [CrossRef]
- Rababa’h, A.M.; Guillory, A.N.; Mustafa, R.; Hijjawi, T. Oxidative Stress and Cardiac Remodeling: An Updated Edge. Curr. Cardiol. Rev. 2018, 14, 53–59. [Google Scholar] [CrossRef]
- Wei, Z.; Li, X.; Li, X.; Liu, Q.; Cheng, Y. Oxidative Stress in Parkinson’s Disease: A Systematic Review and Meta-Analysis. Front. Mol. Neurosci. 2018, 11, 236. [Google Scholar] [CrossRef]
- Ren, F.; Reilly, K.; Kerry, J.P.; Gaffney, M.; Hossain, M.; Rai, D.K. Higher Antioxidant Activity, Total Flavonols, and Specific Quercetin Glucosides in Two Different Onion (Allium cepa L.) Varieties Grown under Organic Production: Results from a 6-Year Field Study. J. Agric. Food Chem. 2017, 65, 5122–5132. [Google Scholar] [CrossRef]
- Hallmann, E.; Rembialkowska, E. Antioxidant compounds content in selected onion bulbs from organic and conventional cultivation. J. Res. Appl. Agric. Eng. Pol. 2006, 51, 42–46. [Google Scholar]
- Fredotović, Ž.; Šprung, M.; Soldo, B.; Ljubenkov, I.; Budić-Leto, I.; Bilušić, T.; Čikeš-Čulić, V.; Puizina, J. Chemical Composition and Biological Activity of Allium Cepa L. and Allium × Cornutum (Clementi Ex Visiani 1842) Methanolic Extracts. Molecules 2017, 22, 448. [Google Scholar] [CrossRef]
- Aguiar, J.; Gonçalves, J.L.; Alves, V.L.; Câmara, J.S. Chemical Fingerprint of Free Polyphenols and Antioxidant Activity in Dietary Fruits and Vegetables Using a Non-Targeted Approach Based on QuEChERS Ultrasound-Assisted Extraction Combined with UHPLC-PDA. Antioxidants 2020, 9, 305. [Google Scholar] [CrossRef]
- Žilić, S.; Šukalović, V.H.-T.; Dodig, D.; Maksimović, V.; Maksimović, M.; Basić, Z. Antioxidant Activity of Small Grain Cereals Caused by Phenolics and Lipid Soluble Antioxidants. J. Cereal Sci. 2011, 3, 417–424. [Google Scholar] [CrossRef]
- Kiokias, S.; Proestos, C.; Oreopoulou, V. Phenolic Acids of Plant Origin—A Review on Their Antioxidant Activity In Vitro (O/W Emulsion Systems) Along with Their in Vivo Health Biochemical Properties. Foods 2020, 9, 534. [Google Scholar] [CrossRef]
- Roychoudhury, S.; Sinha, B.; Choudhury, B.P.; Jha, N.K.; Palit, P.; Kundu, S.; Mandal, S.C.; Kolesarova, A.; Yousef, M.I.; Ruokolainen, J.; et al. Scavenging Properties of Plant-Derived Natural Biomolecule Para-Coumaric Acid in the Prevention of Oxidative Stress-Induced Diseases. Antioxidants 2021, 10, 1205. [Google Scholar] [CrossRef]
- Zhu, H.; Liang, Q.H.; Xiong, X.G.; Wang, Y.; Zhang, Z.H.; Sun, M.J.; Lu, X.; Wu, D. Anti-Inflammatory Effects of p-Coumaric Acid, a Natural Compound of Oldenlandia diffusa, on Arthritis Model Rats. Evid. Based Complement. Altern. Med. 2018, 2018, 5198594. [Google Scholar] [CrossRef]
- Nasr Bouzaiene, N.; Kilani Jaziri, S.; Kovacic, H.; Chekir-Ghedira, L.; Ghedira, K.; Luis, J. The effects of caffeic, coumaric and ferulic acids on proliferation, superoxide production, adhesion and migration of human tumor cells in vitro. Eur. J. Pharmacol. 2015, 766, 99–105. [Google Scholar] [CrossRef]
- Alam, M.; Ahmed, S.; Elasbali, A.M.; Adnan, M.; Alam, S.; Hassan, M.I.; Pasupuleti, V.R. Therapeutic Implications of Caffeic Acid in Cancer and Neurological Diseases. Front. Oncol. 2022, 12, 860508. [Google Scholar] [CrossRef]
- Silva dos Santos, J.; Gonçalves Cirino, J.P.; de Oliveira Carvalho, P.; Ortega, M.M. The Pharmacological Action of Kaempferol in Central Nervous System Diseases: A Review. Front. Pharmacol. 2021, 11, 565700. [Google Scholar] [CrossRef]
- Omar, S.H.; Al-Wabel, N.A. Organosulfur compounds and possible mechanism of garlic in cancer. Saudi Pharm. J. 2010, 18, 51–58. [Google Scholar] [CrossRef] [PubMed]
- Yang, L.; Wen, K.-S.; Ruan, X.; Zhao, Y.-X.; Wei, F.; Wang, Q. Response of Plant Secondary Metabolites to Environmental Factors. Molecules 2018, 23, 762. [Google Scholar] [CrossRef] [PubMed]
- Cavalheiro, T.R.T.; de Alcoforado, R.O.; de Silva, V.S.A.; Coimbra, P.P.S.; de Mendes, N.S.; Cavalcanti, E.D.C.; de Jurelevicius, D.A.; de Gonçalves, É.C.B.A. The Impact of Organic Fertilizer Produced with Vegetable Residues in Lettuce (Lactuca sativa L.) Cultivation and Antioxidant Activity. Sustainability 2021, 13, 128. [Google Scholar] [CrossRef]
- Yashin, A.; Yashin, Y.; Xia, X.; Nemzer, B. Antioxidant Activity of Spices and Their Impact on Human Health: A Review. Antioxidants 2017, 6, 70. [Google Scholar] [CrossRef] [PubMed]
- Li, Q.; Qiu, Z.; Wang, Y.; Guo, C.; Cai, X.; Zhang, Y.; Liu, L.; Xue, H.; Tang, J. Tea Polyphenols Alleviate Hydrogen Peroxide-Induced Oxidative Stress Damage through the Mst/Nrf2 Axis and the Keap1/Nrf2/HO-1 Pathway in Murine RAW264.7. Cells. Exp. Ther. Med. 2021, 22, 1473. [Google Scholar] [CrossRef] [PubMed]
- van de Loosdrecht, A.A.; Beelen, R.H.; Ossenkoppele, G.J.; Broekhoven, M.G.; Langenhuijsen, M.M. A Tetrazolium-Based Colorimetric MTT Assay to Quantitate Human Monocyte Mediated Cytotoxicity against Leukemic Cells from Cell Lines and Patients with Acute Myeloid Leukemia. J. Immunol. Methods 1994, 174, 311–320. [Google Scholar] [CrossRef]
- Mete, R.; Oran, M.; Topcu, B.; Oznur, M.; Seber, E.S.; Gedikbasi, A.; Yetisyigit, T. Protective Effects of Onion (Allium cepa) Extract against Doxorubicin-Induced Hepatotoxicity in Rats. Toxicol. Ind. Health 2016, 32, 551–557. [Google Scholar] [CrossRef]
- Imai, J.; Ide, N.; Nagae, S.; Moriguchi, T.; Matsuura, H.; Itakura, Y. Antioxidant and Radical Scavenging Effects of Aged Garlic Extract and Its Constituents. Planta Med. 1994, 60, 417–420. [Google Scholar] [CrossRef]
- Ferretta, A.; Gaballo, A.; Tanzarella, P.; Piccoli, C.; Capitanio, N.; Nico, B.; Annese, T.; Di Paola, M.; Dell’Aquila, C.; De Mari, M.; et al. Effect of Resveratrol on Mitochondrial Function: Implications in Parkin-Associated Familiar Parkinson’s Disease. Biochim. Biophys. Acta BBA Mol. Basis Dis. 2014, 1842, 902–915. [Google Scholar] [CrossRef]
- Tanzarella, P.; Ferretta, A.; Barile, S.N.; Ancona, M.; De Rasmo, D.; Signorile, A.; Papa, S.; Capitanio, N.; Pacelli, C.; Cocco, T. Increased Levels of CAMP by the Calcium-Dependent Activation of Soluble Adenylyl Cyclase in Parkin-Mutant Fibroblasts. Cells 2019, 8, 250. [Google Scholar] [CrossRef]
- Pacelli, C.; De Rasmo, D.; Signorile, A.; Grattagliano, I.; di Tullio, G.; D’Orazio, A.; Nico, B.; Comi, G.P.; Ronchi, D.; Ferranini, E.; et al. Mitochondrial Defect and PGC-1α Dysfunction in Parkin-Associated Familial Parkinson’s Disease. Biochim. Biophys. Acta 2011, 1812, 1041–1053. [Google Scholar] [CrossRef]
- Vergara, D.; Gaballo, A.; Signorile, A.; Ferretta, A.; Tanzarella, P.; Pacelli, C.; Di Paola, M.; Cocco, T.; Maffia, M. Resveratrol Modulation of Protein Expression in Parkin-Mutant Human Skin Fibroblasts: A Proteomic Approach. Oxid. Med. Cell. Longev. 2017, 2017, 98243. [Google Scholar] [CrossRef]
- Lippolis, R.; Siciliano, R.A.; Pacelli, C.; Ferretta, A.; Mazzeo, M.F.; Scacco, S.; Papa, F.; Gaballo, A.; Dell’Aquila, C.; De Mari, M.; et al. Altered Protein Expression Pattern in Skin Fibroblasts from Parkin-Mutant Early-Onset Parkinson’s Disease Patients. Biochim. Biophys. Acta BBA Mol. Basis Dis. 2015, 1852, 1960–1970. [Google Scholar] [CrossRef]
- Lobasso, S.; Tanzarella, P.; Vergara, D.; Maffia, M.; Cocco, T.; Corcelli, A. Lipid Profiling of Parkin-Mutant Human Skin Fibroblasts. J. Cell. Physiol. 2017, 232, 3540–3551. [Google Scholar] [CrossRef]
- Guerra, F.; Girolimetti, G.; Beli, R.; Mitruccio, M.; Pacelli, C.; Ferretta, A.; Gasparre, G.; Cocco, T.; Bucci, C. Synergistic Effect of Mitochondrial and Lysosomal Dysfunction in Parkinson’s Disease. Cells 2019, 8, 452. [Google Scholar] [CrossRef]
- Pacelli, C.; Rotundo, G.; Lecce, L.; Menga, M.; Bidollari, E.; Scrima, R.; Cela, O.; Piccoli, C.; Cocco, T.; Vescovi, A.L.; et al. Parkin Mutation Affects Clock Gene-Dependent Energy Metabolism. Int. J. Mol. Sci. 2019, 20, 2772. [Google Scholar] [CrossRef]
- Signorile, A.; Ferretta, A.; Pacelli, C.; Capitanio, N.; Tanzarella, P.; Matrella, M.L.; Valletti, A.; De Rasmo, D.; Cocco, T. Resveratrol Treatment in Human Parkin-Mutant Fibroblasts Modulates CAMP and Calcium Homeostasis Regulating the Expression of Mitochondria-Associated Membranes Resident Proteins. Biomolecules 2021, 11, 1511. [Google Scholar] [CrossRef]
- Papalia, T.; Barreca, D.; Panuccio, M.R. Assessment of Antioxidant and Cytoprotective Potential of Jatropha (Jatropha curcas) Grown in Southern Italy. Int. J. Mol. Sci. 2017, 18, 660. [Google Scholar] [CrossRef]
- Muscolo, A.; Romeo, F.; Marra, F.; Mallamaci, C. Recycling Agricultural, Municipal and Industrial Pollutant Wastes into Fertilizers for a Sustainable Healthy Food Production. J. Environ. Manag. 2021, 300, 113771. [Google Scholar] [CrossRef]
- Fossen, T.; Cabrita, L.; Andersen, O.M. Colour and Stability of Pure Anthocyanins Influenced by PH Including the Alkaline Region. Food Chem. 1998, 63, 435–440. [Google Scholar] [CrossRef]
- Muscolo, A.; Sidari, M.; Settineri, G.; Papalia, T.; Mallamaci, C.; Attinà, E. Influence of Soil Properties on Bioactive Compounds and Antioxidant Capacity of Brassica Rupestris Raf. J. Soil Sci. Plant Nutr. 2019, 19. [Google Scholar] [CrossRef]
- De Rasmo, D.; Signorile, A.; Larizza, M.; Pacelli, C.; Cocco, T.; Papa, S. Activation of the CAMP Cascade in Human Fibroblast Cultures Rescues the Activity of Oxidatively Damaged Complex I. Free Radic. Biol. Med. 2012, 52, 757–764. [Google Scholar] [CrossRef] [PubMed]
- Signorile, A.; Santeramo, A.; Tamma, G.; Pellegrino, T.; D’Oria, S.; Lattanzio, P.; De Rasmo, D. Mitochondrial CAMP Prevents Apoptosis Modulating Sirt3 Protein Level and OPA1 Processing in Cardiac Myoblast Cells. Biochim. Biophys. Acta Mol. Cell Res. 2017, 1864, 355–366. [Google Scholar] [CrossRef] [PubMed]
- Middleton, E.; Kandaswami, C.; Theoharides, T.C. The Effects of Plant Flavonoids on Mammalian Cells: Implications for Inflammation, Heart Disease, and Cancer. Pharmacol. Rev. 2000, 52, 673–751. [Google Scholar] [PubMed]
- Wang, W.; Sun, C.; Mao, L.; Ma, P.; Liu, F.; Yang, J.; Gao, Y. The Biological Activities, Chemical Stability, Metabolism and Delivery Systems of Quercetin: A Review. Trends Food Sci. Technol. 2016, 56, 21–38. [Google Scholar] [CrossRef]








| Total Phenols | Flavonoids | Anthocyanins | |
|---|---|---|---|
| CTR | 28 ± 1 c | 2.1 ± 0.1 c | 23 ± 1 b |
| SB | 37 ± 2 b | 3.7 ± 0.2 b | 37 ± 2 a |
| SBORLP | 48 ± 2 a | 3.9 ± 0.3 b | 37 ± 2 a |
| SBORHP | 43 ± 3 a | 3.8 ± 0.2 b | 37 ± 2 a |
| SBOP | 37 ± 2 b | 5.0 ± 0.5 a | 37 ± 2 a |
| ID | S-methyl Cysteine Sulfoxide | Trisulfide Dipropyl | Diallyl Disulfide | Disulfide Di-Isopropyl | Disulfide Methyl-l-Propenyl | Isopropyl Mercaptan | Heptane-6-Methyl 4-5 Dithia-1-Heptene |
|---|---|---|---|---|---|---|---|
| CTR | 110 ± 9 e | 3.32 ± 0.5 b | nd | 36.7 ± 2 b | 0.38 ± 0.04 c | 53 ± 3 b | 1.0 ± 0.2 c |
| SB | 590 ± 12 a | 1.95 ± 0.2 c | nd | 34.3 ± 3 b | nd | 61 ± 4 a | 1.0 ± 0.1 c |
| SBORLP | 390 ±13 b | 10.3 ± 1 a | 0.32 ± 9 a | 53.6 ± 2 a | 1.44 ± 0.05 a | 53 ± 2 b | 8.4 ± 1 a |
| SBORHP | 140 ± 12 c | 3.32 ± 0.6 b | nd | 35.3 ± 1 b | 0.73 ± 0.02 b | 51 ± 3 b | 1.5 ± 0.2 b |
| SBOP | 180 ± 12 d | 1.63 ± 0.5 e | nd | 36.7 ± 3 b | 0.07 ± 0.001 d | 54 ± 2 b | 0.6 ± 0.02 d |
| ID Sample | Description |
|---|---|
| CTR | Control unfertilized soil |
| SB | Onion grown with sulphur bentonite |
| SBOR HP | Onion grown with sulphur bentonite-high percentage of orange residue |
| SBOR LP | Onion grown with sulphur bentonite-low percentage of orange residue |
| SBOP | Onion grown with sulphur bentonite and olive pomace |
Publisher’s Note: MDPI stays neutral with regard to jurisdictional claims in published maps and institutional affiliations. |
© 2022 by the authors. Licensee MDPI, Basel, Switzerland. This article is an open access article distributed under the terms and conditions of the Creative Commons Attribution (CC BY) license (https://creativecommons.org/licenses/by/4.0/).
Share and Cite
Matrella, M.L.; Valletti, A.; Marra, F.; Mallamaci, C.; Cocco, T.; Muscolo, A. Phytochemicals from Red Onion, Grown with Eco-Sustainable Fertilizers, Protect Mammalian Cells from Oxidative Stress, Increasing Their Viability. Molecules 2022, 27, 6365. https://doi.org/10.3390/molecules27196365
Matrella ML, Valletti A, Marra F, Mallamaci C, Cocco T, Muscolo A. Phytochemicals from Red Onion, Grown with Eco-Sustainable Fertilizers, Protect Mammalian Cells from Oxidative Stress, Increasing Their Viability. Molecules. 2022; 27(19):6365. https://doi.org/10.3390/molecules27196365
Chicago/Turabian StyleMatrella, Maria Laura, Alessio Valletti, Federica Marra, Carmelo Mallamaci, Tiziana Cocco, and Adele Muscolo. 2022. "Phytochemicals from Red Onion, Grown with Eco-Sustainable Fertilizers, Protect Mammalian Cells from Oxidative Stress, Increasing Their Viability" Molecules 27, no. 19: 6365. https://doi.org/10.3390/molecules27196365
APA StyleMatrella, M. L., Valletti, A., Marra, F., Mallamaci, C., Cocco, T., & Muscolo, A. (2022). Phytochemicals from Red Onion, Grown with Eco-Sustainable Fertilizers, Protect Mammalian Cells from Oxidative Stress, Increasing Their Viability. Molecules, 27(19), 6365. https://doi.org/10.3390/molecules27196365

