Sandwich, Triple-Decker and Other Sandwich-like Complexes of Cyclopentadienyl Anions with Lithium or Sodium Cations
Abstract
1. Introduction
2. Computational Details
3. Results and Discussion
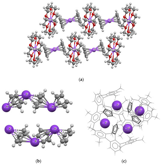
3.1. Crystal Structures
3.2. The Energetic Parameters
3.3. The Larger Chain Structures of Cyclopentadienyl Complexes
3.4. The QTAIM and NBO Results
4. Summary
Author Contributions
Funding
Institutional Review Board Statement
Informed Consent Statement
Data Availability Statement
Acknowledgments
Conflicts of Interest
Sample Availability
References
- Astruc, D. Organometallic Chemistry and Catalysis; Springer: Berlin/Heidelberg, Germany, 2007. [Google Scholar]
- Crabtree, R.H. The Organometallic Chemistry of the Transition Metals; John Wiley & Sons, Inc.: Hoboken, NJ, USA, 2005. [Google Scholar]
- Kubas, G.J. Metal Dihydrogen and σ-Bond Complexes; Kluwer Academic Publishers: New York, NY, USA, 2001. [Google Scholar]
- Jiao, H.; Schleyer, P.V.R.; Mo, Y.; McAllister, M.A.; Tidwell, T.T. Magnetic evidence for the aromaticity and antiaromaticity of charged fluorenyl, indenyl, and cyclopentadienyl systems. J. Am. Chem. Soc. 1997, 119, 7075–7083. [Google Scholar] [CrossRef]
- Krygowski, T.M.; Cyrański, M.K. Structural aspects of aromaticity. Chem. Rev. 2001, 101, 1385–1419. [Google Scholar] [CrossRef]
- Malenov, D.P.; Antonijević, I.S.; Hall, M.B.; Zarić, S.D. Stacking of cyclopentadienyl organometallic sandwich and half-sandwich compounds. Strong interactions of sandwiches at large offsets. CrystEngComm 2018, 20, 4506–4514. [Google Scholar] [CrossRef]
- Rausch, M.; Vogel, M.; Rosenberg, H. Ferrocene: A novel organometallic compound. J. Chem. Educ. 1957, 34, 268–272. [Google Scholar] [CrossRef]
- Fischer, E.O.; Pfab, W. Zur kristallstruktur der di-cyclopentadienyl-verbindungen des zweiwertigen eisens, kobalts und nickels. Z. Naturforsch. B. 1952, 7, 377–379. [Google Scholar] [CrossRef]
- Wilkinson, G.; Rosenblum, M.; Whiting, M.C.; Woodward, R.B. The structure of iron bis-cyclopentadienyl. J. Am. Chem. Soc. 1952, 74, 2125–2126. [Google Scholar] [CrossRef]
- Dunitz, J.; Orgel, L.; Rich, A. The crystal structure of ferrocene. Acta Crystallogr. 1956, 9, 373–375. [Google Scholar] [CrossRef]
- Belkova, N.V.; Epstein, L.M.; Shubina, E.S. Dihydrogen bonding, proton transfer and beyond: What we can learn from kinetics and thermodynamics. Eur. J. Inorg. Chem. 2010, 2010, 3555–3565. [Google Scholar] [CrossRef]
- Safronov, S.V.; Osipova, E.S.; Nelyubina, Y.V.; Filippov, O.A.; Barakovskaya, I.G.; Belkova, N.V.; Shubina, E.S. Steric and electronic effect of Cp-substituents on the structure of the ruthenocene based pincer palladium borohydrides. Molecules 2020, 25, 2236. [Google Scholar] [CrossRef]
- Spisak, S.N.; Wei, Z.; Petrukhina, M.A. Mixing Li and Cs in the reduction of corannulene for the assembly of a cesium-capped sandwich with a hexanuclear heterometallic core. Dalton Trans. 2017, 46, 5625–5630. [Google Scholar] [CrossRef]
- Rayón, V.M.; Frenking, G. Structures, bond energies, heats of formation, and quantitative bonding analysis of main-group metallocenes [E(Cp)2] (E = Be-Ba, Zn, Si-Pb) and [E(Cp)] (E = Li-Cs, B-Tl). Chem. Eur. J. 2002, 8, 4693–4707. [Google Scholar] [CrossRef]
- Fernández, R.; Carmona, E. Recent developments in the chemistry of Beryllocenes. Eur. J. Inorg. Chem. 2005, 2005, 3197–3206. [Google Scholar] [CrossRef]
- Wirtz, L.; Schäfer, A. Main-group metallocenophanes. Chem. Eur. J. 2021, 27, 1219–1230. [Google Scholar] [CrossRef] [PubMed]
- Grabowski, S.J. The coordination of beryllium and magnesium centres in half-sandwich and sandwich compounds. J. Organomet. Chem. 2021, 948, 121906. [Google Scholar] [CrossRef]
- Grabowski, S.J. Triel bond and coordination of triel centres—Comparison with hydrogen bond interaction. Coord. Chem. Rev. 2020, 407, 213171. [Google Scholar] [CrossRef]
- Frisch, M.J.; Trucks, G.W.; Schlegel, H.B.; Scuseria, G.E.; Robb, M.A.; Cheeseman, J.R.; Scalmani, G.; Barone, V.; Petersson, G.A.; Nakatsuji, H.; et al. Gaussian 16, Revision A.03; Gaussian, Inc.: Wallingford, CT, USA, 2016. [Google Scholar]
- Minenkov, Y.; Singstad, A.; Occhipinti, G.; Jensen, V.R. The accuracy of DFT-optimized geometries of functional transition metal compounds: A validation study of catalysts for olefin metathesis and other reactions in the homogeneous phase. Dalton Trans. 2012, 41, 5526–5541. [Google Scholar] [CrossRef]
- Kendall, R.A.; Dunning, T.H., Jr.; Harrison, R.J. Electron affinities of the first-row atoms revisited. Systematic basis sets and wave functions. J. Chem. Phys. 1992, 96, 6796–6806. [Google Scholar] [CrossRef]
- Burns, L.A.; Vázquez-Mayagoitia, A.; Sumpter, B.G.; Sherrill, C.D. Density-functional approaches to noncovalent interactions: A comparison of dispersion corrections (DFT-D), exchange-hole dipole moment (XDM) theory, and specialized functionals. J. Chem. Phys. 2011, 134, 084107. [Google Scholar] [CrossRef]
- Becke, A.D. Density-functional exchange-energy approximation with correct asymptotic behavior. Phys. Rev. A 1988, 38, 3098–3100. [Google Scholar] [CrossRef]
- Perdew, J.P. Density-functional approximation for the correlation energy of the inhomogeneous electron gas. Phys. Rev. B 1986, 33, 8822–8824. [Google Scholar] [CrossRef]
- Grimme, S.; Antony, J.; Ehrlich, S.; Krieg, H. A consistent and accurate ab initio parametrization of density functional dispersion correction (DFT-D) for the 94 elements H-Pu. J. Chem. Phys. 2010, 132, 154104. [Google Scholar] [CrossRef] [PubMed]
- Van Lenthe, E.; Baerends, E.J. Optimized Slater-type basis sets for the elements 1–118. J. Comput. Chem. 2003, 24, 1142–1156. [Google Scholar] [CrossRef] [PubMed]
- Ziegler, T.; Rauk, A. CO, CS, N2, PF3, and CNCH3 as σ donors and π acceptors. A theoretical study by the Hartree-Fock-Slater Transition-State method. Inorg. Chem. 1979, 18, 1755–1759. [Google Scholar] [CrossRef]
- Velde, G.T.E.; Bickelhaupt, F.M.; Baerends, E.J.; Guerra, C.F.; van Gisbergen, S.J.A.; Snijders, J.G.; Ziegler, T. Chemistry with ADF. J. Comput. Chem. 2001, 22, 931–967. [Google Scholar] [CrossRef]
- Baerends, E.J.; Ziegler, T.; Atkins, A.J.; Autschbach, J.; Baseggio, O.; Bashford, D.; Bérces, A.; Bickelhaupt, F.M.; Bo, C.; Boerrigter, P.M.; et al. ADF2019, SCM, Theoretical Chemistry; Vrije Universiteit: Amsterdam, The Netherlands, 2019; Available online: http://www.scm.com (accessed on 22 September 2022).
- Weinhold, F.; Landis, C. Valency and Bonding, A Natural Bond Orbital Donor—Acceptor Perspective; Cambridge University Press: Cambridge, UK, 2005. [Google Scholar]
- Reed, E.; Curtiss, L.A.; Weinhold, F. Intermolecular interactions from a natural bond orbital, donor-acceptor viewpoint. Chem. Rev. 1988, 88, 899–926. [Google Scholar] [CrossRef]
- Weinhold, F.; Klein, R.A. What is a hydrogen bond? Mutually consistent theoretical and experimental criteria for characterizing H-bonding interactions. Mol. Phys. 2012, 110, 565–579. [Google Scholar] [CrossRef]
- Glendening, E.D.; Landis, C.R.; Weinhold, F. NBO 6.0: Natural bond orbital analysis program. J. Comput. Chem. 2013, 34, 1429–1437. [Google Scholar] [CrossRef]
- Wiberg, K. Application of the Pople-Santry-Segal CNDO method to the cyclopropylcarbinyl and cyclobutyl cation and to bicyclobutane. Tetrahedron 1968, 24, 1083–1096. [Google Scholar] [CrossRef]
- Bader, R.F.W. Atoms in Molecules, A Quantum Theory; Oxford University Press: Oxford, UK, 1990. [Google Scholar]
- Matta, C.; Boyd, R.J. (Eds.) Quantum Theory of Atoms in Molecules: Recent Progress in Theory and Application; Wiley-VCH: Weinheim, Germany, 2007. [Google Scholar]
- Todd, A.; Keith, T.K. AIMAll; Version 11.08.23; Gristmill Software: Overland Park, KS, USA, 2011; Available online: aim.tkgristmill.com (accessed on 22 September 2022).
- Groom, C.R.; Bruno, I.J.; Lightfoot, M.P.; Ward, S.C. The Cambridge structural database. Acta Cryst. 2016, B72, 171–179. [Google Scholar] [CrossRef]
- Wong, R.; Allen, F.H.; Willett, P. The scientific impact of the Cambridge Structural Database: A citation-based study. J. Appl. Cryst. 2010, 43, 811–824. [Google Scholar] [CrossRef]
- Bondi, J. Van der Waals volumes and Radii. J. Phys. Chem. 1964, 68, 441–451. [Google Scholar] [CrossRef]
- Kaehler, T.; Olbrich, F. CSD Communication. 2002. Available online: https://doi.org/10.5517/cc6npm4 (accessed on 22 September 2022). [CrossRef]
- Dinnebier, R.E.; Smaalen, S.V.; Olbrich, F.; Carlson, S. Effect of crystal packing on the structures of Polymeric Metallocenes. Inorg. Chem. 2005, 44, 964–968. [Google Scholar] [CrossRef] [PubMed]
- Veinot, A.J.; Todd, A.D.K.; Masuda, J.D. A bulky m-Terphenyl Cyclopentadienyl Ligand and its Alkali-metal complexes. Angew. Chem. Int. Ed. 2017, 56, 11615–11619. [Google Scholar] [CrossRef] [PubMed]
- Hehre, W.J.; Random, L.; Schleyer, P.V.R.; Pople, J.A. Ab Initio Molecular Orbital Theory; Wiley: New York, NY, USA, 1986. [Google Scholar]
- Boys, S.F.; Bernardi, F. The calculation of small molecular interactions by the differences of separate total energies. Some procedures with reduced errors. Mol. Phys. 1970, 19, 553–561. [Google Scholar] [CrossRef]
- Grabowski, S.J.; Sokalski, W.A. Are various σ-hole bonds steered by the same mechanisms? ChemPhysChem 2017, 18, 1569–1577. [Google Scholar] [CrossRef]
- Espinosa, E.; Molins, E.; Lecomte, C. Hydrogen bond strengths revealed by topological analyses of experimentally observed electron densities. Chem. Phys. Lett. 1998, 285, 170–173. [Google Scholar] [CrossRef]
- Espinosa, E.; Molins, E. Retrieving interaction potentials from the topology of the electron density distribution: The case of hydrogen bonds. J. Chem. Phys. 2000, 113, 5686–5694. [Google Scholar] [CrossRef]
- Brown, I.D. Bond valences—A simple structural model for inorganic chemistry. Chem. Soc. Rev. 1978, 7, 359–376. [Google Scholar] [CrossRef]
- Gillespie, R.J.; Popelier, P.L.A. Chemical Bonding and Molecular Geometry; Oxford University Press: Oxford, UK, 2001. [Google Scholar]
- Cremer, D.; Kraka, E. A description of the chemical bond in terms of local properties of electron density and energy. Croat. Chem. Acta 1984, 57, 1259–1281. [Google Scholar]
- Jenkins, S.; Morrison, I. The chemical character of the intermolecular bonds of seven phases of ice as revealed by ab initio calculation of electron densities. Chem. Phys. Lett. 2000, 317, 97–102. [Google Scholar] [CrossRef]
- Mayer, I. Bond order and valence indices: A personal account. J. Comput. Chem. 2007, 28, 204–221. [Google Scholar] [CrossRef] [PubMed]
- Agou, T.; Wasano, T.; Jin, P.; Nagase, S.; Tokitoh, N. Syntheses and structures of an “Alumole” and its dianion. Angew. Chem. Int. Ed. 2013, 52, 10031–10034. [Google Scholar] [CrossRef] [PubMed]
- Saito, M.; Nakada, M.; Kuwabara, T.; Minoura, M. A reversible two-electron redox system involving a divalent lead species. Chem. Commun. 2015, 51, 4674–4676. [Google Scholar] [CrossRef] [PubMed]










| System | ΔEint | ΔEPauli | ΔEelstat | ΔEorb | ΔEdisp | ΔEelstat/ΔEorb |
|---|---|---|---|---|---|---|
| Li-complexes | ||||||
| Li+∙∙∙C5H5− | −174.17 | 24.79 | −150.47 | −42.92 | −5.58 | 3.51 |
| C5H5−Li+∙∙∙C5H5− | −62.02 | 12.06 | −42.83 | −19.96 | −11.29 | 2.15 |
| Li+C5H5−Li+∙∙∙C5H5− | −152.30 | 10.48 | −112.24 | −41.16 | −9.37 | 2.73 |
| C5H5−Li+C5H5−Li+∙∙∙C5H5− | −78.05 | 14.17 | −56.09 | −25.15 | −10.98 | 2.23 |
| C5H5−Li+∙∙∙C5H5−Li+ | −23.00 | 8.57 | −12.70 | −8.26 | −10.61 | 1.54 |
| C5H5−Li+∙∙∙C5H5−Li+C5H5− | −43.49 | 11.56 | −29.53 | −14.08 | −11.45 | 2.10 |
| Li+C5H5−∙∙∙Li+ | −64.97 | 14.06 | −34.80 | −36.47 | −7.76 | 0.95 |
| Li+∙∙∙C5H5−∙∙∙Li+ | −328.26 | 33.36 | −292.19 | −54.20 | −15.22 | 5.39 |
| Na-complexes | ||||||
| Na+∙∙∙C5H5− | −144.47 | 20.48 | −137.39 | −20.78 | −6.78 | 6.61 |
| C5H5−Na +∙∙∙C5H5− | −54.88 | 11.72 | −47.55 | −10.28 | −8.78 | 4.63 |
| Na+C5H5−Na+∙∙∙C5H5− | −117.54 | 17.11 | −109.54 | −16.80 | −8.32 | 6.52 |
| C5H5−Na+C5H5−Na+∙∙∙C5H5− | −70.35 | 13.26 | −62.23 | −12.60 | −8.78 | 4.94 |
| C5H5−Na +∙∙∙C5H5−Na + | −25.67 | 6.60 | −17.74 | −6.07 | −8.46 | 2.92 |
| C5H5−Na+∙∙∙C5H5−Na+C5H5− | −42.45 | 9.25 | −34.30 | −8.51 | −8.89 | 4.03 |
| Na +C5H5−∙∙∙Na+ | −56.48 | 10.90 | −40.77 | −18.67 | −7.94 | 2.18 |
| Na+∙∙∙C5H5−∙∙∙Na+ | −270.09 | 26.93 | −261.02 | −20.37 | −15.63 | 12.81 |
| System | Li Complexes | Na Complexes | ||
|---|---|---|---|---|
| ΔEint | BSSE | ΔEint | BSSE | |
| Cat+∙∙∙Cp− | −167.5 | 0.6 | −137.7 | 0.8 |
| Cp−Cat+∙∙∙Cp− | −49.9 | 1.1 | −49.1 | 1.0 |
| Cat+Cp−Cat+∙∙∙Cp− | −132.5 | 1.2 | −110.2 | 1.0 |
| Cp−Cat+Cp−Cat+∙∙∙Cp− | −67.3 | 1.2 | −63.9 | 1.0 |
| Cat+Cp−Cat+Cp−Cat+∙∙∙Cp− | −118.8 | 1.2 | −100.2 | 1.0 |
| Cp−Cat+Cp−Cat+Cp−Cat+∙∙∙Cp− | −76.1 | 1.1 | −70.5 | 1.0 |
| Complex | C∙∙∙Li+/Na+ Distance (Up) and ρBCP (Down) | |||
|---|---|---|---|---|
| Li+C5H5− | 2.113 0.0281 | |||
| C5H5−Li+C5H5− | 2.355 0.0149 | 2.354 0.0150 | ||
| Li+C5H5−Li+C5H5− | 2.128 0.0269 | 2.510 0.0095 | 2.186 0.0233 | |
| C5H5−Li+C5H5−Li+C5H5− | 2.289 0.0178 | 2.410 0.0127 | 2.409 0.0127 | 2.289 0.0178 |
| Li+C5H5−Li+ | 2.224 0.0210 | 2.224 0.0210 | ||
| Na+C5H5− | 2.538 0.0180 | |||
| C5H5−Na +C5H5− | 2.708 0.0119 | 2.708 0.0119 | ||
| Na+C5H5−Na+C5H5− | 2.568 0.0166 | 2.822 0.0087 | 2.594 0.0157 | |
| C5H5−Na+C5H5−Na+C5H5− | 2.670 0.0131 | 2.745 0.0107 | 2.745 0.0107 | 2.670 0.0131 |
| Na +C5H5−Na+ | 2.655 0.0133 | 2.650 0.0133 | ||
Publisher’s Note: MDPI stays neutral with regard to jurisdictional claims in published maps and institutional affiliations. |
© 2022 by the authors. Licensee MDPI, Basel, Switzerland. This article is an open access article distributed under the terms and conditions of the Creative Commons Attribution (CC BY) license (https://creativecommons.org/licenses/by/4.0/).
Share and Cite
Grabowski, S.J.; Parra, R.D. Sandwich, Triple-Decker and Other Sandwich-like Complexes of Cyclopentadienyl Anions with Lithium or Sodium Cations. Molecules 2022, 27, 6269. https://doi.org/10.3390/molecules27196269
Grabowski SJ, Parra RD. Sandwich, Triple-Decker and Other Sandwich-like Complexes of Cyclopentadienyl Anions with Lithium or Sodium Cations. Molecules. 2022; 27(19):6269. https://doi.org/10.3390/molecules27196269
Chicago/Turabian StyleGrabowski, Sławomir J., and Rubén D. Parra. 2022. "Sandwich, Triple-Decker and Other Sandwich-like Complexes of Cyclopentadienyl Anions with Lithium or Sodium Cations" Molecules 27, no. 19: 6269. https://doi.org/10.3390/molecules27196269
APA StyleGrabowski, S. J., & Parra, R. D. (2022). Sandwich, Triple-Decker and Other Sandwich-like Complexes of Cyclopentadienyl Anions with Lithium or Sodium Cations. Molecules, 27(19), 6269. https://doi.org/10.3390/molecules27196269

