Magnetic Torus Microreactor as a Novel Device for Sample Treatment via Solid-Phase Microextraction Coupled to Graphite Furnace Atomic Absorption Spectroscopy: A Route for Arsenic Pre-Concentration
Abstract
1. Introduction
2. Results and Discussion
2.1. Multiphysics Simulations of Arsenic Retention on Solid Nanoparticles
2.2. Characterization of the MNPs
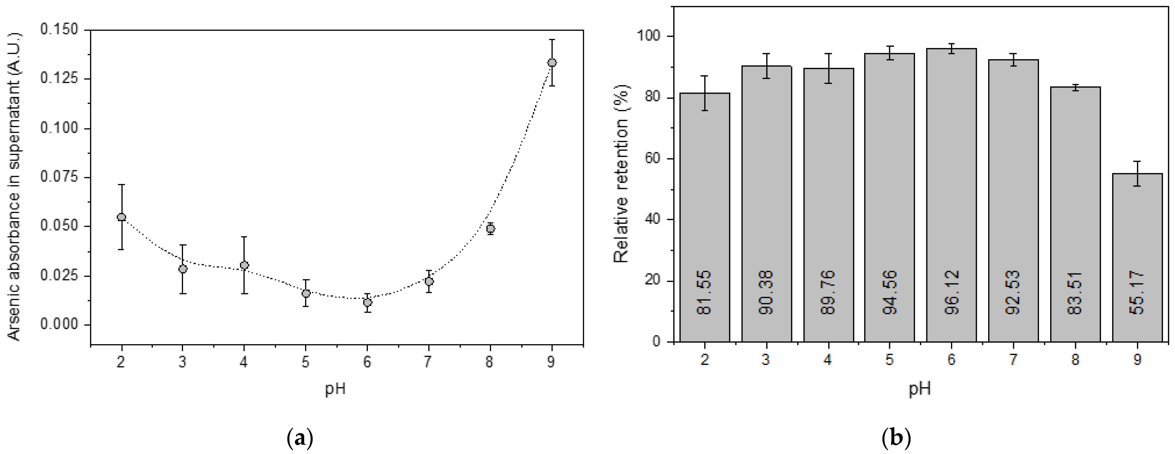
2.3. Impact of pH on Arsenic Adsorption
2.4. Desorption of Arsenic from the MNPs
2.5. µ-SPE–GF-AAS Microextraction Method
2.6. Evaluation of the Preconcentration Factor for the Measurement of Total Arsenic (TAs) by GF-AAS
3. Materials and Methods
3.1. Instrumentation
3.2. Reagents and Solutions
3.3. Synthesis of the Solid Extractant
3.4. Modeling of the Microtorus Reactor
3.5. Device Fabrication and Multiphysics Simulations
4. Conclusions
Author Contributions
Funding
Institutional Review Board Statement
Informed Consent Statement
Data Availability Statement
Acknowledgments
Conflicts of Interest
References
- Squires, T.M.; Quake, S.R. Microfluidics: Fluid physics at the nanoliter scale. Rev. Mod. Phys. 2005, 77, 977–1026. [Google Scholar] [CrossRef]
- Chiu, D.T.; deMello, A.J.; di Carlo, D.; Doyle, P.S.; Hansen, C.; Maceiczyk, R.M.; Wootton, R.C.R. Small but Perfectly Formed? Successes, Challenges, and Opportunities for Microfluidics in the Chemical and Biological Sciences. Chem 2017, 2, 201–223. [Google Scholar] [CrossRef]
- Malic, L.; Brassard, D.; Veres, T.; Tabrizian, M. Integration and detection of biochemical assays in digital microfluidic LOC devices. Lab Chip 2010, 10, 418–431. [Google Scholar] [CrossRef]
- Li, W.; Zhang, L.; Ge, X.; Xu, B.; Zhang, W.; Qu, L.; Choi, C.H.; Xu, J.; Zhang, A.; Lee, H.; et al. Microfluidic fabrication of microparticles for biomedical applications. Chem. Soc. Rev. 2018, 47, 5646–5683. [Google Scholar] [CrossRef]
- Choi, K.; Ng, A.H.C.; Fobel, R.; Wheeler, A.R. Digital microfluidics. Annu. Rev. Anal. Chem. 2012, 5, 413–440. [Google Scholar] [CrossRef]
- Liu, D.; Zhang, H.; Fontana, F.; Hirvonen, J.T.; Santos, H.A. Current developments and applications of microfluidic technology toward clinical translation of nanomedicines. Adv. Drug Deliv. Rev. 2018, 128, 54–83. [Google Scholar] [CrossRef]
- Xu, X.; Ho, W.; Zhang, X.; Bertrand, N.; Farokhzad, O. Cancer Nanomedicine: From Targeted Delivery to Combination Therapy. Trends Mol. Med. 2015, 21, 223–232. [Google Scholar] [CrossRef]
- Pol, R.; Céspedes, F.; Gabriel, D.; Baeza, M. Microfluidic lab-on-a-chip platforms for environmental monitoring. TrAC Trends Anal. Chem. 2017, 95, 62–68. [Google Scholar] [CrossRef]
- Silva-Neto, H.A.; Cardoso, T.M.G.; McMahon, C.J.; Sgobbi, L.F.; Henry, C.S.; Coltro, W.K.T. Plug-and-play assembly of paper-based colorimetric and electrochemical devices for multiplexed detection of metals. Analyst 2021, 146, 3463–3473. [Google Scholar] [CrossRef]
- Santangelo, M.F.; Shtepliuk, I.; Filippini, D.; Puglisi, D.; Vagin, M.; Yakimova, R.; Eriksson, J. Epitaxial graphene sensors combined with 3D-printed microfluidic chip for heavy metals detection. Sensors 2019, 19, 2393. [Google Scholar] [CrossRef]
- Shimizu, F.M.; Braunger, M.L.; Riul, A. Heavy metal/toxins detection using electronic tongues. Chemosensors 2019, 7, 36. [Google Scholar] [CrossRef]
- Motalebizadeh, A.; Bagheri, H.; Asiaei, S.; Fekrat, N.; Afkhami, A. New portable smartphone-based PDMS microfluidic kit for the simultaneous colorimetric detection of arsenic and mercury. RSC Adv. 2018, 8, 27091–27100. [Google Scholar] [CrossRef]
- Kudr, J.; Zitka, O.; Klimanek, M.; Vrba, R.; Adam, V. Microfluidic electrochemical devices for pollution analysis—A review. Sens. Actuators B Chem. 2017, 246, 578–590. [Google Scholar] [CrossRef]
- Shen, L.L.; Zhang, G.R.; Li, W.; Biesalski, M.; Etzold, B.J.M. Modifier-Free Microfluidic Electrochemical Sensor for Heavy-Metal Detection. ACS Omega 2017, 2, 4593–4603. [Google Scholar] [CrossRef]
- Li, M.; Gou, H.; Al-Ogaidi, I.; Wu, N. Nanostructured sensors for detection of heavy metals: A review. ACS Sustain. Chem. Eng. 2013, 1, 713–723. [Google Scholar] [CrossRef]
- Lin, C.C.; Hsu, J.L.; Lee, G.B. Sample preconcentration in microfluidic devices. Microfluid. Nanofluid. 2011, 10, 481–511. [Google Scholar] [CrossRef]
- Sonker, M.; Sahore, V.; Woolley, A.T. Recent advances in microfluidic sample preparation and separation techniques for molecular biomarker analysis: A critical review. Anal. Chim. Acta 2017, 986, 1–11. [Google Scholar] [CrossRef]
- Han, Q.; Liu, Y.; Huo, Y.; Li, D.; Yang, X. Determination of Ultra-Trace Cobalt in Water Samples Using Dispersive Liquid-Liquid Microextraction Followed by Graphite Furnace Atomic Absorption Spectrometry. Molecules 2022, 27, 2694. [Google Scholar] [CrossRef]
- Shen, Y.; Chen, B.; Zuilhof, H.; van Beek, T.A. Microfluidic Chip-Based Induced Phase Separation Extraction as a Fast and Efficient Miniaturized Sample Preparation Method. Molecules 2020, 26, 38. [Google Scholar] [CrossRef]
- Karami, M.; Yamini, Y.; Asl, Y.A. On-chip ion pair-based dispersive liquid-liquid extraction for quantitative determination of histamine H2 receptor antagonist drugs in human urine. Talanta 2020, 206, 120235. [Google Scholar] [CrossRef]
- Peñaranda, P.A.; Noguera, M.J.; Florez, S.L.; Husserl, J.; Ornelas-Soto, N.; Cruz, J.C.; Osma, J.F. Treatment of Wastewater, Phenols and Dyes Using Novel Magnetic Torus Microreactors and Laccase Immobilized on Magnetite Nanoparticles. Nanomaterials 2022, 12, 1688. [Google Scholar] [CrossRef] [PubMed]
- Thaokar, R.M. Hydrodynamic interaction between two rotating tori. Eur. Phys. J. B 2008, 61, 47–58. [Google Scholar] [CrossRef]
- Okuducu, M.B.; Aral, M.M. Novel 3-D T-shaped passive micromixer design with Helicoidal Flows. Processes 2019, 7, 637. [Google Scholar] [CrossRef]
- Pamme, N. Magnetism and microfluidics. Lab Chip 2006, 6, 24–38. [Google Scholar] [CrossRef] [PubMed]
- Ahmed, M.A.; Ali, S.M.; El-Dek, S.I.; Galal, A. Magnetite-hematite nanoparticles prepared by green methods for heavy metal ions removal from water. Mater. Sci. Eng. B Solid State Mater. Adv. Technol. 2013, 178, 744–751. [Google Scholar] [CrossRef]
- Huang, C.; Xie, W.; Li, X.; Zhang, J. Speciation of inorganic arsenic in environmental waters using magnetic solid phase extraction and preconcentration followed by ICP-MS. Microchim. Acta 2011, 173, 165–172. [Google Scholar] [CrossRef]
- Song, K.; Kim, W.; Suh, C.Y.; Shin, D.; Ko, K.S.; Ha, K. Magnetic iron oxide nanoparticles prepared by electrical wire explosion for arsenic removal. Powder Technol. 2013, 246, 572–574. [Google Scholar] [CrossRef]
- Park, H.; Myung, N.V.; Jung, H.; Choi, H. As(V) remediation using electrochemically synthesized maghemite nanoparticles. J. Nanoparticle Res. 2009, 11, 1981–1989. [Google Scholar] [CrossRef]
- Lin, S.; Lu, D.; Liu, Z. Removal of arsenic contaminants with magnetic γ-Fe2O3 nanoparticles. Chem. Eng. J. 2012, 211–212, 46–52. [Google Scholar] [CrossRef]
- López-García, I.; Marín-Hernández, J.J.; Hernández-Córdoba, M. Magnetic ferrite particles combined with electrothermal atomic absorption spectrometry for the speciation of low concentrations of arsenic. Talanta 2018, 181, 6–12. [Google Scholar] [CrossRef]
- Zhang, M.; Gao, B.; Varnoosfaderani, S.; Hebard, A.; Yao, Y.; Inyang, M. Preparation and characterization of a novel magnetic biochar for arsenic removal. Bioresour. Technol. 2013, 130, 457–462. [Google Scholar] [CrossRef] [PubMed]
- Yoon, Y.; Park, W.K.; Hwang, T.M.; Yoon, D.H.; Yang, W.S.; Kang, J.W. Comparative evaluation of magnetite-graphene oxide and magnetite-reduced graphene oxide composite for As(III) and As(V) removal. J. Hazard. Mater. 2016, 304, 196–204. [Google Scholar] [CrossRef] [PubMed]
- AlSuhaimi, A.O.; McCreedy, T. Microchip based sample treatment device interfaced with ICP-MS for the analysis of transition metals from environmental samples. Arab. J. Chem. 2011, 4, 195–203. [Google Scholar] [CrossRef]
- Mascolo, M.C.; Pei, Y.; Ring, T.A. Room Temperature Co-Precipitation Synthesis of Magnetite Nanoparticles in a Large ph Window with Different Bases. Materials 2013, 6, 5549–5567. [Google Scholar] [CrossRef]
- Dar, M.I.; Shivashankar, S.A. Single crystalline magnetite, maghemite, and hematite nanoparticles with rich coercivity. RSC Adv. 2014, 4, 4105–4113. [Google Scholar] [CrossRef]
- Dubey, V.; Kain, V. Synthesis of magnetite by coprecipitation and sintering and its characterization. Mater. Manuf. Process. 2018, 33, 835–839. [Google Scholar] [CrossRef]
- Teja, A.S.; Koh, P.Y. Synthesis, properties, and applications of magnetic iron oxide nanoparticles. Prog. Cryst. Growth Charact. Mater. 2009, 55, 22–45. [Google Scholar] [CrossRef]
- Yean, S.; Cong, L.; Yavuz, C.T.; Mayo, J.T.; Yu, W.W.; Kan, A.T.; Colvin, V.L.; Tomson, M.B. Effect of magnetite particle size on adsorption and desorption of arsenite and arsenate. J. Mater. Res. 2005, 20, 3255–3264. [Google Scholar] [CrossRef]
- Adlnasab, L.; Djafarzadeh, N.; Maghsodi, A. A new magnetic bio-sorbent for arsenate removal from the contaminated water: Characterization, isotherms, and kinetics. Environ. Health Eng. Manag. 2020, 7, 49–58. [Google Scholar] [CrossRef]
- Grijalba, A.C.; Escudero, L.B.; Wuilloud, R.G. Ionic liquid-assisted multiwalled carbon nanotube-dispersive micro-solid phase extraction for sensitive determination of inorganic As species in garlic samples by electrothermal atomic absorption spectrometry. Spectrochim. Acta Part B At. Spectrosc. 2015, 110, 118–123. [Google Scholar] [CrossRef]
- Dos Santos, Q.O.; Junior, M.M.S.; Lemos, V.A.; Ferreira, S.L.C.; de Andrade, J.B. An online preconcentration system for speciation analysis of arsenic in seawater by hydride generation flame atomic absorption spectrometry. Microchem. J. 2018, 143, 175–180. [Google Scholar] [CrossRef]
- Yao, Z.; Liu, M.; Liu, J.; Mao, X.; Na, X.; Ma, Z.; Qian, Y. Sensitivity enhancement of inorganic arsenic analysis by in situ microplasma preconcentration coupled with liquid chromatography atomic fluorescence spectrometry. J. Anal. At. Spectrom. 2020, 35, 1654–1663. [Google Scholar] [CrossRef]
- Jinadasa, K.K.; Peña-Vázquez, E.; Bermejo-Barrera, P.; Moreda-Piñeiro, A. Ionic imprinted polymer solid-phase extraction for inorganic arsenic selective pre-concentration in fishery products before high-performance liquid chromatography–inductively coupled plasma-mass spectrometry speciation. J. Chromatogr. A 2020, 1619, 460973. [Google Scholar] [CrossRef] [PubMed]
- Costa, B.E.d.S.; Coelho, N.M.M. Selective determination of As(III) and total inorganic arsenic in rice sample using in-situ μ-sorbent formation solid phase extraction and FI-HG AAS. J. Food Compos. Anal. 2021, 95, 103686. [Google Scholar] [CrossRef]
- Jalilian, R.; Shahmari, M.; Taheri, A.; Gholami, K. Ultrasonic-assisted micro solid phase extraction of arsenic on a new ion-imprinted polymer synthesized from chitosan-stabilized pickering emulsion in water, rice and vegetable samples. Ultrason. Sonochem. 2020, 61, 104802. [Google Scholar] [CrossRef]







| Step | Reagents | Volume (mL) | Flow Velocity (mL·h−1) |
|---|---|---|---|
| Charging loop | Magnetite suspension (0.6 mg·mL−1) | 10 | 15 |
| Standard load | Arsenic standard, with known concentrations | 10/20 | 30 |
| Washing | Deionized water | 3 | 30 |
| Desorption | Sodium hydroxide, 3 mol·L−1) | 0.200 | 15 |
| MNPs removal and cleaning | Hydrochloric acid 2% (v/v) | 5 | 30 |
| Regeneration of the medium | Deionized water | 3 | 30 |
| Measurement of the arsenic signal in 20 µL of the alkaline extract by GF-AAS. | |||
| Sample | Arsenic Species | Enrichment Method | Instrumentation Method | LOD (ng L−1) | RSD% | Preconc. Factor | Ref. |
|---|---|---|---|---|---|---|---|
| Garlic | Inorganic As | Ionic liquid-assisted multiwalled carbon nanotube-dispersive micro-solid phase extraction (IL-MSPE) | ETAAS | 7.1 | 4.8–5.4 | 70 | [40] |
| Seawater | Total As | SPE | HG-FAAS | 0.02–0.03 | 5.3 | - | [41] |
| Rice | Inorganic As | GPE | LC–HG–in situ DBDT–AFS | 0.05 | <2 | 11 | [42] |
| Fish | Inorganic As | Ionic imprinted polymer-solid-phase extraction (IIP-SPE) | HPLC–ICP–MS | 0.32–0.39 | 12 | 50 | [43] |
| Rice | Inorganic As | In situ quaternary ammonium salt solid-phase extraction (ISQAS- SPE) | FI–HG AAS | 0.04 | 5.5 | 17 | [44] |
| Water | As(III), As(V), MMA | Micro-solid-phase extraction (µ-SPE) | ETAAS | 0.02 | 5.4 | 98 | [30] |
| Water, vegetables and rice | As(III) | UA–μSPE on a magnetic ion-imprinted polymer | HG-AAS | 0.003 | 3.21 | 120 | [45] |
| Water | Inorganic As | MF–µMSPE | GF-AAS | 0.033 | 3–6 | 60 | This work |
| Step | Temperature (°C) | Heating Ramp (°C·s−1) | Hold Time (s) | Argon Flow Rate (L·min−1) |
|---|---|---|---|---|
| Drying 1 | 80 | 6 | 10 | 2.0 |
| Drying 2 | 110 | 3 | 5 | 2.0 |
| Pyrolysis 1 | 300 | 80 | 5 | 2.0 |
| Pyrolysis 2 a | 1100 | 350 | 5 | 2.0 |
| Gas adaptation b | 1100 | 0 | 5 | Stopped |
| Atomization | 2400 | 2400 | 4 | Stopped |
| Cleaning | 2500 | 500 | 4 | 2.0 |
| Parameter | Value | Units |
|---|---|---|
| ) | 1 | Dimensionless |
| ) | 1 | Dimensionless |
| ) | 1.05 | Dimensionless |
| 0.0067 | m/s | |
| ) | 0 | Pa |
| ) | 5180 | kg/m³ |
| ) | 45 | nm |
| ) | 5000 | Dimensionless |
| Remnant flux density (Br) | 0.35 | T |
Publisher’s Note: MDPI stays neutral with regard to jurisdictional claims in published maps and institutional affiliations. |
© 2022 by the authors. Licensee MDPI, Basel, Switzerland. This article is an open access article distributed under the terms and conditions of the Creative Commons Attribution (CC BY) license (https://creativecommons.org/licenses/by/4.0/).
Share and Cite
Ortegón, S.; Peñaranda, P.A.; Rodríguez, C.F.; Noguera, M.J.; Florez, S.L.; Cruz, J.C.; Rivas, R.E.; Osma, J.F. Magnetic Torus Microreactor as a Novel Device for Sample Treatment via Solid-Phase Microextraction Coupled to Graphite Furnace Atomic Absorption Spectroscopy: A Route for Arsenic Pre-Concentration. Molecules 2022, 27, 6198. https://doi.org/10.3390/molecules27196198
Ortegón S, Peñaranda PA, Rodríguez CF, Noguera MJ, Florez SL, Cruz JC, Rivas RE, Osma JF. Magnetic Torus Microreactor as a Novel Device for Sample Treatment via Solid-Phase Microextraction Coupled to Graphite Furnace Atomic Absorption Spectroscopy: A Route for Arsenic Pre-Concentration. Molecules. 2022; 27(19):6198. https://doi.org/10.3390/molecules27196198
Chicago/Turabian StyleOrtegón, Sofía, Paula Andrea Peñaranda, Cristian F. Rodríguez, Mabel Juliana Noguera, Sergio Leonardo Florez, Juan C. Cruz, Ricardo E. Rivas, and Johann F. Osma. 2022. "Magnetic Torus Microreactor as a Novel Device for Sample Treatment via Solid-Phase Microextraction Coupled to Graphite Furnace Atomic Absorption Spectroscopy: A Route for Arsenic Pre-Concentration" Molecules 27, no. 19: 6198. https://doi.org/10.3390/molecules27196198
APA StyleOrtegón, S., Peñaranda, P. A., Rodríguez, C. F., Noguera, M. J., Florez, S. L., Cruz, J. C., Rivas, R. E., & Osma, J. F. (2022). Magnetic Torus Microreactor as a Novel Device for Sample Treatment via Solid-Phase Microextraction Coupled to Graphite Furnace Atomic Absorption Spectroscopy: A Route for Arsenic Pre-Concentration. Molecules, 27(19), 6198. https://doi.org/10.3390/molecules27196198

