Recent Progress on NIR Fluorescent Probes for Enzymes
Abstract
:1. Introduction
2. Design Strategies of NIR Fluorescent Probes for Enzymes
3. NIR Fluorescent Probes for Hydrolases
3.1. NIR Fluorescent Probes for Carboxylesterase

3.2. NIR Fluorescent Probes for Acetylcholinesterase
3.3. NIR Fluorescent Probes for β-Galactosidase
3.4. NIR Fluorescent Probes for Phosphatase
4. NIR Fluorescent Probes for Oxidoreductases

4.1. NIR Fluorescent Probes for Monoamine Oxidases

4.2. NIR Fluorescent Probes for Nitroreductase
4.3. NIR Fluorescent Probes for NAD(P)H:Quinone Oxidoreductase 1
4.4. NIR Fluorescent Probes for Cyclooxygenase-2
4.5. NIR Fluorescent Probes for Thioredoxin Reductase
5. NIR Fluorescent Probes for Transferases

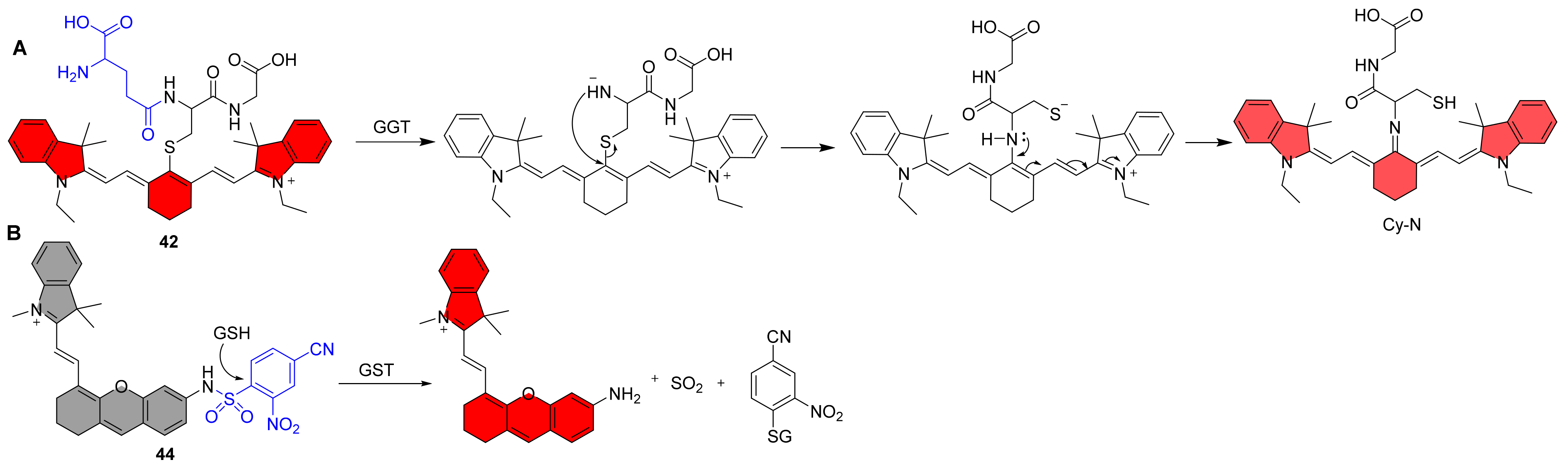
5.1. NIR Fluorescent Probes for γ-Glutamyl Transferase

5.2. NIR Fluorescent Probes for Glutathione Transferases
6. Summary and Perspective
Author Contributions
Funding
Data Availability Statement
Conflicts of Interest
References
- Page-McCaw, A.; Ewald, A.J.; Werb, Z. Matrix metalloproteinases and the regulation of tissue remodelling. Nat. Rev. Mol. Cell Biol. 2007, 8, 221–233. [Google Scholar] [CrossRef]
- Powers, S.K.; Criswell, D.; Lawler, J.; Ji, L.L.; Martin, D.; Herb, R.A.; Dudley, G. Influence of exercise and fiber type on antioxidant enzyme activity in rat skeletal muscle. Am. J. Physiol.-Regul. Integr. Comp. Physiol. 1994, 266, R375–R380. [Google Scholar] [CrossRef] [PubMed]
- Sedgwick, A.C.; Brewster, J.T.; Harvey, P.; Iovan, D.A.; Smith, G.; He, X.P.; Tian, H.; Sessler, J.L.; James, T.D. Metal-based imaging agents: Progress towards interrogating neurodegenerative disease. Chem. Soc. Rev. 2020, 49, 2886–2915. [Google Scholar] [CrossRef] [PubMed]
- Ariza, M.; Kolb, H.C.; Moechars, D.; Rombouts, F.; Andres, J.I. Tau Positron Emission Tomography (PET) Imaging: Past, Present, and Future. J. Med. Chem. 2015, 58, 4365–4382. [Google Scholar] [CrossRef]
- Fan, W.; Shi, W.; Zhang, W.; Jia, Y.; Zhou, Z.; Brusnahan, S.K.; Garrison, J.C. Cathepsin S-cleavable, multi-block HPMA copolymers for improved SPECT/CT imaging of pancreatic cancer. Biomaterials 2016, 103, 101–115. [Google Scholar] [CrossRef] [PubMed]
- Zhang, J.; Chai, X.; He, X.P.; Kim, H.J.; Yoon, J.; Tian, H. Fluorogenic probes for disease-relevant enzymes. Chem. Soc. Rev. 2019, 48, 683–722. [Google Scholar] [CrossRef]
- Li, H.; Vaughan, J.C. Switchable Fluorophores for Single-Molecule Localization Microscopy. Chem. Rev. 2018, 118, 9412–9454. [Google Scholar] [CrossRef]
- Liu, H.W.; Chen, L.; Xu, C.; Li, Z.; Zhang, H.; Zhang, X.B.; Tan, W. Recent progresses in small-molecule enzymatic fluorescent probes for cancer imaging. Chem. Soc. Rev. 2018, 47, 7140–7180. [Google Scholar] [CrossRef]
- He, L.; Dong, B.; Liu, Y.; Lin, W. Fluorescent chemosensors manipulated by dual/triple interplaying sensing mechanisms. Chem. Soc. Rev. 2016, 45, 6449–6461. [Google Scholar] [CrossRef]
- Chen, X.; Wang, F.; Hyun, J.Y.; Wei, T.; Qiang, J.; Ren, X.; Shin, I.; Yoon, J. Recent progress in the development of fluorescent, luminescent and colorimetric probes for detection of reactive oxygen and nitrogen species. Chem. Soc. Rev. 2016, 45, 2976–3016. [Google Scholar] [CrossRef]
- Jiao, X.; Li, Y.; Niu, J.; Xie, X.; Wang, X.; Tang, B. Small-Molecule Fluorescent Probes for Imaging and Detection of Reactive Oxygen, Nitrogen, and Sulfur Species in Biological Systems. Anal. Chem. 2018, 90, 533–555. [Google Scholar] [CrossRef] [PubMed]
- Hu, Y.; Kang, J.; Zhou, P.; Han, X.; Sun, J.; Liu, S.; Zhang, L.; Fang, J. A selective colorimetric and red-emitting fluorometric probe for sequential detection of Cu2+ and H2S. Sens. Actuators B Chem. 2018, 255, 3155–3162. [Google Scholar] [CrossRef]
- Zhang, B.; Ge, C.; Yao, J.; Liu, Y.; Xie, H.; Fang, J. Selective selenol fluorescent probes: Design, synthesis, structural determinants, and biological applications. J. Am. Chem. Soc. 2015, 137, 757–769. [Google Scholar] [CrossRef] [PubMed]
- Zhao, L.; Qu, Y.; Zhang, F.; Ma, D.; Gao, H.; Gan, L.; Zhang, H.; Zhang, S.; Fang, J. Baylis-Hillman Adducts as a Versatile Module for Constructing Fluorogenic Release System. J. Med. Chem. 2022, 65, 6056–6069. [Google Scholar] [CrossRef] [PubMed]
- Hu, G.; Jia, H.; Hou, Y.; Han, X.; Gan, L.; Si, J.; Cho, D.H.; Zhang, H.; Fang, J. Decrease of Protein Vicinal Dithiols in Parkinsonism Disclosed by a Monoarsenical Fluorescent Probe. Anal. Chem. 2020, 92, 4371–4378. [Google Scholar] [CrossRef] [PubMed]
- Hu, G.; Jia, H.; Zhao, L.; Cho, D.-H.; Fang, J. Small molecule fluorescent probes of protein vicinal dithiols. Chin. Chem. Lett. 2019, 30, 1704–1716. [Google Scholar] [CrossRef]
- Hu, G.; Zhang, B.; Zhou, P.; Hou, Y.; Jia, H.; Liu, Y.; Gan, L.; Zhang, H.; Mao, Y.; Fang, J. Depletion of protein thiols and the accumulation of oxidized thioredoxin in Parkinsonism disclosed by a red-emitting and environment-sensitive probe. J. Mater. Chem. B 2019, 7, 2696–2702. [Google Scholar] [CrossRef]
- Hu, G.; Zhong, M.; Zhao, J.; Gao, H.; Gan, L.; Zhang, H.; Zhang, S.; Fang, J. Fluorescent Probes for Imaging Protein Disulfides in Live Organisms. ACS Sens. 2021, 6, 1384–1391. [Google Scholar] [CrossRef]
- Jia, H.; Hu, G.; Shi, D.; Gan, L.; Zhang, H.; Yao, X.; Fang, J. Fluorophore-Dependent Cleavage of Disulfide Bond Leading to a Highly Selective Fluorescent Probe of Thioredoxin. Anal. Chem. 2019, 91, 8524–8531. [Google Scholar] [CrossRef]
- Wang, S.; Huang, Y.; Guan, X. Fluorescent Probes for Live Cell Thiol Detection. Molecules 2021, 26, 3575. [Google Scholar] [CrossRef]
- Song, Z.L.; Zhao, L.; Ma, T.; Osama, A.; Shen, T.; He, Y.; Fang, J. Progress and perspective on hydrogen sulfide donors and their biomedical applications. Med. Res. Rev. 2022, 42, 1930–1977. [Google Scholar] [CrossRef] [PubMed]
- Zhang, L.; Peng, S.; Sun, J.; Yao, J.; Kang, J.; Hu, Y.; Fang, J. A specific fluorescent probe reveals compromised activity of methionine sulfoxide reductases in Parkinson’s disease. Chem. Sci. 2017, 8, 2966. [Google Scholar] [CrossRef] [PubMed]
- Meng, X.; Pang, X.; Zhang, K.; Gong, C.; Yang, J.; Dong, H.; Zhang, X. Recent Advances in Near-Infrared-II Fluorescence Imaging for Deep-Tissue Molecular Analysis and Cancer Diagnosis. Small 2022, 18, e2202035. [Google Scholar] [CrossRef] [PubMed]
- Kaibori, M.; Kosaka, H.; Matsui, K.; Ishizaki, M.; Matsushima, H.; Tsuda, T.; Hishikawa, H.; Okumura, T.; Sekimoto, M. Near-Infrared Fluorescence Imaging and Photodynamic Therapy for Liver Tumors. Front. Oncol 2021, 11, 638327. [Google Scholar] [CrossRef]
- Li, S.; Cheng, D.; He, L.; Yuan, L. Recent Progresses in NIR-I/II Fluorescence Imaging for Surgical Navigation. Front. Bioeng. Biotechnol. 2021, 9, 768698. [Google Scholar] [CrossRef]
- Li, H.; Kim, D.; Yao, Q.; Ge, H.; Chung, J.; Fan, J.; Wang, J.; Peng, X.; Yoon, J. Activity-Based NIR Enzyme Fluorescent Probes for the Diagnosis of Tumors and Image-Guided Surgery. Angew. Chem. Int. Ed. Engl. 2021, 60, 17268–17289. [Google Scholar] [CrossRef]
- Gong, L.; Shan, X.; Zhao, X.H.; Tang, L.; Zhang, X.B. Activatable NIR-II Fluorescent Probes Applied in Biomedicine: Progress and Perspectives. ChemMedChem 2021, 16, 2426–2440. [Google Scholar] [CrossRef]
- Chen, C.; Tian, R.; Zeng, Y.; Chu, C.; Liu, G. Activatable Fluorescence Probes for “Turn-On” and Ratiometric Biosensing and Bioimaging: From NIR-I to NIR-II. Bioconjug. Chem. 2020, 31, 276–292. [Google Scholar] [CrossRef]
- Li, H.; Kim, H.; Xu, F.; Han, J.; Yao, Q.; Wang, J.; Pu, K.; Peng, X.; Yoon, J. Activity-based NIR fluorescent probes based on the versatile hemicyanine scaffold: Design strategy, biomedical applications, and outlook. Chem. Soc. Rev. 2022, 51, 1795. [Google Scholar] [CrossRef]
- Choi, N.E.; Lee, J.Y.; Park, E.C.; Lee, J.H.; Lee, J. Recent Advances in Organelle-Targeted Fluorescent Probes. Molecules 2021, 26, 217. [Google Scholar] [CrossRef]
- Sascha, G.K.; Kamiya, M.; Urano, Y. Recent Progress in Small Spirocyclic, Xanthene-Based Fluorescent Probes. Molecules 2020, 25, 5964. [Google Scholar]
- Sun, W.; Zhao, X.; Fan, J.; Du, J.; Peng, X. Boron Dipyrromethene Nano-Photosensitizers for Anticancer Phototherapies. Small 2019, 15, e1804927. [Google Scholar] [CrossRef] [PubMed]
- Zhou, H.J.; Ren, T.B. Recent Progress of Cyanine Fluorophores for NIR-II Sensing and Imaging. Chem. Asian J. 2022, 17, e202200147. [Google Scholar] [CrossRef]
- Wu, X.; Shao, A.; Zhu, S.; Guo, Z.; Zhu, W. A novel colorimetric and ratiometric NIR fluorescent sensor for glutathione based on dicyanomethylene-4H-pyran in living cells. Sci. China Chem. 2015, 59, 62–69. [Google Scholar] [CrossRef]
- Li, M.; Xia, J.; Tian, R.; Wang, J.; Fan, J.; Du, J.; Long, S.; Song, X.; Foley, J.W.; Peng, X. Near-Infrared Light-Initiated Molecular Superoxide Radical Generator: Rejuvenating Photodynamic Therapy against Hypoxic Tumors. J. Am. Chem. Soc. 2018, 140, 14851–14859. [Google Scholar] [CrossRef]
- Sun, W.; Li, M.; Fan, J.; Peng, X. Activity-Based Sensing and Theranostic Probes Based on Photoinduced Electron Transfer. Acc. Chem. Res. 2019, 52, 2818–2831. [Google Scholar] [CrossRef]
- Algar, W.R.; Hildebrandt, N.; Vogel, S.S.; Medintz, I.L. FRET as a biomolecular research tool—Understanding its potential while avoiding pitfalls. Nat. Methods 2019, 16, 815–829. [Google Scholar] [CrossRef] [PubMed]
- Jin, Q.; Feng, L.; Wang, D.D.; Wu, J.J.; Hou, J.; Dai, Z.R.; Sun, S.G.; Wang, J.Y.; Ge, G.B.; Cui, J.N.; et al. A highly selective near-infrared fluorescent probe for carboxylesterase 2 and its bioimaging applications in living cells and animals. Biosens. Bioelectron. 2016, 83, 193–199. [Google Scholar] [CrossRef]
- Zhang, X.Y.; Liu, T.T.; Liang, J.H.; Tian, X.G.; Zhang, B.J.; Huang, H.L.; Ma, X.C.; Feng, L.; Sun, C.P. A highly selective near infrared fluorescent probe for carboxylesterase 2 and its biological applications. J. Mater. Chem. B 2021, 9, 2457–2461. [Google Scholar] [CrossRef]
- Zhang, J.; Peng, Y.; Li, Y.; Wang, N.; Chai, Y.; Qin, C.; Wang, X.; Liu, S.; Zhou, Y.; Zhang, X.; et al. Development of a near-infrared fluorescent probe with large Stokes shift for carboxylesterases detection and its application in living systems. Dye. Pigment. 2022, 198, 109993. [Google Scholar] [CrossRef]
- Arvanitakis, Z.; Shah, R.C.; Bennett, D.A. Diagnosis and Management of Dementia: Review. JAMA 2019, 322, 1589–1599. [Google Scholar] [CrossRef] [PubMed]
- Ma, J.; Si, T.; Yan, C.; Li, Y.; Li, Q.; Lu, X.; Guo, Y. Near-Infrared Fluorescence Probe for Evaluating Acetylcholinesterase Activity in PC12 Cells and In Situ Tracing AChE Distribution in Zebrafish. ACS Sens. 2020, 5, 83. [Google Scholar] [CrossRef] [PubMed]
- He, N.; Yu, L.; Xu, M.; Huang, Y.; Wang, X.; Chen, L.; Yue, S. Near-infrared fluorescent probe for evaluating the acetylcholinesterase effect in the aging process and dietary restriction via fluorescence imaging. J. Mater. Chem. B 2021, 9, 2623–2630. [Google Scholar] [CrossRef] [PubMed]
- Fortibui, M.M.; Jang, M.; Lee, S.; Ryoo, I.J.; Ahn, J.S.; Ko, S.K.; Kim, J. Near-Infrared Fluorescence Probe for Specific Detection of Acetylcholinesterase and Imaging in Live Cells and Zebrafish. ACS Appl. Bio Mater. 2022, 5, 2232. [Google Scholar] [CrossRef] [PubMed]
- Tung, C.-H.; Zeng, Q.; Shah, K.; Kim, D.-E.; Schellingerhout, D.; Weissleder, R. In vivo imaging of β-galactosidase activity using far red fluorescent switch. Cancer Res. 2004, 64, 1579. [Google Scholar] [CrossRef]
- Zhen, X.; Zhang, J.; Huang, J.; Xie, C.; Miao, Q.; Pu, K. Macrotheranostic Probe with Disease-Activated Near-Infrared Fluorescence, Photoacoustic, and Photothermal Signals for Imaging-Guided Therapy. Angew. Chem. Int. Ed. Engl 2018, 57, 7804–7808. [Google Scholar] [CrossRef]
- Shi, L.; Yan, C.; Ma, Y.; Wang, T.; Guo, Z.; Zhu, W.H. In vivo ratiometric tracking of endogenous beta-galactosidase activity using an activatable near-infrared fluorescent probe. Chem. Commun. 2019, 55, 12308. [Google Scholar] [CrossRef]
- Zhang, X.; Chen, X.; Zhang, Y.; Liu, K.; Shen, H.; Zheng, E.; Huang, X.; Hou, S.; Ma, X. A near-infrared fluorescent probe for the ratiometric detection and living cell imaging of beta-galactosidase. Anal. Bioanal. Chem. 2019, 411, 7957. [Google Scholar] [CrossRef]
- Liu, J.; Ma, X.; Cui, C.; Wang, Y.; Deenik, P.R.; Cui, L.J.B. A self-immobilizing NIR probe for non-invasive imaging of senescence. BioRxiv 2020. [Google Scholar] [CrossRef]
- Li, X.; Pan, Y.; Chen, H.; Duan, Y.; Zhou, S.; Wu, W.; Wang, S.; Liu, B. Specific Near-Infrared Probe for Ultrafast Imaging of Lysosomal beta-Galactosidase in Ovarian Cancer Cells. Anal. Chem. 2020, 92, 5772. [Google Scholar] [CrossRef]
- Li, Y.; Liu, F.; Zhu, D.; Zhu, T.; Zhang, Y.; Li, Y.; Luo, J.; Kong, L. A new near-infrared excitation/emission fluorescent probe for the detection of beta-galactosidase in living cells and in vivo. Talanta 2022, 237, 122952. [Google Scholar] [CrossRef] [PubMed]
- Liu, H.W.; Hu, X.X.; Zhu, L.; Li, K.; Rong, Q.; Yuan, L.; Zhang, X.B.; Tan, W. In vivo imaging of alkaline phosphatase in tumor-bearing mouse model by a promising near-infrared fluorescent probe. Talanta 2017, 175, 421–426. [Google Scholar] [CrossRef]
- Li, S.J.; Li, C.Y.; Li, Y.F.; Fei, J.; Wu, P.; Yang, B.; Ou-Yang, J.; Nie, S.X. Facile and Sensitive Near-Infrared Fluorescence Probe for the Detection of Endogenous Alkalin.ne Phosphatase Activity In Vivo. Anal. Chem. 2017, 89, 6854–6860. [Google Scholar] [CrossRef]
- Yan, R.; Hu, Y.; Liu, F.; Wei, S.; Fang, D.; Shuhendler, A.J.; Liu, H.; Chen, H.Y.; Ye, D. Activatable NIR Fluorescence/MRI Bimodal Probes for in Vivo Imaging by Enzyme-Mediated Fluorogenic Reaction and Self-Assembly. J. Am. Chem. Soc. 2019, 141, 10331–10341. [Google Scholar] [CrossRef]
- Zhang, X.; Chen, X.; Liu, K.; Zhang, Y.; Gao, G.; Huang, X.; Hou, S. Near-infrared ratiometric probe with a self-immolative spacer for rapid and sensitive detection of alkaline phosphatase activity and imaging in vivo. Anal. Chim. Acta 2020, 1094, 113–121. [Google Scholar] [CrossRef]
- Wang, L.; Chen, S.; Ma, X.; Wu, Y.; Tang, Y.; Hou, S. Fast and sensitive near-infrared ratiometric fluorescent probe with a self-immolative spacer for imaging of endogenous alkaline phosphatase activity in cells and in vivo. Talanta 2022, 249, 123658. [Google Scholar] [CrossRef]
- Feng, Y.-A.; Xu, H.; Zhou, Y.; Wang, B.-J.; Xiao, J.; Wang, Y.-W.; Peng, Y. Ratiometric detection and bioimaging of endogenous alkaline phosphatase by a NIR fluorescence probe. Sens. Actuators B Chem. 2022, 358, 131505. [Google Scholar] [CrossRef]
- Her, L.; Zhu, H.J. Carboxylesterase 1 and Precision Pharmacotherapy: Pharmacogenetics and Nongenetic Regulators. Drug Metab. Dispos. 2020, 48, 230–244. [Google Scholar] [CrossRef] [PubMed]
- Lan, L.; Ren, X.; Yang, J.; Liu, D.; Zhang, C. Detection techniques of carboxylesterase activity: An update review. Bioorg. Chem. 2020, 94, 103388. [Google Scholar] [CrossRef] [PubMed]
- Dong, J.; Gao, J.; Wang, Y. A new near-infrared fluorescence indicator derived from chloro-substituted dicyanoisophorone for detecting carboxylesterases (CEs) in. living cells and in vivo. Dye. Pigment. 2022, 205, 110549. [Google Scholar] [CrossRef]
- Marucci, G.; Buccioni, M.; Ben, D.D.; Lambertucci, C.; Volpini, R.; Amenta, F. Efficacy of acetylcholinesterase inhibitors in Alzheimer’s disease. Neuropharmacology 2021, 190, 108352. [Google Scholar] [CrossRef] [PubMed]
- Coleman, J.E.J.A. Structure and mechanism of alkaline phosphatase. Annu. Rev. Biophys. Biomol. Struct. 1992, 21, 441. [Google Scholar] [CrossRef] [PubMed]
- Berry, C.E.; Hare, J.M. Xanthine oxidoreductase and cardiovascular disease: Molecular mechanisms and pathophysiological implications. J. Physiol. 2004, 555, 589–606. [Google Scholar] [CrossRef] [PubMed]
- Martinez, A.T.; Ruiz-Duenas, F.J.; Camarero, S.; Serrano, A.; Linde, D.; Lund, H.; Vind, J.; Tovborg, M.; Herold-Majumdar, O.M.; Hofrichter, M.; et al. Oxidoreductases on their way to industrial biotransformations. Biotechnol. Adv. 2017, 35, 815–831. [Google Scholar] [CrossRef] [PubMed]
- Li, L.L.; Li, K.; Liu, Y.H.; Xu, H.R.; Yu, X.Q. Red emission fluorescent probes for visualization of monoamine oxidase in living cells. Sci. Rep. 2016, 6, 31217. [Google Scholar] [CrossRef] [PubMed]
- Wang, R.; Han, X.; You, J.; Yu, F.; Chen, L. Ratiometric Near-Infrared Fluorescent Probe for Synergistic Detection of Monoamine Oxidase B and Its Contribution to Oxidative Stress in Cell and Mice Aging Models. Anal. Chem. 2018, 90, 4054–4061. [Google Scholar] [CrossRef]
- Yang, Z.M.; Mo, Q.Y.; He, J.M.; Mo, D.L.; Li, J.; Chen, H.; Zhao, S.L.; Qin, J.K. Mitochondrial-Targeted and Near-Infrared Fluorescence Probe for Bioimaging and Evaluating Monoamine Oxidase A Activity in Hepatic Fibrosis. ACS Sens. 2020, 5, 943–951. [Google Scholar] [CrossRef]
- Shang, J.; Shi, W.; Li, X.; Ma, H. Water-Soluble Near-Infrared Fluorescent Probes for Specific Detection of Monoamine Oxidase A in Living Biosystems. Anal. Chem. 2021, 93, 4285–4290. [Google Scholar] [CrossRef]
- Li, X.; Shi, D.; Song, Y.; Xu, Y.; Gao, Y.; Qiu, W.; Chen, X.; Li, X.; Huang, Y.; Feng, Y.; et al. Specific tracking of monoamine oxidase A in heart failure models by a far-red fluorescent probe with an ultra large Stokes shift. Chin. Chem. Lett. 2022, 33, 1572–1576. [Google Scholar] [CrossRef]
- Shi, Y.; Zhang, S.; Zhang, X. A novel near-infrared fluorescent probe for selectively sensing nitroreductase (NTR) in an aqueous medium. Analyst 2013, 138, 1952–1955. [Google Scholar] [CrossRef]
- Xu, S.; Wang, Q.; Zhang, Q.; Zhang, L.; Zuo, L.; Jiang, J.D.; Hu, H.Y. Real time detection of ESKAPE pathogens by a nitroreductase-triggered fluorescence turn-on probe. Chem. Commun. 2017, 53, 11177–11180. [Google Scholar] [CrossRef] [PubMed] [Green Version]
- Liu, Y.; Teng, L.; Chen, L.; Ma, H.; Liu, H.W.; Zhang, X.B. Engineering of a near-infrared fluorescent probe for real-time simultaneous visualization of intracellular hypoxia and induced mitophagy. Chem. Sci. 2018, 9, 5347–5353. [Google Scholar] [CrossRef]
- Ouyang, J.; Sun, L.; Zeng, Z.; Zeng, C.; Zeng, F.; Wu, S. Nanoaggregate Probe for Breast Cancer Metastasis through Multispectral Optoacoustic Tomography and Aggregation-Induced NIR-I/II Fluorescence Imaging. Angew. Chem. Int. Ed. Engl 2020, 59, 10111. [Google Scholar] [CrossRef] [PubMed]
- Zhao, X.; Long, S.; Li, M.; Cao, J.; Li, Y.; Guo, L.; Sun, W.; Du, J.; Fan, J.; Peng, X. Oxygen-Dependent Regulation of Excited-State Deactivation Process of Rational Photosensitizer for Smart Phototherapy. J. Am. Chem. Soc. 2020, 142, 1510–1517. [Google Scholar] [CrossRef]
- Li, M.; Gebremedhin, K.H.; Ma, D.; Pu, Z.; Xiong, T.; Xu, Y.; Kim, J.S.; Peng, X. Conditionally Activatable Photoredox Catalysis in Living Systems. J. Am. Chem. Soc. 2022, 144, 163–173. [Google Scholar] [CrossRef]
- Zhu, N.; Xu, G.; Wang, R.; Zhu, T.; Tan, J.; Gu, X.; Zhao, C. Precise imaging of mitochondria in cancer cells by real-time monitoring of nitroreductase activity with a targetable and activatable fluorescent probe. Chem. Commun. 2020, 56, 7761–7764. [Google Scholar] [CrossRef] [PubMed]
- Karan, S.; Cho, M.Y.; Lee, H.; Lee, H.; Park, H.S.; Sundararajan, M.; Sessler, J.L.; Hong, K.S. Near-Infrared Fluorescent Probe Activated by Nitroreductase for In Vitro and In Vivo Hypoxic Tumor Detection. J. Med. Chem. 2021, 64, 2971–2981. [Google Scholar] [CrossRef] [PubMed]
- Shen, Z.; Prasai, B.; Nakamura, Y.; Kobayashi, H.; Jackson, M.S.; McCarley, R.L. A Near-Infrared, Wavelength-Shiftable, Turn-on Fluorescent Probe for the Detection and Imaging of Cancer Tumor Cells. ACS Chem. Biol. 2017, 12, 1121–1132. [Google Scholar] [CrossRef]
- Yang, Y.J.; Dai, M.; Reo, Y.J.; Song, C.W.; Sarkar, S.; Ahn, K.H. NAD(P)H Quinone Oxidoreductase-1 in Organ and Tumor Tissues: Distinct Activity Levels Observed with a Benzo-rosol-Based Dual-Excitation and Dual-Emission Probe. Anal. Chem. 2021, 93, 7523–7531. [Google Scholar] [CrossRef]
- Dai, M.; Song, C.W.; Yang, Y.J.; Kim, H.R.; Reo, Y.J.; Ahn, K.H. Toward Ratiometric Detection of NAD(P)H Quinone Oxidoreductase-1: Benzocoumarin-Based Fluorescent Probes. Sens. Actuators B Chem. 2021, 330, 129277. [Google Scholar] [CrossRef]
- Zhang, Y.; Chen, X.; Yuan, Q.; Bian, Y.; Li, M.; Su, D.; Gao, X. A high-performance enzyme-activated near-infrared probe for the sensing and tracking of tumor-related NQO1 in cells and in vivo. Sens. Actuators B Chem. 2022, 354, 131129. [Google Scholar] [CrossRef]
- Wang, B.; Fan, J.; Wang, X.; Zhu, H.; Wang, J.; Mu, H.; Peng, X. A Nile blue based infrared fluorescent probe: Imaging tumors that over-express cyclooxygenase-2. Chem. Commun. 2015, 51, 792–795. [Google Scholar] [CrossRef]
- Wang, Y.; Wei, Y.; He, N.; Zhang, L.; You, J.; Chen, L.; Lv, C. Evaluation of cyclooxygenase-2 fluctuation via a near-infrared fluorescent probe in idiopathic pulmonary fibrosis cell and mice models. J. Mater. Chem. B 2021, 9, 6226–6233. [Google Scholar] [CrossRef]
- Ma, H.; Zhang, J.; Zhang, Z.; Liu, Y.; Fang, J. A fast response and red emission probe for mammalian thioredoxin reductase. Chem. Commun. 2016, 52, 12060–12063. [Google Scholar] [CrossRef] [PubMed]
- Deshwal, S.; Di Sante, M.; Di Lisa, F.; Kaludercic, N. Emerging role of monoamine oxidase as a therapeutic target for cardiovascular disease. Curr. Opin. Pharmacol. 2017, 33, 64–69. [Google Scholar] [CrossRef] [PubMed]
- Youdim, M.B.; Edmondson, D.; Tipton, K.F. The therapeutic potential of monoamine oxidase inhibitors. Nat. Rev. Neurosci. 2006, 7, 295–309. [Google Scholar] [CrossRef] [PubMed]
- Akiva, E.; Copp, J.N.; Tokuriki, N.; Babbitt, P.C. Evolutionary and molecular foundations of multiple contemporary functions of the nitroreductase superfamily. Proc. Natl. Acad. Sci. USA 2017, 114, E9549–E9558. [Google Scholar] [CrossRef]
- Wilson, W.R.; Hay, M.P. Targeting hypoxia in cancer therapy. Nat. Rev. Cancer 2011, 11, 393–410. [Google Scholar] [CrossRef]
- Sharma, A.; Arambula, J.F.; Koo, S.; Kumar, R.; Singh, H.; Sessler, J.L.; Kim, J.S. Hypoxia-targeted drug delivery. Chem. Soc. Rev. 2019, 48, 771–813. [Google Scholar] [CrossRef]
- Pey, A.L.; Megarity, C.F.; Timson, D.J. NAD(P)H quinone oxidoreductase (NQO1): An enzyme which needs just enough mobility, in just the right places. Biosci. Rep. 2019, 39, BSR20180459. [Google Scholar] [CrossRef]
- Taketo, M.M.J.J. Cyclooxygenase-2 inhibitors in tumorigenesis (part I). J. Natl. Cancer Inst. 1998, 90, 1529. [Google Scholar] [CrossRef] [Green Version]
- Gromer, S.; Urig, S.; Becker, K. The thioredoxin system--from science to clinic. Med. Res. Rev. 2004, 24, 40–89. [Google Scholar] [CrossRef] [PubMed]
- Zhang, J.; Zhang, B.; Li, X.; Han, X.; Liu, R.; Fang, J. Small molecule inhibitors of mammalian thioredoxin reductase as potential anticancer agents: An update. Med. Res. Rev. 2019, 39, 5–39. [Google Scholar] [CrossRef] [PubMed]
- Song, Z.L.; Zhang, J.; Xu, Q.; Shi, D.; Yao, X.; Fang, J. Structural Modification of Aminophenylarsenoxides Generates Candidates for Leukemia Treatment via Thioredoxin Reductase Inhibition. J. Med. Chem. 2021, 64, 16132–16146. [Google Scholar] [CrossRef] [PubMed]
- Zhang, L.; Duan, D.; Liu, Y.; Ge, C.; Cui, X.; Sun, J.; Fang, J. Highly Selective Off–On Fluorescent Probe for Imaging Thioredoxin Reductase in Living Cells. J. Am. Chem. Soc. 2014, 136, 226–233. [Google Scholar] [CrossRef]
- Liu, Y.; Ma, H.; Zhang, L.; Cui, Y.; Liu, X.; Fang, J. A small molecule probe reveals declined mitochondrial thioredoxin reductase activity in a Parkinson’s disease model. Chem. Commun. 2016, 52, 2296. [Google Scholar] [CrossRef]
- Zhao, J.; Qu, Y.; Gao, H.; Zhong, M.; Li, X.; Zhang, F.; Chen, Y.; Gan, L.; Hu, G.; Zhang, H.; et al. Loss of thioredoxin reductase function in a mouse stroke model disclosed by a two-photon fluorescent probe. Chem. Commun. 2020, 56, 14075–14078. [Google Scholar] [CrossRef]
- Li, X.; Zhang, B.; Yan, C.; Li, J.; Wang, S.; Wei, X.; Jiang, X.; Zhou, P.; Fang, J. A fast and specific fluorescent probe for thioredoxin reductase that works via disulphide bond cleavage. Nat. Commun. 2019, 10, 2745. [Google Scholar] [CrossRef]
- Iwatate, R.J.; Kamiya, M.; Umezawa, K.; Kashima, H.; Nakadate, M.; Kojima, R.; Urano, Y. Silicon Rhodamine-Based Near-Infrared Fluorescent Probe for gamma-Glutamyltransferase. Bioconjug. Chem. 2018, 29, 241. [Google Scholar] [CrossRef]
- Ou-Yang, J.; Li, Y.; Jiang, W.L.; He, S.Y.; Liu, H.W.; Li, C.Y. Fluorescence-Guided Cancer Diagnosis and Surgery by a Zero Cross-Talk Ratiometric Near-Infrared gamma-Glutamyltranspeptidase Fluorescent Probe. Anal. Chem. 2019, 91, 1056. [Google Scholar] [CrossRef]
- Liu, F.; Zhu, D.; Li, Y.; Kong, M.; Li, Y.; Luo, J.; Kong, L. A multifunctional near-infrared fluorescent probe for in vitro and in vivo imaging of γ-glutamyltranspeptidase and photodynamic cancer therapy. Sens. Actuators B Chem. 2022, 363, 131838. [Google Scholar] [CrossRef]
- Song, A.; Shen, X.; Feng, T.; Gai, S.; Wei, H.; Li, X.; Chen, H. Optimized Fluorescent Probe for Specific Imaging of Glutathione S-Transferases in Living Cells and Mice. Chem. Asian J. 2020, 15, 1464–1468. [Google Scholar] [CrossRef] [PubMed]
- Bachhawat, A.K.; Yadav, S. The glutathione cycle: Glutathione metabolism beyond the gamma-glutamyl cycle. IUBMB Life 2018, 70, 585. [Google Scholar] [CrossRef] [PubMed]
- Allocati, N.; Masulli, M.; Di Ilio, C.; Federici, L. Glutathione transferases: Substrates, inihibitors and pro-drugs in cancer and neurodegenerative diseases. Oncogenesis 2018, 7, 8. [Google Scholar] [CrossRef] [PubMed]
- Di Pietro, G.; Magno, L.A.V.; Rios-Santos, F.J.E. Glutathione S-transferases: An overview in cancer research. Expert Opin. Drug Metab. Toxicol. 2010, 6, 153–170. [Google Scholar] [CrossRef]

| Probe Number | Original Name | Trigger | Solvent a | Signal Transduction Mode | Excitation, Maximal Emission (nm) | LOD b | Km c | Localized Organelles | Application | Ref. |
|---|---|---|---|---|---|---|---|---|---|---|
| 1 | DDAB | CE | PBS | “turn-on” | F646Ex, 662Em | 0.07 ug/mL | 1.927 ± 0.31 uM | n.a. | Live cells and mice | [38] |
| 2 | DSAB | CE | PBS | “turn-on” | F630Ex, 678Em | 0.03 ug/mL | 6.55 ± 0.49 uM | n.a. | Live cells and high-throughput screening | [39] |
| 3 | CE-1 | CE | PBS/DMSO = 4:1, v/v | “turn-on” | F535Ex, 665Em | 2.76 × 10−3 U/mL | n.a. | n.a. | Live cells and mice | [40] |
| 4 | ZM-1 | CE | PBS | “turn-on” | F495Ex, 665Em | 0.287 × 10−3 U/mL | 5.4 uM | n.a. | Live cells and mice | [41] |
| 5 | CyN | AChE | PBS | “turn-on” | F670Ex, 700Em | 0.1173 U/mL | 25.36 uM | n.a. | Live cells and Zebrafish | [42] |
| 6 | BD-AChE | AChE | HEPES | “turn-on” | F710Ex, 740Em | 0.21 U/mL | 85 uM | n.a. | Live cells and mice aging models | [43] |
| 7 | EW3 | AChE | PBS | “turn-on” | F560Ex, 690Em | 0.17 U/mL | n.a. | n.a. | Live cells and Zebrafish | [44] |
| 8 | DDAOG | β-gal | PBS | “turn-on” | F636Ex, 659Em | n.a. | n.a. | n.a. | Live cells and mice | [45] |
| 9 | CyGal-P | β-gal | HEPES | “turn-on” | F675Ex, 720Em | n.a. | 48.3 uM | n.a. | Live cells and photothermal therapy in mice | [46] |
| 10 | BODIPY-βgal | β-gal | PBS/DMSO = 1:1, v/v | ratiometric | F560Ex, 575Em/F660Ex, 730Em | 4.6 U/L | n.a. | n.a. | Live cells and mice | [47] |
| 11 | TMG | β-gal | PBS | ratiometric | F410Ex, 580Em/F445Ex, 660Em | 0.86 U/L | 24.04 uM | n.a. | Live cells | [48] |
| 12 | NIR-BG2 | β-gal | PBS | “turn-on” | F596Ex, 709Em | n.a. | 9.3 uM | n.a. | Live cells and mice | [49] |
| 13 | Lyso-Gal | β-gal | PBS/DMSO = 4:1, v/v | “turn-on” | F690Ex, ~720Em | 22 U/L | n.a. | lysosome | Live cells | [50] |
| 14 | DMC-βgal | β-gal | PBS/DMSO = 7:3, v/v | “turn-on” | F725Ex, 770Em | 0.298 U/L | n.a. | n.a. | Live cells and mice | [51] |
| 15 | NALP | ALP | Tris-HCl/DMSO = 19:1, v/v, | “turn-on” | F680Ex, 706Em | 0.28 U/L | 52.45 uM | n.a. | Live cells and mice | [52] |
| 16 | CyP | ALP | Tris-HCl | “turn-on” | F690Ex, 738Em | 3 U/L | 9.32 uM | n.a. | Live cells and mice | [53] |
| 17 | PCyFF-Gd | ALP | Tris | “turn-on” | F680Ex, 710Em | 0.017 U/L | 13.14 uM | n.a. | Fluorescence/MRI bimodal imaging in mice | [54] |
| 18 | APT | ALP | Tris-HCl | ratiometric | F410Ex, 580Em/F445Ex, 650Em | 0.89 U/L | 1.64 uM | n.a. | Live cells and Zebrafish | [55] |
| 19 | HP | ALP | Tris-HCl | ratiometric | F398Ex, 556Em/F423Ex, 689Em | 3.98 U/L | 2.93 uM | n.a. | Live cells and Zebrafish | [56] |
| 20 | SWJT-3 | ALP | PBS/DMSO = 4:1, v/v | ratiometric | F405Ex, 590Em/F405Ex, 670Em | 0.87 U/L | 8.89 uM | n.a. | Live cells and mice | [57] |
| Probe Number | Original Name | Trigger | Solventt a | Signal Transduction Mode | Excitation, Maximal Emission (nm) | LOD b | Km c | Localized Organelles | Application | Ref. |
|---|---|---|---|---|---|---|---|---|---|---|
| 21 | MAORed-1 | MAO | HEPES | ratiometric | F437Ex, 550Em/F437Ex, 664Em | 1.2 ug/mL | 270 uM for MAO-B | n.a. | Live cells | [65] |
| 22 | MitoCy-NH2 | MAO-B | HEPES | ratiometric | F730Ex, 803Em/F650Ex, 750Em | n.a. | 10.13 ± 0.28 uM | n.a. | Live cells and mice aging models | [66] |
| 23 | DHMP2 | MAO-A | PBS/DMSO = 19:1, v/v | “turn-on” | F680Ex, 710Em | 13.0 ng/mL | 9.4 uM | mitochondria | Live cells, zebrafish and tumor-bearing mice | [67] |
| 24 | Rma-1 | MAO-A | PBS | “turn-on” | F680Ex, 708Em | 4.5 ng/mL | 30.3 ± 3.8 uM | n.a. | Live cells, zebrafish and mice | [68] |
| 25 | KXS-M2 | MAO-A | PBS/DMSO = 4:1, v/v | “turn-on” | F500Ex, 670Em | 9.8 ng/mL | 12.1 uM | n.a. | Live cells and Zebrafish | [69] |
| 26 | Probe (5) | NTR | PBS | “turn-on” | F590Ex, 708Em | n.a. | 301.8 uM | n.a. | Detection of NTR activity under physiological conditions (tube) | [70] |
| 27 | Probe 1 | NTR | PBS | “turn-on” | F658Ex, 699Em | 8.4 ng/mL | 7.21 uM | n.a. | Bacterial | [71] |
| 28 | NIR-HMA | NTR | PBS/DMSO = 19:1, v/v | “turn-on” | F670Ex, 710Em | n.a. | n.a. | n.a. | Live cells | [72] |
| 29 | Q-NO2 | NTR | PBS | “turn-on” | F680Ex, 780Em | 0.052 ug/mL | n.a. | n.a. | Live cells and mice | [73] |
| 30 | Icy-NBF | NTR | HEPES/DMSO = 7:3, v/v | “turn-on” | F813Ex, 830Em | n.a. | n.a. | n.a. | Photodynamic and photothermal therapies | [74] |
| 31 | Se-NO2 | NTR | PBS/DMSO = 9:1, v/v | “turn-on” | F660Ex, 710Em | n.a. | 51.8 uM | n.a. | Photocatalytic theranostics | [75] |
| 32 | BOD-TPP | NTR | Tris-HCl/DMSO = 3:1, v/v | ratiometric | F495Ex, 565Em/F650Ex, 713Em | 0.0168 ug/mL | 33.7 uM | mitochondria | Live cells | [76] |
| 33 | fol-BODIPY | NTR | DMEM containing 10% FBS | “turn-on” | F642Ex, 730Em | 1.52 ng/mL | n.a. | n.a. | Live cells and mice | [77] |
| 34 | Q3STCy | NQO1 | PBS | “turn-on” | F605Ex, 755Em | n.a. | 1.1 ±0.5 uM | n.a. | Live cells and mice | [78] |
| 35 | QRP3 | NQO1 | PBS | “turn-on” | F520Ex, 595Em/F650Ex, 725Em | 139 μg/mL | n.a. | n.a. | Live cells and mice tissues | [79] |
| 36 | Py+BC_NQO1 | NQO1 | Tris-HCl | ratiometric | F360Ex, 555Em/F470Ex, 650Em | 4.99 μg/mL | 1.13 uM | n.a. | Live cells | [80] |
| 37 | S-QCy7-NQO1 | NQO1 | PBS | “turn-on” | F640Ex, 740Em | 0.05 μg/mL | n.a. | n.a. | Live cells and mice | [81] |
| 38 | Niblue-C6-IMC | COX-2 | n.a. | “turn-on” | F630Ex, 670Em | n.a. | n.a. | n.a. | Live cells and mice | [82] |
| 39 | Cy-COX | COX-2 | Tris-HCl | “turn-on” | F650Ex, 770Em | 11 ng/mL | n.a. | n.a. | Live cells and mice | [83] |
| 40 | TRFS-red | TrxR | Tris-EDTA | “turn-on” | F615Ex, 661Em | n.a. | n.a. | n.a. | Live cells | [84] |
| Probe Number | Original Name | Trigger | Solvent a | Signal Transduction Mode | Excitation, Maximal Emission (nm) | LOD b | Km c | Localized Organelles | Application | Ref. |
|---|---|---|---|---|---|---|---|---|---|---|
| 41 | gGlu-HMJSiR | GGT | PBS | “turn-on” | F580Ex, 661Em | n.a. | n.a. | n.a. | Live cells and mice | [99] |
| 42 | Cy-GSH | GGT | PBS | ratiometric | F730Ex, 805Em/F540Ex, 640Em | 0.03 U/L | 9.87 uM | n.a. | Live cells and mice | [100] |
| 43 | CyI-Glu | GGT | PBS/DMSO = 9:1, v/v | “turn-on” | F690Ex, 718Em | 0.014 U/L | n.a. | n.a. | Photodynamic therapy in mice | [101] |
| 44 | GSTC | GST | PBS | “turn-on” | F670Ex, 695Em | 0.037 ug/mL | 0.39 uM | n.a. | Live cells and mice | [102] |
Publisher’s Note: MDPI stays neutral with regard to jurisdictional claims in published maps and institutional affiliations. |
© 2022 by the authors. Licensee MDPI, Basel, Switzerland. This article is an open access article distributed under the terms and conditions of the Creative Commons Attribution (CC BY) license (https://creativecommons.org/licenses/by/4.0/).
Share and Cite
Zhao, J.; Ma, T.; Chang, B.; Fang, J. Recent Progress on NIR Fluorescent Probes for Enzymes. Molecules 2022, 27, 5922. https://doi.org/10.3390/molecules27185922
Zhao J, Ma T, Chang B, Fang J. Recent Progress on NIR Fluorescent Probes for Enzymes. Molecules. 2022; 27(18):5922. https://doi.org/10.3390/molecules27185922
Chicago/Turabian StyleZhao, Jintao, Tao Ma, Bingbing Chang, and Jianguo Fang. 2022. "Recent Progress on NIR Fluorescent Probes for Enzymes" Molecules 27, no. 18: 5922. https://doi.org/10.3390/molecules27185922
APA StyleZhao, J., Ma, T., Chang, B., & Fang, J. (2022). Recent Progress on NIR Fluorescent Probes for Enzymes. Molecules, 27(18), 5922. https://doi.org/10.3390/molecules27185922
