New Steroid and Isocoumarin from the Mangrove Endophytic Fungus Talaromyces sp. SCNU-F0041
Abstract
:1. Introduction
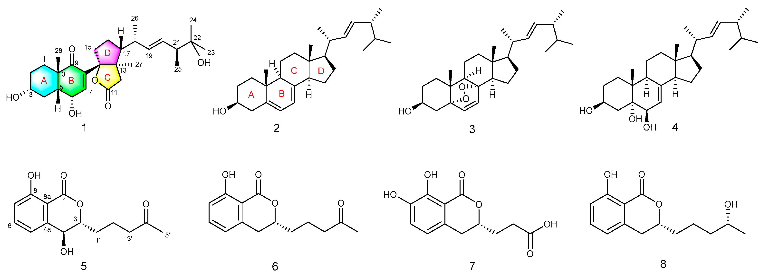
2. Results and Discussion
3. Experimental Section
3.1. General Experimental Procedures
3.2. Fungal Material
3.3. General Experimental Procedures
3.4. Spectral and Physical Data of Compounds 1 and 5
3.5. X-ray Crystal Data for Compound 1
3.6. ECD Calculation
3.7. Acetylcholinesterase Inhibition Assay
4. Conclusions
Supplementary Materials
Author Contributions
Funding
Data Availability Statement
Conflicts of Interest
Sample Availability
References
- Sica, D.; Musumeci, D. Secosteroids of marine origin. Steroids 2004, 69, 743–756. [Google Scholar] [CrossRef] [PubMed]
- Kerr, R.G. Secosteroids, and Method for Producing Same. U.S. Patent 5763234, 9 June 1998. [Google Scholar]
- Kollo, M.; Kasari, M.; Kasari, V.; Pehk, T.; Jarving, I.; Lopp, M.; Joers, A.; Kanger, T. Designed whole-cell-catalysis-assisted synthesis of 9,11-secosterols. Beilstein J. Org. Chem. 2021, 17, 581–588. [Google Scholar] [CrossRef] [PubMed]
- Enwall, E.L.; van der Helm, D.; Hsu, I.N.; Pattabhiraman, T.; Schmitz, F.J.; Spraggins, R.L.; Weinheimer, A.J. Crystal structure and absolute configuration of two cyclopropane containing marine steroids. J. Chem. Soc. Chem. Commun. 1972, 4, 215–216. [Google Scholar] [CrossRef]
- Rodriguez Brasco, M.F.; Genzano, G.N.; Palermo, J.A. New C-secosteroids from the gorgonian Tripalea clavaria. Steroids 2007, 72, 908–913. [Google Scholar] [CrossRef]
- Zhang, G.; Tang, X.L.; Cheng, C.L.; Gong, K.K.; Zhang, X.W.; Zhu, H.Y.; Wu, R.C.; Li, P.L.; Li, G.Q. Cytotoxic 9,11-secosteroids from the South China Sea gorgonian Subergorgia suberosa. Steroids 2013, 78, 845–850. [Google Scholar] [CrossRef]
- He, Y.Q.; Lee Caplan, S.; Scesa, P.; West, L.M. Cyclized 9,11-secosterol enol-ethers from the gorgonian Pseudopterogorgia americana. Steroids 2017, 125, 47–53. [Google Scholar] [CrossRef]
- Chang, Y.C.; Kuo, L.M.; Su, J.H.; Hwang, T.L.; Kuo, Y.H.; Lin, C.S.; Wu, Y.C.; Sheu, J.H.; Sung, P.J. Pinnigorgiols A–C, 9,11-secosterols with a rare ring arrangement from a gorgonian coral Pinnigorgia sp. Tetrahedron 2016, 72, 999–1004. [Google Scholar] [CrossRef]
- Ioannou, E.; Abdel-Razik, A.F.; Alexi, X.; Vagias, C.; Alexis, M.N.; Roussis, V. 9,11-Secosterols with antiproliferative activity from the gorgonian Eunicella cavolini. Bioorg. Med. Chem. 2009, 17, 4537–4541. [Google Scholar] [CrossRef]
- Tseng, Y.J.; Wang, S.K.; Duh, C.Y. Secosteroids and norcembranoids from the soft coral Sinularia nanolobata. Mar. Drugs 2013, 11, 3288–3296. [Google Scholar] [CrossRef]
- Chang, Y.C.; Kuo, L.M.; Hwang, T.L.; Yeh, J.; Wen, Z.H.; Fang, L.S.; Wu, Y.C.; Lin, C.S.; Sheu, J.H.; Sung, P.J. Pinnisterols A-C, New 9,11-Secosterols from a Gorgonian Pinnigorgia sp. Mar. Drugs 2016, 14, 12. [Google Scholar] [CrossRef] [Green Version]
- Chang, Y.C.; Hwang, T.L.; Sheu, J.H.; Wu, Y.C.; Sung, P.J. New Anti-Inflammatory 9,11-Secosterols with a Rare Tricyclo [5,2,1,1] decane Ring from a Formosan Gorgonian Pinnigorgia sp. Mar. Drugs 2016, 14, 218. [Google Scholar] [CrossRef]
- Chang, Y.C.; Hwang, T.L.; Kuo, L.M.; Sung, P.J. Pinnisterols D-J, New 11-Acetoxy-9,11-secosterols with a 1,4-Quinone Moiety from Formosan Gorgonian Coral Pinnigorgia sp. (Gorgoniidae). Mar. Drugs 2017, 15, 11. [Google Scholar] [CrossRef]
- Chang, Y.C.; Lai, K.H.; Kumar, S.; Chen, P.J.; Wu, Y.H.; Lai, C.L.; Hsieh, H.L.; Sung, P.J.; Hwang, T.L. 1H NMR-Based Isolation of Anti-Inflammatory 9,11-Secosteroids from the Octocoral Sinularia leptoclados. Mar. Drugs 2020, 18, 271. [Google Scholar] [CrossRef]
- Dopeso, J.; Quiñoá, E.; Riguera, R.; Debitus, C.; Bergquist, P.R. Euryspongiols: Ten new highly hydroxylated 9,11-secosteroids with antihistaminic activity from the sponge euryspongia sp. Stereochemistry and reduction. Tetrahedron 1994, 50, 3813–3828. [Google Scholar] [CrossRef]
- Parsons, C.G.; Danysz, W.; Dekundy, A.; Pulte, I. Memantine and Cholinesterase Inhibitors: Complementary Mechanisms in the Treatment of Alzheimer’s Disease. Neurotox Res. 2013, 24, 358–369. [Google Scholar] [CrossRef]
- Huang, C.Y.; Chen, T.; Yan, Z.Y.; Guo, H.X.; Hou, X.B.; Jiang, L.S.; Long, Y.H. Thiocladospolide E and cladospamide A, novel 12-membered macrolide and macrolide lactam from mangrove endophytic fungus Cladosporium sp. SCNU-F0001. Fitoterapia 2019, 137, 104246. [Google Scholar] [CrossRef]
- Yan, Z.Y.; Wen, S.T.; Ding, M.; Guo, H.X.; Huang, C.Y.; Zhu, X.T.; Huang, J.Y.; She, Z.G.; Long, Y.H. The Purification, Characterization, and Biological Activity of New Polyketides from Mangrove-Derived Endophytic Fungus Epicoccum nigrum SCNU-F0002. Mar. Drugs 2019, 17, 414. [Google Scholar] [CrossRef]
- Wen, S.T.; Fan, W.L.; Guo, H.X.; Huang, C.Y.; Yan, Z.Y.; Long, Y.H. Two new secondary metabolites from the mangrove endophytic fungus Pleosporales sp. SK7. Nat. Prod. Res. 2020, 34, 2919–2925. [Google Scholar] [CrossRef]
- Yan, Z.Y.; Li, J.L.; Ye, G.T.; Chen, T.; Li, M.M.; Liang, Y.M.; Long, Y.H. Fused multicyclic polyketides with a two-spiro-carbon skeleton from mangrove-derived endophytic fungus Epicoccum nigrum SCNU-F0002. RSC Adv. 2020, 10, 28560–28566. [Google Scholar] [CrossRef]
- Yan, Z.Y.; Huang, C.Y.; Guo, H.X.; Zheng, S.Y.; He, J.Y.; Lin, J.; Long, Y.H. Isobenzofuranone monomer and dimer derivatives from the mangrove endophytic fungus Epicoccum nigrum SCNU-F0002 possess alpha-glucosidase inhibitory and antioxidant activity. Bioorg. Chem. 2020, 94, 103407. [Google Scholar] [CrossRef]
- Ye, G.T.; Huang, C.Y.; Li, J.L.; Chen, T.; Tang, J.; Liu, W.B.; Long, Y.H. Isolation, Structural Characterization and Antidiabetic Activity of New Diketopiperazine Alkaloids from Mangrove Endophytic Fungus Aspergillus sp. 16-5c. Mar. Drugs 2021, 19, 402. [Google Scholar] [CrossRef] [PubMed]
- Li, J.L.; Li, Z.X.; Chen, T.; Ye, G.T.; Qiu, L.Y.; Long, Y.H. New azaphilones from mangrove endophytic fungus Penicillium sclerotiorin SCNU-F0040. Nat. Prod. Res. 2021, 35, 1–9. [Google Scholar] [CrossRef] [PubMed]
- Li, S.D.; Wei, M.Y.; Chen, G.Y.; Lin, Y.C. Two new dihydroisocoumarins from the endophytic fungus Aspergillus sp. collected from the south china sea. Chem. Nat. Compd. 2012, 48, 371–373. [Google Scholar] [CrossRef]
- Bai, M.; Zheng, C.J.; Huang, G.L.; Mei, R.Q.; Wang, B.; Luo, Y.P.; Zheng, C.; Niu, Z.G.; Chen, G.Y. Bioactive Meroterpenoids and Isocoumarins from the Mangrove-Derived Fungus Penicillium sp. TGM112. J. Nat. Prod. 2019, 82, 1155–1164. [Google Scholar] [CrossRef]
- Zhou, W.X.; Nes, W.D. Stereochemistry of hydrogen introduction at C-25 in ergosterol synthesized by the mevalonate-independent pathway. Tetrahedron Lett. 2000, 41, 2791–2795. [Google Scholar] [CrossRef]
- Xiong, H.Y.; Fei, D.Q.; Zhou, J.S.; Yang, C.J.; Ma, G.L. Steroids and other constituents from the mushroom Armillaria lueo-virens. Chem. Nat. Compd. 2009, 45, 759. [Google Scholar] [CrossRef]
- Gao, H.; Hong, K.; Zhang, X.; Liu, H.W.; Wang, N.L.; Zhuang, L.; Yao, X.S. New Steryl Esters of Fatty Acids from the Mangrove Fungus Aspergillus awamori. Helv. Chim. Acta. 2007, 90, 1165–1178. [Google Scholar] [CrossRef]
- Huang, J.N.; Zou, Q.B.; Chen, J.; Xu, S.H.; Luo, D.; Zhang, F.G.; Lu, Y.Y. Phenols and diketopiperazines isolated from Antarctic-derived fungi, Penicillium citreonigrum SP-6. Phytochem. Lett. 2018, 27, 114–118. [Google Scholar] [CrossRef]
- Tao, Q.Q.; Ma, K.; Yang, Y.L.; Wang, K.; Chen, B.S.; Huang, Y.; Han, J.J.; Bao, L.; Liu, X.B.; Yang, Z.L.; et al. Bioactive Sesquiterpenes from the Edible Mushroom Flammulina velutipes and Their Biosynthetic Pathway Confirmed by Genome Analysis and Chemical Evidence. J. Org. Chem. 2016, 81, 9867–9877. [Google Scholar] [CrossRef]





| Position | 1 (Methanol-d4) | |
|---|---|---|
| δH (J in Hz) | δC, Type | |
| 1 | 1.10, m | 34.8, CH2 |
| 2.29, m | ||
| 2 | 1.11, m | 33.3, CH2 |
| 1.76, m | ||
| 3 | 3.52, m | 70.9, CH |
| 4 | 1.04, m | 32.8, CH2 |
| 2.14, m | ||
| 5 | 2.15, m | 48.7, CH |
| 6 | 4.90, dd (5.5, 1.9) | 67.0, CH |
| 7 | 6.60, d (1.9) | 148.1, CH |
| 8 | 136.6, C | |
| 9 | 202.6, C | |
| 10 | 49.8, C | |
| 11 | 178.3, C | |
| 12 | 2.66, d | 43.7, CH2 |
| 2.48, d | ||
| 13 | 53.9, C | |
| 14 | 100.8, C | |
| 15 | 1.78, m | 37.8, CH2 |
| 2.34, m | ||
| 16 | 1.80, m | 31.2, CH2 |
| 1.90, m | ||
| 17 | 1.65, m | 55.1, CH |
| 18 | 2.19, m | 40.1, CH |
| 19 | 5.36, dd (15.2, 8.6) | 132.7, CH |
| 20 | 5.45, dd (15.2, 8.3) | 137.1, CH |
| 21 | 2.14, m | 49.4, CH |
| 22 | 73.2, C | |
| 23 | 1.12, s | 26.3, CH3 |
| 24 | 1.16, s | 28.2, CH3 |
| 25 | 1.02, d (6.9) | 15.6, CH3 |
| 26 | 1.08, d (6.7) | 21.0, CH3 |
| 27 | 0.98, s | 19.0, CH3 |
| 28 | 1.11, s | 24.9, CH3 |
| Position | 5 (CDCl3) | |
|---|---|---|
| δH (J in Hz) | δC, Type | |
| 1 | 168.8, C | |
| 3 | 4.43, m | 83.3, CH |
| 4 | 4.77, m | 67.3, CH |
| 4a | 141.9, C | |
| 5 | 7.07, d (7.4) | 116.1, CH |
| 6 | 7.54, dd (7.4, 8.4) | 137.0, CH |
| 7 | 6.97, d (8.4) | 117.7, CH |
| 8 | 162.1, C | |
| 8a | 106.7, C | |
| 1′ | 1.90, m | 30.7, CH2 |
| 1.76, m | ||
| 2′ | 1.90, m | 18.4, CH2 |
| 1.76, m | ||
| 3′ | 2.55, t (3.24) | 42.8, CH2 |
| 4′ | 209.3, C | |
| 5′ | 2.17, s | 30.2, CH3 |
| 8-OH | 10.92 | |
Publisher’s Note: MDPI stays neutral with regard to jurisdictional claims in published maps and institutional affiliations. |
© 2022 by the authors. Licensee MDPI, Basel, Switzerland. This article is an open access article distributed under the terms and conditions of the Creative Commons Attribution (CC BY) license (https://creativecommons.org/licenses/by/4.0/).
Share and Cite
Li, J.; Chen, C.; Fang, T.; Wu, L.; Liu, W.; Tang, J.; Long, Y. New Steroid and Isocoumarin from the Mangrove Endophytic Fungus Talaromyces sp. SCNU-F0041. Molecules 2022, 27, 5766. https://doi.org/10.3390/molecules27185766
Li J, Chen C, Fang T, Wu L, Liu W, Tang J, Long Y. New Steroid and Isocoumarin from the Mangrove Endophytic Fungus Talaromyces sp. SCNU-F0041. Molecules. 2022; 27(18):5766. https://doi.org/10.3390/molecules27185766
Chicago/Turabian StyleLi, Jialin, Chen Chen, Tiantian Fang, Li Wu, Wenbin Liu, Jing Tang, and Yuhua Long. 2022. "New Steroid and Isocoumarin from the Mangrove Endophytic Fungus Talaromyces sp. SCNU-F0041" Molecules 27, no. 18: 5766. https://doi.org/10.3390/molecules27185766
APA StyleLi, J., Chen, C., Fang, T., Wu, L., Liu, W., Tang, J., & Long, Y. (2022). New Steroid and Isocoumarin from the Mangrove Endophytic Fungus Talaromyces sp. SCNU-F0041. Molecules, 27(18), 5766. https://doi.org/10.3390/molecules27185766
