Transition Metal Catalyzed Hiyama Cross-Coupling: Recent Methodology Developments and Synthetic Applications
Abstract
1. Introduction
2. Mechanistic Consideration
3. Palladium-Catalyzed Hiyama Cross-Coupling
Palladium Acetate as Catalyst
4. Palladium Chloride as Catalyst
5. Pd/C as Catalyst
6. Pd/Fe3O4 as Catalyst
7. N-Heterocyclic Carbenes (NHCs) Palladium Complexes
8. Nanoparticles as Catalyst
9. Pd(PPh3)4 as Catalyst
10. Copper Catalyzed Hiyama Cross-Coupling Reactions
11. Nickel-Catalyzed Hiyama Cross-Coupling Reaction
12. Applications of Hiyama Coupling Reactions for the Synthesis of Biologically Active Scaffolds
13. Miscellaneous
14. Conclusions
Author Contributions
Funding
Institutional Review Board Statement
Informed Consent Statement
Data Availability Statement
Acknowledgments
Conflicts of Interest
References
- Torssell, K.B.G. Natural Product Chemistry; Wiley: Chichester UK, 1983. [Google Scholar]
- Thomson, R.H. The Chemistry of Natural Products; Blackie and Son: Glasgow, UK, 1985. [Google Scholar]
- Baudoin, O.; Gueritte, F. Natural bridged biaryls with axial chirality and antimitotic properties. Stud. Nat. Prod. Chem. 2003, 29, 355–417. [Google Scholar] [CrossRef]
- Mei, X.; Wolf, C. Determination of enantiomeric excess and concentration of unprotected amino acids, amines, amino alcohols, and carboxylic acids by competitive binding assays with a chiral scandium complex. J. Am. Chem. Soc. 2006, 128, 13326–13327. [Google Scholar] [CrossRef] [PubMed]
- Rao, A.R.; Gurjar, M.K.; Reddy, K.L.; Rao, A.S. Studies Directed toward the Synthesis of Vancomycin and Related Cyclic Peptides. Chem. Rev. 1995, 95, 2135–2167. [Google Scholar] [CrossRef]
- Nicolaou, K.C.; Boddy, C.N.; Bräse, S.; Winssinger, N. Chemistry, biology, and medicine of the glycopeptide antibiotics. Angew. Chem. Int. Ed. 1999, 38, 2096–2152. [Google Scholar] [CrossRef]
- Brunel, J.M. BINOL: A versatile chiral reagent. Chem. Rev. 2005, 105, 857–898. [Google Scholar] [CrossRef]
- Berthod, M.; Mignani, G.; Woodward, G.; Lemaire, M. Modified BINAP: The how and the why. Chem. Rev. 2005, 105, 1801–1836. [Google Scholar] [CrossRef]
- Roncali, J. Conjugated poly (thiophenes): Synthesis, functionalization, and applications. Chem. Rev. 1992, 92, 711–738. [Google Scholar] [CrossRef]
- Matheron, M.E.; Porchas, M. Activity of boscalid, fenhexamid, fluazinam, fludioxonil, and vinclozolin on growth of Sclerotinia minor and S. sclerotiorum and development of lettuce drop. Plant. Dis. 2004, 88, 665–668. [Google Scholar] [CrossRef]
- Moorthy, J.N.; Venkatakrishnan, P.; Natarajan, P.; Huang, D.F.; Chow, T.J. De novo design for functional amorphous materials: Synthesis and thermal and light-emitting properties of twisted anthracene-functionalized bimesitylenes. J. Am. Chem. Soc. 2008, 130, 17320–17333. [Google Scholar] [CrossRef]
- Blaser, H.U.; Indolese, A.; Naud, F.; Nettekoven, U.; Schnyder, A. Industrial R&D on Catalytic C-C and C-N Coupling Reactions: A Personal Account on Goals, Approaches and Results. Adv. Synth. Catal. 2004, 346, 1583–1598. [Google Scholar] [CrossRef]
- Corbet, J.P.; Mignani, G. Selected patented cross-coupling reaction technologies. Chem. Rev. 2006, 106, 2651–2710. [Google Scholar] [CrossRef] [PubMed]
- Torborg, C.; Beller, M. Recent applications of palladium-catalyzed coupling reactions in the pharmaceutical, agrochemical, and fine chemical industries. Adv. Synth. Catal. 2009, 351, 3027–3043. [Google Scholar] [CrossRef]
- Busacca, C.A.; Fandrick, D.R.; Song, J.J.; Senanayake, C.H. The growing impact of catalysis in the pharmaceutical industry. Adv. Synth. Catal. 2011, 353, 1825–1864. [Google Scholar] [CrossRef]
- Bringmann, G.; Günther, C.; Ochse, M.; Schupp, O.; Tasler, S. Progress in the Chemistry of Organic Natural Products; Springer: Berlin/Heidelberg, Germany, 2001; pp. 1–249. [Google Scholar]
- Ayogu, J.I.; Onoabedje, E.A. Recent advances in transition metal-catalysed cross-coupling of (hetero) aryl halides and analogues under ligand-free conditions. Catal. Sci. Technol. 2019, 9, 5233–5255. [Google Scholar] [CrossRef]
- Komiyama, T.; Minami, Y.; Hiyama, T. Recent advances in transition-metal-catalyzed synthetic transformations of organosilicon reagents. ACS Catal. 2017, 7, 631–651. [Google Scholar] [CrossRef]
- Gil, A.; Albericio, F.; Alvarez, M. Role of the Nozaki–Hiyama–Takai–Kishi Reaction in the Synthesis of Natural Products. Chem. Rev. 2017, 117, 8420–8446. [Google Scholar] [CrossRef]
- Cherney, A.H.; Kadunce, N.T.; Reisman, S.E. Enantioselective and enantiospecific transition-metal-catalyzed cross-coupling reactions of organometallic reagents to construct C–C bonds. Chem. Rev. 2015, 115, 9587–9652. [Google Scholar] [CrossRef]
- Markham, A.; Goa, K.L. Valsartan. Drugs 1997, 54, 299–311. [Google Scholar] [CrossRef]
- Croom, K.F.; Keating, G.M. Valsartan. Am. J. Cardiovasc. Drugs 2004, 4, 395–404. [Google Scholar] [CrossRef]
- Sharpe, M.; Jarvis, B.; Goa, K.L. Telmisartan. Drugs 2001, 61, 1501–1529. [Google Scholar] [CrossRef]
- Schultz, T.P.; Hubbard, T.F., Jr.; Jin, L.; Fisher, T.H.; Nicholas, D.D. Role of stilbenes in the natural durability of wood: Fungicidal structure-activity relationships. Phytochemistry 1990, 29, 1501–1507. [Google Scholar] [CrossRef]
- Yoshiyuki, K.; Hiromichi, O.; Shigeru, A. Effects of stilbenes on arachidonate metabolism in leukocytes. Biochim. Biophys Acta 1985, 834, 275–278. [Google Scholar] [CrossRef]
- Gupta, Y.K.; Chaudhary, G.; Srivastava, A.K. Protective effect of resveratrol against pentylenetetrazole-induced seizures and its modulation by an adenosinergic system. Pharmacology 2002, 65, 170–174. [Google Scholar] [CrossRef] [PubMed]
- Stivala, L.A.; Savio, M.; Carafoli, F.; Perucca, P.; Bianchi, L.; Maga, G.; Vannini, V. Specific structural determinants are responsible for the antioxidant activity and the cell cycle effects of resveratrol. J. Biol. Chem. 2001, 276, 22586–22594. [Google Scholar] [CrossRef] [PubMed]
- Cushman, M.; Nagarathnam, D.; Gopal, D.; Chakraborti, A.K.; Lin, C.M.; Hamel, E. Synthesis and evaluation of stilbene and dihydrostilbene derivatives as potential anticancer agents that inhibit tubulin polymerization. J. Med. Chem. 1991, 34, 2579–2588. [Google Scholar] [CrossRef]
- Savouret, J.F.; Quesne, M. Resveratrol and cancer. Biomed. Pharmacother. 2002, 56, 84–87. [Google Scholar] [CrossRef]
- Kitamura, K.; Ando, Y.; Matsumoto, T.; Suzuki, K. Total synthesis of aryl C-glycoside natural products: Strategies and tactics. Chem. Rev. 2018, 118, 1495–1598. [Google Scholar] [CrossRef]
- De Clercq, E. C-Nucleosides to be revisited: Miniperspective. J. Med. Chem. 2016, 59, 2301–2311. [Google Scholar] [CrossRef]
- Hsia, D.S.; Grove, O.; Cefalu, W.T. An update on SGLT2 inhibitors for the treatment of diabetes mellitus. Curr. Opin. Endocrinol. Diabetes Obes. 2017, 24, 73–79. [Google Scholar] [CrossRef]
- Vaňková, K.; Rahm, M.; Choutka, J.; Pohl, R.; Parkan, K. Facile Approach to C-glucosides by Using a Protecting-Group-Free Hiyama Cross-Coupling Reaction: High-Yielding Dapagliflozin Synthesis. Chem. Eur. J. 2021, 27, 10583–10588. [Google Scholar] [CrossRef]
- Jiang, C.; Wu, W.Q.; Lu, H.; Yu, T.Y.; Xu, W.H.; Wei, H. Rhodium-Catalyzed Hiyama Coupling Reaction of Unstrained Ketones via C− C Bond Cleavage. Asian J. Org. Chem. 2019, 8, 1358–1362. [Google Scholar] [CrossRef]
- Schütz, E. Longterm treatment of coronary heart disease with Segontin (author’s transl). MMW. Munch. Med. Wochenschr. 1976, 118, 1571–1574. [Google Scholar] [PubMed]
- Zolov, B. Benadryl intravenous use in allergy. Ann. Allergy 1949, 7, 254–257. [Google Scholar]
- Rische, T.; Eilbracht, P. One-pot synthesis of pharmacologically active secondary and tertiary 1-(3,3-diarylpropyl) amines via rhodium-catalysed hydroaminomethylation of 1, 1-diarylethenes. Tetrahedron 1999, 55, 1915–1920. [Google Scholar] [CrossRef]
- Tobe, A.; Yoshida, Y.; Ikoma, H.; Tonomura, S.; Kikumoto, R. Pharmacological evaluation of 2-(4-methylaminobutoxy) diphenylmethane hydrochloride (MCI-2016), a new psychotropic drug with antidepressant activity. Arzneim. Forsch. 1981, 31, 1278–1285. [Google Scholar]
- Zink, M.; Lanig, H.; Troschütz, R. Structural variations of piritrexim, a lipophilic inhibitor of human dihydrofolate reductase: Synthesis, antitumor activity and molecular modeling investigations. Eur. J. Med. Chem. 2004, 39, 1079–1088. [Google Scholar] [CrossRef]
- Sun, H.H.; Paul, V.J.; Fenical, W. Avrainvilleol, a brominated diphenylmethane derivative with feeding deterrent properties from the tropical green alga Avrainvillea longicaulis. Phytochemistry 1983, 22, 743–745. [Google Scholar] [CrossRef]
- Takamatsu, S.; Hodges, T.W.; Rajbhandari, I.; Gerwick, W.H.; Hamann, M.T.; Nagle, D.G. Marine natural products as novel antioxidant prototypes. J. Nat. Prod. 2003, 66, 605–608. [Google Scholar] [CrossRef]
- Damayanthi, Y.; Lown, J.W. Podophyllotoxins: Current status and recent developments. Curr. Med. Chem. 1998, 5, 205–252. [Google Scholar] [CrossRef]
- Zhang, Y.L.; Lee, K.H. Recent progress in the development of novel antitumor etoposide analogs. Chin. Pharm. J. 1994, 46, 319–369. [Google Scholar]
- Ramos, A.C.; Clairac, R.P.L.D.; Medarde, M.; Ramos, A.C.; Clairac, R.P.L.D.; Medarde, M. Heterolignans. Heterocycles 1999, 51, 1443–1470. [Google Scholar]
- Ward, R.S. The synthesis of lignans and neolignans. Chem. Soc. Rev. 1982, 11, 75–125. [Google Scholar] [CrossRef]
- Ward, R.S. Synthesis of podophyllotoxin and related compounds. Synthesis 1992, 1992, 719–730. [Google Scholar] [CrossRef]
- Sellars, J.D.; Steel, P.G. Advances in the synthesis of aryltetralin lignan lactones. Eur. J. Org. Chem. 2007, 2007, 3815–3828. [Google Scholar] [CrossRef]
- Gordaliza, M.; Garcıa, P.A.; Miguel del Corral, J.M.; Castro, M.A.; Gómez-Zurita, M.A. Podophyllotoxin: Distribution, sources, applications and new cytotoxic derivatives. Toxicon 2004, 44, 441–459. [Google Scholar] [CrossRef] [PubMed]
- Foubelo, F.; Nájera, C.; Yus, M. The Hiyama cross-coupling reaction: New discoveries. Chem. Rec. 2016, 16, 2521–2533. [Google Scholar] [CrossRef]
- Horn, K.A. Regio-and stereochemical aspects of the palladium-catalyzed reactions of silanes. Chem. Rev. 1995, 95, 1317–1350. [Google Scholar] [CrossRef]
- Hagiwara, E.; Gouda, K.I.; Hatanaka, Y.; Hiyama, T. NaOH-Promoted cross-coupling reactions of organosilicon compounds with organic halides: Practical routes to biaryls, alkenylarenes and conjugated dienes. Tetrahedron Lett. 1997, 38, 439–442. [Google Scholar] [CrossRef]
- Lee, H.M.; Nolan, S.P. Efficient cross-coupling reactions of aryl chlorides and bromides with phenyl-or vinyltrimethoxysilane mediated by a palladium/imidazolium chloride system. Org. Lett. 2000, 2, 2053–2055. [Google Scholar] [CrossRef]
- Li, J.H.; Deng, C.L.; Liu, W.J.; Xie, Y.X. Pd (OAc) 2/DABCO as an inexpensive and efficient catalytic system for Hiyama cross-coupling reactions of aryl halides with aryltrimethoxysilanes. Synthesis 2005, 2005, 3039–3044. [Google Scholar] [CrossRef]
- Gordillo, Á.; de Jesús, E.; López-Mardomingo, C. Consecutive palladium-catalyzed Hiyama–Heck reactions in aqueous media under ligand-free conditions. Chem. Commun. 2007, 39, 4056–4058. [Google Scholar] [CrossRef] [PubMed]
- Zhang, L.; Qing, J.; Yang, P.; Wu, J. Palladium-Catalyzed Hiyama Cross-Coupling Reactions of Aryl Mesylates. Org. Lett. 2008, 10, 4971–4974. [Google Scholar] [CrossRef] [PubMed]
- Molander, G.A.; Iannazzo, L. Palladium-catalyzed Hiyama cross-coupling of aryltrifluorosilanes with aryl and heteroaryl chlorides. J. Org. Chem. 2011, 76, 9182–9187. [Google Scholar] [CrossRef] [PubMed][Green Version]
- Roglans, A.; Pla-Quintana, A.; Moreno-Manas, M. Diazonium Salts as Substrates in Palladium-Catalyzed Cross-Coupling Reactions. Chem. Rev. 2006, 106, 4622–4643. [Google Scholar] [CrossRef] [PubMed]
- Fabrizi, G.; Goggiamani, A.; Sferrazza, A.; Cacchi, S. Sonogashira Cross-Coupling of Arenediazonium Salts. Angew. Chem. Int. Ed. 2010, 49, 4067–4070. [Google Scholar] [CrossRef]
- Cacchi, S.; Fabrizi, G.; Goggiamani, A.; Persiani, D. Palladium-Catalyzed Hydroarylation of Alkynes with Arenediazonium Salts. Org. Lett. 2008, 10, 1597–1600. [Google Scholar] [CrossRef]
- Robinson, M.K.; Kochurina, V.S.; Hanna, J.M., Jr. Palladium-catalyzed homocoupling of arenediazonium salts: An operationally simple synthesis of symmetrical biaryls. Tetrahedron Lett. 2007, 48, 7687–7690. [Google Scholar] [CrossRef]
- Panda, B.; Sarkar, T.K. Gold and palladium combined for the Sonogashira-type cross-coupling of arenediazonium salts. Chem. Commun. 2010, 46, 3131–3133. [Google Scholar] [CrossRef]
- Cacchi, S.; Fabrizi, G.; Goggiamani, A.; Perboni, A.; Sferrazza, A.; Stabile, P. 2,3-Disubstituted indoles via palladium-catalyzed reaction of 2-alkynyltrifluoroacetanilides with arenediazonium tetrafluoroborates. Org. Lett. 2010, 12, 3279–3281. [Google Scholar] [CrossRef]
- Cheng, K.; Wang, C.; Ding, Y.; Song, Q.; Qi, C.; Zhang, X.M. Hiyama cross-coupling of arenediazonium salts under mild reaction conditions. J. Org. Chem. 2011, 76, 9261–9268. [Google Scholar] [CrossRef]
- Yuen, O.Y.; So, C.M.; Man, H.W.; Kwong, F.Y. A General Palladium-Catalyzed Hiyama Cross-Coupling Reaction of Aryl and Heteroaryl Chlorides. Chem. Eur. J. 2016, 22, 6471–6476. [Google Scholar] [CrossRef] [PubMed]
- Brandi, A.; Cicchi, S.; Cordero, F.M. Novel syntheses of azetidines and azetidinones. Chem. Rev. 2008, 108, 3988–4035. [Google Scholar] [CrossRef] [PubMed]
- Van Brabandt, W.; Mangelinckx, S.; D’hooghe, M.; Van Driessche, B.; De Kimpe, N. Synthesis and reactivity of 3-haloazetidines and 3-sulfonyloxyazetidines: A review. Curr. Org. Chem. 2009, 13, 829–853. [Google Scholar] [CrossRef]
- Secor, H.V.; Edwards III, W.B. Nicotine analogs: Synthesis of pyridylazetidines. J. Org. Chem. 1979, 44, 3136–3140. [Google Scholar] [CrossRef]
- Wang, D.X.; Booth, H.; Lerner-Marmarosh, N.; Osdene, T.S.; Abood, L.G. Structure–activity relationships for nicotine analogs comparing competition for [3H] nicotine binding and psychotropic potency. Drug Dev. Res. 1998, 45, 10–16. [Google Scholar] [CrossRef]
- Vagg, R.; Chapman, S. Nicotine analogues: A review of tobacco industry research interests. Addiction 2005, 100, 701–712. [Google Scholar] [CrossRef]
- Denton, T.T.; Zhang, X.; Cashman, J.R. 5-Substituted, 6-Substituted, and Unsubstituted 3-Heteroaromatic Pyridine Analogues of Nicotine as Selective Inhibitors of Cytochrome P-450 2A6. J. Med. Chem. 2005, 48, 224–239. [Google Scholar] [CrossRef]
- Barlow, R.B.; Hamilton, J.T. Effects of some isomers and analogues of nicotine on junctional transmission. Br. J. Pharmacol. Chemother. 1962, 18, 510–542. [Google Scholar] [CrossRef]
- Pogocki, D.; Ruman, T.; Danilczuk, M.; Danilczuk, M.; Celuch, M.; Wałajtys-Rode, E. Application of nicotine enantiomers, derivatives and analogues in therapy of neurodegenerative disorders. Eur. J. Pharmacol. 2007, 563, 18–39. [Google Scholar] [CrossRef]
- Liu, Z.; Luan, N.; Shen, L.; Li, J.; Zou, D.; Wu, Y.; Wu, Y. Palladium-Catalyzed Hiyama Cross-Couplings of Arylsilanes with 3-Iodoazetidine: Synthesis of 3-Arylazetidines. J. Org. Chem. 2019, 84, 12358–12365. [Google Scholar] [CrossRef]
- Kappe, C.O. 100 YEARS OF THE BlGlNELLl DIHYDROPYRIMIDINE SYNTHESIS. Tetrahedron 1993, 49, 6937–6963. [Google Scholar] [CrossRef]
- Kappe, C.O. Synthesis of octahydroquinazolinone derivatives using silica sulfuric acid as an efficient catalyst. Eur. J. Med. Chem. 2000, 35, 1043–1052. [Google Scholar] [CrossRef]
- Dallinger, D.; Stadler, A.; Kappe, C.O. Solid-and solution-phase synthesis of bioactive dihydropyrimidines. Pure Appl. Chem. 2004, 76, 1017–1024. [Google Scholar] [CrossRef][Green Version]
- Deres, K.; Schröder, C.H.; Paessens, A.; Goldmann, S.; Hacker, H.J.; Weber, O.; Rübsamen-Waigmann, H. Inhibition of hepatitis B virus replication by drug-induced depletion of nucleocapsids. Science 2003, 299, 893–896. [Google Scholar] [CrossRef]
- Liu, M.X.; Gong, H.P.; Quan, Z.J.; Wang, X.C. Palladium-Catalyzed Copper-Promoted Hiyama-Type Carbon–Carbon Cross-Coupling Reactions of Dihetaryl Disulfides as Electrophiles. Synlett 2018, 29, 330–335. [Google Scholar] [CrossRef]
- Hamasaka, G.; Sakurai, F.; Uozumi, Y.; Hamasaka, G.; Sakurai, F.; Uozumi, Y. A palladium NNC-pincer complex: An efficient catalyst for allylic arylation at parts per billion levels. Chem. Commun. 2015, 51, 3886–3888. [Google Scholar] [CrossRef]
- Hamasaka, G.; Ichii, S.; Uozumi, Y. A Palladium NNC-Pincer Complex as an Efficient Catalyst Precursor for the Mizoroki− Heck Reaction. Adv. Synth. Catal. 2018, 360, 1833–1840. [Google Scholar] [CrossRef]
- Ichii, S.; Hamasaka, G.; Uozumi, Y. The Hiyama Cross-Coupling Reaction at Parts Per Million Levels of Pd: In Situ Formation of Highly Active Spirosilicates in Glycol Solvents. Chem. Asian J. 2019, 14, 3850–3854. [Google Scholar] [CrossRef]
- Hughes, A.B. Amino Acids, Peptides and Proteins in Organic Chemistry, Analysis and Function of Amino Acids and Peptides; John Wiley & Sons: Hoboken, NJ, USA, 2013. [Google Scholar]
- Greenberg, A.; Breneman, C.M.; Liebman, J.F. The Amide Linkage: Structural Significance in Chemistry, Biochemistry and Materials Science; John Wiley & Sons: Hoboken, NJ, USA, 2002. [Google Scholar]
- Idris, M.A.; Lee, S. Palladium-Catalyzed Amide N–C Hiyama Cross-Coupling: Synthesis of Ketones. Org. Lett. 2020, 22, 9190–9195. [Google Scholar] [CrossRef]
- Wu, X.X.; Ye, H.; Jiang, G.; Hu, L. Domino Heck/Hiyama cross-coupling: Trapping of the σ-alkylpalladium intermediate with arylsilanes. Org. Biomol. Chem. 2021, 19, 4254–4257. [Google Scholar] [CrossRef]
- Gonzalez-Lopez de Turiso, F.; Shin, Y.; Brown, M.; Cardozo, M.; Chen, Y.; Fong, D.; Cushing, T.D. Discovery and in vivo evaluation of dual PI3Kβ/δ inhibitors. J. Med. Chem. 2012, 55, 7667–7685. [Google Scholar] [CrossRef] [PubMed]
- Ye, H.; Zhang, R.; Xia, X.; Ding, Y.; Sun, M.; Shi, L.; Wu, X.X. Synthesis of (Hetero) Aryl-Functionalized Azaindoline Derivatives by Palladium-Catalyzed Domino Heck Cyclization/Hiyama Cross-Coupling. Synthesis 2021, 53, 4079–4085. [Google Scholar] [CrossRef]
- Clarke, M.L. First Microwave-Accelerated Hiyama Coupling of Aryl-and Vinylsiloxane Derivatives: Clean Cross-Coupling of Aryl Chlorides within Minutes. Adv. Synth. Catal. 2005, 347, 303–307. [Google Scholar] [CrossRef]
- Pierrat, P.; Gros, P.; Fort, Y. Hiyama Cross-Coupling of Chloro-, Fluoro-, and Methoxypyridyltrimethylsilanes: Room-Temperature Novel Access to Functional Bi(het)aryl. Org. Lett. 2005, 7, 697–700. [Google Scholar] [CrossRef]
- Mino, T.; Shirae, Y.; Saito, T.; Sakamoto, M.; Fujita, T. Palladium-catalyzed Sonogashira and Hiyama reactions using phosphine-free hydrazone ligands. J. Org. Chem. 2006, 71, 9499–9502. [Google Scholar] [CrossRef] [PubMed]
- Tonogaki, K.; Itami, K.; Yoshida, J.I. Catalytic four-component assembly based on allenylboronate platform: New access to privileged allylic amine structures. J. Am. Chem. Soc. 2006, 128, 1464–1465. [Google Scholar] [CrossRef]
- Iftikhar, R.; Zahoor, A.F.; Ahmad, S.; Haq, A.U.; Naheed, S. Revisiting the Synthesis of Betti Bases: Facile, One-pot, and Efficient Synthesis of Betti Bases Promoted by FeCl3• 6H2O. Curr. Org. Syn. 2022, 19, 569–577. [Google Scholar] [CrossRef]
- Akai, S.; Ikawa, T.; Takayanagi, S.I.; Morikawa, Y.; Mohri, S.; Tsubakiyama, M.; Kita, Y. Synthesis of Biaryl Compounds through Three-Component Assembly: Ambidentate Effect of the tert-Butyldimethylsilyl Group for Regioselective Diels–Alder and Hiyama Coupling Reactions. Angew. Chem. Int. Ed. 2008, 47, 7673–7676. [Google Scholar] [CrossRef]
- Ines, B.; SanMartin, R.; Churruca, F.; Dominguez, E.; Urtiaga, M.K.; Arriortua, M.I. A nonsymmetric pincer-type palladium catalyst in Suzuki, Sonogashira, and Hiyama couplings in neat water. Organometallics 2008, 27, 2833–2839. [Google Scholar] [CrossRef]
- Chen, S.N.; Wu, W.Y.; Tsai, F.Y. Hiyama reaction of aryl bromides with arylsiloxanes catalyzed by a reusable palladium (II)/cationic bipyridyl system in water. Tetrahedron 2008, 64, 8164–8168. [Google Scholar] [CrossRef]
- Shirbin, S.J.; Boughton, B.A.; Zammit, S.C.; Zanatta, S.D.; Marcuccio, S.M.; Hutton, C.A.; Williams, S.J. Copper-free palladium-catalyzed Sonogashira and Hiyama cross-couplings using aryl imidazol-1-ylsulfonates. Tetrahedron Lett. 2010, 51, 2971–2974. [Google Scholar] [CrossRef]
- Marcuccio, S.M.; Epa, R.; Moslmani, M.; Hughes, A.B. Improved Hiyama cross-coupling reactions using HOMSi® reagents: A novel application of a palladacycle. Tetrahedron Lett. 2011, 52, 7178–7181. [Google Scholar] [CrossRef]
- Jang, M.; Cai, L.; Udeani, G.O.; Slowing, K.V.; Thomas, C.F.; Beecher, C.W.; Pezzuto, J.M. Cancer Chemopreventive Activity of Resveratrol, a Natural Product Derived from Grapes. Science 1997, 275, 218–220. [Google Scholar] [CrossRef] [PubMed]
- Pettit, G.R.; Rhodes, M.R.; Herald, D.L.; Hamel, E.; Schmidt, J.M.; Pettit, R.K. Antineoplastic agents. 445. Synthesis and evaluation of structural modifications of (Z)-and (E)-combretastatin A-4. J. Med. Chem. 2005, 48, 4087–4099. [Google Scholar] [CrossRef]
- Baur, J.A.; Sinclair, D.A. Therapeutic potential of resveratrol: The in vivo evidence. Nat. Rev. Drug Discov. 2006, 5, 493–506. [Google Scholar] [CrossRef]
- Pan, M.H.; Ghai, G.; Ho, C.T. Food bioactives, apoptosis, and cancer. Mol. Nutr. Food Res. 2008, 52, 43–52. [Google Scholar] [CrossRef]
- Segura, J.L.; Martín, N.; Guldi, D.M. Materials for organic solar cells: The C 60/π-conjugated oligomer approach. Chem. Soc. Rev. 2005, 34, 31–47. [Google Scholar] [CrossRef]
- Samuel, I.D.W.; Turnbull, G.A. Organic Semiconductor Lasers. Chem. Rev. 2007, 107, 1272–1295. [Google Scholar] [CrossRef]
- Skarżyńska, A.; Majchrzak, M.; Trzeciak, A.M.; Marciniec, B. An efficient synthesis of functional stilbenes in Hiyama coupling reaction catalysed by H-spirophosphorane palladium complex. J. Mol. Catal. A Chem. 2011, 351, 128–135. [Google Scholar] [CrossRef]
- Cheng, K.; Hu, S.; Zhao, B.; Zhang, X.M.; Qi, C. Palladium-catalyzed hiyama-type cross-coupling reactions of arenesulfinates with organosilanes. J. Org. Chem. 2013, 78, 5022–5025. [Google Scholar] [CrossRef]
- Chang, S.; Jin, Y.; Zhang, X.R.; Sun, Y.B. Carbonylative Hiyama coupling of aryl halides with arylsilanes under balloon pressure of CO. Tetrahedron Lett. 2016, 57, 2017–2020. [Google Scholar] [CrossRef]
- Cheltsov, A.V.; Aoyagi, M.; Aleshin, A.; Yu, E.C.W.; Gilliland, T.; Zhai, D.; Abagyan, R. Vaccinia virus virulence factor N1L is a novel promising target for antiviral therapeutic intervention. J. Med. Chem. 2010, 53, 3899–3906. [Google Scholar] [CrossRef] [PubMed]
- Messaoudi, S.; Hamze, A.; Provot, O.; Tréguier, B.; Bignon, J.; Liu, J.M.; Alami, M. Discovery of isoerianin analogues as promising anticancer agents. ChemMedChem 2011, 6, 488–497. [Google Scholar] [CrossRef] [PubMed]
- Han, C.; Zhang, Z.; Xu, S.; Wang, K.; Chen, K.; Zhao, J. Palladium-Catalyzed Hiyama Coupling of Benzylic Ammonium Salts via C–N Bond Cleavage. J. Org. Chem. 2019, 84, 16308–16313. [Google Scholar] [CrossRef] [PubMed]
- Hiyama, T.; Oestreich, M. Organosilicon Chemistry—Novel Approaches and Reactions; Wiley-VCH: Weinheim, Germany, 2019. [Google Scholar]
- Wisthoff, M.F.; Pawley, S.B.; Cinderella, A.P.; Watson, D.A. Stereoselective synthesis of cis-and trans-tetrasubstituted vinyl silanes using a silyl-heck strategy and hiyama conditions for their cross-coupling. J. Am. Chem. Soc. 2020, 142, 12051–12055. [Google Scholar] [CrossRef]
- Orha, L.; Papp, Á.; Tukacs, J.M.; Kollár, L.; Mika, L.T. Tetrabutylphosphonium 4-ethoxyvalerate as a biomass-originated media for homogeneous palladium-catalyzed Hiyama coupling reactions. Chem. Pap. 2020, 74, 4593–4598. [Google Scholar] [CrossRef]
- Yin, L.; Liebscher, J. Carbon−Carbon Coupling Reactions Catalyzed by Heterogeneous Palladium Catalysts. Chem. Rev. 2007, 107, 133–173. [Google Scholar] [CrossRef]
- Nishimura, S. Handbook of Heterogeneous Catalytic Hydrogenation for Organic Synthesis; Wiley: New York, NY, USA, 2001. [Google Scholar]
- Yanase, T.; Mori, S.; Monguchi, Y.; Sajiki, H. Pd/C-catalyzed and water-mediated Hiyama cross-coupling reaction using an electron-deficient phosphine ligand. Chem. Lett. 2011, 40, 910–912. [Google Scholar] [CrossRef]
- Monguchi, Y.; Yanase, T.; Mori, S.; Sajiki, H. A practical protocol for the hiyama cross-coupling reaction catalyzed by palladium on carbon. Synthesis 2013, 45, 40–44. [Google Scholar] [CrossRef][Green Version]
- Yanase, T.; Monguchi, Y.; Sajiki, H. Ligand-free Hiyama cross-coupling reaction catalyzed by palladium on carbon. RSC Adv. 2012, 2, 590–594. [Google Scholar] [CrossRef]
- Gu, Y.; Jerome, F. Bio-based solvents: An emerging generation of fluids for the design of eco-efficient processes in catalysis and organic chemistry. Chem. Soc. Rev. 2013, 42, 9550–9570. [Google Scholar] [CrossRef] [PubMed]
- Ismalaj, E.; Strappaveccia, G.; Ballerini, E.; Elisei, F.; Piermatti, O.; Gelman, D.; Vaccaro, L. γ-Valerolactone as a Renewable Dipolar Aprotic Solvent Deriving from Biomass Degradation for the Hiyama Reaction. ACS Sustain. Chem. Eng. 2014, 2, 2461–2464. [Google Scholar] [CrossRef]
- Diederich, F.; Stang, P.J. (Eds.) . Metal-Catalyzed Cross-Coupling Reactions; John Wiley & Sons: Hoboken, NJ, USA, 2008. [Google Scholar]
- Sreedhar, B.; Kumar, A.S.; Yada, D. Magnetically Recoverable Pd/Fe3O4-Catalyzed Hiyama Cross-Coupling of Aryl Bromides with Aryl Siloxanes. Synlett 2011, 2011, 1081–1084. [Google Scholar] [CrossRef]
- Lee, W.S.; Byun, S.; Kwon, J.; Kim, B.M. Magnetic Pd–Fe3O4 Heterodimer Nanocrystals as Recoverable Catalysts for Ligand-Free Hiyama Cross-Coupling Reactions. Bull. Korean Chem. Soc. 2016, 37, 1992–1997. [Google Scholar] [CrossRef]
- Kantchev, E.A.B.; O’Brien, C.J.; Organ, M.G. Palladium complexes of N-heterocyclic carbenes as catalysts for cross-coupling reactions—A synthetic chemist’s perspective. Angew. Chem. Int. Ed. 2007, 46, 2768–2813. [Google Scholar] [CrossRef]
- Marion, N.; Nolan, S.P. Well-defined N-heterocyclic carbenes− palladium (II) precatalysts for cross-coupling reactions. Acc. Chem. Res. 2008, 41, 1440–1449. [Google Scholar] [CrossRef]
- Fortman, G.C.; Nolan, S.P. N-Heterocyclic carbene (NHC) ligands and palladium in homogeneous cross-coupling catalysis: A perfect union. Chem. Soc. Rev. 2011, 40, 5151–5169. [Google Scholar] [CrossRef]
- Diez-Gonzalez, S.; Marion, N.; Nolan, S.P. N-heterocyclic Carbenes in Late Transition Metal Catalysis. Chem. Rev. 2009, 109, 3612–3676. [Google Scholar] [CrossRef]
- Penafiel, I.; Pastor, I.M.; Yus, M.; Esteruelas, M.A.; Olivan, M.; Onate, E. (NHC) Palladium Complexes from Hydroxy-Functionalized Imidazolium Salts as Catalyst for the Microwave-Accelerated Fluorine-Free Hiyama Reaction. Eur. J. Org. Chem. 2011, 2011, 7174–7181. [Google Scholar] [CrossRef]
- Peñafiel, I.; Pastor, I.M.; Yus, M. NHC-Ligand Effectiveness in the Fluorine-Free Hiyama Reaction of Aryl Halides. Eur. J. Org. Chem. 2013, 2013, 1479–1484. [Google Scholar] [CrossRef]
- Yang, J.; Wang, L. Synthesis and characterization of dinuclear NHC–palladium complexes and their applications in the Hiyama reactions of aryltrialkyoxysilanes with aryl chlorides. Dalton Trans. 2012, 41, 12031–12037. [Google Scholar] [CrossRef] [PubMed]
- Rostamnia, S.; Hossieni, H.G.; Doustkhah, E. Homoleptic chelating N-heterocyclic carbene complexes of palladium immobilized within the pores of SBA-15/IL (NHC–Pd@ SBA-15/IL) as heterogeneous catalyst for Hiyama reaction. J. Organomet. Chem. 2015, 791, 18–23. [Google Scholar] [CrossRef]
- Yang, J. Mono-and dinuclear palladium (ii) complexes containing both N-heterocyclic carbenes and tetrazole ligands as catalysts for Hiyama coupling. New J. Chem. 2016, 40, 9739–9745. [Google Scholar] [CrossRef]
- Yasar, S.; Sahin, C.; Arslan, M.; Ozdemir, I. Synthesis, characterization and the Suzuki-Miyaura coupling reactions of N-heterocyclic carbene-Pd (II)-pyridine (PEPPSI) complexes. J. Organomet. Chem. 2015, 776, 107–112. [Google Scholar] [CrossRef]
- Rajabi, F.; Thiel, W.R. An Efficient Palladium N-Heterocyclic Carbene Catalyst Allowing the Suzuki–Miyaura Cross-Coupling of Aryl Chlorides and Arylboronic Acids at Room Temperature in Aqueous Solution. Adv. Synth. Catal. 2014, 356, 1873–1877. [Google Scholar] [CrossRef]
- Dunsford1, J.J.; Cavell, K.J. Pd–PEPPSI-type expanded ring N-heterocyclic carbene complexes: Synthesis, characterization, and catalytic activity in Suzuki–Miyaura cross coupling. Organometallics 2014, 33, 2902–2905. [Google Scholar] [CrossRef]
- Chen, M.T.; Vicic, D.A.; Turner, M.L.; Navarro, O. (N-heterocyclic carbene) PdCl2 (TEA) complexes: Studies on the effect of the “throw-away” ligand in catalytic activity. Organometallics 2011, 30, 5052–5056. [Google Scholar] [CrossRef]
- Benhamou, L.; Besnard, C.; Kündig, E.P. Chiral PEPPSI Complexes: Synthesis, Characterization, and Application in Asymmetric Suzuki–Miyaura Coupling Reactions. Organometallics 2014, 33, 260–266. [Google Scholar] [CrossRef]
- Ray, L.; Shaikh, M.M.; Ghosh, P. Air-stable, convenient to handle Pd based PEPPSI (pyridine enhanced precatalyst preparation, stabilization and initiation) themed precatalysts of N/O-functionalized N-heterocyclic carbenes and its utility in Suzuki–Miyaura cross-coupling reaction. Dalton Trans. 2007, 40, 4546–4555. [Google Scholar] [CrossRef]
- Modak, S.; Gangwar, M.K.; Rao, M.N.; Madasu, M.; Kalita, A.C.; Dorcet, V.; Ghosh, P. Fluoride-free Hiyama coupling by palladium abnormal N-heterocyclic carbene complexes. Dalton Trans. 2015, 44, 17617–17628. [Google Scholar] [CrossRef]
- Dash, C.; Shaikh, M.M.; Ghosh, P. Fluoride-Free Hiyama and Copper-and Amine-Free Sonogashira Coupling in Air in a Mixed Aqueous Medium by a Series of PEPPSI-Themed Precatalysts. Eur. J. Inorg. Chem. 2009, 2009, 1608–1618. [Google Scholar] [CrossRef]
- Mitsui, T.; Sugihara, M.; Tokoro, Y.; Fukuzawa, S.I. Synthesis of adamantyl substituted 1, 2, 3-triazol-5-ylidene ligands and their PEPPSI-type palladium complexes. Tetrahedron 2015, 71, 1509–1514. [Google Scholar] [CrossRef]
- Osińska, M.; Gniewek, A.; Trzeciak, A.M. Suzuki–Miyaura and Hiyama coupling catalyzed by PEPPSI-type complexes with non-bulky NHC ligand. J. Mol. Catal. A Chem. 2016, 418, 9–18. [Google Scholar] [CrossRef]
- Astruc, D. Palladium Nanoparticles as Efficient Green Homogeneous and Heterogeneous Carbon−Carbon Coupling Precatalysts: A Unifying View. Inorg. Chem. 2007, 46, 1884–1894. [Google Scholar] [CrossRef] [PubMed]
- Favier, I.; Pla, D.; Gómez, M. Palladium Nanoparticles in Polyols: Synthesis, Catalytic Couplings, and Hydrogenations. Chem. Rev. 2020, 120, 1146–1183. [Google Scholar] [CrossRef] [PubMed]
- Samanta, D.; Sawoo, S.; Sarkar, A. In situ generation of gold nanoparticles on a protein surface: Fischer carbene complex as reducing agent. Chem. Commun 2006, 32, 3438–3440. [Google Scholar] [CrossRef]
- Srimani, D.; Sawoo, S.; Sarkar, A. Convenient synthesis of palladium nanoparticles and catalysis of Hiyama coupling reaction in water. Org. Lett. 2007, 9, 3639–3642. [Google Scholar] [CrossRef]
- Ranu, B.C.; Dey, R.; Chattopadhyay, K. A one-pot efficient and fast Hiyama coupling using palladium nanoparticles in water under fluoride-free conditions. Tetrahedron Lett. 2008, 49, 3430–3432. [Google Scholar] [CrossRef]
- Leeson, P.D.; Emmett, J.C.; Shah, V.P.; Showell, G.A.; Novelli, R.; Prain, H.D.; Benson, M.G.; Ellis, D.; Pearce, N.J.; Underwood, A.H. Selective thyromimetics. Cardiac-sparing thyroid hormone analogs containing 3’-arylmethyl substituents. J. Med. Chem. 1989, 32, 320–336. [Google Scholar] [CrossRef]
- Yi-Yin, K.; Patel, R.R.; Sawick, D.P. A general, convenient and highly efficient synthesis of diarylmethanes by copper-catalyzed reaction. Tetrahedron Lett. 1996, 37, 1949–1952. [Google Scholar] [CrossRef]
- Gangjee, A.; Devraj, R.; Queener, S.F. Synthesis and dihydrofolate reductase inhibitory activities of 2, 4-diamino-5-deaza and 2, 4-diamino-5, 10-dideaza lipophilic antifolates. J. Med. Chem. 1997, 40, 470–478. [Google Scholar] [CrossRef] [PubMed]
- Gangjee, A.; Vasudevan, A.; Queener, S.F. Conformationally restricted analogues of trimethoprim: 2, 6-diamino-8-substituted purines as potential dihydrofolate reductase inhibitors from Pneumocystis carinii and Toxoplasma gondii. J. Med. Chem. 1997, 40, 3032–3039. [Google Scholar] [CrossRef] [PubMed]
- McPhail, K.L.; Rivett, D.E.; Lack, D.E.; Davies-Coleman, M.T. The structure and synthesis of tsitsikammafuran: A new furanosesquiterpene from a South African Dysidea sponge. Tetrahedron 2000, 56, 9391–9396. [Google Scholar] [CrossRef]
- Philp, D.; Stoddart, J.F. Self-Assembly in Natural and Unnatural Systems. Angew. Chem. Int. Ed. Engl. 1996, 35, 1154–1196. [Google Scholar] [CrossRef]
- Conn, M.M.; Rebek, J. Self-Assembling Capsules. Chem. Rev. 1997, 97, 1647–1668. [Google Scholar] [CrossRef]
- Jasat, A.; Sherman, J.C. Carceplexes and Hemicarceplexes. Chem Rev. 1999, 99, 931–968. [Google Scholar] [CrossRef]
- Ma, J.C.; Dougherty, D.A. The Cation−π Interaction. Chem. Rev. 1997, 97, 1303–1324. [Google Scholar] [CrossRef]
- Luo, C.; Zhang, Y.; Wang, Y. Palladium nanoparticles in poly (ethyleneglycol): The efficient and recyclable catalyst for Heck reaction. J. Mol. Catal. A Chem. 2005, 229, 7–12. [Google Scholar] [CrossRef]
- Srimani, D.; Bej, A.; Sarkar, A. Palladium nanoparticle catalyzed Hiyama coupling reaction of benzyl halides. J. Org. Chem. 2010, 75, 4296–4299. [Google Scholar] [CrossRef]
- Zhang, L.; Li, P.; Li, H.; Wang, L. A recyclable magnetic nanoparticles supported palladium catalyst for the Hiyama reaction of aryltrialkoxysilanes with aryl halides. Catal. Sci. Technol. 2012, 2, 1859–1864. [Google Scholar] [CrossRef]
- Premi, C.; Jain, N. Phosphane-Free Hiyama Cross-Coupling of Aryl and Heteroaryl Halides Catalyzed by Palladium Nanoparticles in Ionic Liquids. Eur. J. Org. Chem. 2013, 2013, 5493–5499. [Google Scholar] [CrossRef]
- Rettig, M.F.; Maitlis, P.M.; Cotton, F.A.; Webb, T.R. Tetrakis (tert-Butyl Isocyanide) Di-μ-Chlorodipalladium (I). Inorganic Syntheses: Reagents for Transition Metal Complex and Organometallic Syntheses. Inorg. Synth. 1990, 28, 110–113. [Google Scholar] [CrossRef]
- Trilla, M.; Pleixats, R.; Parella, T.; Blanc, C.; Dieudonné, P.; Guari, Y.; Man, M.W.C. Ionic liquid crystals based on mesitylene-containing bis-and trisimidazolium salts. Langmuir 2008, 24, 259–265. [Google Scholar] [CrossRef] [PubMed]
- Planellas, M.; Moglie, Y.; Alonso, F.; Yus, M.; Pleixats, R.; Shafir, A. Heck, Sonogashira, and Hiyama Reactions Catalyzed by Palladium Nanoparticles Stabilized by Tris-Imidazolium Salt. Eur. J. Org. Chem. 2014, 2014, 3001–3008. [Google Scholar] [CrossRef]
- Huang, S.H.; Liu, C.H.; Yang, C.M. Efficient ligand-free Hiyama cross-coupling reaction catalyzed by functionalized SBA-15-supported Pd nanoparticles. Green Chem. 2014, 16, 2706–2712. [Google Scholar] [CrossRef]
- Nasrollahzadeh, M.; Sajadi, S.M.; Honarmand, E.; Maham, M. Preparation of palladium nanoparticles using Euphorbia thymifolia L. leaf extract and evaluation of catalytic activity in the ligand-free Stille and Hiyama cross-coupling reactions in water. New J. Chem. 2015, 39, 4745–4752. [Google Scholar] [CrossRef]
- Hosseini-Sarvari, M.; Razmi, Z. Palladium Supported on Zinc Oxide Nanoparticles as Efficient Heterogeneous Catalyst for Suzuki Miyaura and Hiyama Reactions under Normal Laboratory Conditions. Helv. Chim. Acta 2015, 98, 805–818. [Google Scholar] [CrossRef]
- Ohtaka, A.; Kotera, T.; Sakon, A.; Ueda, K.; Hamasaka, G.; Uozumi, Y.; Nomura, R. Fluoride-Free Hiyama Coupling Reaction Catalyzed by Linear Polystyrene-Stabilized PdO Nanoparticles in Water: Specific Reactivity of PdO Nanoparticles over Pd nanoparticles. Synlett 2016, 27, 1202–1206. [Google Scholar] [CrossRef]
- Doustkhah, E.; Rostamnia, S.; Hossieni, H.G.; Luque, R. Covalently Bonded PIDA on SBA-15 as Robust Pd Support: Water-Tolerant Designed Catalysts for Aqueous Suzuki Couplings. ChemistrySelect 2017, 2, 329–334. [Google Scholar] [CrossRef]
- Rostamnia, S.; Alamgholiloo, H.; Liu, X. Pd-grafted open metal site copper-benzene-1, 4-dicarboxylate metal organic frameworks (Cu-BDC MOF’s) as promising interfacial catalysts for sustainable Suzuki coupling. J. Colloid Interface Sci. 2016, 469, 310–317. [Google Scholar] [CrossRef]
- Rostamnia, S.; Doustkhah, E.; Zeynizadeh, B. Cationic modification of SBA-15 pore walls for Pd supporting: Pd@ SBA-15/ILDABCO as a catalyst for Suzuki coupling in water medium. Microporous Mesoporous Mater. 2016, 222, 87–93. [Google Scholar] [CrossRef]
- Yousaf, M.; Zahoor, A.F.; Akhtar, R.; Ahmad, M.; Naheed, S. Development of green methodologies for Heck, Chan-Lam, Stille and Suzuki cross-coupling reactions. Mol. Divers. 2020, 24, 821–839. [Google Scholar] [CrossRef] [PubMed]
- Ruiz, C.C.; Molina-Bolivar, J.A.; Aguiar, J.; MacIsaac, G.; Moroze, S.; Palepu, R. Thermodynamic and Structural Studies of Triton X-100 Micelles in Ethylene Glycol-Water Mixed Solvents. Langmuir 2001, 17, 6831–6840. [Google Scholar] [CrossRef]
- Samiey, B.; Cheng, C.H.; Wu, J. Effects of surfactants on the rate of chemical reactions. J. Chem. 2014, 2014, 908476. [Google Scholar] [CrossRef]
- Gaikwad, D.S.; Undale, K.A.; Patil, D.B.; Pore, D.M.; Kamble, A.A. Triton X-100 stabilized Pd nanoparticles and their catalytic application in one-pot sequential Heck and Hiyama coupling in water. Res. Chem. Intermed. 2018, 44, 265–275. [Google Scholar] [CrossRef]
- Ahmad, N.; Fazal, H.; Abbasi, B.H.; Farooq, S.; Ali, M.; Khan, M.A. Biological role of Piper nigrum L. (Black pepper): A review. Asian Pac. J. Trop. Biomed. 2012, 2, S1945–S1953. [Google Scholar] [CrossRef]
- Kandathil, V.; Dateer, R.B.; Sasidhar, B.S.; Patil, S.A.; Patil, S.A. Green synthesis of palladium nanoparticles: Applications in aryl halide cyanation and hiyama cross-coupling reaction under ligand free conditions. Catal. Lett. 2018, 148, 1562–1578. [Google Scholar] [CrossRef]
- Galano, A.; Alvarez-Idaboy, J.R.; Vivier-Bunge, A. Non-alkane behavior of cyclopropane and its derivatives: Characterization of unconventional hydrogen bond interactions. Theor. Chem. Acc. 2007, 118, 597–606. [Google Scholar] [CrossRef]
- Wiberg, K.B. Bent bonds in organic compounds. Acc. Chem. Res. 1996, 29, 229–234. [Google Scholar] [CrossRef]
- Pietruszka, J. Synthesis and properties of oligocyclopropyl-containing natural products and model compounds. Chem. Rev. 2003, 103, 1051–1070. [Google Scholar] [CrossRef]
- Wessjohann, L.A.; Brandt, W.; Thiemann, T. Biosynthesis and metabolism of cyclopropane rings in natural compounds. Chem. Rev. 2003, 103, 1625–1648. [Google Scholar] [CrossRef]
- Donaldson, W.A. Synthesis of cyclopropane containing natural products. Tetrahedron 2001, 57, 8589–8627. [Google Scholar] [CrossRef]
- Beaulieu, L.P.B.; Delvos, L.B.; Charette, A.B. Dual Role of Silanol Groups in Cyclopropanation and Hiyama− Denmark Cross-Coupling Reactions. Org. Lett. 2010, 12, 1348–1351. [Google Scholar] [CrossRef] [PubMed]
- Deng, J.Z.; Paone, D.V.; Ginnetti, A.T.; Kurihara, H.; Dreher, S.D.; Weissman, S.A.; Burgey, C.S. Copper-Facilitated Suzuki Reactions: Application to 2-Heterocyclic Boronates. Org. Lett. 2009, 11, 345–347. [Google Scholar] [CrossRef] [PubMed]
- Traficante, C.I.; Mata, E.G.; Delpiccolo, C.M. Very efficient and broad-in-scope palladium-catalyzed Hiyama cross-coupling. The role of water and copper (i) salts. RSC Adv. 2015, 5, 26796–26800. [Google Scholar] [CrossRef]
- Chang, W.T.T.; Smith, R.C.; Regens, C.S.; Bailey, A.D.; Werner, N.S.; Denmark, S.E. Cross-coupling with organosilicon compounds. Org. React. 2004, 75, 213–746. [Google Scholar] [CrossRef]
- Sore, H.F.; Galloway, W.R.; Spring, D.R. Palladium-catalysed cross-coupling of organosilicon reagents. Chem. Soc. Rev. 2012, 41, 1845–1866. [Google Scholar] [CrossRef] [PubMed]
- Hiyama, T. How I came across the silicon-based cross-coupling reaction. J. Organomet. Chem. 2002, 653, 58–61. [Google Scholar] [CrossRef]
- Denmark, S.E.; Liu, J.H.C. Silicon-Based Cross-Coupling Reactions in the Total Synthesis of Natural Products. Angew. Chem. Int. Ed. 2010, 49, 2978–2986. [Google Scholar] [CrossRef]
- Handy, C.J.; Manoso, A.S.; McElroy, W.T.; Seganish, W.M.; DeShong, P. Recent advances in siloxane-based aryl–aryl coupling reactions: Focus on heteroaromatic systems. Tetrahedron 2005, 52, 12201–12225. [Google Scholar] [CrossRef]
- Shukla, K.H.; DeShong, P. Advances in siloxane-based coupling reactions: Application of palladium-mediated allyl-aryl coupling to the synthesis of pancratistatin derivatives: The formal total synthesis of (±)-7-deoxypancratistatin. Heterocycles 2012, 86, 1055–1069. [Google Scholar] [CrossRef]
- Gurung, S.K.; Thapa, S.; Vangala, A.S.; Giri, R. Copper-catalyzed Hiyama coupling of (hetero) aryltriethoxysilanes with (hetero) aryl iodides. Org. Lett. 2013, 15, 5378–5381. [Google Scholar] [CrossRef] [PubMed]
- Cornelissen, L.; Cirriez, V.; Vercruysse, S.; Riant, O. Copper-catalyzed Hiyama cross-coupling using vinylsilanes and benzylic electrophiles. Chem. Commun. 2014, 50, 8018–8020. [Google Scholar] [CrossRef] [PubMed]
- Pachón, L.D.; Thathagar, M.B.; Hartl, F.; Rothenberg, G. Palladium-coated nickel nanoclusters: New Hiyama cross-coupling catalysts. Phys. Chem. Chem. Phys. 2006, 8, 151–157. [Google Scholar] [CrossRef] [PubMed]
- Strotman, N.A.; Sommer, S.; Fu, G.C. Hiyama reactions of activated and unactivated secondary alkyl halides catalyzed by a nickel/norephedrine complex. Angew. Chem. 2007, 119, 3626–3628. [Google Scholar] [CrossRef]
- Dai, X.; Strotman, N.A.; Fu, G.C. Catalytic asymmetric Hiyama cross-couplings of racemic α-bromo esters. J. Am. Chem. Soc. 2008, 130, 3302–3303. [Google Scholar] [CrossRef] [PubMed]
- Saijo, H.; Sakaguchi, H.; Ohashi, M.; Ogoshi, S. Base-Free Hiyama Coupling Reaction via a Group 10 Metal Fluoride Intermediate Generated by C–F Bond Activation. Organometallics 2014, 33, 3669–3672. [Google Scholar] [CrossRef]
- Purser, S.; Moore, P.R.; Swallow, S.; Gouverneur, V. Fluorine in medicinal chemistry. Chem. Soc. Rev. 2008, 37, 320–330. [Google Scholar] [CrossRef]
- Wu, Y.; Zhang, H.R.; Cao, Y.X.; Lan, Q.; Wang, X.S. Nickel-Catalyzed Monofluoroalkylation of Arylsilanes via Hiyama Cross-Coupling. Org. Lett. 2016, 18, 5564–5567. [Google Scholar] [CrossRef]
- Edwin Raja, G.C.; Irudayanathan, F.M.; Kim, H.S.; Kim, J.; Lee, S. Nickel-catalyzed Hiyama-type decarboxylative coupling of propiolic acids and organosilanes. J. Org. Chem. 2016, 81, 5244–5249. [Google Scholar] [CrossRef]
- Sporn, M.B.; Roberts, A.B.; Goodman, D.S. The Retinoids: Biology, Chemistry and Medicine; Raven: New York, NY, USA, 1993. [Google Scholar]
- Montenegro, J.; Bergueiro, J.; Saá, C.; Lopez, S. Hiyama cross-coupling reaction in the stereospecific synthesis of retinoids. Org. Lett. 2009, 11, 141–144. [Google Scholar] [CrossRef] [PubMed]
- Macías, F.A.; Varela, R.M.; Torres, A.; Molinillo, J.M.G.; Fronczek, F.R. Novel sesquiterpene from bioactive fractions of cultivar sunflowers. Tetrahedron Lett. 1993, 34, 1999–2002. [Google Scholar] [CrossRef]
- Macias, F.A.; Molinillo, J.M.; Varela, R.M.; Torres, A.; Fronczek, F.R. Structural Elucidation and Chemistry of a Novel Family of Bioactive Sesquiterpenes: Heliannuols. J. Org. Chem. 1994, 59, 8261–8266. [Google Scholar] [CrossRef]
- Macías, F.A.; Varela, R.M.; Torres, A.; Molinillo, J.M.G.; Heliannuol, E. A Novel Bioactive Sesquiterpene of the Heliannane Family. Tetrahedron Lett. 1999, 40, 4725–4728. [Google Scholar] [CrossRef]
- Macías, F.A.; Varela, R.M.; Torres, A.; Molinillo, J.M. New bioactive plant heliannuols from cultivar sunflower leaves. J. Nat. Prod. 1999, 62, 1636–1639. [Google Scholar] [CrossRef]
- Macías, F.A.; Torres, A.; Galindo, J.L.G.; Varela, R.M.; Álvarez, J.A.; Molinillo, J.M.G. Bioactive terpenoids from sunflower leaves cv. Peredovick®. Phytochemistry 2002, 61, 687–692. [Google Scholar] [CrossRef]
- El Marsni, Z.; Torres, A.; Varela, R.M.; Molinillo, J.M.; Casas, L.; Mantell, C.; Macias, F.A. Isolation of bioactive compounds from sunflower leaves (Helianthus annuus L.) extracted with supercritical carbon dioxide. J. Agric. Food Chem. 2015, 63, 6410–6421. [Google Scholar] [CrossRef]
- Vyvyan, J.R. Allelochemicals as leads for new herbicides and agrochemicals. Tetrahedron 2002, 58, 1631–1646. [Google Scholar] [CrossRef]
- Macías, F.A.; Varela, R.M.; Torres, A.; Molinillo, J.M.G. Potential allelopathic activity of natural plant heliannanes: A proposal of absolute configuration and nomenclature. J. Chem. Ecol. 2000, 26, 2173–2186. [Google Scholar] [CrossRef]
- Vyvyan, J.R.; Engles, C.A.; Bray, S.L.; Wold, E.D.; Porter, C.L.; Konev, M.O. Synthesis of substituted Z-styrenes by Hiyama-type coupling of oxasilacycloalkenes: Application to the synthesis of a 1-benzoxocane. Beilstein J. Org. Chem. 2017, 13, 2122–2127. [Google Scholar] [CrossRef]
- Singh, S.N.; Fletcher, R.D.; Fisher, S.G.; Singh, B.N.; Lewis, H.D.; Deedwania, P.C.; Lazzeri, D. Amiodarone in patients with congestive heart failure and asymptomatic ventricular arrhythmia. N. Engl. J. Med. 1995, 333, 77–82. [Google Scholar] [CrossRef] [PubMed]
- Flynn, B.L.; Gill, G.S.; Grobelny, D.W.; Chaplin, J.H.; Paul, D.; Leske, A.F.; Kremmidiotis, G. Discovery of 7-hydroxy-6-methoxy-2-methyl-3-(3, 4, 5-trimethoxybenzoyl) benzo [b] furan (BNC105), a tubulin polymerization inhibitor with potent antiproliferative and tumor vascular disrupting properties. J. Med. Chem. 2011, 54, 6014–6027. [Google Scholar] [CrossRef] [PubMed]
- Shi, Y.Q.; Fukai, T.; Sakagami, H.; Chang, W.J.; Yang, P.Q.; Wang, F.P.; Nomura, T. Cytotoxic flavonoids with isoprenoid groups from Morus mongolica. J. Nat. Prod. 2001, 64, 181–188. [Google Scholar] [CrossRef] [PubMed]
- Naveen, M.; Reddy, C.U.; Hussain, M.M.; Chaitanya, M.; Narayanaswamy, G. Alternate and Efficient Method for the Total Synthesis of Egonol via Sonogashira Coupling Reaction. J. Heterocycl. Chem. 2013, 50, 1064–1066. [Google Scholar] [CrossRef]
- Choi, D.H.; Hwang, J.W.; Lee, H.S.; Yang, D.M.; Jun, J.G. Highly effective total synthesis of benzofuran natural product egonol. Bull. Korean Chem. Soc. 2008, 29, 1594–1596. [Google Scholar]
- Yuan, H.; Bi, K.J.; Li, B.; Yue, R.C.; Ye, J.; Shen, Y.H.; Zhang, W.D. Construction of 2-substituted-3-functionalized benzofurans via intramolecular heck coupling: Application to enantioselective total synthesis of daphnodorin B. Org. Lett. 2013, 15, 4742–4745. [Google Scholar] [CrossRef]
- Xia, Y.; Jin, Y.; Kaur, N.; Choi, Y.; Lee, K. HIF-1α inhibitors: Synthesis and biological evaluation of novel moracin O and P analogues. Eur. J. Med. Chem. 2011, 46, 2386–2396. [Google Scholar] [CrossRef]
- Kaur, N.; Xia, Y.; Jin, Y.; Dat, N.T.; Gajulapati, K.; Choi, Y.; Lee, K. The first total synthesis of moracin O and moracin P, and establishment of the absolute configuration of moracin O. Chem. Commun. 2009, 14, 1879–1881. [Google Scholar] [CrossRef]
- Singh, C.; Prakasham, A.P.; Gangwar, M.K.; Butcher, R.J.; Ghosh, P. One-pot tandem hiyama alkynylation/cyclizations by palladium (II) acyclic diaminocarbene (ADC) complexes yielding biologically relevant benzofuran scaffolds. ACS Omega 2018, 3, 1740–1756. [Google Scholar] [CrossRef]
- Kumar, A.; Gangwar, M.K.; Prakasham, A.P.; Mhatre, D.; Kalita, A.C.; Ghosh, P. Accessing a Biologically Relevant Benzofuran Skeleton by a One-Pot Tandem Heck Alkynylation/Cyclization Reaction Using Well-Defined Palladium N-Heterocyclic Carbene Complexes. Inorg. Chem. 2016, 55, 2882–2893. [Google Scholar] [CrossRef]
- Kumar, A.; Naaz, A.; Prakasham, A.P.; Gangwar, M.K.; Butcher, R.J.; Panda, D.; Ghosh, P. Potent anticancer activity with high selectivity of a chiral palladium N-Heterocyclic Carbene Complex. ACS Omega 2017, 2, 4632–4646. [Google Scholar] [CrossRef] [PubMed]
- Singh, C.; Prakasham, A.P.; Ghosh, P. Palladium Acyclic Diaminocarbene (ADC) Triflate Complexes as Effective Precatalysts for the Hiyama Alkynylation/Cyclization Reaction Yielding Benzofuran Compounds: Probing the Influence of the Triflate Co-Ligand in the One-Pot Tandem Reaction. ChemistrySelect. 2019, 4, 329–336. [Google Scholar] [CrossRef]
- Lee, J.Y.; Fu, G.C. Room-temperature Hiyama cross-couplings of arylsilanes with alkyl bromides and iodides. J. Am. Chem. Soc. 2003, 125, 5616–5617. [Google Scholar] [CrossRef]
- Alacid, E.; Najera, C. The first fluoride-free Hiyama reaction of vinylsiloxanes promoted by sodium hydroxide in water. Adv. Synth. Catal. 2006, 348, 2085–2091. [Google Scholar] [CrossRef]
- Modak, A.; Mondal, J.; Bhaumik, A. Pd-grafted periodic mesoporous organosilica: An efficient heterogeneous catalyst for Hiyama and Sonogashira couplings, and cyanation reactions. Green Chem. 2012, 14, 2840–2855. [Google Scholar] [CrossRef]
- Fuchita, Y.; Yoshinaga, K.; Hanaki, T.; Kawano, H.; Kinoshita-Nagaoka, J. Cyclopalladation of mono-, di-and tribenzylamine by palladium (II) acetate: Influence of bulkiness around the nitrogen atom of benzylamine upon internal metallation. J. Organomet. Chem. 1999, 580, 273–281. [Google Scholar] [CrossRef]
- Hajipour, A.R.; Rafiee, F. Application of a dimeric ortho-palladated complex of tribenzylamine as an efficient catalyst in microwave-assisted Hiyama coupling reactions. Appl. Organomet. Chem. 2012, 26, 51–55. [Google Scholar] [CrossRef]
- Morrison, R.T.; Boyd, R.N. Structures and Properties. Organic Chemistry, 5th ed.; Allyn and Bacon: Boston, MA, USA, 1987. [Google Scholar]
- Kirk, R.E.; Othmer, D.F.; Grayson, M.; Eckroth, D. Kirk-Othmer Concise Encyclopedia of Chemical Technology; Wiley-VCH: New York, NY, USA, 1985. [Google Scholar]
- Zhang, W.; Liu, F.; Li, K.; Zhao, B. Pd-catalyzed desulfitative Hiyama coupling with sulfonyl chlorides. Appl. Organomet. Chem. 2014, 28, 379–381. [Google Scholar] [CrossRef]
- Miao, H.; Wang, F.; Zhou, S.; Zhang, G.; Li, Y. Palladium-catalyzed Hiyama coupling reaction of arylsulfonyl hydrazides under oxygen. Org. Biomol. Chem. 2015, 13, 4647–4651. [Google Scholar] [CrossRef]
- Melvin, P.R.; Hazari, N.; Beromi, M.M.; Shah, H.P.; Williams, M. Pd-catalyzed Suzuki–Miyaura and Hiyama–Denmark couplings of aryl sulfamates. J. Org. Lett. 2016, 18, 5784–5787. [Google Scholar] [CrossRef]
- Xie, J.; Sekine, K.; Witzel, S.; Krämer, P.; Rudolph, M.; Rominger, F.; Hashmi, A.S.K. Light-Induced Gold-Catalyzed Hiyama Arylation: A Coupling Access to Biarylboronates. Angew. Chem. Int. Ed. 2018, 130, 16890–16895. [Google Scholar] [CrossRef]
- Marset, X.; De Gea, S.; Guillena, G.; Ramón, D. NCN–pincer–Pd complex as catalyst for the hiyama reaction in biomass-derived solvents. ACS Sustain. Chem. Eng. 2018, 6, 5743–5748. [Google Scholar] [CrossRef]
- Sobhani, S.; Moghadam, H.H.; Skibsted, J.; Sansano, J.M. A hydrophilic heterogeneous cobalt catalyst for fluoride-free Hiyama, Suzuki, Heck and Hirao cross-coupling reactions in water. Green Chem. 2020, 22, 1353–1365. [Google Scholar] [CrossRef]



















































































| Entry | Catalyst/Ligand | Quantity Catalyst/Ligand | Reaction Conditions | Yield (%) | Ref. |
|---|---|---|---|---|---|
| Palladium based catalysts | |||||
| 1 | Pd(Oac)2 | 3 mol% | DABCO, dioxane, 80 °C | 20–100 | [53] |
| 2 | Pd(Oac)2 | 0.3 mol% | NaOH (aq. Solution), 120–140 °C | 50–98 | [54] |
| 3 | Pd(Oac)2 | 0.1 mol% | NaOH (aq. Solution), PEG, 140 °C | 71–91 | [54] |
| 4 | Pd(Oac)2/17 | 4 mol%/10 mol% | THF/t-BuOH, 90 °C | 40–97 | [55] |
| 5 | Pd(Oac)2/17 | 2.5 mol%/5 mol% | TBAF (promoter) t-BuOH, 60 °C | 70–98 | [56] |
| 6 | Pd(Oac)2 | 5 mol% | MeOH, rt | 65–89 | [63] |
| 7 | Pd(Oac)2/26 | 0.2 mol% | TBAF.3H2O, H2O, 110 °C | 36–97 | [64] |
| 8 | Pd(Oac)2/26 | 0.2 mol% | TBAF.3H2O, Solvent free, 110 °C | 44–99 | [64] |
| 9 | Pd(Oac)2/Dppf | 5 mol%/10 mol% | TBAF Dioxane, 60 °C | 30–88 | [73] |
| 10 | Pd(Oac)2/Pcy3 | 3 mol%/6 mol% | TBAF, THF, 60°C | 1–78 | [78] |
| 11 | Palladium NNC-pincer complex | 5 mol ppm | KF, Propylene glycol, 100 °C | 39–99 | [81] |
| 12 | Pd(Oac)2/Pcy3 | 2 mol%/4 mol% | 1,4-dioane/H2O, 90°C | 45–98 | [84] |
| 13 | Pd(Oac)2/PPh3 | 5 mol%/10 mol% | Bu4NF, MeCN, 80 °C | 62–88 | [85] |
| 14 | Pd(Oac)2/P(4-MeOC6H4)3 | 5 mol%/10 mol% | Bu4NF, 1,4-dioane, 80 °C | 46–85 | [87] |
| 15 | [Pd(allyl)Cl]2/47 | 1.25% | TBAF (promoter), THF, 115 °C | 90-> 95 | [88] |
| 16 | [Pd(allyl)Cl]2/47 | 1.25% | TBAF (promoter), THF, 110 °C | 90–95 | [88] |
| 17 | PdCl2(PPh3)2/PPh3 | 5%/10% | CuI, TBAF, DMF, rt | 30–95 | [89] |
| 18 | PdCl2/hydrazone ligand 57 | 0.02 mmol | TBAF, Toluene, 80°C | 50–90 | [90] |
| 19 | [(allyl)PdCl]2 | 0.06 equiv | Cs2CO3, DME, 60 °C | 46–81 | [93] |
| 20 | PCN pincer-type palladium complex | 2 mol% | NaOH, H2O, 140 °C | 13–82 | [94] |
| 21 | PCN pincer-type palladium complex | 4 mol% | n-Bu4NF, o-xylene, 80°C | 51–61 | [94] |
| 22 | Pd(NH3)2Cl2/65 | 0.1 mol% | NaOH, H2O, 120 °C | 35–99 | [95] |
| 23 | Pd(dppf)Cl2 | 0.05 equiv | K2CO3, H2O, 65 °C | 72–99 | [96] |
| 24 | PdCl2/73 | 63 µmol | CuI, K2CO3, DMF, 80 °C | 63->98% | [97] |
| 25 | [PdCl2P(OCH2Cme2NH)OCH2Cme2N2] | 1.31 × 10−5 mol | [nBu4N]F (additive), THF, 60 °C | 87–99 | [104] |
| 26 | PdCl2 | 5 mol% | TBAF (additive), THF, 70 °C | 73–94 | [105] |
| 27 | PdCl2(MeCN)2 | 5 mol% | CsF (promoter), NMP, 80 °C | 68–94 | [106] |
| 28 | PdCl2(CH3CN)2/PPh2Cy | 5 mol%/20 mol% | TBAF, EtOH, 120 °C | 39–92 | [109] |
| 29 | [(allyl)PdCl2]/Sphos (5 mol%) | 2.5 mol%/5 mol% | THF, 65 °C | 50–62 | [111] |
| 30 | Pd(PPh3)2Cl2 | 1 mol% | TBAF, [TBA][4EtOV], 130 °C | 45–72 | [112] |
| 31 | Pd/C/[(4-FC6H4)3P] | 0.5 mol%/1 mol% | TBAF.3H2O (promoter) Toluene, 120 °C | 47–90 | [116] |
| 32 | Pd/C | 0.5 mol% | TBAF.3H2O (promoter), Toluene, reflux | 7–90 | [117] |
| 33 | Pd/C | 0.5 mol% | TBAF, GVL, 130 °C | 74–94 | [119] |
| 34 | Pd/Fe3O4 | 0.2 mol% | NaOH, H2O, 90 °C | 65–92 | [121] |
| 35 | Pd/Fe3O4 | 1 mol% | KF, DMA, 150 °C | 70–94 | [122] |
| 36 | [(NHC)2PdCl2] | 0.1 mol% | NaOH, 120 °C | 10–95 | [128] |
| 37 | NHC-Pd | 0.5 mol% | TBAF, Toluene, 120 °C | 54–92 | [129] |
| 38 | (NHC-Pd@SBA-15/IL) | 0.8 mol% | Cs2CO3, H2O/dioxane, 80 °C | 82–95 | [130] |
| 39 | [PdCl2(SIPr)(1-phenyl-1H-tetrazole)] | 0.5 mol% | TBAF, Toluene, reflux | 40–88 | [131] |
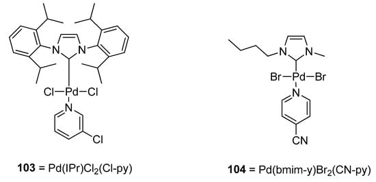
| 40 | Pd(Ipr)Cl2(Cl-py) | 0.01 mmol | NaOH, ethylene glycol, 110 °C | 97 | [141] |
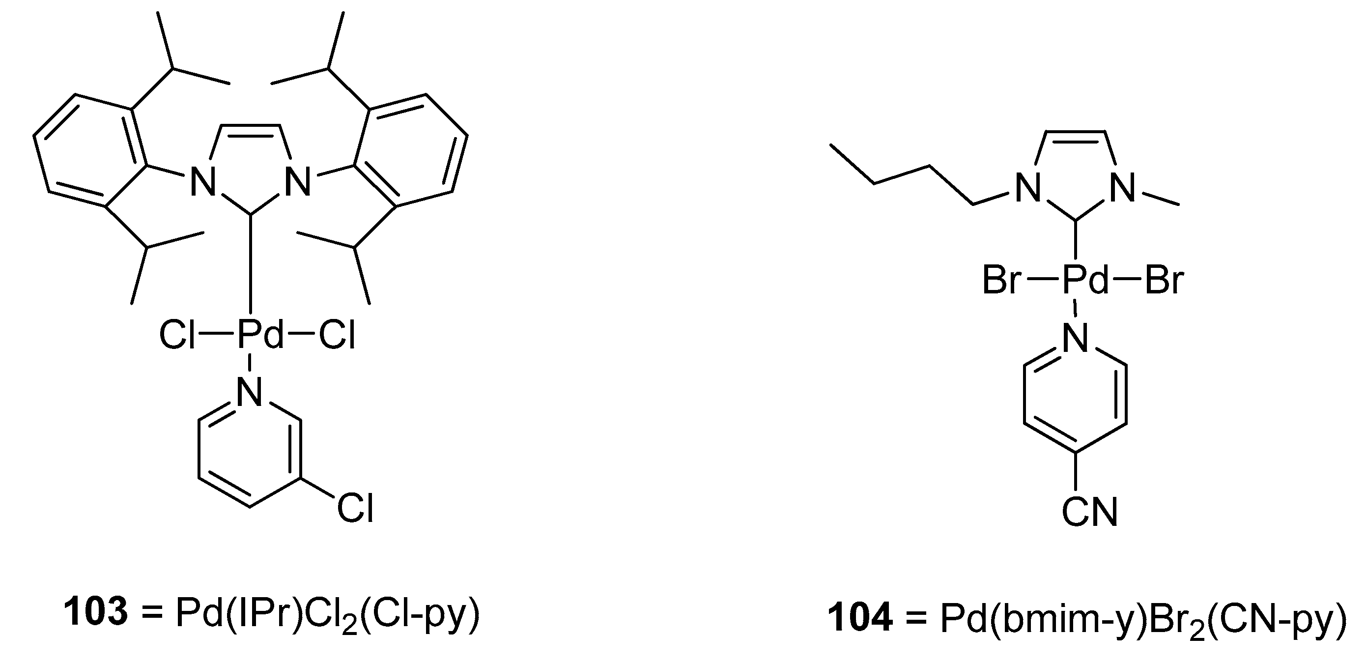
| 41 | Pd(bmim)Br2(CN-py) | 0.01 mmol | NaOH, ethylene glycol, 110 °C | 50–93 | [141] |
| 42 | Pd(PPh3)4 | 5 mol% | TBAF, THF, 100 °C | 63–92 | [181] |
| 43 | Pd(PPh3)4 | 0.025 equiv | TBAF, CuI, H2O, 80 °C | 62–98 | [183] |
| 44 | PdBr2/P(t-Bu)2Me | 4%/10% | Bu4NF, THF, rt | 50–84 | [222] |
| 45 | Palladacycle | 0.1 mol% Pd | NaOH (promoter), TBAT, H2O, MW | 47–99 | [223] |
| 46 | Pd-LHMS-3 | 0.03 g | NaOH, H2O, 100 °C | 60–95 | [224] |
| 47 | [Pd{C6H4(CH2N(CH2Ph)2)}(µ-Br)]2 | 0.1 mmol% | TBAF.3H2O (additive), DMF, 90 °C | 68–97 | [226] |
| 48 | Pd2(dba)3 | 3 mol% | TBAF.3H2O, DMF/CH3CN, 100 °C | 71–92 | [229] |
| 49 | Pd(TFA)2 | 5 mol% | TBAT (promoter), DMI, 60 °C | 72–95 | [230] |
| 50 | Pd-PtBu3 | 2.5 mol% | Toluene, 70 °C | 85–97 | [231] |
| 51 | Pd-RuPhos | 5 mol% | RuPhos (additive), Toluene, 110 °C | 46–91 | [231] |
| 52 | Pd-RuPhos | 5 mol% | RuPhos (additive), Toluene, 110 °C | 46–91 | [231] |
| Nanoparticles based catalysts | |||||
| 53 | Pd NPs 106 | 1 mol% | NaOH, H2O, 90 °C | 88–98 | [145] |
| 54 | Na2PdCl4/SDS | NaOH, H2O, 100 °C | 75–96 | [146] | |
| 55 | K2PdCl4 | 4 mol% | TBAF, THF, 70 °C | 78–95 | [157] |
| 56 | SiO2@Fe3O4-Pd | 0.5 mol% Pd | THF, 60 °C | 81–99 | [158] |
| 57 | Pd-NP from Pd(Oac)2 | 4 mol% | [bmim]F (promoter), Acetonitrile, 70–120 °C | 76–98 | [159] |
| 58 | Pd-NPs 117 | 0.25 mol% Pd | NaOH, MeOH/H2O, 100 °C | 59–97 | [162] |
| 59 | Pd@M-SBA-15 | 0.5 mol% | TBAF.3H2O, Toluene, 100 °C | 13–92 | [163] |
| 60 | Pd NPs | 1 mol% | NaOH, H2O, 90 °C | 87–96 | [164] |
| 61 | Nano Pd/ZnO | 0.009 g | K2CO3, Ethylene glycol, 100 °C | 85–96 | [165] |
| 62 | PS-PdONPs | 1.5 mol% | NaOH, TBAC, H2O, 80 °C | 10–88 | [166] |
| 63 | Nano Pd(Oac)2 | 2 mol% | Triton X-100, H2O, rt | 81–95 | [173] |
| 64 | Pd NPs | 0.2 mol% | NaOH, Ethylene glycol, 100 °C | 87–98 | [175] |
| 65 | Ni-Pd nanoclusters | 1 mol% | THF, 65 °C | 6->99% | [192] |
| Copper based catalysts | |||||
| 66 | CuI | 10 mol% | CsF, DMF, 120 °C | 40–94 | [190] |
| 67 | Cu[MeCN]4PF6 | 10% | TBAT, MeCN, 40 °C | 83–99 | [191] |
| Nickel based catalysts | |||||
| 68 | NiCl2.glyme | 10% | LiHMDS, CsF, DMA, 60 °C | 59–94 | [193] |
| 69 | NiCl2.glyme/150 | 10%/12% | TBAT, dioxane, rt | 64–80 | [194] |
| 70 | [Ni2(iPr2lm)4(cod)] | 5 mol% | THF, 100 °C | 15–90 | [195] |
| 71 | Ni(dme)Cl2/157 | 10 mol%/12 mol% | CsF, 1,4-Dioxane, 80 °C | 74–94 | [197] |
| 72 | Ni(acac)2/1,10-phenanthroline | 10 mol%/10 mol% | CuF2, CsF, DMSO, 120 °C | 74–90 | [198] |
| Miscellaneous | |||||
| 73 | Ph3PauNTf2 | 10 mol% | CH3CN, rt | 72–91 | [232] |
| 74 | NCN-pincer | 1 mol% | K2CO3, Glycerol, 100 °C | 40–99 | [233] |
| 75 | mTEG-CS-Co-Schiff-base | 0.5 mol% | NaOH, H2O, 90 °C | 80–98 | [234] |
Publisher’s Note: MDPI stays neutral with regard to jurisdictional claims in published maps and institutional affiliations. |
© 2022 by the authors. Licensee MDPI, Basel, Switzerland. This article is an open access article distributed under the terms and conditions of the Creative Commons Attribution (CC BY) license (https://creativecommons.org/licenses/by/4.0/).
Share and Cite
Noor, R.; Zahoor, A.F.; Irfan, M.; Hussain, S.M.; Ahmad, S.; Irfan, A.; Kotwica-Mojzych, K.; Mojzych, M. Transition Metal Catalyzed Hiyama Cross-Coupling: Recent Methodology Developments and Synthetic Applications. Molecules 2022, 27, 5654. https://doi.org/10.3390/molecules27175654
Noor R, Zahoor AF, Irfan M, Hussain SM, Ahmad S, Irfan A, Kotwica-Mojzych K, Mojzych M. Transition Metal Catalyzed Hiyama Cross-Coupling: Recent Methodology Developments and Synthetic Applications. Molecules. 2022; 27(17):5654. https://doi.org/10.3390/molecules27175654
Chicago/Turabian StyleNoor, Rida, Ameer Fawad Zahoor, Muhammad Irfan, Syed Makhdoom Hussain, Sajjad Ahmad, Ali Irfan, Katarzyna Kotwica-Mojzych, and Mariusz Mojzych. 2022. "Transition Metal Catalyzed Hiyama Cross-Coupling: Recent Methodology Developments and Synthetic Applications" Molecules 27, no. 17: 5654. https://doi.org/10.3390/molecules27175654
APA StyleNoor, R., Zahoor, A. F., Irfan, M., Hussain, S. M., Ahmad, S., Irfan, A., Kotwica-Mojzych, K., & Mojzych, M. (2022). Transition Metal Catalyzed Hiyama Cross-Coupling: Recent Methodology Developments and Synthetic Applications. Molecules, 27(17), 5654. https://doi.org/10.3390/molecules27175654

