Sophorolipids—Bio-Based Antimicrobial Formulating Agents for Applications in Food and Health
Abstract
1. Introduction
2. Overview of Sophorolipids
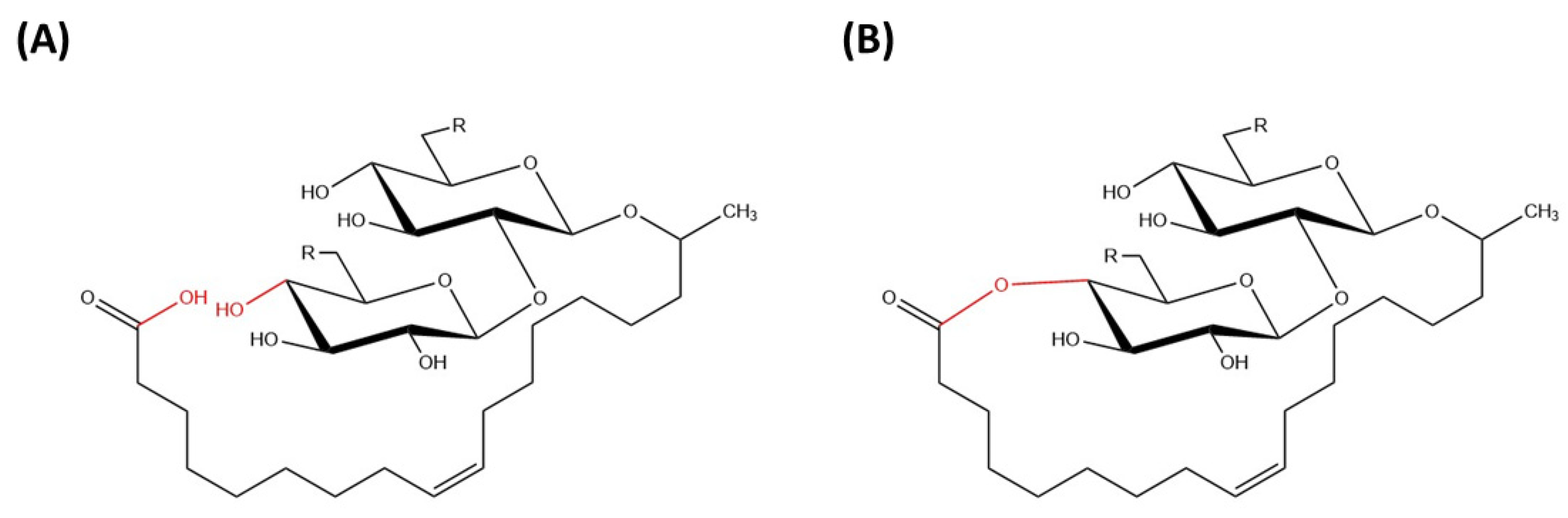
2.1. Origin and Structure of Sophorolipids
2.1.1. Acidic Compounds
2.1.2. Lactonic Compounds
2.2. Sophorolipids Biosynthesis
2.2.1. Biochemical Pathways
2.2.2. Regulatory Mechanisms
2.3. Natural Roles
3. Methodology
3.1. Literature Search
3.2. Search Terms and Databases
3.3. Inclusion and Exclusion Criteria
3.4. Study Selection
3.5. Data Extraction
4. Applications of Sophorolipids in Food and Health
4.1. Food
4.1.1. Food Preservation
4.1.2. Agricultural
4.1.3. Bioconversion from Food Waste
4.2. Health
4.2.1. Cosmetic Formulations
4.2.2. Wound Healing
4.2.3. Antimicrobial: Antifungal, Antibacterial, Biofilm Destruction
4.2.4. Anticancer
5. Future Perspectives
6. Conclusions
Author Contributions
Funding
Institutional Review Board Statement
Informed Consent Statement
Data Availability Statement
Conflicts of Interest
Sample Availability
References
- Shekhar, S.; Sundaramanickam, A.; Balasubramanian, T. Biosurfactant Producing Microbes and their Potential Applications: A Review. Crit. Rev. Environ. Sci. Technol. 2015, 45, 1522–1554. [Google Scholar] [CrossRef]
- Vijayakumar, S.; Saravanan, V. Biosurfactants-types, sources and applications. Res. J. Microbiol. 2015, 10, 181–192. [Google Scholar]
- Thakur, P.; Saini, N.K.; Thakur, V.K.; Gupta, V.K.; Saini, R.V.; Saini, A.K. Rhamnolipid the Glycolipid Biosurfactant: Emerging trends and promising strategies in the field of biotechnology and biomedicine. Microb. Cell Factories 2021, 20, 1. [Google Scholar] [CrossRef]
- Borsanyiova, M.; Patil, A.; Mukherji, R.; Prabhune, A.; Bopegamage, S. Biological activity of sophorolipids and their possible use as antiviral agents. Folia Microbiol. 2015, 61, 85–89. [Google Scholar] [CrossRef]
- Jadhav, J.V.; Pratap, A.P.; Kale, S.B. Evaluation of sunflower oil refinery waste as feedstock for production of sophorolipid. Process Biochem. 2019, 78, 15–24. [Google Scholar] [CrossRef]
- Mondal, M.; Halder, G.; Oinam, G.; Indrama, T.; Tiwari, O.N. Bioremediation of organic and inorganic pollutants using microalgae. In New and Future Developments in Microbial Biotechnology and Bioengineering. In New and Future Developments in Microbial Biotechnology and Bioengineering; Elsevier: Amsterdam, The Netherlands, 2019; pp. 223–225. [Google Scholar]
- Haque, F.; Verma, N.K.; Alfatah, M.; Bijlani, S.; Bhattacharyya, M.S. Sophorolipid exhibits antifungal activity by ROS mediated endoplasmic reticulum stress and mitochondrial dysfunction pathways in Candida albicans. RSC Adv. 2019, 9, 41639–41648. [Google Scholar] [CrossRef]
- Oliveira, M.R.; Magri, A.; Baldo, C.; CAmiliou-Neto, D.; Minucelli, T.; Celligoi, M.A.P.C. Review: Sophorolipids A Promising Biosurfactant and it’s Applications. Int. J. Adv. Biotechnol. Res. 2015, 6, 161–174. [Google Scholar]
- Akubude, V.C.; Sule, S.; Chinweuba, D.C.; Okafor, V.C. Application of biosurfactant in food industry. In Green Sustainable Process for Chemical and Environmental Engineering and Science; Elsevier: Amsterdam, The Netherlands, 2021; pp. 109–125. [Google Scholar]
- Celligoi, M.A.P.C.; Silveira, V.A.I.; Hipólito, A.; Caretta, T.O.; Baldo, C. Sophorolipids: A review on production and perspectives of application in agriculture. Span. J. Agric. Res. 2020, 18, e03R01. [Google Scholar] [CrossRef]
- Gorin, P.A.J.; Spencer, J.F.T.; Tulloch, A.P. Hydroxy Fatty Acid Glycosides of Sophorose from Torulopsis Magnoliae. Can. J. Chem. 1961, 39, 846–855. [Google Scholar] [CrossRef]
- Tulloch, A.P.; Spencer, J.F.T.; Deinema, M.H. A new hydroxy fatty acid sophoroside from Candida bogoriensis. Can. J. Chem. 1968, 46, 345–348. [Google Scholar] [CrossRef]
- Van Bogaert, I.N.A.; Saerens, K.; De Muynck, C.; Develter, D.; Soetaert, W.; Vandamme, E.J. Microbial production and application of sophorolipids. Appl. Microbiol. Biotechnol. 2007, 76, 23–34. [Google Scholar] [CrossRef] [PubMed]
- Spencer, J.F.T.; Gorin, P.A.J.; Tulloch, A.P. Torulopsis bombicola sp. n. Antonie Van Leeuwenhoek 1970, 36, 129–133. [Google Scholar] [CrossRef] [PubMed]
- Rosa, C.A.; Lachance, M.A. The yeast genus Starmerella gen. nov. and Starmerella bombicola sp. nov., the teleomorph of Candida bombicola (Spencer, Gorin & Tullock) Meyer & Yarrow. Int. J. Syst. Bacteriol. 1998, 48 Pt 4, 1413–1417. [Google Scholar]
- Chen, J.; Song, X.; Zhang, H.; Qu, Y.B.; Miao, J.Y. Production, structure elucidation and anticancer properties of sophorolipid from Wickerhamiella domercqiae. Enzym. Microb. Technol. 2006, 39, 501–506. [Google Scholar] [CrossRef]
- Ribeiro, I.A.C.; Faustino, C.M.C.; Guerreiro, P.S.; Frade, R.F.M.; Bronze, M.R.; Castro, M.F.; Ribeiro, M.H.L. Development of novel sophorolipids with improved cytotoxic activity toward MDA-MB-231 breast cancer cells. J. Mol. Recognit. 2015, 28, 155–165. [Google Scholar] [CrossRef]
- Sałek, K.; Euston, S.R. Sustainable microbial biosurfactants and bioemulsifiers for commercial exploitation. Process Biochem. 2019, 85, 143–155. [Google Scholar] [CrossRef]
- Davila, A.M.; Marchal, R.; Vandecasteele, J.P. Sophorose lipid fermentation with differentiated substrate supply for growth and production phases. Appl. Microbiol. Biotechnol. 1997, 47, 496–501. [Google Scholar] [CrossRef]
- Gao, R.; Falkeborg, M.; Xu, X.; Guo, Z. Production of sophorolipids with enhanced volumetric productivity by means of high cell density fermentation. Appl. Microbiol. Biotechnol. 2013, 97, 1103–1111. [Google Scholar] [CrossRef]
- Kachholz, T.; Schlingmann, M. Possible food and agriculture application of microbial surfactants: An assessment. In Biosurfactants and Biotechnology; Kosaric, N., Ed.; Dekker: New York, NY, USA, 1987; pp. 183–210. [Google Scholar]
- Marilyn, D.G.; Sofie, L.D.M.; Sophie, L.K.W.R.; Wim, S. Starmerella bombicola, an industrially relevant, yet fundamentally underexplored yeast. FEMS Yeast Res. 2018, 18, 72. [Google Scholar]
- Lachance, M.A.; Wijayanayaka, T.M.; Bundus, J.D.; Wijayanayaka, D.N. Ribosomal DNA sequence polymorphism and the delineation of two ascosporic yeast species: Metschnikowia agaves and Starmerella bombicola. FEMS Yeast Res. 2011, 11, 324–333. [Google Scholar] [CrossRef][Green Version]
- Solaiman, D.K.Y.; Liu, Y.; Moreau, R.A.; Zerkowski, J.A. Cloning, characterization, and heterologous expression of a novel glucosyltransferase gene from sophorolipid-producing Candida bombicola. Gene 2014, 540, 46–53. [Google Scholar] [CrossRef] [PubMed]
- Cletus, P.K.; Neil, P.J.P.; Karen, J.R.; Tsung-Min, K. Production of sophorolipid biosurfactants by multiple species of the Starmerella (Candida) bombicola yeast clade. FEMS Microbiol. Lett. 2010, 311, 140–146. [Google Scholar]
- Ekaterina, K.; Tatiana, K. Physicochemical Properties of Yeast Extracellular Glycolipids. In Extracellular Glycolipids of Yeasts; Academic Press: Cambridge, MA, USA, 2014; pp. 29–34. [Google Scholar]
- Shu, Q.; Lou, H.; Wei, T.; Liu, X.; Chen, Q. Contributions of glycolipid biosurfactants and glycolipid-modified materials to antimicrobial strategy: A review. Pharmaceutics 2021, 13, 227. [Google Scholar] [CrossRef] [PubMed]
- Lydon, H.L.; Baccile, N.; Callaghan, B.; Marchant, R.; Mitchell, C.A.; Banat, I.M. Adjuvant Antibiotic Activity of Acidic Sophorolipids with Potential for Facilitating Wound Healing. Antimicrob. Agents Chemother. 2017, 61, e02547-16. [Google Scholar] [CrossRef]
- Ciesielska, K.; Van Bogaert, I.N.; Chevineau, S.; Li, B.; Groeneboer, S.; Soetaert, W.; Van de Peer, Y.; Devreese, B. Exoproteome analysis of Starmerella bombicola results in the discovery of an esterase required for lactonization of sophorolipids. J. Proteom. 2014, 98, 159–174. [Google Scholar] [CrossRef]
- Shah, V.; Doncel, G.F.; Seyoum, T.; Eaton, K.M.; Zalenskaya, I.; Hagver, R.; Azim, A.; Gross, R. Sophorolipids, microbial glycolipids with anti-human immunodeficiency virus and sperm-immobilizing activities. Antimicrob. Agents Chemother. 2005, 49, 4093–4100. [Google Scholar] [CrossRef]
- de Jesús Cortés-Sánchez, A.; Hernández-Sánchez, H.; Jaramillo-Flores, M.E. Biological activity of glycolipids produced by microorganisms: New trends and possible therapeutic alternatives. Microbiol. Res. 2013, 168, 22–32. [Google Scholar] [CrossRef]
- Morita, T.; Fukuoka, T.; Imura, T.; Kitamoto, D. Glycolipid Biosurfactants. In Reference Module in Chemistry, Molecular Sciences and Chemical Engineering (Issue Cmc); Elsevier Inc.: Amsterdam, The Netherlands, 2016. [Google Scholar]
- Dierickx, S.; Castelein, M.; Remmery, J.; De Clercq, V.; Lodens, S.; Baccile, N.; De Maeseneire, S.L.; Roelants, S.L.K.W.; Soetaert, W.K. From bumblebee to bioeconomy: Recent developments and perspectives for sophorolipid biosynthesis. Biotechnol. Adv. 2021, 54, 107788. [Google Scholar] [CrossRef]
- Van Bogaert, I.N.A.; Buyst, D.; Martins, J.C.; Roelants, S.L.K.W.; Soetaert, W.K. Synthesis of bolaform biosurfactants by an engineered Starmerella bombicola yeast. Biotechnol. Bioeng. 2016, 113, 2644–2651. [Google Scholar] [CrossRef]
- Aleandri, S.; Casnati, A.; Fantuzzi, L.; Mancini, G.; Rispoli, G.; Sansone, F. Incorporation of a calixarene-based glucose functionalised bolaamphiphile into lipid bilayers for multivalent lectin recognition. Org. Biomol. Chem. 2013, 11, 4811–4817. [Google Scholar] [CrossRef]
- Sohrabi, B.; Khani, V.; Moosavi-Movahedi, A.A.; Moradi, P. Investigation of DNA-cationic bolaform surfactants interaction with different spacer length. Colloids Surf. B Biointerfaces 2013, 110, 29–35. [Google Scholar] [CrossRef] [PubMed]
- Roelants, S.L.K.W.; Ciesielska, K.; De Maeseneire, S.L.; Moens, H.; Everaert, B.; Verweire, S.; Denon, Q.; Vanlerberghe, B.; Van Bogaert, I.N.A.; Van der Meeren, P.; et al. Towards the industrialization of new biosurfactants: Biotechnological opportunities for the lactone esterase gene from Starmerella bombicola. Biotechnol. Bioeng. 2016, 113, 550–559. [Google Scholar] [CrossRef] [PubMed]
- Jones, D.F.; Howe, R. Microbiological oxidation of long-chain aliphatic compounds. I. Alkanes and alk-1-enes. J. Chem. Soc. Perkin Trans. 1968, 22, 2801–2808. [Google Scholar] [CrossRef] [PubMed]
- Kim, J.H.; Oh, Y.R.; Hwang, J.; Kang, J.; Kim, H.; Jang, Y.A.; Lee, S.S.; Hwang, S.Y.; Park, J.; Eom, G.T. Valorization of waste-cooking oil into sophorolipids and application of their methyl hydroxyl branched fatty acid derivatives to produce engineering bioplastics. Waste Manag. 2021, 124, 195–202. [Google Scholar] [CrossRef]
- Saerens, K.M.J.; Saey, L.; Soetaert, W. One-step production of unacetylated sophorolipids by an acetyltransferase negative Candida bombicola. Biotechnol. Bioeng. 2011, 108, 2923–2931. [Google Scholar] [CrossRef]
- Geys, R.; Soetaert, W.; Van Bogaert, I. Biotechnological opportunities in biosurfactant production. Curr. Opin. Biotechnol. 2014, 30, 66–72. [Google Scholar] [CrossRef]
- Lodens, S.; Roelants, S.L.K.W.; Luyten, G.; Geys, R.; Coussement, P.; de Maeseneire, S.L.; Soetaert, W. Unraveling the regulation of sophorolipid biosynthesis in Starmerella bombicola. FEMS Yeast Res. 2020, 20, foaa021. [Google Scholar] [CrossRef]
- Van Bogaert, I.N.A.; Holvoet, K.; Roelants, S.L.K.W.; Li, B.; Lin, Y.; Peer, Y. Van De, Soetaert, W. The biosynthetic gene cluster for sophorolipids: A biotechnological interesting biosurfactant produced by Starmerella bombicola. Mol. Microbiol. 2013, 88, 501–509. [Google Scholar] [CrossRef]
- Ciesielska, K.; Li, B.; Groeneboer, S.; Van Bogaert, I.; Lin, Y.C.; Soetaert, W.; Van De Peer, Y.; Devreese, B. SILAC-based proteome analysis of Starmerella bombicola sophorolipid production. J. Proteome Res. 2013, 12, 4376–4392. [Google Scholar] [CrossRef]
- Rosa, C.A.; Lachance, M.A.; Silva, J.O.C.; Teixeira, A.C.P.; Marini, M.M.; Antonini, Y.; Martins, R.P. Yeast communities associated with stingless bees. FEMS Yeast Res. 2003, 4, 271–275. [Google Scholar] [CrossRef]
- Hommel, R.K.; Weber, L.; Weiss, A.; Himmelreich, U.; Rilke, O.; Kleber, H.P. Production of sophorose lipid by Candida (Torulopsis) apicola grown on glucose. J. Biotechnol. 1994, 33, 147–155. [Google Scholar] [CrossRef]
- Garcia-Ochoa, F.; Casas, J.A. Process for the Production of Sophorose by Candida bombicola. 1996. Available online: https://patents.google.com/patent/ES2103688A1/en (accessed on 18 March 2022).
- Ito, S.; Kinta, M.; Inoue, S. Growth of yeasts on n-alkanes: Inhibition by a lactonic sophorolipid produced by Torulopsis bombicola. Agric. Biol. Chem. 1980, 44, 2221–2223. [Google Scholar] [CrossRef]
- Aparecida, C.; Queiroz, U.; Akemi, V.; Silveira, I.; Pedrine, M.A.; Celligoi, C. Antimicrobial applications of sophorolipid from Candida bombicola: A promising alternative to conventional drugs. J. Appl. Biol. Biotechnol. 2018, 6, 87–90. [Google Scholar]
- Koh, A.; Wong, A.; Quinteros, A.; Desplat, C.; Gross, R. Influence of Sophorolipid Structure on Interfacial Properties of Aqueous-Arabian Light Crude and Related Constituent Emulsions. J. Am. Oil Chem. Soc. 2017, 94, 107–119. [Google Scholar] [CrossRef]
- Ma, X.; Li, H.; Song, X. Surface and biological activity of sophorolipid molecules produced by Wickerhamiella domercqiae var. sophorolipid CGMCC 1576. J. Colloid Interface Sci. 2012, 376, 165–172. [Google Scholar] [CrossRef]
- Zhang, T.; Marchant, R.E. Novel Polysaccharide Surfactants: The Effect of Hydrophobic and Hydrophilic Chain Length on Surface Active Properties. J. Colloid Interface Sci. 1996, 177, 419–426. [Google Scholar] [CrossRef]
- Hirata, Y.; Ryu, M.; Igarashi, K.; Nagatsuka, A.; Furuta, T.; Kanaya, S.; Sugiura, M. Natural synergism of acid and lactone type mixed sophorolipids in interfacial activities and cytotoxicities. J. Oleo Sci. 2009, 58, 565–572. [Google Scholar] [CrossRef]
- Olanya, O.M.; Ukuku, D.O.; Solaiman, D.K.Y.; Ashby, R.D.; Niemira, B.A.; Mukhopadhyay, S. Reduction in Listeria monocytogenes, Salmonella enterica and Escherichia coli O157:H7 in vitro and on tomato by sophorolipid and sanitiser as affected by temperature and storage time. Int. J. Food Sci. Technol. 2017, 53, 1303–1315. [Google Scholar] [CrossRef]
- Nyachuba, D.G. Foodborne illness: Is it on the rise? Nutr. Rev. 2010, 68, 257–269. [Google Scholar] [CrossRef]
- Phillips, C.A. Bacterial biofilms in food processing environments: A review of recent developments in chemical and biological control. Int. J. Food Sci. Technol. 2016, 51, 1731–1743. [Google Scholar] [CrossRef]
- De Rienzo, M.A.D.; Banat, I.M.; Dolman, B.; Winterburn, J.; Martin, P.J. Sophorolipid biosurfactants: Possible uses as antibacterial and antibiofilm agent. New Biotechnol. 2015, 32, 720–726. [Google Scholar] [CrossRef]
- Hipólito, A.; da Silva, R.A.A.; de Oliveira Caretta, T.; Silveira, V.A.I.; Amador, I.R.; Panagio, L.A.; Borsato, D.; Celligoi, M.A.P.C. Evaluation of the antifungal activity of sophorolipids from Starmerella bombicola against food spoilage fungi. Biocatal. Agric. Biotechnol. 2020, 29, 101797. [Google Scholar] [CrossRef]
- Kumari, A.; Kumari, S.; Prasad, G.S.; Pinnaka, A.K. Production of Sophorolipid Biosurfactant by Insect Derived Novel Yeast Metschnikowia churdharensis f.a., sp. nov., and Its Antifungal Activity Against Plant and Human Pathogens. Front. Microbiol. 2021, 12, 678668. [Google Scholar] [CrossRef]
- Sen, S.; Borah, S.N.; Bora, A.; Deka, S. Production, characterization, and antifungal activity of a biosurfactant produced by Rhodotorula babjevae YS3. Microb. Cell Factories 2017, 16, 95. [Google Scholar] [CrossRef]
- Silveira, V.A.I.; Marim, B.M.; Hipólito, A.; Gonçalves, M.C.; Mali, S.; Kobayashi, R.K.T.; Celligoi, M.A.P.C. Characterization and antimicrobial properties of bioactive packaging films based on polylactic acid-sophorolipid for the control of foodborne pathogens. Food Packag. Shelf Life 2020, 26, 100591. [Google Scholar] [CrossRef]
- Merci, A.; Marim, R.G.; Urbano, A.; Mali, S. Films based on cassava starch reinforced with soybean hulls or microcrystalline cellulose from soybean hulls. Food Packag. Shelf Life 2019, 20, 100321. [Google Scholar] [CrossRef]
- Ziemba, A.M.; Lane, K.P.; Balouch, B.; D’Amato, A.R.; Totsingan, F.; Gross, R.A.; Gilbert, R.J. Lactonic Sophorolipid Increases Surface Wettability of Poly-L-lactic Acid Electrospun Fibers. ACS Appl. Bio Mater. 2019, 2, 3153–3158. [Google Scholar] [CrossRef]
- Turalija, M.; Bischof, S.; Budimir, A.; Gaan, S. Antimicrobial PLA films from environment friendly additives. Compos. Part B Eng. 2016, 102, 94–99. [Google Scholar] [CrossRef]
- Zhang, X.; Ashby, R.D.; Solaiman, D.K.Y.; Liu, Y.; Fan, X. Antimicrobial activity and inactivation mechanism of lactonic and free acid sophorolipids against Escherichia coli O157:H7. Biocatal. Agric. Biotechnol. 2017, 11, 176–182. [Google Scholar] [CrossRef]
- Zhang, X.; Fan, X.; Solaiman, D.K.Y.; Ashby, R.D.; Liu, Z.; Mukhopadhyay, S.; Yan, R. Inactivation of Escherichia coli O157:H7 in vitro and on the surface of spinach leaves by biobased antimicrobial surfactants. Food Control 2016, 60, 158–165. [Google Scholar] [CrossRef]
- Zhang, X.; Ashby, R.; Solaiman, D.K.Y.; Uknalis, J.; Fan, X. Inactivation of Salmonella spp. and Listeria spp. by palmitic, stearic, and oleic acid sophorolipids and thiamine dilauryl sulfate. Front. Microbiol. 2016, 7, 2076. [Google Scholar] [CrossRef] [PubMed]
- Leyton, A.; Araya, M.; Tala, F.; Flores, L.; Lienqueo, M.E.; Shene, C. Macrocystis pyrifera extract residual as nutrient source for the production of sophorolipids compounds by marine yeast Rhodotorula rubra. Molecules 2021, 26, 2355. [Google Scholar] [CrossRef]
- Chen, J.; Zhifei, L.U.; An, Z.; Ji, P.; Liu, X. Antibacterial Activities of Sophorolipids and Nisin and Their Combination against Foodborne Pathogen Staphylococcus aureus. Eur. J. Lipid Sci. Technol. 2020, 122, 1900333. [Google Scholar] [CrossRef]
- Gaur, V.K.; Regar, R.K.; Dhiman, N.; Gautam, K.; Srivastava, J.K.; Patnaik, S.; Kamthan, M.; Manickam, N. Biosynthesis and characterization of sophorolipid biosurfactant by Candida spp.: Application as food emulsifier and antibacterial agent. Bioresour. Technol. 2019, 285, 121314. [Google Scholar] [CrossRef]
- Koh, A.; Gross, R. A versatile family of sophorolipid esters: Engineering surfactant structure for stabilization of lemon oil-water interfaces. Colloids Surf. A Physicochem. Eng. Asp. 2016, 507, 152–163. [Google Scholar] [CrossRef]
- Wang, X.; Lin, R.J.; Gross, R.A. Sophorolipid Butyl Ester: An Antimicrobial Stabilizer of Essential Oil-Based Emulsions and Interactions with Chitosan and γ-Poly(glutamic acid). ACS Appl. Bio Mater. 2020, 3, 5136–5147. [Google Scholar] [CrossRef] [PubMed]
- Xue, C.L.; Solaiman, D.K.Y.; Ashby, R.D.; Zerkowski, J.; Lee, J.H.; Hong, S.T.; Yang, D.; Shin, J.A.; Ji, C.M.; Lee, K.T. Study of structured lipid-based oil-in-water emulsion prepared with sophorolipid and its oxidative stability. JAOCS J. Am. Oil Chem. Soc. 2013, 90, 123–132. [Google Scholar] [CrossRef]
- Silveira, V.A.I.; Nishio, E.K.; Freitas, C.A.U.Q.; Amador, I.R.; Kobayashi, R.K.T.; Caretta, T.; Macedo, F.; Celligoi, M.A.P.C. Production and antimicrobial activity of sophorolipid against Clostridium perfringens and Campylobacter jejuni and their additive interaction with lactic acid. Biocatal. Agric. Biotechnol. 2019, 21, 101287. [Google Scholar] [CrossRef]
- Silveira, V.A.I.; Kobayashi, R.K.T.; de Oliveira Junior, A.G.; Mantovani, M.S.; Nakazato, G.; Celligoi, M.A.P.C. Antimicrobial effects of sophorolipid in combination with lactic acid against poultry-relevant isolates. Braz. J. Microbiol. 2021, 52, 1769–1778. [Google Scholar] [CrossRef]
- de O Caretta, T.; I Silveira, V.A.; Andrade, G.; Macedo, F.; PC Celligoi, M.A. Antimicrobial activity of sophorolipids produced by Starmerella bombicola against phytopathogens from cherry tomato. J. Sci. Food Agric. 2021, 102, 1245–1254. [Google Scholar] [CrossRef]
- Tang, Y.; Ma, Q.; Du, Y.; Ren, L.; Van Zyl, L.J.; Long, X. Efficient purification of sophorolipids via chemical modifications coupled with extractions and their potential applications as antibacterial agents. Sep. Purif. Technol. 2020, 245, 116897. [Google Scholar] [CrossRef]
- Chen, J.; Liu, X.; Fu, S.; An, Z.; Feng, Y.; Wang, R.; Ji, P. Effects of sophorolipids on fungal and oomycete pathogens in relation to pH solubility. J. Appl. Microbiol. 2020, 128, 1754–1763. [Google Scholar] [CrossRef] [PubMed]
- Vaughn, S.F.; Behle, R.W.; Skory, C.D.; Kurtzman, C.P.; Price, N.P.J. Utilization of sophorolipids as biosurfactants for postemergence herbicides. Crop Prot. 2014, 59, 29–34. [Google Scholar] [CrossRef]
- Imura, T.; Kawamura, D.; Morita, T.; Sato, S.; Fukuoka, T.; Yamagata, Y.; Takahashi, M.; Wada, K.; Kitamoto, D. Production of sophorolipids from non-edible jatropha oil by Stamerella bombicola NBRC 10243 and evaluation of their interfacial properties. J. Oleo Sci. 2013, 62, 857–864. [Google Scholar] [CrossRef]
- Joshi-Navare, K.; Khanvilkar, P.; Prabhune, A. Jatropha Oil Derived Sophorolipids: Production and Characterization as Laundry Detergent Additive. Biochem. Res. Int. 2013, 2013, 169797. [Google Scholar] [CrossRef]
- Konishi, M.; Morita, T.; Fukuoka, T.; Imura, T.; Uemura, S.; Iwabuchi, H.; Kitamoto, D. Selective production of acid-form sophorolipids from glycerol by Candida floricola. J. Oleo Sci. 2017, 66, 1365–1373. [Google Scholar] [CrossRef]
- Wang, H.; Roelants, S.L.K.W.; To, M.H.; Patria, R.D.; Kaur, G.; Lau, N.S.; Lau, C.Y.; Van Bogaert, I.N.A.; Soetaert, W.; Lin, C.S.K. Starmerella bombicola: Recent advances on sophorolipid production and prospects of waste stream utilization. J. Chem. Technol. Biotechnol. 2019, 94, 999–1007. [Google Scholar] [CrossRef]
- Jiménez-Peñalver, P.; Koh, A.; Gross, R.; Gea, T.; Font, X. Biosurfactants from Waste: Structures and Interfacial Properties of Sophorolipids Produced from a Residual Oil Cake. J. Surfactants Deterg. 2019, 23, 481–486. [Google Scholar] [CrossRef]
- Kaur, G.; Wang, H.; To, M.H.; Roelants, S.L.K.W.; Soetaert, W.; Lin, C.S.K. Efficient sophorolipids production using food waste. J. Clean. Prod. 2019, 232, 1–11. [Google Scholar] [CrossRef]
- Hirata, Y.; Igarashi, K.; Ueda, A.; Quan, G.L. Enhanced sophorolipid production and effective conversion of waste frying oil using dual lipophilic substrates. Biosci. Biotechnol. Biochem. 2021, 85, 1763–1771. [Google Scholar] [CrossRef]
- Haider, T.P.; Völker, C.; Kramm, J.; Landfester, K.; Wurm, F.R. Plastics of the Future? The Impact of Biodegradable Polymers on the Environment and on Society. Angew. Chem.-Int. Ed. 2019, 58, 50–62. [Google Scholar] [CrossRef] [PubMed]
- Maeng, Y.; Kim, K.T.; Zhou, X.; Jin, L.; Kim, K.S.; Kim, Y.H.; Lee, S.; Park, J.H.; Chen, X.; Kong, M.; et al. A novel microbial technique for producing high-quality sophorolipids from horse oil suitable for cosmetic applications. Microb. Biotechnol. 2018, 11, 917–929. [Google Scholar] [CrossRef] [PubMed]
- Zerhusen, C.; Bollmann, T.; Gödderz, A.; Fleischer, P.; Glüsen, B.; Schörken, U. Microbial Synthesis of Nonionic Long-Chain Sophorolipid Emulsifiers Obtained from Fatty Alcohol and Mixed Lipid Feeding. Eur. J. Lipid Sci. Technol. 2020, 122, 1900110. [Google Scholar] [CrossRef]
- Ashby, R.D.; Zerkowski, J.A.; Solaiman, D.K.Y.; Liu, L.S. Biopolymer scaffolds for use in delivering antimicrobial sophorolipids to the acne-causing bacterium Propionibacterium acnes. New Biotechnol. 2011, 28, 24–30. [Google Scholar] [CrossRef]
- Solaiman, D.K.Y.; Ashby, R.D.; Crocker, N.V. High-titer production and strong antimicrobial activity of sophorolipids from Rhodotorula bogoriensis. Biotechnol. Prog. 2015, 31, 867–874. [Google Scholar] [CrossRef]
- Solaiman, D.K.Y.; Ashby, R.D.; Nuñez, A.; Crocker, N. Low-Temperature Crystallization for Separating Monoacetylated Long-Chain Sophorolipids: Characterization of Their Surface-Active and Antimicrobial Properties. J. Surfactants Deterg. 2020, 23, 553–563. [Google Scholar] [CrossRef]
- Ishii, N.; Kobayashi, T.; Matsumiya, K.; Ryu, M.; Hirata, Y.; Matsumura, Y.; Suzuki, Y.A. Transdermal administration of lactoferrin with sophorolipid. Biochem. Cell Biol. 2012, 90, 504–512. [Google Scholar] [CrossRef]
- Naik, N.J.; Abhyankar, I.; Darne, P.; Prabhune, A.; Madhusudhan, B. Sustained Transdermal Release of Lignans Facilitated by Sophorolipid based Transferosomal Hydrogel for Cosmetic Application. Int. J. Curr. Microbiol. Appl. Sci. 2019, 8, 1783–1791. [Google Scholar] [CrossRef]
- Imura, T.; Morita, T.; Fukuoka, T.; Ryu, M.; Igarashi, K.; Hirata, Y.; Kitamoto, D. Spontaneous vesicle formation from sodium salt of acidic sophorolipid and its application as a skin penetration enhancer. J. Oleo Sci. 2014, 63, 141–147. [Google Scholar] [CrossRef]
- Snehal, V.M.; Santosh, S.K.; Navnath, K.; Sachin, A.; Asmita, P. Formulation and Evaluation of Wound Healing Activity of Sophorolipid-Sericin Gel in Wistar Rats. Pharmacogn. Mag. 2019, 15, 123–127. [Google Scholar]
- Kwak, M.J.; Park, M.Y.; Kim, J.; Lee, H.; Whang, K.Y. Curative effects of sophorolipid on physical wounds: In vitro and in vivo studies. Vet. Med. Sci. 2021, 7, 1400–1408. [Google Scholar] [CrossRef]
- Diaz-Rodriguez, P.; Chen, H.; Erndt-Marino, J.D.; Liu, F.; Totsingan, F.; Gross, R.A.; Hahn, M.S. Impact of Select Sophorolipid Derivatives on Macrophage Polarization and Viability. ACS Appl. Bio Mater. 2019, 2, 601–612. [Google Scholar] [CrossRef]
- Valotteau, C.; Banat, I.M.; Mitchell, C.A.; Lydon, H.; Marchant, R.; Babonneau, F.; Pradier, C.M.; Baccile, N.; Humblot, V. Antibacterial properties of sophorolipid-modified gold surfaces against Gram positive and Gram negative pathogens. Colloids Surf. B Biointerfaces 2017, 157, 325–334. [Google Scholar] [CrossRef]
- Liza, K.A.; Manefield, M. The role of lipids in activated sludge floc formation. AIMS Environ. Sci. 2015, 2, 122–133. [Google Scholar] [CrossRef]
- Sana, S.; Datta, S.; Biswas, D.; Sengupta, D. Assessment of synergistic antibacterial activity of combined biosurfactants revealed by bacterial cell envelop damage. Biochim. Biophys. Acta-Biomembr. 2018, 1860, 579–585. [Google Scholar] [CrossRef]
- Kim, K.; Yoo, D.; Kim, Y.; Lee, B.; Shin, D.; Kim, E.K. Characteristics of sophorolipid as an antimicrobial agent. J. Microbiol. Biotechnol. 2002, 12, 235–241. [Google Scholar]
- Ankulkar, R.; Chavan, M. Characterisation and Application Studies of Sophorolipid Biosurfactant by Candida tropicalis RA1. J. Pure Appl. Microbiol. 2019, 13, 1653–1665. [Google Scholar] [CrossRef]
- Archana, K.; Sathi Reddy, K.; Parameshwar, J.; Bee, H. Isolation and characterization of sophorolipid producing yeast from fruit waste for application as antibacterial agent. Environ. Sustain. 2019, 2, 107–115. [Google Scholar] [CrossRef]
- Abhyankar, I.; Sevi, G.; Prabhune, A.A.; Nisal, A.; Bayatigeri, S. Myristic Acid Derived Sophorolipid: Efficient Synthesis and Enhanced Antibacterial Activity. ACS Omega 2021, 6, 1273–1279. [Google Scholar] [CrossRef]
- Sambanthamoorthy, K.; Feng, X.; Patel, R.; Patel, S.; Paranavitana, C. Antimicrobial and antibiofilm potential of biosurfactants isolated from lactobacilli against multi-drug-resistant pathogens. BMC Microbiol. 2014, 14, 197. [Google Scholar] [CrossRef]
- Valotteau, C.; Baccile, N.; Humblot, V.; Roelants, S.; Soetaert, W.; Stevens, C.V.; Dufrêne, Y.F. Nanoscale antiadhesion properties of sophorolipid-coated surfaces against pathogenic bacteria. Nanoscale Horiz. 2019, 4, 975–982. [Google Scholar] [CrossRef]
- Ceresa, C.; Fracchia, L.; Williams, M.; Banat, I.M.; Díaz De Rienzo, M.A. The effect of sophorolipids against microbial biofilms on medical-grade silicone. J. Biotechnol. 2020, 309, 34–43. [Google Scholar] [CrossRef] [PubMed]
- Pontes, C.; Alves, M.; Santos, C.; Ribeiro, M.H.; Gonçalves, L.; Bettencourt, A.F.; Ribeiro, I.A.C. Can Sophorolipids prevent biofilm formation on silicone catheter tubes? Int. J. Pharm. 2016, 513, 697–708. [Google Scholar] [CrossRef]
- Nguyen, B.V.G.; Nagakubo, T.; Toyofuku, M.; Nomura, N.; Utada, A.S. Synergy between Sophorolipid Biosurfactant and SDS Increases the Efficiency of P. aeruginosa Biofilm Disruption. Langmuir 2020, 36, 6411–6420. [Google Scholar] [CrossRef] [PubMed]
- Vasudevan, S.; Prabhune, A.A. Photophysical studies on curcumin-sophorolipid nanostructures: Applications in quorum quenching and imaging. R. Soc. Open Sci. 2018, 5, 170865. [Google Scholar] [CrossRef] [PubMed]
- Haque, F.; Alfatah, M.; Ganesan, K.; Bhattacharyya, M.S. Inhibitory Effect of Sophorolipid on Candida albicans Biofilm Formation and Hyphal Growth. Sci. Rep. 2016, 6, 23575. [Google Scholar] [CrossRef]
- Haque, F.; Sajid, M.; Cameotra, S.S.; Battacharyya, M.S. Anti-biofilm activity of a sophorolipid-amphotericin B niosomal formulation against Candida albicans. Biofouling 2017, 33, 768–779. [Google Scholar] [CrossRef]
- Sanada, H.; Nakagami, G.; Takehara, K.; Goto, T.; Ishii, N.; Yoshida, S.; Ryu, M.; Tsunemi, Y. Antifungal effect of non-woven textiles containing polyhexamethylene biguanide with sophorolipid: A potential method for tinea pedis prevention. Healthcare 2014, 2, 183–191. [Google Scholar] [CrossRef]
- Sen, S.; Borah, S.N.; Kandimalla, R.; Bora, A.; Deka, S. Sophorolipid Biosurfactant Can Control Cutaneous Dermatophytosis Caused by Trichophyton mentagrophytes. Front. Microbiol. 2020, 11, 329. [Google Scholar] [CrossRef]
- Dengle-Pulate, V.; Chandorkar, P.; Bhagwat, S.; Prabhune, A.A. Antimicrobial and SEM studies of sophorolipids synthesized using lauryl alcohol. J. Surfactants Deterg. 2014, 17, 543–552. [Google Scholar] [CrossRef]
- Elshikh, M.; Moya-Ramírez, I.; Moens, H.; Roelants, S.; Soetaert, W.; Marchant, R.; Banat, I.M. Rhamnolipids and lactonic sophorolipids: Natural antimicrobial surfactants for oral hygiene. J. Appl. Microbiol. 2017, 123, 1111–1123. [Google Scholar] [CrossRef]
- Solaiman, D.K.Y.; Ashby, R.D.; Uknalis, J. Characterization of growth inhibition of oral bacteria by sophorolipid using a microplate-format assay. J. Microbiol. Methods 2017, 136, 21–29. [Google Scholar] [CrossRef] [PubMed]
- Solaiman, D.K.Y.; Ashby, R.D.; Birbir, M.; Caglayan, P. Antibacterial activity of sophorolipids produced by Candida bombicola on Gram-positive and Gram-negative bacteria isolated from salted hides. J. Am. Leather Chem. Assoc. 2016, 111, 358–363. [Google Scholar]
- Joshi-Navare, K.; Prabhune, A. A biosurfactant-sophorolipid acts in synergy with antibiotics to enhance their efficiency. BioMed Res. Int. 2013, 2013, 512495. [Google Scholar] [CrossRef] [PubMed]
- Baccile, N.; Noiville, R.; Stievano, L.; Bogaert, I. Van. Sophorolipids-functionalized iron oxide nanoparticles. Phys. Chem. Chem. Phys. 2012, 15, 1606–1620. [Google Scholar] [CrossRef] [PubMed]
- Basak, G.; Das, D.; Das, N. Dual role of acidic diacetate sophorolipid as biostabilizer for ZnO nanoparticle synthesis and biofunctionalizing agent against Salmonella enterica and Candida albicans. J. Microbiol. Biotechnol. 2014, 24, 87–96. [Google Scholar] [CrossRef] [PubMed]
- Delbeke, E.I.P.; Movsisyan, M.; Van Geem, K.M.; Stevens, C.V. Chemical and enzymatic modification of sophorolipids. Green Chem. 2015, 18, 76–104. [Google Scholar] [CrossRef]
- Shao, L.; Song, X.; Ma, X.; Li, H.; Qu, Y. Bioactivities of sophorolipid with different structures against human esophageal cancer cells. J. Surg. Res. 2012, 173, 286–291. [Google Scholar] [CrossRef]
- Li, H.; Guo, W.; Ma, X.J.; Li, J.S. In Vitro and in Vivo Anticancer Activity of Sophorolipids to Human Cervical Cancer. Appl. Biochem. Biotechnol. 2017, 181, 1372–1387. [Google Scholar] [CrossRef]
- Callaghan, B.; Lydon, H.; Roelants, S.L.K.W.; Van Bogaert, I.N.A.; Marchant, R.; Banat, I.M.; Mitchell, C.A. Lactonic sophorolipids increase tumor burden in Apcmin+/− mice. PLoS ONE 2016, 11, e0156845. [Google Scholar]
- Nawale, L.; Dubey, P.; Chaudhari, B.; Sarkar, D.; Prabhune, A. Anti-proliferative effect of novel primary cetyl alcohol derived Sophorolipids against human cervical cancer cells HeLa. PLoS ONE 2017, 12, e0174241. [Google Scholar] [CrossRef] [PubMed]
- Haggag, Y.; Elshikh, M.; El-Tanani, M.; Bannat, I.M.; McCarron, P.; Tambuwala, M.M. Nanoencapsulation of sophorolipids in PEGylated poly(lactide-co-glycolide) as a novel approach to target colon carcinoma in the murine model. Drug Deliv. Transl. Res. 2020, 10, 1353–1366. [Google Scholar] [CrossRef] [PubMed]
- Wang, X.; Xu, N.; Li, Q.; Chen, S.; Cheng, H.; Yang, M.; Jiang, T.; Chu, J.; Ma, X.; Yin, D. Lactonic sophorolipid–induced apoptosis in human HepG2 cells through the Caspase-3 pathway. Appl. Microbiol. Biotechnol. 2021, 105, 2033–2042. [Google Scholar] [CrossRef] [PubMed]
- Kithur Mohamed, S.; Asif, M.; Nazari, M.V.; Baharetha, H.M.; Mahmood, S.; Yatim, A.; Abdul Majid, A.S.; Abdul Majid, A. Antiangiogenic activity of sophorolipids extracted from refined bleached deodorized palm olein. Indian J. Pharmacol. 2019, 51, 45–54. [Google Scholar]



| Applications | Source of Sophorolipids | Structure | Bioactivity | Concentration (Types of Microbes) | Mechanism(s) | Ref. |
|---|---|---|---|---|---|---|
| Food preservation | Starmerella bombicola | Lactonic | Antimicrobial | 1% (E. coli O157:H7) | Protection against foodborne pathogenic bacteria | [65] |
| Antibacterial; Emulsifier; Preservative | MIC 1 32 µg/mL (S. aureus) | Protection against foodborne pathogens; serve as an additive with nisin | [69] | |||
| Antifungal | MIC/MFC 2 729.0 µg/mL (Fusarium oxysporum) | Protection against foodborne pathogens/food spoilage fungi | [58] | |||
| Antibacterial | MIC 0.0015% (Clostridium perfringens), 0.5% (Campylobacter jejuni) | Protection against food pathogens in poultry industry | [74] | |||
| MIC 31.25 µg/mL (S. aureus) 62.5 µg/mL (L.monocytogenes) | Protection against food pathogens in poultry industry | [75] | ||||
| Emulsifier | 0.1 wt% | Improve the stability of oil-in-water emulsions | [73] | |||
| Acidic and lactonic | Emulsifier; reduce interfacial tension | 1 wt% | Improve the stability of lemon oil-in-water emulsions | [71] | ||
| Lactonic Sophorolipid | Emulsifying properties | 0.5 wt% | Stabilize oregano oil-in-water emulsions | [72] | ||
| Candida albicans and Candida glabrata | Sophorolipid | Emulsifier, Antibacterial | 60 µg/mL (B. subtilis) | Protection against bacterial pathogens, possible use as food emulsions | [70] | |
| Rhodotorula rubra | Acidic | Antibacterial | 200 µg/mL (E. coli and S. aureus) | Protection against foodborne pathogens | [68] | |
| Rhodotorula babjevae YS3 | Acidic; lactonic | Antifungal | MIC 125 µg/mL (Fusarium oxysporum) | Protection against pathogenic fungi | [60] | |
| Metschnikowia churdharensis | Acidic; lactonic | Antifungal | MIC 49 µg/mL (F. oxysporum) 98 µg/mL (F. solani) | Protection against food spoilage fungal pathogens | [59] | |
| Agricultural | Starmerella bombicola | Lactonic | Antimicrobial | MIC 2 mg/mL (Pythium ultimum) | Protection against phytopathogens/conventional pesticides for tomato plants and fruits | [76] |
| Antifungal | 1 mg/mL (Moesziomyces sp.) | Protection against plant pathogen | [77] | |||
| Wickerhamiella domercqiae | Lactonic | Antimicrobial | 10 mg/mL (F.oxysporum, P. ultimum) | Inhibition of spore germination and mycelial growth of pathogens | [78] | |
| Candida kuoi | Acidic | Emulsifying properties; herbicidal activity | 1% v/v (Senna obtusifolia) | Phytotoxicity against sicklepod; Used as postemergence herbicides | [79] | |
| Bioconversion from food waste | Starmerella bombicola | Acidic and lactonic | Emulsifier | 51.5 g/L (submerged fermentation) | Sunflower oil refinery waste as feedstock | [5] |
| Surface-active property; Antibacterial | 15.25 g/L (resting cell method) CMC 3: 9.5 mg/L MIC90 4: 300 μg/mL (S. aureus) | Non-edible Jatropha oil as feedstock; Replace synthetic surfactants in detergent | [81] | |||
| Lactonic | N/A | 3.7 g/L (fed-batch fermentation) | Waste stream and food waste as feedstock | [83] | ||
| N/A | 115.2 g/L (batch fermentation) | Bioconversion of food waste by enzymatic hydrolysis | [85] | |||
| C18:1 DLSL | Emulsifying properties | 1 g/L (solid-state fermentation) CMC: 40.1 mg/L | Winterization oil cake as feedstock, used in diesel displacement | [84] | ||
| Candida floricola | Acidic | N/A | 3.5 g/L (fermentation process using glycerol) | Waste glycerol as fermentation feedstock | [82] |
| Applications | Source of Sophorolipids | Structure | Bioactivity | Concentration (types of Microbes) | Mechanism(s) | Ref. |
|---|---|---|---|---|---|---|
| Cosmetic and wound healing | Starmerella bombicola | Acidic (from C. kuoi); Lactonic (from S. bombicola) | Emulsifier | 50 μg/mL | Cosmetic creams and lotions, pharmaceutical ointments | [89] |
| Acidic and lactonic | Antimicrobial | 0.24% w/w (Propionibacterium acnes) | Anti-acne agent | [90] | ||
| Acidic | Enhance transdermal absorption of lactoferrin | 0.01% | Dermal fibroblast proliferation (cosmetic use) | [93] | ||
| Sophorolipid (with lignans) | Transdermal permeation | 10 μg/mL | Design biodegradable transferosomal hydrogel (cosmetic use) | [94] | ||
| Acidic | Reduce surface tension | CAC 2 0.083% | Skin penetration enhancer | [95] | ||
| Acidic (C18”1-NASL) 3 | Antimicrobial | MIC 4 mg/mL (Enterococcus faecalis, P. aeruginosa) | Applied with adjuvant antibiotics (kanamycin or cefotaxime) in wound healing | [28] | ||
| Sophorolipid-Sericin Gel | Antibacterial | 500 μg/mL (76.1% antioxidant activity) | Wound healing in wistar rats | [86] | ||
| Rhodotorula bogoriensis | C22-SL 1 | Antimicrobial | 100 mg/mL (Propionibacterium acnes) | Inhibit growth of P. acne (skin acne) | [91] | |
| Pseudohyphozyma bogoriensis | 6′-Ac-22:0-SL (22 carbon chains) (acidic) | Antibacterial | CMC 10 μg/mL (Cutibacterium acne) | Inhibit growth of C. acne (skin acne) | [92] | |
| N/A | Diacetylated lactonic sophorolipid | Immunomodulatory properties | 25 μg/mL (suppressed M1 macrophages polarization) | Used as coatings to promote the resolution of inflammation and normal wound healing | [98] | |
| N/A | Sophorolipid | Antimicrobial | 10 μg/mL (E. coli, Streptococcus spp. and Salmonella spp.) | Accelerate proliferation and migration in vitro wound model using HT-29 cells, accelerate intestinal wound healing | [97] | |
| Antimicrobial | Starmerella bombicola | Acidic and lactonic | Antibacterial Antibiofilm | MIC >5% v/v (Cupriavidus Necator, Bacillus subtilis) | Induce cell death in planktonic cells | [57] |
| MIC 2 mg/mL (B. subtilis) 1 mg/mL (S. aureus) 4 mg/mL (E. coli, P. aeruginosa) | Inhibit both GPB 4 and GNB 5 | [104] | ||||
| MIC 150 μg/mL (S. aureus) 350 μg/mL (P. aeruginosa) | [105] | |||||
| MIC90 300 μg/mL (S. aureus) | Inhibit GPB | [81] | ||||
| 200 μg/mL (B. subtilis) | [75] | |||||
| Nonacetylated acidic | Antibacterial | 5 μg/mL (Listeria ivanovii) | Inhibit GPB | [99] | ||
| Lactonic | Antibacterial | MIC 400 μg/mL (S. aureus, E. coli,) | Inhibit both GPB and GNB in synergy with antibiotics | [120] | ||
| Acidic and lactonic | Antimicrobial Antifungal | MIC 6 μg/mL (S.aureus) 30 μg/mL (E. coli) 50 μg/mL (C. albicans) | Inhibit bacterial and fungal infections | [116] | ||
| Lactonic | Antifungal | MIC80 6 60 μg/mL (C. albicans) BIC80 7 120 μg/mL (C. albicans) | Inhibit biofilm formation and hyphal growth of Candida species | [112] | ||
| Acidic | Antifungal Antibiofilm | MIC70 8 24h: 1.56 μg/mL 48h: 0.78 μg/mL (C. albicans) | Inhibit candidiasis infections | [113] | ||
| N/A | Antifungal Antibiofilm | MIC 200 μg/mL (C. albicans) | Inhibit fungal infection | [7] | ||
| Lactonic | Antimicrobial | MIC 97.5 mg/mL MBC 9 195 mg/mL (Streptococcus Oralis) | Inhibit oral pathogens | [117] | ||
| Lactonic | Antimicrobial | MIC 1 mg/mL (L. fermentum) 1.3 mg/mL (L. acidophilus) | Inhibit oral cariogenic bacteria | [118] | ||
| Acidic and lactonic | Antimicrobial | MIC 19.5 μg/mL (Mixed culture of GPB and GNB) | Inhibit bacteria isolated from salted hides (Leather industry) | [119] | ||
| Acidic and lactonic | Antimicrobial | MIC/MBC 2.09 μmol (S.aureus) 147 μmol (E. coli) | Inhibit both GPB and GNB | [123] | ||
| Acidic and lactonic | Antimicrobial Antibiofilm | MIC75 10 0.8% w/v (S. aureus) | Inhibit biofilm formation of bacteria; applied for silicon catheter medical devices | [108] | ||
| Acidic and lactonic | Antibiofilm | MIC 50 μg/mL (S. aureus) | Inhibit biofilm formation of bacteria; Applied for silicon catheter medical devices | [109] | ||
| Acidic; lactonic (AS/LS ratio is 3.8:6.2) | Antibiofilm | CMC 0.1 wt% (Pseudomonas aeruginosa PAO1) | Inhibit biofilm formation of bacteria in microfluidic channels | [110] | ||
| Acidic and lactonic | Antibiofilm | 50 μg/mL (P. aeruginosa) 43.7% biofilm activity | Inhibit biofilm formation of bacteria; Applied in quorum quenching and imaging | [111] | ||
| - | Cryptococcus sp. | Acidic | Antimicrobial; Stabilizers for NPs production | 5 mg/mL (S. enterica and C. albicans) | Inhibit growth of microbial cells, production of functionalized oxide nanoparticles (NPs) | [122] |
| Candida tropicalis RA1 | Lactonic | Antibacterial | MIC 250 μg/mL (S. aureus) | Inhibit GPB | [103] | |
| Rhodotorula babjevae | Lactonic | Antifungal | MIC 1 mg/mL (Trichophyton mentagrophytes) | Inhibit dermatophytosis | [115] | |
| N/A | Sophorolipid | Antifungal | 0.1% (Trichophyton mentagrophytes) | Prevent tinea pedis | [114] | |
| N/A | Sophorolipid | Antiadhesion | MIC 100 μg/mL (S.aureus, E. coli) | Inhibit bacterial biofilm and adhesion to abiotic surfaces | [107] | |
| Anticancer | Starmerella bombicola | C18:1 DLSL 11 | Anticancer | IC50 30 μg/mL (MDA-MB-231 breast cancer cells) | Inhibit breast cancer cells growth | [17] |
| Anticancer | IC50 12.23 μg/mL (HeLa cells) 25.45 μg/mL (CaSki cells) | Inhibit human cervical cancer cells growth | [125] | |||
| Anticancer | IC50 12 70 μg/mL (HT-29 cells) | Inhibit colorectal cancer cells growth | [126] | |||
| Lactonic | Anticancer | IC50 14.14 μg/mL (HeLa cells) | Inhibit human cervical cancer cells growth | [127] | ||
| Anticancer | IC50 60 μg/mL (CT26 cells) | Inhibit colon cancer cells growth | [128] | |||
| Acidic; lactonic (in excess) | Antiangiogenic | IC50 63.89 µg/mL (EA.hy926 cells) | Inhibit angiogenesis of human cell lines (downregulating VEGF 13) | [130] | ||
| Wickerhamiella domercqiae | C18:1 DLSL | Anticancer | IC50 30 μg/mL (KYSE109 and KYSE450 cells) | Inhibit human esophageal cancer cells growth | [124] | |
| N/A | Lactonic | Anticancer | IC50 25 μg/mL (HepG2 cells) | Induce apoptosis in liver hepatocellular carcinoma cells | [129] |
Publisher’s Note: MDPI stays neutral with regard to jurisdictional claims in published maps and institutional affiliations. |
© 2022 by the authors. Licensee MDPI, Basel, Switzerland. This article is an open access article distributed under the terms and conditions of the Creative Commons Attribution (CC BY) license (https://creativecommons.org/licenses/by/4.0/).
Share and Cite
Cho, W.Y.; Ng, J.F.; Yap, W.H.; Goh, B.H. Sophorolipids—Bio-Based Antimicrobial Formulating Agents for Applications in Food and Health. Molecules 2022, 27, 5556. https://doi.org/10.3390/molecules27175556
Cho WY, Ng JF, Yap WH, Goh BH. Sophorolipids—Bio-Based Antimicrobial Formulating Agents for Applications in Food and Health. Molecules. 2022; 27(17):5556. https://doi.org/10.3390/molecules27175556
Chicago/Turabian StyleCho, Wei Yan, Jeck Fei Ng, Wei Hsum Yap, and Bey Hing Goh. 2022. "Sophorolipids—Bio-Based Antimicrobial Formulating Agents for Applications in Food and Health" Molecules 27, no. 17: 5556. https://doi.org/10.3390/molecules27175556
APA StyleCho, W. Y., Ng, J. F., Yap, W. H., & Goh, B. H. (2022). Sophorolipids—Bio-Based Antimicrobial Formulating Agents for Applications in Food and Health. Molecules, 27(17), 5556. https://doi.org/10.3390/molecules27175556

