Abstract
Currently, studies are being conducted on the possible role of the cytoprotective effect of biologically active substances in conditions of cerebral hypoxia or cardiomyopathies. At the same time, oxidative stress is considered one of the important mechanisms of cellular cytotoxicity and a target for the action of cytoprotectors. The aim of this study is to search for derivatives of 3-(arylmethylamino)-6-methyl-4-phenylpyridin-2(1H)-ones. The probability of cytoprotective action was assessed by measuring cell viability using two tests (with neutral red dye and MTT test). It was found that some derivatives of 3-(arylmethylamino)-6-methyl-4-phenylpyridin-2(1H)-ones under the conditions of our experiment had a pronounced cytoprotective activity, providing better cell survival in vitro, including the MTT test and conditions of blood hyperviscosity. To correlate the obtained results in vitro, molecular docking of the synthesized derivatives was also carried out. The standard drug omeprazole (co-crystallized with the enzyme) was used as a standard. It was shown that all synthesized derivatives of 3-(arylmethylamino)-6-methyl-4-phenylpyridin-2(1H)-ones had higher affinity for the selected protein than the standard gastro-cytoprotector omeprazole. The studied derivatives of 3-(arylmethylamino)-6-methyl-4-phenylpyridin-2(1H)-ones also fully satisfy Lipinski’s rule of five (RO5), which increases their chances for possible use as orally active drugs with good absorption ability and moderate lipophilicity. Thus, the results obtained make it possible to evaluate derivatives of 3-(arylmethylamino)-6-methyl-4-phenylpyridin-2(1H)-ones as having a relatively high cytoprotective potential.
1. Introduction
The search for new highly effective antioxidant and cytoprotective compounds is an urgent task for medical chemistry, since many diseases, such as diabetes mellitus, hepatitis of various etiologies, strokes, atherosclerosis, and many others occur against a background of pronounced oxidative stress and are accompanied by mass cell death. Previously, we have reported a method for the preparation of 4-aryl(hetaryl)-substituted 3-aminopyridin-2(1H)-ones based on the intramolecular cyclization of N-(3-oxoalkenyl)amides. Almost all of the obtained 3-aminopyridin-2(1H)-ones possess high antiradical activity [1]. In addition, 3-aminopyridin-2(1H)-one derivatives are of interest as potential biologically active compounds [2,3]. For example, amrinone is a pyridine phosphodiesterase 3 inhibitor [4]. Some 3-aminopyridin-2(1H)-one derivatives show antiviral activity, including against the AIDS virus [5,6]. The presence of an "embedded" amino acid fragment makes them attractive building blocks for the synthesis of novel derivatives with promising biological applications [7,8,9].
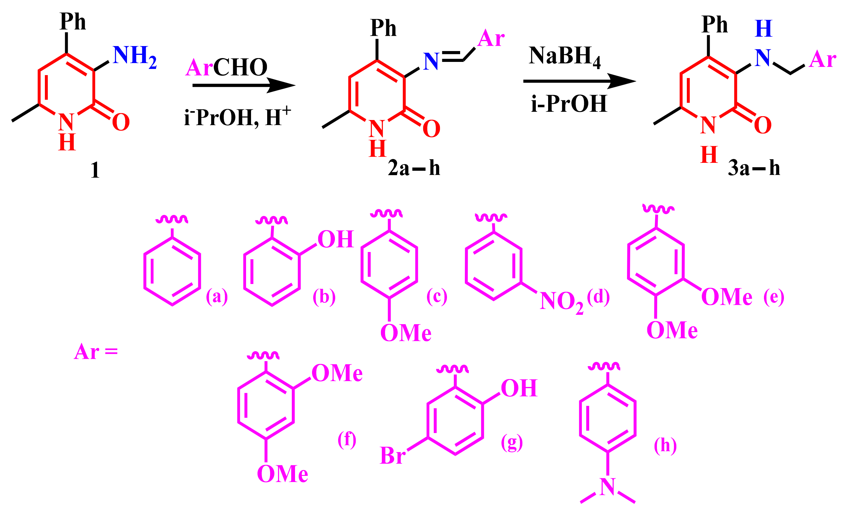
The primary amino group is one of the privileged reactive sites for potential modification of the obtained 4-aryl(hetaryl)-substituted 3-aminopyridine-2(1H)-ones. We have previously shown that the reaction of 3-amino-6-methyl-4-phenylpyridin-2(1H)-one 1 with aromatic aldehydes afforded the corresponding Schiff bases, the reduction of which with sodium borohydride led to the formation of 3-(arylmethylamino)-6-methyl-4-phenylpyridin-2(1H)-ones (Scheme 1) [10].
Scheme 1.
Synthesis of 3-(arylmethylamino)pyridone derivatives 3a–h.
Among a series of novel compounds, 3-(arylmethylamino)-6-methyl-4-phenylpyridin-2(1H)-one derivatives showed antiradical activity against DPPH and ABTS radicals. In addition, these synthesized compounds were tested in vivo for anxiolytic activity using a light–dark box test and antidepressant activity by Porsolt’s “behavioral despair” test. Several derivatives of 3-(arylmethylamino)-6-methyl-4-phenylpyridin-2(1H)-one with higher potential neurotropic activity than that of the comparator drugs (mexidol and amitriptyline) were found [11].
Undoubtedly, an important problem of pharmacology is the search for universal protection mechanisms that allow for protecting the cell from death in order to preserve its structural integrity and functional activity. It should be taken into account that one of the most common mechanisms of cell damage is the formation of reactive oxygen species that induce free radical lipid peroxidation of membranes with the development of oxidative stress [12,13]. In this regard, the detection of antiradical properties in newly synthesized substances predetermines the search for manifestations of cytoprotective action. Derivatives of 3-(arylmethylamino)pyridone in preliminary experiments demonstrated some potential for antioxidant/antiradical activity, therefore the present attempt to clarify the combined antiradical and cytoprotective effect is logical.
2. Results
2.1. Antiradical Activity Tests
Table 1 and Table 2 contain the results of a study of the antiradical activity of eight 3-(arylmethylamino)-6-methyl-4-phenylpyridin-2(1H)-one compounds prepared in this study. The final value is presented as IC50 (50% reduction in DPPH radical activity). Ascorbic acid was used as a standard for antiradical activity against DPPH.
Table 1.
Antiradical activity of the studied substances in relation to the DPPH radical (n = 3).
Table 2.
Antiradical activity of the studied substances in relation to ABTS•+ radical (n = 3).
For the studied compounds, the results were obtained in the form of fixed optical density indicators and calculated IC50 (DPPH) levels in each case. The results are presented in Table 1 and each entry represents the average of three experiments.
As can be seen from the presented data, the ability to ”extinguish” DPPH is inherent in all eight compounds under study, approximately to the same extent, with a small scatter in quantitative characteristics. The antiradical activity of the studied compounds is comparable to that of ascorbic acid.
In a similar mode, the study of the antiradical activity of the compounds with respect to ABTS•+ [2,2′-azinobis(3-ethylbenzothiazoline-6-sulfonic acid) cation radical] was carried out. As a standard of antiradical activity, vitamin E (Trolox) is present in the form of Trolox equivalent of antioxidant capacity (TEAC) (Table 2).
Evaluating the antiradical effect of the presented samples in relation to the ABTS•+ radical, it can be seen that the studied compounds have a moderate potential for antiradical activity, approaching in terms of the severity of the quantitative assessment the indicators inherent in vitamin E (Trolox).
The results presented in Table 1 and Table 2 prove that 3-(arylmethylamino)pyridone derivatives have an antiradical potential. Compounds 3a–e and 3h are not inferior to ascorbic acid in terms of the strength of the antiradical effect with respect to the DPPH radical. Compounds 3f and 3g have an antiradical potential with respect to the DPPH radical, but less than that of ascorbic acid. Compounds 3b and 3d are comparable in their antiradical effect against the ABTS radical with ascorbic acid and vitamin E (Trolox). Compounds 3a, 3e, and 3h are inferior to ascorbic acid and Trolox in terms of the strength of the antiradical effect against the ABTS radical.
2.2. Cytoprotective Activity Tests
In accordance with the aim of the study, the next step after establishing the antiradical effect of the investigated 3-(arylmethylamino)pyridone compounds was to study their probable cytoprotective effect. The results of measuring the level of viability of transplanted MCF-7 (Michigan Cancer Foundation-7) cells during incubation with the studied 3-(arylmethylamino)pyridine compounds are presented in Table 3.
Table 3.
The level of viability of MCF-7 cells under in vitro conditions under the influence of the studied samples in the MTT (3-(4,5-dimethylthiazol-2-yl)-2,5-diphenyltetrazolium bromide) test.
Table 3 shows the indicators of cell viability after incubation with 3-(arylmethylamino)pyridone compounds as a percentage relative to the cell line MCF-7 taken as 100% viability in the control (cells without the addition of test compounds).
As Table 3 shows, when cells are incubated with 3e, cell viability is approximately halved. However, the incubation of MCF-7 cells with 3h and 3d gives the opposite result: these compounds apparently prevent cell damage during the 24-h incubation period and after a day their viability significantly exceeds the viability of cells in the control. It can be considered proven that samples 3h and 3d have a pronounced cytoprotective activity under the conditions of our experiment, contributing to a better survival of the MCF-7 cell line.
For the compound with the most pronounced ability to protect cells under conditions of cultivation of the MCF-7 monolayer during the 24-h period, namely compound 3d, additional studies were performed to confirm the level of viability of MCF-7 cells in the test with neutral red. This dye is known to selectively stain cells with fully functionally preserved membranes. The results of the study of changes in the viability of MCF-7 cells under in vitro conditions under the influence of the studied samples in the test with neutral red are presented in Table 4. The table shows the indicators of cell viability as a percentage relative to the MCF-7 cell line taken as 100% viability in the control (cells without addition of test compound).
Table 4.
Test results for MCF-7 cells after 24 incubations with 3d.
As can be seen, the results of the interaction of cells pre-incubated with the 3d compound with the neutral red dye, which is able to selectively stain the cell only with a functionally and structurally preserved cell membrane, indicate that the cell viability after contact with the 3d compound was significantly increased.
In experiments on the study of hemorheological activity of samples (Table 5), it was found that incubation of blood for 60 min at a temperature of 43.0 °C led to a significant increase in blood viscosity at various spindle speeds from 2 to 60 rpm, which indicates the formation of blood hyperviscosity.
Table 5.
Effect of studied samples and pentoxifylline on blood viscosity (mPa*s) at different spindle speeds in an in vitro blood hyperviscosity model.
2.3. Molecular Docking and Drug-Likeness Properties Evaluation
Currently, modern cytoprotectors are successfully used in the treatment of cerebral hypoxia of various etiologies, as well as in acute and chronic cardiovascular pathology [14,15,16]. It is known that oxidative stress is considered one of the important mechanisms of cell cytotoxicity. In medical practice, there is a sufficient arsenal of effective cytoprotectors from the group of pharmacological agents with different mechanisms of action. All of them protect cells from cytotoxic effects of various etiologies [17,18,19,20]. For example, a cell dies as a result of exposure to highly reactive oxygen radicals that destroy all types of macromolecules (RNA, DNA, proteins, lipids). At the same time, antioxidants that neutralize harmful oxygen radicals have a cytoprotective effect on cells [21,22].
In this regard, to evaluate a possible biological target and confirm the previously obtained results of the cytoprotective activity of compounds 3a–h, we used the method of molecular docking. The oxidoreductase enzyme receptor (PDB identifier: 4KEW) [23], which is directly involved in the catalytic processes of biological oxidation, was chosen as the target protein.
Three-dimensional (3D) structures were obtained from the RCSB Protein Data Bank [24], while the ligand molecules were plotted using ChemBio3D Ultra 14.0. The protein structure was prepared for docking by removing a water molecule and a native ligand and adding polar hydrogen atoms, and then converted to pdbqt format using the AutoDock MGL software package [25]. The docking process was carried out using AutoDock Vina [26]. For the oxidoreductase enzyme receptor (PDB: 4KEW) [23], active site grid coordinates (X = 14.1084, Y = 19.9038, and Z = 9.73737; size 26 × 20 × 20 Å) were used. The interaction of ligands at binding sites was interpreted using the Discovery Studio Visualizer [27].
The docking results showed (Table 6) that for the studied structures, the free energies (kcal/mol) of complexes with the selected receptors were higher than the free energy of the complex of this protein with the corresponding native ligand (comparison drug omeprazole), except for compound 3a.
Table 6.
Results of molecular docking of compounds 3a–h and reference drug (Omeprazole) with active site of protein 4KWE, kcal/mol.
For compounds 3a–h, the number of intermolecular hydrogen bonds, the binding energies of the stable ligand–receptor complex (4KWE), and the number of nearest amino acid residues were determined (Table 7).
Table 7.
Interactions of basic amino acids and H-bonds.
Analysis of the interactions between the 4KWE protein complex and ligands 3a–h showed that all the studied derivatives formed fairly strong complexes with the target receptor protein (Figure 1, Figure 2, Figure 3 and Figure 4).
Figure 1.
Complex between 3a and oxidoreductase enzyme receptor (4KWE).
Figure 2.
Complex between 3d and oxidoreductase enzyme receptor (4KWE).
Figure 3.
Complex between 3h and oxidoreductase enzyme receptor (4KWE).
Figure 4.
Complex between 3g and oxidoreductase enzyme receptor (4KWE).
Thus, the results of computer docking testify to their potential cytoprotective activity. In this case, the possible presence of both acceptor and donor substituents in the methylaryl fragment increases the affinity for the selected receptor protein.
2.4. Compound Screening Using Lipinski’s Rule of Five
To model the bioavailability of new physiologically active substances for their possible use as an orally active drug, one of the ways to identify compounds with good absorption capacity and moderate lipophilicity is to screen compounds using Lipinski’s rule of five (RO5). The rule states that good absorption or penetration of a drug is possible if the chemical structure of the drug does not violate more than one of the following criteria/rules:
- (1)
- Molecular weight less than or equal to 500;
- (2)
- LogP (octanol-water partition coefficient) must be less than or equal to 5;
- (3)
- Hydrogen bond donors must be less than or equal to 5;
- (4)
- There should not be more than 10 hydrogen bond acceptors [28].
The Molinspiration online tool [29] was used to assess the selected compounds 3a–h with potential cytoprotective activity as the likelihood of their use in medical practice.
The results obtained are shown by us in Table 8.
Table 8.
Calculated values of compounds 3a–h according to Lipinski’s rule of five.
The results of the computer screening indicate that none of the studied compounds 3a–h violated any of the RO5 rules, indicating their possible use as drugs with antiradical and cytoprotective activity.
3. Discussion
The results of the MTT test and the neutral red test can be considered evidence of the presence of cytoprotective activity in 3-(arylmethylamino)pyridone compounds in the compound codenamed 3d. As was determined in the same series of experiments, the investigated compounds of 3-(arylmethylamino)pyridone compounds, including 3d, have a pronounced potential for antiradical activity against the standard DPPH and ABTS•+ tests. The data obtained allow us to suggest a potential relationship between the presence of antiradical activity and manifestations of a cytoprotective effect. The results obtained under the conditions of our experiment support the hypothesis of the possible protection of cellular and intracellular membranes of eukaryotic cells from the damaging effects of free radicals by substances that bind and neutralize free radicals [30]. In particular, one can confidently judge the relationship between antiradical and cytoprotective actions under conditions of cellular aging [31].
An absolute limitation of this study is the lack of comparison of antiradical and cytoprotective effects in vivo using adequate models. This is what is expected to be done in the future.
Thus, for 3-(arylaminomethyl)pyridone compounds, an antiradical effect on free radicals DPPH and ABTS•+ has been proven, and the results of in vitro studies on cell culture have been obtained, suggesting the possibility of a cytoprotective effect. Both results obtained under the conditions of this experiment deserve, in our opinion, detailed consideration in the forthcoming extended experiments.
4. Materials and Methods
IR spectra were recorded on an Infralum FT-801 spectrometer for KBr pellets. 1H and 13C NMR spectra were recorded on a Bruker DRX400 (400 and 100 MHz, respectively) and Bruker AVANCE 500 (500 and 125 MHz, respectively) instruments using DMSO-d6 (compounds 2b, 2e–g, and 3g), DMSO-d6 + CF3COOH (compound 2d), or CDCl3 (remaining compounds) with TMS as internal standard. Elemental analysis was performed on a Carlo Erba 1106 CHN instrument. Melting points were determined using a Koffler hot bench. Monitoring of the reaction course and the purity of the products was carried out by TLC on Sorbfilplates and visualized using iodine vapor or UV light.
4.1. Synthesis of Compounds
3-Amino-6-methyl-4-phenylpyridine-2(1H)-one 1 was synthesized according to procedure [1].
In order to create a library of 3-(arylaminomethyl)pyridone derivatives and then evaluate them for possible antiradical and cytoprotective activity, we performed the synthesis of compounds 3a–h based on 3-amino-6-methyl-4-phenylpyridine-2(1H)-one 1. 3-(Arylmethylamino)pyridones 3a–g were obtained in good yields by reacting pyridine-2-one 1 with a series of aromatic aldehydes followed by reduction of imines 2a–g with sodium borohydride in 2-propanol at 25–35 °C (Scheme 1), their physicochemical and spectral characteristics were according to the literature procedure [10,11]. NMR Spectral Data see Supplementary Materials.
Typical procedure for the synthesis of imines 2a–h. The mixture of 3-amino-pyridin-2(1H)-one 1 (200 mg, 1 mmol), aromatic aldehyde (1.2 mmol), and a catalytic amount of formic acid in 5 mL of 2-propanol was refluxed for 1–3 h. After cooling the reaction mixture, precipitated imines 2a–h were filtered off and washed with hexane.
Typical procedure for the synthesis of compounds 3a–h. To a suspension of imines 2a–h (1 mmol) in 2-propanol (15 mL) were added water (3 mL) and sodium borohydride (0.380 g, 10 mmol) with stirring at a temperature of 25–35 °C; the reaction mixture was stirred for 10–15 h. Then the reaction mixture was poured into a beaker with ice-cold water (150 mL). The aqueous layer was extracted with chloroform (3 × 25 mL), the organic layer was dried over Na2SO4, the solvent was removed by distillation, and the residue was triturated with hexane. The crude product was recrystallized from a 1:2 mixture of 2-propanol and hexane.
(E)-3-(Benzylideneamino)-6-methyl-4-phenylpyridin-2(1H)-one (2a). Yield: 236 mg (82%), yellow crystals, m.p.: 214–215 °C (2-propanol - chloroform). IR (KBr, cm−1): 3450, 3352, 1636. 1H NMR (400 MHz, CDCl3) δ ppm 2.41 (s, 3H), 6.25 (s, 1H), 7.35–7.40 (m, 5H), 7.48–7.53 (m, 3H), 7.75 (dd, 3J = 7.1 Hz, 4J = 2.4 Hz, 2H), 9.35 (s, 1H), 13.18 (br. s, 1H). 13C NMR (100 MHz, CDCl3) δ ppm 18.7, 108.7, 121.6, 127.5, 128.0, 128.4, 128.6, 130.0, 130.6, 131.0, 131.7, 137.7, 140.8, 146.3, 161.2, 162.6. Anal. Calcd. for C19H16N2O: C, 79.14; H, 5.59; N, 9.72. Found: C, 79.52; H, 5.87; N, 9.91.
(E)-3-((2-Hydroxybenzylidene)amino)-6-methyl-4-phenylpyridin-2(1H)-one (2b). Yield: 289 mg (95%), yellow crystals, m.p.: 251–252 °C (2-propanol). IR (KBr, cm−1): 3454, 2826, 1626, 1466, 1282. 1H NMR (400 MHz, DMSO-d6) δ ppm 2.24 (s, 3H, CH3); 6.13 (s, 1H, H-5); 6.71 (d, 1H, 3J = 8.2 Hz, H-3’ Ar); 6.86 (td, 1H, 3J = 7.4 Hz, 4J = 1.0 Hz, H-5’ Ar); 7.26 (td, 1H, 3J = 7.7 Hz, 4J = 1.5 Hz, H-4’ Ar); 7.36–7.44 (m, 6H, 5H Ph, H-6’ Ar); 9.86 (s, 1H, =C-H); 12.16 (s, 1H, NH); 12.59 (s, 1H, OH). 13C NMR (100 MHz, DMSO-d6) δ ppm 18.3, 107.1, 116.3, 118.8, 119.7, 127.9, 128.27, 128.31, 128.5, 132.3, 132.4, 137.9, 142.8, 147.2, 159.1, 159.9, 164.3. Anal. Calcd. for C19H16N2O2: C, 75.31; H, 5.66; N, 9.57. Found: C, 74.98; H, 5.30; N, 9.20.
(E)-3-((4-Methoxybenzylidene)amino)-6-methyl-4-phenylpyridin-2(1H)-one (2c). Yield: 261 mg (82%), yellow crystals, m.p.: 217–219 °C (2-propanol- chloroform). IR (KBr, cm−1): 2901, 1625, 1574, 1248. 1H NMR (400 MHz, CDCl3) δ ppm 2.40 (s, 3H, CH3); 3.83 (s, 3H, OCH3); 6.23 (d, 1H, 4J = 0.8 Hz, H-5); 6.90 (d, 2H, 3J = 8.8 Hz, H-3,5 Ar); 7.38 (d, 2H, 3J = 7.4 Hz, H-2,6 Ph); 7.51 (td, 3H, 3J = 8.7 Hz, 4J = 1.5 Hz, H-3,4,5 Ph); 7.70 (d, 2H, 3 J =8.8 Hz, H-2,6 Ar); 9.40 (s, 1H, N=CH); 13.05 (br. s, 1H, NH). 13C NMR (100 MHz, CDCl3) δ ppm 18.7 (CH3), 55.3 (OCH3), 108.1, 113.9 (2C, Ar), 127.5 (2C, Ph), 128.1 (2C, Ph), 128.9, 130.0 (2C, Ar), 132.2, 138.1, 140.2, 145.4, 159.9, 161.3, 161.8, 162.0. Anal. Calcd. for C20H18N2O2: C, 75.45; H, 5.70; N, 8.80. Found: C, 75.04; H, 6.06; N, 8.38.
(E)-6-Methyl-3-((3-nitrobenzylidene)amino)-4-phenylpyridin-2(1H)-one (2d). Yield: 260 mg (78%), orange crystals, m.p.: 290–291 °C. IR (KBr, cm−1): 2893, 1655, 1624, 1534. 1H NMR (400 MHz, DMSO-d6 + CF3COOH) δ ppm 2.16 (s, 3H, CH3); 5.98 (s, 1H, H-5); 7.38 (s, 5H, Ph); 7.70 (m, 1H, H-6 Ar); 8.17 (m, 1H, H-5 Ar); 8.36 (m, 1H, H-6 Ar); 8.55 (s, 1H, H-2 Ar); 9.99 (br. s, 1H, N=CH); 13.18 (br. s, 1H, NH). 13C NMR (100 MHz, DMSO-d6) δ ppm 19.5 (CH3), 108.2 (C-5), 116.9, 125.1, 129.0, 129.5 (2C Ph), 129.7, 130.4 (2C Ph), 130.9, 131.9, 136.1, 136.3, 138.8, 146.4, 148.2, 149.9, 192.3. Anal. Calcd. for C19H15N3O3: C, 68.46; H, 4.54; N, 12.61. Found: C, 68.88; H, 4.93; N, 12.18.
(E)-3-((3,4-Dimethoxybenzylidene)amino)-6-methyl-4-phenylpyridin-2(1H)-one (2e). Yield: 294 mg (84%), yellow crystals, m.p.: 220–224 °C. IR (KBr cm−1): 2831, 1605, 1583, 1271. 1H NMR (500 MHz, DMSO-d6) δ ppm 2.21 (s, 3H, CH3); 3.79 (s, 3H, OCH3); 3.84 (s, 3H, OCH3); 6.13 (s, 1H, H-5); 6.53 (dd, 1H, 3J = 8.7 Hz, 5J = 2.1 Hz, H-5 Ar); 6.60 (d, 1H, 5J = 2.2 Hz, H-2 Ar); 7.33–7.38 (m, 3H, H-3,4,5 Ph); 7.42–7.43 (m, 2H, H-2,6 Ph); 7.64 (d, 1H, 3J = 8.8 Hz, H-6 Ar); 9.54 (s, 1H, N=CH); 11.81 (br. s, 1H, NH). 13C NMR (125 MHz, DMSO-d6) δ ppm 18.3 (CH3), 55.4 (OCH3), 55.6 (OCH3), 98.0 (C-2, Ar), 106.2 (C-5), 106.5 (C-5 Ar), 118.4 (C-6 Ar), 127.4 (2C, Ph), 127.5, 127.7, 129.7 (2C, Ph), 132.1, 138.2, 140.2, 143.2, 155.5, 159.2, 160.4, 163.1. Anal. Calcd. for C21H20N2O3: C, 72.40; H, 5.79; N, 8.04. Found: C, 72.05; H, 6.21; N, 8.39.
(E)-3-((2,4-Dimethoxybenzylidene)amino)-6-methyl-4-phenylpyridin-2(1H)-one (2f). Yield: 296 mg (85%), yellow crystals, m.p.: 241–244 °C. IR (KBr cm−1): 2838, 1635, 1621, 1262, 1230. 1H NMR (500 MHz, DMSO-d6) δ ppm 2.23 (s, 3H, CH3); 3.68 (s, 3H, OCH3); 3.78 (s, 3H, OCH3); 6.19 (s, 1H, H-5); 6.79 (d, 1H, 3J = 8.3 Hz, H-5 Ar); 7.22 (dd, 1H, 3J = 8.2 Hz, 5J = 1.6 Hz, H-6 Ar); 7.28 (d, 1H, 5J = 1.5 Hz, H-3 Ar); 7.34 (t, 1H, 3J = 7.2 Hz, H-4 Ph); 7.39 (t, 2H, 3J = 7.3 Hz, H-3,5 Ph); 7.48 (d, 2H, 3J = 7.1 Hz, H-2,6 Ph); 9.41 (s, 1H, N=CH); 11.91 (br. s, 1H, NH). 13C NMR (125 MHz, DMSO-d6) δ ppm 18.3 (CH3), 55.1 (OCH3), 55.6 (OCH3), 106.6 (C-3 Ar), 109.0 (C-5), 111.3 (C-5 Ar) 123.0 (C-6 Ar), 127.4 (2C Ph), 127.8, 129.9 (2C Ph), 130.6, 130.7, 138.1 140.1, 144.4, 148.9, 151.2, 159.3, 160.0. Anal. Calcd. for C21H20N2O3: C, 72.40; H, 5.79; N, 8.04. Found: C, 72.08; H, 6.18; N, 8.41.
(E)-3-((5-Bromo-2-hydroxybenzylidene)amino)-6-methyl-4-phenylpyridin-2(1H)-one (2g). Yield: 362 mg (94%), yellow crystals, m.p.: 294–297 °C. IR (KBr, cm−1): 2922, 1625, 1621, 1162, 820. 1H NMR (400 MHz, DMSO-d6) δ ppm 2.27 (s, 3H, CH3); 6.14 (s, 1H, H-5); 6.69 (d, 1H, 3J = 9.2 Hz, H-3 Ar); 7.36–7.44 (m, 6H, H-4 Ar, H-2,3,4,5,6 Ph); 7.63(s, 1H, H-6 Ar) 9.83 (s, 1H, N=CH); 12.03 (br. s, 1H, NH); 12.50 (s, 1H, OH). Anal. Calcd. for C19H15BrN2O2: C, 59.55; H, 3.95; N, 7.31. Found: C, 59.98; H, 4.38; N, 7.70.
(E)-3-((4-Dimethylamino)benzylidene)amino)-6-methyl-4-phenylpyridin-2(1H)-one (2h). The mixture of 3-aminopyridin-2(1H)-one 1 (200 mg, 1 mmol), 654 mg 4-(dimethylamino)benzaldehyde (43 mmol) and catalytic amount of formic acid in 30 mL 2-propanol was refluxed for 8 h. After cooling the reaction mixture, precipitated imine 2h was filtered off and washed with hexane. Yield: 310 mg (93%), yellow crystals, m.p.: 258–261 °C (2-propanol). IR (KBr): ν, cm−1: 3748, 2894, 1633, 1614. 1H NMR (400 MHz, CDCl3) δ ppm 2.36 (s, 3H, CH3); 3.01 (s, 6H, N(CH3)2); 6.20 (s, 1H, H-5); 6.66 (d, 2H, J = 7.3, H-3’,5’ Ar); 7.33–7.36 (m, 3H, H-3,4,5 Ph); 7.51 (d, 2H, J = 7.3, H-2,6 Ph); 7.63 (d, 2H, J = 7.3, H-3’,5’ Ar); 9.20 (s, 1H, N=CH); 12.55 (br. s, 1H, NH). 13C NMR (100 MHz, CDCl3) δ ppm 18.8 (CH3); 40.2 (N(CH3)2) 108.5 (C-5); 111.4 (C-3’,5’ Ar); 125.7; 127.5 (C-3,5 Ph); 127.7 (C-4 Ph); 130.1 (C-2’,6’ Ar); 130.2 (C-2,6 Ph); 133.3 (C-1’ Ar); 138.2; 139.1; 143.9; 152.2; 161.3 (C-2); 162.9 (N=CH). Anal. Calcd. for C21H21N3O: C, 76.11; H, 6.39; N, 12.68. Found: C, 75.74; H, 6.81; N, 12.28.
3-(Benzylamino)-6-methyl-4-phenylpyridin-2(1H)-one (3a). Yield: 235 mg (81%), yellow crystals, m.p.: 167–169 °C (2-propanol-hexane). IR (KBr, cm−1): 3334, 3274, 2925, 1831, 1628. 1H NMR (400 MHz, CDCl3) δ ppm 2.27 (s, 3H, CH3); 3.73 (s, 2H, N-CH2); 5.19 (br. s, 1H, N-H); 5.87 (s, 1H, H-5); 6.88 (m, 2H, H-2’,6’ Ar); 7.0 (m, 3H, H-3’,4’,5’ Ar); 7.3 (m, 5H, Ph); 12.38 (s, 1H, NHCO); 13C NMR (100 MHz, CDCl3) δ ppm 18.2; 49.9; 110.6; 126.5; 127.3; 127.6; 128.0; 128.2; 128.3; 132.2; 132.6; 132.9; 139.0; 139.9; 160.2. Anal. Calcd. for C19H18N2O: C, 78.59; H, 6.25; N, 9.65; Found: C, 74.91; H, 6.05; N, 9.86.
3-((2-Hydroxybenzyl)amino)-6-methyl-4-phenylpyridin-2(1H)-one (3b). Yield: 217 mg (71%), yellow crystals, m.p.: 187–188 °C (2-propanol-hexane). IR (KBr, cm−1): 3367, 2920, 1632, 1542. 1H NMR (400 MHz, CDCl3) δ ppm 2.47 (s, 3H, CH3); 3.62 (bt, 1H, J = 7.6 Hz, N-H); 4.24 (d, 2H, J = 6.9 Hz, N-CH2); 6.10 (s, 1H, H-5); 6.74 (td, 1H, J = 7.3 Hz, J = 1.4 Hz, H-5’ Ar); 6.91 (dd, 1H, 3J = 8.2 Hz, 4J = 0.9 Hz H-3’ Ar), 6.99 (dd, 1H, J = 7.3 Hz, J = 1.4 Hz, H-6’ Ar), 7.18 (td, 1H, J = 7.8 Hz, J = 1.4 Hz, H-4’ Ar), 7.37–7.43 (m, 3H, H-3,4,5 Ph), 7.47 (d, 2H, J = 7.1 Hz, H-2,6 Ph), 10.05 (s, 1H, OH); 13.38 (s, 1H, NHCO). 13C NMR (100 MHz, CDCl3) δ ppm 18.6, 48.8, 109.5, 116.7, 118.5, 124.4, 127.8, 128.5, 129.2, 129.3, 131.8, 137.2, 137.4, 140.9 157.5, 162.7. Anal. Calcd. for C19H18N2O2: C, 74.49; H, 5.92; N, 9.14; Found: C, 74.81; H, 5.74; N, 9.26.
3-((4-Methoxybenzyl)amino)-6-methyl-4-phenylpyridin-2(1H)-one (3c). Yield: 176 mg (55%), brown crystals, m.p.: 154–157 °C (2-propanol-hexane). IR (KBr, cm−1): 3303, 2838, 1884, 1630, 1509. 1H NMR (400 MHz, CDCl3) δ ppm 2.27 (s, 3H, CH3); 3,74 (s, 3H, OCH3) 3.75 (s, 2H, N-CH2); 5.00 (br. s, 1H, N-H); 5.91 (s, 1H, H-5); 6.74 (d, 2H, 3J = 9.2 Hz, H-3,5 Ar); 6.97 (d, 2H, 3J = 6.1 Hz, H-2,6 Ar); 7.32 (t, 1H, 3J = 6.9 Hz, H-4 Ph); 7.38–7.41 (m, 2H, H-5,3 Ph); 7.45–7.47 (m, 2H, H-2,6 Ph); 12.77 (s, 1H, NH). 13C NMR (100 MHz, CDCl3) δ ppm 18.3 (CH3), 49.8 (N-CH2), 55.2 (OCH3), 109.4 (C-5), 113.5 (C-3,5 Ar), 127.5, 128.3 (4C Ph), 128.7 (C-2,6 Ar), 132.1, 132.3, 133.0, 139.3, 158.4, 161.6. Anal. Calcd. for C20H20N2O2: C, 74.98; H, 6.29; N, 8.74; Found: C, 74.54; H, 6.66; N, 8.34.
6-Methyl-3-((3-nitrobenzyl)amino)-4-phenylpyridin-2(1H)-one (3d). Yield: 255 mg (76%), orange crystals, m.p.: 160–163 °C (2-propanol). IR (KBr, cm−1): 3359, 3303, 2923, 1844, 1642. 1H NMR (400 MHz, CDCl3) δ ppm 2.28 (s, 3H, CH3); 3.96 (d, 2H, 3J = 6.1 Hz, N-CH2); 5.19 (br. s, 1H, N-H); 5.89 (s, 1H, H-5); 7.32–7.36 (m, 3H, H-3,4,5 Ph); 7.37–7.38 (m, 4H, H-2,6 Ph, H-5,6 Ar) 7.80 (s, 1H, H-2 Ar); 8.01 (d, 1H, 3J = 6.1 Hz, H-4Ar) 12.74 (s, 1H, NH). 13C NMR (100 MHz, CDCl3) δ ppm 18.3 (CH3), 49.2 (N-CH2), 109.4 (C-5), 121.9 (C-4 Ar), 122.4 (C-2 Ar), 127.9, 128.2 (2C Ph), 128.3 (2C Ph), 129.0, 131.9, 132.3, 132.9, 133.4, 142.4, 148.0, 161.5. Anal. Calcd. for C19H17N3O3: C, 68.05; H, 5.11; N, 12.53; Found: C, 68.48; H, 5.52; N, 12.93.
3-((3,4-Dimethoxybenzyl)amino)-6-methyl-4-phenylpyridin-2(1H)-one (3e). Yield: 179 mg (51%), yellow crystals, m.p.: 132–133 °C (2-propanol-hexane). IR (KBr, cm−1): 3341, 2931, 1629, 1518. 1H NMR (400 MHz, CDCl3) δ ppm 2.26 (s, 3H, CH3); 3.75 (s, 2H, N-CH2); 3,78 (s, 3H, OCH3); 3,82 (s, 3H, OCH3); 5.04 (br. s, 1H, N-H); 5.90 (s, 1H, H-5); 6.56 (s, 1H, H-2 Ar); 6.57 (d, 1H, 3J = 7.4 Hz, H-5 Ar); 6.70 (d, 1H, 3J = 7.3 Hz, H-6 Ar); 7.32 (t, 1H, 3J = 7.3 Hz, H-4 Ph); 7.39 (t, 2H, 3J = 7.9 Hz, H-3,5 Ph); 7.43 (m, 2H, H-2,6 Ph); 12.74 (br. s, 1H, NH). 13C NMR (100 MHz, CDCl3) δ ppm 18.3 (CH3), 50.0 (N-CH2), 55.6 (OCH3), 55.8 (OCH3), 109.4 (C-5), 110.7 (C-2 Ar), 110.7 (C-5 Ar), 119.5 (C-6 Ar), 127.5, 128.3 (2C Ph), 128.3 (2C Ph), 131.6, 132.1, 132.8, 133.0, 139.2, 147.7, 148.6, 161.6. Anal. Calcd. for C21H22N2O3: C, 71.98; H, 6.33; N, 7.99; Found: C, 72.39; H, 6.72; N, 8.36.
3-((2,4-Dimethoxybenzyl)amino)-6-methyl-4-phenylpyridin-2(1H)-one (3f).
Yield: 214 mg (61%), yellow crystals, m.p.: 181–184 °C (2-propanol-hexane). IR (KBr, cm−1): 3304, 2938, 1865, 1644. 1H NMR (400 MHz, CDCl3) δ ppm 2.25 (s, 3H, CH3); 3,64 (s, 3H, OCH3); 3,75 (s, 3H, OCH3) 3.84 (s, 2H, N-CH2); 5.07 (br. s, 1H, N-H); 5.88 (s, 1H, H-5); 6.30 (d, 1H, 3J = 7.7 Hz, H-5 Ar); 6.32 (s, 1H, H-3 Ar); 6.81 (d, 1H, 3J = 7.6 Hz, H-6 Ar); 7.31 (t, 1H, 3J = 6.9 Hz, H-4 Ph); 7.36–7.43 (m, 4H, H-2,3,5,6 Ph); 12.54 (s, 1H, NH). 13C NMR (100 MHz, CDCl3) δ ppm 18.3 (CH3), 45.0 (N-CH2), 55.0 (4-OCH3), 55.2 (2-OCH3), 98.2 (C-3 Ar), 103.3 (C-5), 109.2 (C-5 Ar), 120.8, 127.3, 128.3 (4C Ph), 129.8, 131.7, 131.9, 133.3, 139.4, 154.5, 159.9, 161.6. Anal. Calcd. for C21H22N2O3: C, 71.98; H, 6.33; N, 7.99; Found: C, 71.54; H, 6.75; N, 8.42.
3-((5-Bromo-2-hydroxybenzyl)amino)-6-methyl-4-phenylpyridin-2(1H)-one (3g). Yield: 285 mg (74%), yellow crystals, m.p.: 203–206 °C (2-propanol-hexane). IR (KBr, cm−1): 3370, 3279, 1842, 1643. 1H NMR (400 MHz, DMSO-d6) δ ppm 2.09 (s, 3H, CH3); 3.66 (d, J = 7.6 Hz, 2H, N-CH2); 5.10 (bt, 1H, 3J = 6.9 Hz, N-H); 5.81 (s, 1H, H-5); 6.62 (d, 1H, 3J = 9.2 Hz, H-3 Ar); 6.83 (br. s, 1H, H-6 Ar); 7.11–7.14 (dd, 1H, 3J = 9.2 Hz, 4J = 3.1 Hz, H-4 Ar); 7.34 (td, 1H, 3J = 6.1 Hz, 4J = 3.1 Hz, H-4 Ph); 7.39–7.42 (m, 4H, H-3,2,5,6 Ph); 9.8 (s, 1H, OH); 11.6 (s, 1H, NH). 13C NMR (100 MHz, DMSO-d6) δ ppm 17.8 (CH3), 44.5 (N-CH2), 107.5 (C-5 Ar), 109.5 (C-5), 116.9 (C-4 Ar), 127.5 (C-3 Ar), 127.9 (2C Ph), 128.5 (2C Ph), 128.9, 129.1, 130.3 (C-6 Ar), 130.9, 132.0, 132.6, 139.0, 154.7, 160.1. Anal. Calcd. for C19H17BrN2O2: C, 59.23; H, 4.45; N, 7.27; Found: C, 59.63; H, 4.84; N, 7.70.
3-((4-Dimethylaminobenzyl)amino)-6-methyl-4-phenylpyridin-2(1H)-one (3h).
To a suspension of imine 2h (123 mg, 3.7 mmol) in 2-propanol (50 mL) was added water (3 mL) and sodium borohydride (112 mg, 30 mmol) with stirring at a temperature of 25–35 °C; the reaction mixture was stirred for 10 h. Then the reaction mixture was poured into a beaker with ice-cold water (150 mL). The aqueous layer was extracted with chloroform (3×25 mL), the organic layer was dried over Na2SO4, the solvent was removed by distillation, and the residue was triturated with hexane. The crude product was recrystallized from a 1:2 mixture of 2-propanol and hexane. Yield: 250 mg (75%), yellow crystals, m.p.: 165–168 °C (2-propanol-hexane). IR (KBr, cm−1): 2922, 1643, 1518. 1H NMR (400 MHz, CDCl3) δ ppm 2.27 (s, 3H, CH3); 2.89 (s, 6H, N(CH3)2); 3.70 (s, 2H, N-CH2); 4.97 (br. s, 1H, N-H); 5.93 (s, 1H, H-5); 6.60 (d, 2H, J = 9.2, H-3’,5’ Ar); 6.95 (d, 2H, J = 8.5, H-3’,5’ Ar); 7.32 (t, 1H, J = 7.3, H-4 Ph); 7.41 (t, J = 7.3, 2H, H-3,5 Ph); 7.49 (d, 2H, J = 7.3, H-2,6 Ph); 12.83 (br. s, 1H, NH). 13C NMR (100 MHz, CDCl3) δ ppm 18.3 (CH3); 40.7 (N(CH3)2); 50.0 (CH2-Ar); 109.4 (C-5); 112.5 (C-3’,5’ Ar); 127.4 (C-4 Ph); 128.2; 128.2 (C-2’,6’ Ar); 128.3 (C-2,6 Ph); 128.5 (C-3,5 Ph); 131.0; 131.9; 133.4; 139.5; 149.6 (C-4’ Ar); 161.6 (C-2). Anal. Calcd. for C21H23N3O: C, 75.65; H, 6.95; N, 12.60; Found: C, 75.22; H, 5.65; N, 9.94.
4.2. DPPH and ABTS Radical Scavenging Assay
The antiradical action of the compounds 3h, 3e, and 3d was routinely studied in relation to the radicals of 2,2-diphenyl-1-picrylhydrazyl (DPPH) and 2,2’-azinobis(3-ethylbenzothiazoline-6-sulfonic acid) (ABTS•+) [32].
To assess the antiradical activity of the studied samples (3h, 3e, and 3d), the standard DPPH test purchased from Sigma Aldrich, Steinheim, Germany was used in accordance with the manufacturer’s instructions. To select substances with pronounced antiradical activity, 2 mL of a 100 μM ethanol solution of DPPH were mixed with 20 μL of the test samples dissolved in methanol at a concentration of 5 mM. As a result, the final concentration of the test substance in the reaction mixture was 50 µM. Ten minutes after adding the test compound solution to the DPPH radical solution, the decrease in absorbance at 515 nm was measured. For substances capable of reducing optical density by more than 50%, a test was performed for interaction with the DPPH radical at final concentrations of the studied substances of 50, 25, 20, 15, 10, 5, and 2.5 µM. After that, the concentration of the test substance capable of reducing the optical density by 50% was determined—IC50 (DPPH). As a reference drug, a substance with known antiradical properties, ascorbic acid, was used.
The antiradical activity of the presented samples was studied against the radical cation 2,2’-azinobis(3-ethylbenzothiazoline-6-sulfonic acid) (ABTS•+) using the Antioxidant Assay Kit (Sigma Aldrich). The principle of the method is the formation of a ferryl myoglobin radical from metmyoglobin and hydrogen peroxide, which oxidizes ABTS with the formation of a cation radical: ABTS•+. ABTS•+ is a stable radical that can exist in aqueous solutions for quite a long time, however, the introduction of various antiradical agents into the solution leads to their interaction with ABTS•+ and rapid consumption (“quenching”) of the latter. The consumption of ABTS•+ is accompanied by characteristic spectral changes, which make it possible to record the reaction rate. The ability to dose the initial concentration of radicals in the system and control the rate of their ”quenching”" led to the widespread use of ABTS•+ to standardize the antiradical activity of various compounds [33]. We compared the rate of "quenching" of ABTS•+ by the test substances and the standard, which was used as a semi-synthetic water-soluble analogue of vitamin E, which has the commercial name Trolox. The use of Trolox allows you to evaluate the effectiveness of anti-radical action through the measure of so-called "Trolox equivalent of antioxidant efficiency": TEAC (Trolox Equivalent Antioxidant Capacity). The TEAC values indicate how much Trolox in mmol/l (mM) ”extinguishes” ABTS•+ with the same efficiency as 1 mM of the analyte. The analyzed samples (3h and 3e) were dissolved in DMSO to a concentration of 10 mM, then twice 10-fold dissolved in 1×Assay Buffer to a final concentration of 0.1 mm. All test substances were tested at a concentration of 0.1 mM.
4.3. Cell Viability Assays
The cytoprotective properties of the presented samples (3h, 3e, and 3d) were evaluated in the MTT test on the breast cancer cell line MCF-7. Of the test sample, 1 mg was dissolved in 1 mL of DMSO. 10 μL of the dissolved substance was added to 100 μL of the nutrient medium with MCF-7 cells. Cells in nutrient medium without the addition of test compounds served as controls. After cells were incubated for 24 h with the test objects, viability was determined in the MTT test using the In Vitro Toxicology Assay Kit, MTT based (Sigma Aldrich) according to the manufacturer’s instructions.
The In Vitro Toxicology Assay Kit Neutral Red Based (Sigma Aldrich) was used on the MCF-7 cell line according to the manufacturer’s manual to access compounds with pronounced cytoprotective activity.
4.4. Study of Hemorheological Effects on the Model of Blood Hyperviscosity In Vitro
Hyperviscosity syndrome (HBIS) was reproduced in vitro by blood incubation at 43.0 °C for 60 min. Blood viscosity was measured on a Brookfield DV2T rotational viscometer at various spindle speeds (from 2 to 60 rpm).
Studies of the hemorheological activity of 6 samples were carried out on 12 Wistar female rats, 12 weeks old, weighing 220–240 g. After blood sampling, the initial blood viscosity was determined in laboratory animals, and then blood samples were incubated with the test substances at a temperature of 43.0 °C for 60 min and then measured the parameters under study. The blood was incubated with the test objects dissolved in DMSO; the final concentration of the compounds was 10−5 g/mL of blood. Blood samples to which DMSO solvent was added in an equivolume amount served as controls. As a reference drug, a substance with known hemorheological properties, pentoxifylline, was used at a concentration of 10−5 g/mL of blood [34,35]. Blood incubation for 1 h under these conditions was accompanied by the formation of blood hyperviscosity [36]. The initial blood viscosity from each animal was measured once; the blood viscosity after incubation was measured in two samples from each animal, both in control and experimental samples.
4.5. Ethical Considerations
All research work with laboratory animals was performed in accordance with generally accepted ethical standards for the treatment of animals, based on standard operating procedures that comply with the rules adopted by the European Convention for the Protection of Vertebrate Animals used for Research and other Scientific Purposes (Strasbourg, France, 1986). The study protocol of the project “Search for means of pharmacological correction of increased blood viscosity syndrome associated with endocrine pathology” was approved on 7 August 2020 (Protocol No. 3) by the Local Ethics Commission of the Republican State Enterprise “National Center for Biotechnology” (IRB00013497 National Center of Biotechnology IRB #1).
4.6. Data Evaluation
Statistical processing of the results was carried out using the Excel program. The results obtained are presented as mean ± standard error of the mean.
5. Conclusions
Ss a result of the bioscreening performed on two tests by measuring cell viability (neutral red and MTT tests), as well as in the test under conditions of blood hyperviscosity of synthesized derivatives of 3-(arylmethylamino)-6-methyl-4-phenylpyridin-2(1H)-ones, it was found that they have a fairly high cytoprotective potential. It was shown that some derivatives of 3-(arylmethylamino)-6-methyl-4-phenylpyridin-2(1H)-ones under the conditions of our experiment have a pronounced cytoprotective activity, providing better cell survival in vitro, including in hyperviscosity conditions.
Correlation of the results obtained in vitro was performed using molecular docking on the example of the selected target protein of the oxidoreductase enzyme receptor (PDB identifier: 4KEW); the oxidoreductase enzyme receptor showed that all synthesized derivatives of 3-(arylmethylamino)-6-methyl-4-phenylpyridin-2(1H)-ones have a higher affinity for the selected protein than the standard gastro-cytoprotector omeprazole.
The investigated derivatives of 3-(arylmethylamino)-6-methyl-4-phenylpyridin-2(1H)-ones also fully satisfy Lipinski’s rule of five (RO5), which increases their chances for possible use as orally active drugs with good absorption capacity and moderate lipophilicity.
Supplementary Materials
The following are available online at https://www.mdpi.com/article/10.3390/molecules27175362/s1, Figures S1–S31: NMR Spectral Data of imines 2a–h and compounds 3a–h
Author Contributions
Conceptualization, S.S., Z.S., Y.R. and I.V.K.; methodology, Z.S., A.Z. and I.V.P.; validation, S.S., Y.R. and I.V.K.; investigation, Z.S. and A.Z.; writing—original draft preparation, S.S.; writing—review and editing, Y.R.; visualization, I.V.K.; supervision, Y.R.; funding acquisition, Z.S. All authors have read and agreed to the published version of the manuscript.
Funding
This research was funded by the Science Committee of the Ministry of Education and Science of the Republic of Kazakhstan (grant “Search for means of pharmacological correction of increased blood viscosity syndrome associated with endocrine pathology,” Grant no. AP09058121).
Institutional Review Board Statement
IRB00013497 National Center of Biotechnology IRB #1.
Informed Consent Statement
Not applicable.
Data Availability Statement
Not applicable.
Acknowledgments
Spectrophotometric studies were carried out using the equipment of the Center for Collective Use "Rational Nature Management and Physicochemical Research" of University of Tyumen.
Conflicts of Interest
The authors declare no conflict of interest. The funders had no role in the design of the study; in the collection, analyses, or interpretation of data; in the writing of the manuscript, or in the decision to publish the results.
Sample Availability
Samples of the compounds are available from the authors.
References
- Kulakov, I.V.; Matsukevich, M.V.; Shulgau, Z.T.; Sergazy, S.; Seilkhanov, T.M.; Puzari, A.; Fisyuk, A.S. Synthesis and antiradical activity of 4-aryl(Hetaryl)-substituted 3-aminopyridin-2(1H)-ones. Chem. Heterocycl. Compd. 2015, 51, 991–996. [Google Scholar] [CrossRef]
- Kusakabe, K.I.; Tada, Y.; Iso, Y.; Sakagami, M.; Morioka, Y.; Chomei, N.; Shinonome, S.; Kawamoto, K.; Takenaka, H.; Yasui, K.; et al. Design, synthesis, and binding mode prediction of 2-pyridone-based selective CB2 receptor agonists. Bioorganic Med. Chem. 2013, 21, 2045–2055. [Google Scholar] [CrossRef]
- Zhang, Y.M.; Fan, X.; Chakaravarty, D.; Xiang, B.; Scannevin, R.H.; Huang, Z.; Ma, J.; Burke, S.L.; Karnachi, P.; Rhodes, K.J.; et al. 1-Hydroxy-2-pyridinone-based MMP inhibitors: Synthesis and biological evaluation for the treatment of ischemic stroke. Bioorganic Med. Chem. Lett. 2008, 18, 409–413. [Google Scholar] [CrossRef]
- Ward, A.; Brogden, R.N.; Heel, R.C.; Speight, T.M.; Avery, G.S. Amrinone: A Preliminary Review of its Pharmacological Properties and Therapeutic Use. Drugs 1983, 26, 468–502. [Google Scholar] [CrossRef]
- Hoffman, J.M.; Wai, J.S.; Thomas, C.M.; Levin, R.B.; O’Brien, J.A.; Goldman, M.E. Synthesis and Evaluation of 2-Pyridinone Derivatives as HIV-1 Specific Reverse Transcriptase Inhibitors. 1. Phthalimidoalkyl and -alkylamino Analogs. J. Med. Chem. 1992, 35, 3784–3791. [Google Scholar] [CrossRef] [PubMed]
- Saari, W.S.; Wai, J.S.; Fisher, T.E.; Thomas, C.M.; Hoffman, J.M.; Rooney, C.S.; Smith, A.M.; Jones, J.H.; Bamberger, D.L.; Goldman, M.E.; et al. Synthesis and Evaluation of 2-Pyridinone Derivatives as HIV-1-Specific Reverse Transcriptase Inhibitors. 2. Analogues of 3-Aminopyridin-2(1H)-one. J. Med. Chem. 1992, 35, 3792–3802. [Google Scholar] [CrossRef] [PubMed]
- Verissimo, E.; Berry, N.; Gibbons, P.; Cristiano, M.L.S.; Rosenthal, P.J.; Gut, J.; Ward, S.A.; O’Neill, P.M. Design and synthesis of novel 2-pyridone peptidomimetic falcipain 2/3 inhibitors. Bioorganic Med. Chem. Lett. 2008, 18, 4210–4214. [Google Scholar] [CrossRef] [PubMed]
- Zhu, S.; Hudson, T.H.; Kyle, D.E.; Lin, A.J. Synthesis and in vitro studies of novel pyrimidinyl peptidomimetics as potential antimalarial therapeutic agents. J. Med. Chem. 2002, 45, 3491–3496. [Google Scholar] [CrossRef]
- Kulakov, I.V.; Nikitina, O.S.; Fisyuk, A.S.; Goncharov, D.S.; Shul’Gau, Z.T.; Gulyaev, A.E. Synthesis and intramolecular cyclization of N-acyl- and N-allyl-N’-(2-oxo-1,2-dihydro-pyridin-3-yl)thiourea. Chem. Heterocycl. Compd. 2014, 50, 670–676. [Google Scholar] [CrossRef]
- Kulakov, I.V.; Palamarchuk, I.V.; Shulgau, Z.T.; Seilkhanov, T.M.; Gatilov, Y.V.; Fisyuk, A.S. Synthesis, structure and biological activity 3-(arylmethyl)aminopyridine-2(1H)-ones and 1H-pyrido[2,3-b][1,4]oxazin-2(3H)-ones. J. Mol. Struct. 2018, 1166, 262–269. [Google Scholar] [CrossRef]
- Palamarchuk, I.V.; Shulgau, Z.T.; Kharitonova, M.A.; Kulakov, I.V. Synthesis and neurotropic activity of new 3-(arylmethyl)aminopyridine-2(1H)-one. Chem. Pap. 2021, 75, 4729–4739. [Google Scholar] [CrossRef]
- Pizzino, G.; Irrera, N.; Cucinotta, M.; Pallio, G.; Mannino, F.; Arcoraci, V.; Squadrito, F.; Altavilla, D.; Bitto, A. Oxidative Stress: Harms and Benefits for Human Health. Oxid. Med. Cell. Longev. 2017, 2017, 8416763. [Google Scholar] [CrossRef] [PubMed]
- Parcheta, M.; Świsłocka, R.; Orzechowska, S.; Akimowicz, M.; Choińska, R.; Lewandowski, W. Recent developments in effective antioxidants: The structure and antioxidant properties. Materials 2021, 14, 1984. [Google Scholar] [CrossRef] [PubMed]
- Hill, M.D.; Goyal, M.; Menon, B.K.; Nogueira, R.G.; McTaggart, R.A.; Demchuk, A.M.; Poppe, A.Y.; Buck, B.H.; Field, T.S.; Dowlatshahi, D.; et al. Efficacy and safety of nerinetide for the treatment of acute ischaemic stroke (ESCAPE-NA1): A multicentre, double-blind, randomised controlled trial. Lancet 2020, 395, 878–887. [Google Scholar] [CrossRef]
- Martinel Lamas, D.J.; Nicoud, M.B.; HA Sterle, H.A.; Cremaschi, G.A.; Medina, V.A. Histamine: A potential cytoprotective agent to improve cancer therapy? Cell Death Dis. 2015, 6, 2029–2031. [Google Scholar] [CrossRef] [Green Version]
- Labiche, L.A.; Grotta, J.C. Clinical Trials for Cytoprotection in Stroke. NeuroRX 2004, 1, 46–70. [Google Scholar] [CrossRef]
- Zhao, B. Natural antioxidants protect neurons in Alzheimer’s disease and Parkinson’s disease. Neurochem. Res. 2009, 34, 630–638. [Google Scholar] [CrossRef]
- Pandey, K.B.; Rizvi, S.I. Plant polyphenols as dietary antioxidants in human health and disease. Oxidative Med. Cell. Longev. 2009, 2, 270–278. [Google Scholar] [CrossRef] [Green Version]
- Mehta, J.; Rayalam, S.; Wang, X. Cytoprotective Effects of Natural Compounds against Oxidative Stress. Antioxidants 2018, 7, 147. [Google Scholar] [CrossRef] [Green Version]
- Dinkova-Kostova, A.T.; Talalay, P. Direct and indirect antioxidant properties of inducers of cytoprotective proteins. Mol. Nutr. Food Res. 2008, 52, 128–138. [Google Scholar] [CrossRef]
- Clark, I.A.; Cowden, W.B.; Hunt, N.H. Free radical-induced pathology. Med. Res. Rev. 1985, 5, 297–332. [Google Scholar] [CrossRef] [PubMed]
- Sarangarajan, R.; Meera, S.; Rukkumani, R.; Sankar, P.; Anuradha, G. Antioxidants: Friend or foe? Asian Pac. J. Trop. Med. 2017, 10, 1111–1116. [Google Scholar] [CrossRef] [PubMed]
- Lorthiois, E.; Roache, J.; Barnes-Seeman, D.; Altmann, E.; Hassiepen, U.; Turner, G.; Duvadie, R.; Hornak, V.; Karki, R.G.; Schiering, N.; et al. Structure-Based Design and Preclinical Characterization of Selective and Orally Bioavailable Factor XIa Inhibitors: Demonstrating the Power of an Integrated S1 Protease Family Approach. J. Med. Chem. 2020, 341, 392–395. [Google Scholar] [CrossRef] [PubMed]
- Berman, H.M.; Westbrook, J.; Feng, Z.; Gilliland, G.; Bhat, T.N.; Weissig, H.; Shindyalov, I.N.; Bourne, P.E. The Protein Data Bank. Nucleic Acids Res. 2000, 28, 235–242. [Google Scholar] [CrossRef] [PubMed] [Green Version]
- Morris, G.M.; Huey, R.; Lindstrom, W.; Sanner, M.F.; Belew, R.K.; Goodsell, D.S.; Olson, A.J. Autodock4 and AutoDockTools4: Automated Docking with Selective Receptor Flexibility. J. Comput. Chem. 2009, 30, 2785–2791. [Google Scholar] [CrossRef] [PubMed] [Green Version]
- Trott, O.; Olson, A.J. AutoDock Vina: Improving the speed and accuracy of docking with a new scoring function, efficient optimization, and multithreading. J. Comput. Chem. 2010, 31, 455–461. [Google Scholar] [CrossRef] [PubMed] [Green Version]
- BIOVIA. Dassault Systemes, v20. 1. 0. 19,295; BIOVIA Discovery Studio, Dassault Systemes: San Diego, CA, USA, 2020. [Google Scholar]
- Lipinski, C.A. Lead- and drug-like compounds: The rule-of-five revolution. Drug Discov. Today Technol. 2004, 1, 337–341. [Google Scholar] [CrossRef]
- Molinspiration Cheminformatics Homepage. Available online: https://molinspiration.com/ (accessed on 25 July 2022).
- Egea, J.; Fabregat, I.; Frapart, Y.M.; Ghezzi, P.; Görlach, A.; Kietzmann, T.; Kubaichuk, K.; Knaus, U.G.; Lopez, M.G.; Olaso-Gonzalez, G.; et al. European contribution to the study of ROS: A summary of the findings and prospects for the future from the COST action BM1203 (EU-ROS). Redox Biol. 2017, 13, 94–162. [Google Scholar] [CrossRef] [Green Version]
- Vatner, S.F.; Zhang, J.; Oydanich, M.; Berkman, T.; Naftalovich, R.; Vatner, D.E. Healthful aging mediated by inhibition of oxidative stress. Ageing Res. Rev. 2020, 64, 101194–101249. [Google Scholar] [CrossRef]
- Brand-Williams, W.; Cuvelier, M.E.; Berset, C. Use of a free radical method to evaluate antioxidant activity. Lebensm. Wiss. Technol. 1995, 28, 25–30. [Google Scholar] [CrossRef]
- Miller, N.J.; Rice-Evans, C.; Davies, M.J.; Gopinathan, V.; Milner, A. A novel method for measuring antioxidant capacity and its application to monitoring the antioxidant status in premature neonates. Clin. Sci. 1993, 84, 407–412. [Google Scholar] [CrossRef] [PubMed] [Green Version]
- Plotnikov, M.B.; Shamanaev, A.Y.; Aliev, O.I.; Sidekhmenova, A.V.; Anishchenko, A.M.; Arkhipov, A.M. Pentoxifylline treatment enhances antihypertensive activity of captopril through hemorheological improvement in spontaneously hypertensive rats during development of arterial hypertension. J. Am. Soc. Hypertens. 2017, 11, 768–778. [Google Scholar] [CrossRef] [PubMed]
- Słoczyńska, K.; Kózka, M.; Pękala, E.; Marchewka, A.; Marona, H. In vitro effect of pentoxifylline and lisofylline on deformability and aggregation of red blood cells from healthy subjects and patients with chronic venous disease. Acta Biochim. Pol. 2013, 60, 129–135. [Google Scholar] [CrossRef] [PubMed] [Green Version]
- Plotnikov, M.B.; Koltunov, A.A.; Aliyev, O.I. Method of selection of medicinal substances affecting the rheological properties of blood in vitro. Exp. Clin. Pharmacol. 1996, 6, 57–58. [Google Scholar]
Publisher’s Note: MDPI stays neutral with regard to jurisdictional claims in published maps and institutional affiliations. |
© 2022 by the authors. Licensee MDPI, Basel, Switzerland. This article is an open access article distributed under the terms and conditions of the Creative Commons Attribution (CC BY) license (https://creativecommons.org/licenses/by/4.0/).












